Next Article in Journal
Modelling the Dynamics of Outbreak Species: The Case of Ditrupa arietina (O.F. Müller), Gulf of Lions, NW Mediterranean Sea
Next Article in Special Issue
Dynamic Positioning Control of Large Ships in Rough Sea Based on an Improved Closed-Loop Gain Shaping Algorithm
Previous Article in Journal
A Novel, Finite-Time, Active Fault-Tolerant Control Framework for Autonomous Surface Vehicle with Guaranteed Performance
Previous Article in Special Issue
Optimizing AUV Navigation Using Factor Graphs with Side-Scan Sonar Integration
 
 
Font Type:
Arial Georgia Verdana
Font Size:
Aa Aa Aa
Line Spacing:
Column Width:
Background:
Article

Adaptive Finite-Time Backstepping Integral Sliding Mode Control of Three-Degree-of-Freedom Stabilized System for Ship Propulsion-Assisted Sail Based on the Inverse System Method

1
College of Intelligent Systems Science and Engineering, Harbin Engineering University, Harbin 150001, China
2
Research Centre of Ship Control Engineering and Intelligent Systems Engineering Technology, Weihai Ocean Vocational College, Weihai 264300, China
*
Author to whom correspondence should be addressed.
J. Mar. Sci. Eng. 2024, 12(2), 348; https://doi.org/10.3390/jmse12020348
Submission received: 19 January 2024 / Revised: 13 February 2024 / Accepted: 14 February 2024 / Published: 17 February 2024
(This article belongs to the Special Issue Motion Control and Path Planning of Marine Vehicles—2nd Edition)

Abstract

The three-degree-of-freedom (3-DOF) stabilized control system for ship propulsion-assisted sails is used to control the 3-DOF motion of sails to obtain offshore wind energy. The attitude of the sail is adjusted to ensure optimal thrust along the target course. An adaptive finite-time backstepping integral sliding mode control based on the inverse system method (ABISMC-ISM) is presented for attitude tracking of the sail. Considering the nonlinear dynamics and strong coupling of the system, a decoupling strategy is established using the inverse system method (ISM). Constructing inverse dynamics to eliminate internal coupling, the system is transformed into independent pseudolinear subsystems. For the decoupled open-loop subsystems, an adaptive finite-time backstepping integral sliding mode control is designed to achieve closed-loop control. A backstepping-based integral sliding surface is proposed to eliminate the phase-reaching stage of the sliding surface. Considering the unmodelled dynamics and external disturbances, an adaptive extreme learning machine (AELM) was designed to estimate the disturbances. Furthermore, a sliding mode reaching law based on finite-time theory was employed to ensure that the system returns to the sliding surface in a finite time under chattering conditions. Experiments on a principle prototype demonstrate the effectiveness and energy-saving performance of the proposed method.

1. Introduction

Recently, wind propulsion-assisted technology has been widely explored and applied to promote the sustainable development of the shipping industry [1]. Under different wind directions, a ship propulsion-assisted sail could be driven to different azimuths to obtain the optimal thrust. By providing thrust for ship navigation through the sail, the power of the ship’s main engine could be effectively reduced, which achieves energy conservation for the ship. Dynamic characteristics of wind propulsion ships and sails have been extensively studied to improve the utilization rate of wind energy. The parametric section airfoil parametrization method is combined with the particle swarm optimization algorithm to improve the energy efficiency of sail-assisted vessels [2]. The stability analysis method is presented to investigate the feasibility of the sail models [3]. Based on computational fluid dynamics (CFD) examination and optimization algorithms, the structural analysis of the hull and sail has been fully developed.
However, external environmental disturbances inevitably affect the energy-saving performance of sails [4]. The 3-DOF attitude swaying of the ship will cause the sail to deviate from the optimal angle and reduce the thrust along the heading. Therefore, the 3-DOF stabilized control system is designed to maintain the sail isolated from external disturbances [5]. The proposed system compensates for the 3-DOF ship attitude deviation through sequentially connected servo systems for azimuth, roll, and pitch, through which the energy-saving effect is guaranteed, and the stability can be enhanced.
Nevertheless, considering the mechanical structure between various subsystems, the system exhibits complex internal coupling and nonlinear characteristics during operation. The inverse system method, as a decoupling method, is widely used to eliminate nonlinear coupling in multi-input multioutput (MIMO) systems [6,7]. This method has been combined with various intelligent methods [8]. The generalized regression neural network (GRNN) is used to identify the vehicle model, which eliminates multivariable coupling characteristics [9]. Within a certain range, the adaptability of data-driven inverse models to uncertainty has been confirmed [10,11]. However, disturbances in complex environments are difficult to predict, which poses challenges to the robustness of the system. To address the above issues, the method based on inverse dynamics and a compensation strategy is used for the control of complex mechanical structures [12,13]. The ISM has been widely used for system decoupling and has achieved obvious results in model linearization [14]. In view of the influence of system coupling on control performance, an inverse dynamic model using ISM is constructed to eliminate nonlinear coupling. The constructed inverse dynamic is established to address the internal coupling. Therefore, the MIMO system can be converted into three independent subsystems.
However, the established pseudolinear subsystem is an unstable open-loop system. The robustness and stability of closed-loop control strategies are indispensable, considering the presence of unmodelled dynamics and external disturbances in subsystems. As a robust control method, sliding mode control (SMC) has been widely used in the field of nonlinear systems and disturbance suppression [15,16]. Numerous high-level research studies on SMC have been conducted and extensively applied across various industrial control applications [17,18]. Many optimization algorithms have also been explored [19,20], such as the Super-Twisting Algorithm and the Linear Extended State Observer, which greatly promoted the development of SMC. The Higher-Order Sliding Mode control has been explored to suppress chattering characteristics, and the Terminal Sliding Mode control has been studied for finite-time convergence control [21,22]. A series of derived SMC methods have been used to solve different engineering problems. Compared to PID control and optimal control, SMC offers better anti-interference ability [23,24]. Under the framework of SMC, the tracking process of the system can be divided into a sliding surface reaching stage and a sliding stage [18,25,26]. To fully improve the response speed, an integral sliding surface was constructed so that the system is located on the sliding surface in the initial stage [27,28,29]. Based on the backstepping method [30,31,32], the sliding surface was designed hierarchically to ensure the sequential convergence of the system state variables. By eliminating the reaching stage of the sliding surface, the response time of the system was effectively shortened. Moreover, considering the external disturbances that still exist in the system, adaptive extreme learning machines (AELMs) were introduced for dynamic compensation [33,34,35]. By adjusting the output weight of the ELM through an adaptive law, the disturbances of the system were compensated in real time. The reaching law was designed based on a finite-time lemma to ensure the finite-time return of the system to the sliding surface in response to the presence of chattering in the system. Under the designed method, the internal coupling and external disturbances were suppressed, and the stability and energy-saving performance were ensured. The contributions of this work are as follows:
  • A decoupling control strategy is designed to eliminate the internal nonlinear coupling of the 3-DOF stabilized control system, through which the original system is simplified into three pseudolinear subsystems.
  • An integral sliding surface is designed to eliminate the reaching stage of the sliding surface and shorten the system’s response time. Using the backstepping method to construct the sliding surface layer by layer, the system achieves finite-time convergence along the integral sliding surface.
  • A reaching control law is designed based on a finite-time lemma to guarantee that the system state can return to the sliding surface under chattering. AELMs are introduced to suppress unmodelled dynamics and external disturbances in the system.
  • The energy-saving performance of the sail is improved by the optimization of the transient and steady-state characteristics.
In addition, experiments on a preliminary prototype illustrate the effectiveness of the proposed method. Comparisons with different methods were conducted to demonstrate the superiority of the designed method.
The remainder of this paper is structured as follows: Section 2 introduces some preliminary concepts. In Section 3, the structure of the system is introduced, and the dynamic model of the system is derived. In Section 4, the reversibility of the origin system is verified, and the inverse dynamics are constructed for decoupling. In Section 5, the backstepping integral sliding mode control strategy is presented to ensure closed-loop control and disturbance suppression. The stability of the proposed control approach is proven by Lyapunov analysis. In Section 6, experiments on a principle prototype are provided to verify the effectiveness. Finally, some conclusions are offered in Section 7.

2. Preliminaries

In this section, some lemmas are introduced, which play an important role in subsequent control strategy design.
Definition 1. 
Consider the following dynamic system:
x ˙ ( t ) = f ( x , t ) ,   x ( 0 ) = x 0 , x ( t ) R n
where f : U R n is continuous, U 0 is an open neighborhood of the origin, and x ( t ) R n is the state variable of the system.
Lemma 1. 
Assume that there is a differentiable positive definite radially unbounded function V ( x ) that satisfies [17]:
V ˙ ( x ) a 1 V ( x ) γ 1 a 2 V ( x ) γ 2 + δ 0 ,   s 0
where x is an n -dimensional vector, a 1 , a 2 > 0 , δ 0 > 0 , and 0 < γ 2 < 1 < γ 1 . The finite-time stable equilibrium point is x ( 0 ) , and the time satisfies the following inequality:
T T max = 1 / [ a 1 κ ( γ 1 1 ) ] + 1 / [ a 2 κ ( γ 2 1 ) ]
where constant κ satisfies 0 < κ < 1 . The x will converge to the domain:
Q = { x | V ( x ) min { { [ δ 0 / [ γ 1 ( 1 κ ) ] } γ 1 , { [ δ 0 / [ γ 2 ( 1 κ ) ] } γ 2 } }

3. Dynamic Model of the 3-DOF Stabilized System

This section provides an overview of the mechanical structure and operational principles of the system. Then, the coordinate system and the dynamic model are established. The 3-DOF stabilized system is used for angle tracking of the optimal sail azimuth and suppression of the ship attitude sway.
Considering the azimuth tracking target of the sail, the azimuth, roll, and pitch subsystems of the system are designed as the inner loop, middle loop, and outer loop, respectively. When the ship swing is measured, the system controls the sail to move in reverse to maintain a stable attitude. As shown in Figure 1, Each subsystem controls the motor through a controller and achieves closed-loop control of the angle.
However, the performance of the system is degraded by internal coupling and external disturbances during the tracking process, and the thrust of the sail is affected by the optimal attitude deviation. The dynamic coupling between various motion frames increases the nonlinearity of the system. Moreover, external disturbances affect the uncertainty and stability of the system. The influence of angular velocity and moment of inertia between various subsystems leads to the inapplicability of linear control methods. Therefore, decoupling methods and robust methods for nonlinear models are considered to improve system performance. To construct the control strategy, the system model is preliminarily analyzed.
In the modelling of the system, the system moves with the ship and requires isolation of the 3-DOF attitude deviation of the ship. In the process of establishing coordinate systems, it is necessary to consider the impact of ship sway on the system model. The heading coordinate system is defined as the base coordinate system, and the outer ring, middle ring, and hull coordinate systems are defined to describe the yaw, roll, and pitch of the 3-DOF sway motion. The outer loop, middle loop, and inner loop of the system are designed as pitch, roll, and azimuth servo systems, respectively. All three subsystems are used for ship disturbance suppression. In addition, the azimuth subsystem needs to ensure the optimal sail azimuth.
The coordinate system definition of the system and the hull is shown in Figure 2. For the basic coordinate system (target course coordinate system), the x-axis points in the heave direction of the hull, which is opposite to the geocentric direction. The y -axis points in the direction of the target course of the ship, and the z-axis forms a right-hand coordinate system with the x-axis and y-axis. The basic coordinate system is defined as o b x b y b z b . For the hull coordinate system, the origin of the hull coordinate system coincides with the basic coordinate system, and the hull coordinate system is defined as o s x s y s z s . Considering the ship swing, the hull coordinate system relative to the heading coordinate system can be defined with roll angle θ s x , pitch angle θ s y , and azimuth angle θ s z . Then, the pitch, roll, and yaw of the system move around the x-, y-, and z-axes, respectively.
During rotation of the three motion frames, both the angular velocity and the moment of inertia are coupled [36,37]. The moment of inertia of each ring is iteratively calculated layer-by-layer from the inside to the outside, and the angular velocity of each ring is iteratively calculated layer-by-layer.
Define the angular velocity vector of each coordinate system, where θ ˙ s = [ θ ˙ s x θ ˙ s y θ ˙ s z ] T is the angular velocity vector of the hull coordinate system, θ ˙ ψ = [ θ ˙ ψ x θ ˙ ψ y θ ˙ ψ z ] T is the angular velocity vector of the pitch ring coordinate system, θ ˙ ϕ = [ θ ˙ ϕ x θ ˙ ϕ y θ ˙ ϕ z ] T is the angular velocity vector of the roll ring coordinate system, and θ ˙ φ = [ θ ˙ φ x θ ˙ φ y θ ˙ φ z ] T is the angular velocity vector of the azimuth ring coordinate system. The rotation matrix between the coordinate systems from inside to outside can be defined as T φ ϕ , T ϕ ψ , T ψ s . Then, the transfer relationship of each coordinate system under the calculation of the rotation matrix is as follows:
The angle of rotation of the pitch ring coordinate system o ψ x ψ y ψ z ψ around the x-axis in the hull coordinate system o s x s y s z s is defined as ψ . The angular velocity projected onto the pitch ring coordinate system is expressed as:
θ ˙ ψ x θ ˙ ψ y θ ˙ ψ z = 1 0 0 0 cos ψ sin ψ 0 sin ψ cos ψ θ ˙ s x θ ˙ s y θ ˙ s z θ ˙ ψ = T ψ s θ ˙ s
The angle of rotation of the roll ring coordinate system o ϕ x ϕ y ϕ z ϕ around the y-axis in the pitch ring coordinate system o ψ x ψ y ψ z ψ is defined as ϕ . The angular velocity projected onto the roll ring coordinate system is expressed as:
θ ˙ ϕ x θ ˙ ϕ y θ ˙ ϕ z = cos ϕ 0 sin ϕ 0 1 0 sin ϕ 0 cos ϕ θ ˙ ψ x θ ˙ ψ y θ ˙ ψ z θ ˙ ϕ = T ϕ ψ θ ˙ ψ
The angle of rotation of the azimuth ring coordinate system o φ x φ y φ z φ around the z-axis in the roll ring coordinate system o ϕ x ϕ y ϕ z ϕ is defined as φ . The angular velocity projected onto the azimuth ring coordinate system is expressed as:
θ ˙ φ x θ ˙ φ y θ ˙ φ z = cos φ sin φ 0 sin φ cos φ 0 0 0 1 θ ˙ ϕ x θ ˙ ϕ y θ ˙ ϕ z θ ˙ φ = T φ ϕ θ ˙ ϕ
where the rotation matrices T φ ϕ , T ϕ ψ , T ψ s are orthogonal.
Considering the coupling effect between frames, the angular velocity of each frame is projected from the outside to the inside. The angular velocity of the azimuth ring, the roll ring, and the pitch ring under their own coordinate system satisfy the following equations:
ω φ = ω φ s + ω φ ψ + ω φ ϕ + ω φ φ = T φ ϕ T ϕ ψ T ψ s ω s s + T φ ϕ T ϕ ψ ω ψ ψ + T φ ϕ ω ϕ ϕ + ω φ φ ω ϕ = ω ϕ s + ω ϕ ψ + ω ϕ ϕ = T ϕ ψ T ψ s ω s s + T ϕ ψ ω ψ ψ + ω ϕ ϕ ω ψ = ω ψ s + ω ψ ψ = T ψ s ω s s + ω ψ ψ
where ω φ φ = [ φ ˙ 0 0 ] T , ω ϕ ϕ = [ ϕ ˙ 0 0 ] T , and ω ψ ψ = [ ψ ˙ 0 0 ] T are the angular velocities of each frame drive motor shaft rotating around itself. Considering the coupling effect between frames, the angular velocity of each frame is projected from the inside to the outside, and the moment of inertia matrix under the coordinate system of the azimuth ring, roll ring, and pitch ring is expressed as:
J φ = J φ φ J ϕ = J ϕ φ + J ϕ ϕ = T ϕ φ J φ T ϕ φ T + J ϕ ϕ = T φ ϕ T J φ φ T φ ϕ + J ϕ ϕ J ψ = J ψ ϕ + J ψ ψ = T ψ ϕ J ϕ T ψ ϕ T + J ψ ψ = T ϕ ψ T T φ ϕ T J φ φ T φ ϕ + J ϕ ϕ T ϕ ψ + J ψ ψ
where the influence of the ship propulsion-assisted sail on the rotational inertia of the inner ring is considered, and the axisymmetric relationship of each frame is considered. The inertia product matrices of frames are defined as:
J φ φ = J φ x x J φ x y 0 J φ x y J φ x x 0 0 0 J φ z z , J ϕ ϕ = J ϕ x x 0 0 0 J ϕ y y 0 0 0 J ϕ z z , J ψ ψ = J ψ x x 0 0 0 J ψ y y 0 0 0 J ψ z z
where J φ x x , J φ y y , J φ z z , J ϕ x x , J ϕ y y , J ϕ z z , J ψ x x , J ψ y y , J ψ z z on the main diagonal of Equation (11) represents the moment of inertia of each frame of the turntable when rotating around a fixed axis. Caused by the asymmetric structure of the sail on the specific plane, the element J φ x y on the non-diagonal is the product of moments of inertia, representing the relationship of moments of inertia between frames that are not coaxial.
The dynamic models of the three frames are described by:
J ψ x ω ˙ ψ x + J ψ y J ψ z ω ψ y ω ψ z = M ψ x J ϕ y ω ˙ ϕ y + J ϕ x J ϕ z ω ϕ x ω ϕ z = M ϕ y J φ z ω ˙ φ z + J φ x J φ y ω φ y ω φ x = M φ z
The dynamic equation of each frame motor is defined as:
J A ψ ¨ K A υ 1 + B A ψ ˙ = M ψ x J B ϕ ¨ K B υ 2 + B B ϕ ˙ = M ϕ y J C φ ¨ K C υ 3 + B C φ ˙ = M φ z
where J A , J B , and J C are the moments of inertia of the motors, B A , B B , and B C are the motor damping coefficients, υ 1 , υ 2 , and υ 3 are the input current signals used for motor control, and M ψ x , M ϕ y , and M φ z are the total load torque on the motor shaft.
Equations (8)–(11) are substituted into Equation (12), and the system model can be expressed by Equation (54) in Appendix A. Considering that the roll angle and pitch angle of the system are small, the influence of two or more terms, including sin ϕ or sin ψ in total, and three or more terms, including the trigonometric function, are eliminated, and the variables ψ , ϕ , and φ are redefined as x 1 , x 2 , and x 3 .
During the system’s actual operation, disturbances inevitably impact its stability, necessitating the robustness of the controller. To achieve precise disturbance suppression and minimize controller conservatism, disturbances are categorized into internal coupled disturbances and external environmental changes. Decoupling control is devised to mitigate internal nonlinear influences. Taking into account the errors of decoupling control and external environmental changes, SMC is employed for interference suppression, ensuring the system achieves the desired dynamic characteristics.

4. Design of the Decoupling Control Strategy

In this section, the decoupling control strategy is designed based on ISM to eliminate the influence between subsystems. The dynamic model is a multivariable, strongly coupled nonlinear system. According to the derivation in Appendix A, the state space description can be redefined as:
x ˙ 1 = x 2 x ˙ 2 = f 1 ( x 1 , , x 6 ) + K A υ 1 + d 1 ( t ) x ˙ 3 = x 4 x 4 = f 2 ( x 1 , , x 6 ) + K B υ 2 + d 3 ( t ) x ˙ 5 = x 6 x ˙ 6 = f 3 ( x 1 , , x 6 ) + K C υ 3 + g 1 ( x 1 , x 2 , , x 6 ) υ 1 + d 5 ( t ) , y 1 = x 1 y 2 = x 3 y 3 = x 5
where, y 1 , y 2 , and y 3 are the output of the system, representing the angles of the azimuth motor, roll motor, and pitch motor.
Based on Equation (13), the ISM can be used to decouple the system into three independent subsystems. First, the reversibility of Equation (13) is verified by using Interactor theory [38]. The n-th derivative of output y i is defined as y i ( n ) . The derivative of y i is calculated until all components in Y q = y 1 ( n 1 ) y 2 ( n 2 ) y 3 ( n 3 ) T are explicit expressions of υ . The outputs satisfying the condition are derived as:
y 1 2 = f 1 ( x 1 , , x 6 ) + K A υ 1 y 2 2 = f 2 ( x 1 , , x 6 ) + K B υ 2 y 3 2 = g 1 ( x 1 , , x 6 ) υ 1 + f 3 ( x 1 , , x 6 ) + K C υ 3
Then, Y i ( i = 1 , 2 , 3 ) is expressed as follows:
Y 1 = y 1 ( 2 ) Y 2 = [ Y 1 y 2 ( 2 ) ] T = [ y 1 ( 2 ) y 2 ( 2 ) ] T Y 3 = [ Y 2 y 3 ( 2 ) ] T = [ y 1 ( 2 ) y 2 ( 2 ) y 3 ( 2 ) ] T
The Jacobi matrix based on Interactor theory is obtained as follows:
Y 1 / υ T = K A 0 g 1 ( x ) r a n k ( Y 1 / υ T ) = 1 Y 2 / υ T = K A 0 g 1 ( x ) 0 K B 0 r a n k ( Y 2 / υ T ) = 2 Y 3 / υ T = K A 0 g 1 ( x ) 0 K B 0 0 0 K C r a n k ( Y 3 / υ T ) = 3
Considering that the Jacobian matrix is non-singular, such that the system has relative order σ = σ 1 σ 2 σ 3 T = 1 2 3 T according to its definition, for Equation (13), the relative order of the system satisfies that:
i = 1 3 σ i n = 6
Therefore, the original system is reversible. The derivative of the output variable can be regarded as the input of the inverse dynamic, and the decoupling control strategy can be expressed as:
υ 1 = 1 K A { y 1 f 1 ( x 1 , , x 6 ) g 1 ( x 1 , , x 6 ) K C [ y 3 f 3 ( x 1 , , x 6 ) ] } υ 2 = 1 K B [ y 2 f 2 ( x 1 , , x 6 ) ] υ 3 = 1 K C [ y 3 f 3 ( x 1 , , x 6 ) ]
Therefore, the decoupling control strategy is designed to eliminate internal coupling within the system. By connecting integrators with the established inverse dynamic model, the required items in Equation (18) can be obtained. The composite system formed can be regarded as three independent subsystems. Therefore, the original system is transformed into three second-order linear integral systems by the decoupling strategy. Considering the unmodelled dynamics and external disturbances, the model of the system after decoupling is redefined as:
x ˙ 1 = x 2 x ˙ 2 = u 1 + d 1 ( t ) x ˙ 3 = x 4 x ˙ 4 = u 3 + d 3 ( t ) x ˙ 5 = x 6 x ˙ 6 = u 5 + d 5 ( t )
Figure 3 shows the overall framework of the system with decoupling control. According to the principle of ISM, the output signal of the closed-loop controller is used as a high-order input of the pseudo linear system. More specifically, u i ( i = 1 , 3 , 5 ) are defined as the input of decoupling control x ¨ i ( i = 1 , 3 , 5 ) . Integrators are used to restore lower-order signals to form dynamic decoupling, which means the first-order and second-order integrals of u i ( i = 1 , 3 , 5 ) are used as x ˙ i ( i = 1 , 3 , 5 ) and x i ( i = 1 , 3 , 5 ) in decoupling control.
However, the three independent subsystems are still affected by the unknown decoupling errors and external environment changes. The decoupled subsystems are open-loop integral systems with unknown disturbances d i ( t ) , i = 1 , 3 , 5 . Therefore, to ensure stable tracking of the sail, the closed-loop control strategy is designed to enhance robustness and stability.

5. Design of the Closed-Loop Control Strategy

5.1. Design of the Backstepping Integral Sliding Mode Control Strategy

Considering that the decoupled subsystems are open-loop and affected by external disturbances, the backstepping integral sliding mode control strategy based on the backstepping method is constructed to improve the stability of the system [39,40,41]. SMC can be divided into sliding and reaching stages. Considering the requirement of rapid attitude tracking of the sail, a time-varying sliding surface is designed to eliminate the reaching stage and enhance the convergence of time. Under the framework of backstepping [22], the sliding surface is sequentially designed in the angular velocity loop and angle loop. The time-varying parameters used to represent the initial position on the sliding surface are integrated continuously, which ensures that the system satisfies the condition of the sliding surface and directly enters the sliding stage. The principle of the backstepping method is to design Lyapunov functions and intermediate virtual control variables for each order of the subsystem and transfer them to the control law design of the entire system. Through the advantage of finite-time lemmas, the backstepping method is combined with integral sliding surface to realize the hierarchical convergence of the system in finite time on the sliding surface.
The tracking errors of the decoupled subsystems are defined. Then, the error tends to 0 along the integral sliding surface. Based on the sliding surface designed by the backstepping method, the hierarchical convergence of the system error in finite time is ensured. First, the error variables of each subsystem are defined as:
z i = x i r i d z i + 1 = x i α i ( x i )
where i = 1 , 3 , 5 represents three error subsystems after decoupling, and α i ( x i ) is the virtual control law to be designed.
The derivation of the first-order system is as follows:
z ˙ i = x ˙ i r ˙ i d       = x i + 1 r ˙ i d       = z i + 1 + α i ( x i ) r ˙ i d
SMC can be divided into reaching stage and sliding stage. To enable the system to have the desired sliding surface dynamic characteristics faster, a time-varying sliding surface with state integration was designed. Since the system satisfies the sliding surface in any state, the sliding stage is eliminated, and the system directly enters the sliding state. Based on the principle of the terminal principle, the errors of variables on the sliding surface can achieve the convergence of the system in finite time. The integral sliding surface is defined as:
s i ( t ) = λ i 1 z i p i q i + 0 t z i d τ   i = 1 , 3 , 5
where λ i > 0 and p i , q i are odd numbers and 1 < p i , q i < 2 .
The time-varying parameter of the sliding surface is defined as:
ω i ( t ) = 0 t z i d τ
By setting its initial value ω i ( 0 ) = [ λ i 1 z i ( 0 ) ] p i / q i , the reaching stage can be eliminated, and the convergence time is given by:
t i = ω i ( 0 ) ( p i q i ) / q i p i / [ λ i ( p i q i ) ]
Then, the virtual control strategy based on the backstepping method is defined as:
α i ( x i ) = q i λ i z i 2 p i / q i / p i + z ˙ i d
To control the convergence of z i , the relationship between z i and z i + 1 is established as:
z i + 1 = λ i 1 z i p i / q i + 0 t z i d τ
where z i is given as:
z ˙ i = q i λ i z i 2 p i / q i / p i
The sliding surface satisfies the finite-time convergence. Considering the relationship between ω i and z i , z i converges to 0 with ω i in finite time. Since z i + 1 0 , the control law u i is designed for the subsystem to make z i + 1 converge to 0 in finite time to ensure that the system is located on the sliding surface at the initial stage and that the finite-time hierarchical convergence of the system on the sliding surface is guaranteed.
The sliding mode approach law s ˙ i + 1 = k s i + 1 ε i s i g n ( s i + 1 ) is selected. For the disturbances d i ( t ) , let k > 0 , and the preliminary system control strategy u i p r e is derived as:
u i p r e = λ i + 1 q i + 1 p i + 1 z i + 1 2 q i + 1 p i + 1 q i + 1 + α i x i x ˙ i k s i + 1 d i ( t ) ε i s i g n ( s i + 1 z i + 1 )
Under the control of this scheme, the reaching stage of the sliding surface is eliminated, and the finite-time convergence along the sliding surface is guaranteed. However, the system is still subject to unknown disturbances d i ( t ) from external environments and decoupling errors, which leads to deviations from the expected performance of the system. Therefore, it is necessary to further compensate for the unknown disturbances and improve the robustness.

5.2. Disturbance Compensation Based on AELM

Considering that the decoupling error and the external disturbances d i ( t ) of the system are unknown, compensation strategy needs to be designed. The neural network has desirable fitting ability for unknown functions, so an adaptive ELM is designed to approximate the disturbances, and the Lyapunov function is constructed to verify its stability.
The ELM neural network is a single hidden-layer neural network (SHLNN) based on the least square algorithm. For the SHLNN model, the training samples { ( x i , t i ) } i = 1 N are composed of N different samples. The input vector x i = [ x i 1 , x i 2 , , x i n ] T R corresponds to the expected output vector t i = [ t i 1 , t i 2 , , t i m ] T R m . An SHLNN is provided with n input neurons, L hidden-layer neurons, and m output neurons. The activation function of the hidden layer is G ( a i , b i , x ) = g ( a i x + b i ) ; then, the output of the neural network can be obtained as:
y = f L ( x ) = i = 1 L β i G ( a i , b i , x )
where a i = [ a i 1 , a i 2 , , a i n ] T R n is the input weight, and b i R is the bias of the hidden-layer neuron.
Notably, in the process of adjustment based on the gradient-based learning algorithm, a i , b i , and β i need to be adjusted at the same time, such that the calculation is complicated. The SHLNN based on the ELM algorithm offers the advantages of not relying on a i and b i in the adjustment process, and the structure is simple. Its basic principles are as follows:
Equation (29) is rewritten as:
H β = T
where the hidden-layer output matrix is regarded as a random feature mapping matrix, which is written as:
H = h x 1 h x N T = G a 1 , b 1 , x 1 G a L , b L , x 1 G a 1 , b 1 , x N G a L , b L , x N N × L
Then, β = [ β 1 T β L T ] L × m T is the weight, and T = [ t 1 T t L T ] N × m T is the sample expected output.
In the training process based on the ELM algorithm, the input weight a i and offset b i of the hidden-layer neurons can be randomly assigned, and the hidden-layer output matrix H can be calculated and kept unchanged in the training process. Therefore, only the weight matrix β from the output layer to the hidden layer needs to be calculated so the train can be converted into the least-squares solution of Equation (31), which is rewritten as:
min β H β T
In addition, the minimum norm least-squares solution is unique and yields:
β ^ = H T
where H is the Moore–Penrose generalized inverse of H .
While training the neural network based on ELM to estimate the external disturbances of the system, the adjustment of the input weight matrix a i and the bias matrix b i of the system is avoided. When a i and b i are randomly generated, the system has the least-squares solution β * under the neural network model.
During the navigation, the wind resistance experienced by the sail and the frictional force of the motor can have an impact on the system. Meanwhile, the dynamic characteristics of the motor itself can affect the accuracy of decoupling control. In order to suppress the aforementioned disturbances, AELMs are used to estimate the disturbances, and the output weights are adjusted based on the motor tracking errors of each subsystem.
Assumption 1. 
Adaptive extreme learning machines (AELMs) are employed for estimating disturbances caused by decoupling errors and external environmental changes. When the model incorporating real disturbances is denoted as d i ( t ) , the estimation of the disturbances by the AELMs is defined as d ^ i ( t ) = H i β ^ i . As the output weight β ^ i is adaptively adjusted, the optimal estimation of disturbances can be defined as d i * ( t ) = H i β i * . Assuming that the optimal estimation AELMs for disturbances satisfies:
d i ( t ) = d i * ( t ) + Δ i d = H i β i * + Δ i d
where Δ i d is the estimation error of the AELMs, and the maximum value of approximation error Δ i d is a bounded positive constant ε i .
Based on the adaptive law, the approximation of the least-squares solution β i * can be obtained in the process of adjustment. The adaptive law is designed as:
β ^ ˙ i T = λ i + 1 1 η p i + 1 q i + 1 z i + 1 ( p i + 1 q i + 1 ) / p i + 1 s i + 1 H i
where β ^ ˙ i T is adjusted based on the system state error and the sliding surface.
Therefore, selecting the linear sliding mode reaching law s ˙ i + 1 = k s i + 1 ε i s i g n ( s i + 1 ) , the control strategy u i p r e in Equation (28) is improved to:
u i = λ i + 1 q i + 1 z i + 1 ( 2 q i + 1 p i + 1 ) / q i + 1 / p i + 1 + α i x i x ˙ i         H i β ^ i λ i + 1 q i + 1 z i + 1 ( q i + 1 p i + 1 ) / q i + 1 k s i + 1 / p i + 1 ε i s i g n ( s i + 1 z i + 1 )
where ε i s i g n ( s i + 1 ) is set as the switching term of the system to ensure system robustness. When the weights of the neural network reach the optimal state under the influence of the adaptive law Equation (35), ε i s i g n ( s i + 1 ) is used to suppress estimation errors to ensure that the state moves back to the sliding surface direction. To analyze the convergence of the reaching stage, the Lyapunov function is defined as:
V i + 1 ( t ) = 1 2 s i + 1 2 + 1 2 η i β ˜ i T β ˜ i
where β ˜ i = β ^ i β i * is the estimation error of optimal weights.
Substituting Equations (13) and (36) into Equation of (37) yields:
V i + 1 . ( t ) = s i + 1 s ˙ i + 1 + β ^ ˙ i T β ˜ i / η i       = s i + 1 ( z i + 1 + λ i + 1 1 p i + 1 q i + 1 z ˙ i + 1 z i + 1 ( p i + 1 q i + 1 ) / p i + 1 ) + 1 η i β ^ ˙ i T β ˜ i       = s i + 1 [ z i + 1 + λ i + 1 1 p i + 1 q i + 1 z i + 1 ( p i + 1 q i + 1 ) / p i + 1 ( u i + d i ( t ) α i ( x i ) x i x ˙ i ) ] + 1 η i β ^ ˙ i T β ˜ i       = s i + 1 [ λ i + 1 1 p i + 1 q i + 1 z i + 1 ( p i + 1 q i + 1 ) / p i + 1 ( H i β ^ i λ i + 1 q i + 1 z i + 1 ( q i + 1 p i + 1 ) / q i + 1 k s i + 1 / p i + 1       ε i s i g n ( s i + 1 z i + 1 ) + d i ( t ) ) ] + 1 η i β ^ ˙ i T β ˜ i
Considering the approximation error of AELMs, Equation (38) can be rewritten as:
V ˙ i + 1 ( t ) = s i + 1 [ λ i + 1 1 p i + 1 q i + 1 z i + 1 ( p i + 1 q i + 1 ) / p i + 1 ( H i β i + Δ i d λ i + 1 q i + 1 z i + 1 ( q i + 1 p i + 1 ) / q i + 1 k s i + 1 / p i + 1       ε i s i g n ( s i + 1 z i + 1 ) ) ] λ i + 1 1 p i + 1 q i + 1 z i + 1 ( p i + 1 q i + 1 ) / p i + 1 s i + 1 H i β ˜ i       s i + 1 [ k s i + 1 + λ i + 1 1 p i + 1 q i + 1 z i + 1 ( p i + 1 q i + 1 ) / p i + 1 ( Δ i d ε i s i g n ( s i + 1 z i + 1 ) ) ]       k s i + 1 2       k V i + 1 + δ i
where δ i = 1 2 η i β ˜ i T β ˜ i is the convergence error of the reaching stage.
Therefore, the finite-time convergence of error variables can be achieved, and the disturbances caused by decoupling errors and external environmental changes can be suppressed. However, under the control of traditional sliding mode reaching, the convergence time of the system is theoretically infinite. Considering the chattering characteristics of SMC, it is inevitable that the system will deviate from the sliding surface. The traditional sliding mode reaching law cannot guarantee that the time for the system to return to the sliding surface is finite. Therefore, to achieve the finite time of reaching the sliding mode when the chattering deviates from the sliding surface, it is necessary to improve the design of the system approach law.

5.3. Design of Global Finite-Time BTSM Control Based on AELM

To ensure that the system can suppress the impact of chattering in finite time and ensure the expected characteristics, an approach law based on Lemma 1 is designed to make the sliding surface reach phase time finite [42]. Then, the improved reaching law of the system is proposed:
s ˙ i + 1 = γ i ( s i + 1 / 2 2 ) m i n i s i g n ( s i + 1 ) + γ i + 1 ( s i + 1 / 2 2 ) m i + 1 n i + 1 s i g n ( s i + 1 )
where considering the design target of 0 < m i + 1 / n i + 1 < 1 < m i / n i in the expected approach law of the system and the case that the sliding surface of the integration terminal is at s i + 1 ( t ) = 0 in the initial stage, the singularity of the control law caused by the negative power term related to s i + 1 is avoided in the design process. Under the designed reaching control law, the system will suppress chattering and return to the sliding mode surface within a finite time, which will be proven later.
It should be noted that SMC can be divided into two stages: the reaching stage and the sliding stage. The designed reaching control law is employed to steer the state towards the sliding surface, aiming for s i + 1 ( t ) = 0 . Subsequently, the designed equivalent control law is utilized to steer the system towards convergence of variables within finite time under the s i + 1 ( t ) = 0 state while adhering to the established dynamic characteristics.
The sliding surface is proposed as Equation (22), with the time-varying term consistently ensuring satisfaction of s i + 1 ( t ) = 0 . Consequently, the reaching stage can be eliminated, allowing the system to directly transition into the sliding stage. However, if there is m i / n i < 0 and m i + 1 / n i + 1 < 0 , employing s as the denominator in Equation (40) would result in ( s i + 1 / 2 2 ) m i n i and ( s i + 1 / 2 2 ) m i + 1 n i + 1 tending towards infinity, rendering the control law meaningless at s i + 1 ( t ) = 0 . Furthermore, during the estimation of disturbances, the system may frequently enter sliding surface under the influence of the reaching control law u i r e .
In servo systems, the angular position/angular velocity of the motor is driven by the current signal generated by the controller. Considering s i + 1 as a bounded function comprising system state errors, the boundary of the reaching control law u i r e for different scenarios satisfies:
U i r e l u i r e U i r e h m i / n i > 0 a n d m i + 1 / n i + 1 > 0 < u i r e < +         m i / n i < 0 o r m i + 1 / n i + 1 < 0
where U i r e l and U i r e h are bounded positive constants. Therefore, in order to overcome the constraints posed by the current signal limitation of the controller, m i / n i > 0 and m i + 1 / n i + 1 > 0 are designed to circumvent the singularity of the control law. m i / n i > 1 is set to satisfy the finite-time convergence property of Lemma 1.
By adding the constraint n i + 1 / 2 < m i + 1 < n i + 1 , the singular problem of the control strategy of the inverse integral sliding mode in the sliding state can be avoided.
Therefore, the control strategy u i = u i e q + u i r e + u i r o is proposed as:
u i e q = λ i + 1 q i + 1 p i + 1 z i + 1 ( 2 q i + 1 p i + 1 ) / q i + 1 + α i x i x ˙ i u i r e = λ i + 1 2 q i + 1 p i + 1 z i + 1 ( q i + 1 p i + 1 ) / q i + 1 [ γ i ( s i + 1 / 2 ) ( 2 m i n i ) / n i s i g n ( s i + 1 )             + γ i + 1 ( s i + 1 / 2 ) ( 2 m i + 1 n i + 1 ) / n i + 1 s i g n ( s i + 1 ) ] u i r o = H i β ^ i ε i s i g n ( s i + 1 z i + 1 )
where u i e q is the equivalent control term, u i r e is the reaching law control term, u i r o is the robust control term, and n i < m i , n i + 1 / 2 < m i + 1 < n i + 1 .
As shown in Figure 4, decoupling control based on ISM is used to eliminate internal coupling and thus form three pseudo linear subsystems. Considering the modelling errors of the inverse system and external environmental disturbances, compensation control composed of adaptive neural networks is used to suppress external disturbances and decouple errors. Reaching control and equivalent control are used to make the system attain the desired closed-loop characteristics. Under the influence of the above control methods, the internal coupling and external disturbances of the system are eliminated, and tracking of the target signal can be achieved in a finite time.
Decoupling control is employed to eliminate internal coupling, SMC is utilized to achieve finite-time convergence, and AELMs are applied to mitigate the conservatism of robust terms. Since decoupling control relies on an established idealized model, the decoupled system may still be affected by unknown disturbances, primarily stemming from decoupling deviations and external environmental changes. The objective of decoupling control is to initially weaken internal coupling. On this basis, SMC is used to make the system have closed-loop characteristics due to the difficulty in accurately establishing a decoupled disturbance model. Under normal circumstances, the upper bound of the robust term is the disturbances upper bound. On the basis of AELMs, the upper bound of robust terms can be converted into the upper bound of the approximation error of the neural network. The approximation of unknown models by neural networks is used to estimate disturbances and reduce controller conservatism.

5.4. System Stability Analysis

With the proposed control strategy, a Lyapunov analysis of finite-time convergence is conducted. The system automatically converges hierarchically along the sliding surface when reaching the sliding surface, and V i ( t ) = s i 2 / 2 is clearly a finite-time stable expression. Therefore, the characteristic of the system returning to the sliding surface in a finite time is verified, and the Lyapunov function V i + 1 ( t ) is defined as follows:
V i + 1 ( t ) = s i + 1 2 / 2 + β ˜ i T β ˜ i / 2 η i
The first-order derivative of V i + 1 ( t ) with respect to t yields:
V ˙ i + 1 ( t ) = s ˙ i + 1 s i + 1 + β ^ ˙ i T β ˜ i / η i = s i + 1 ( z i + 1 + λ i + 1 1 p i + 1 q i + 1 z ˙ i + 1 z i + 1 ( p i + 1 q i + 1 ) / p i + 1 ) + 1 η i β ^ ˙ i T β ˜ i = s i + 1 [ z i + 1 + λ i + 1 1 p i + 1 q i + 1 z i + 1 ( p i + 1 q i + 1 ) / p i + 1 ( u i + d i ( t ) α i ( x i ) x i x ˙ i ) ] + 1 η i β ^ ˙ i T β ˜ i
where d i ( t ) d ^ i ( t ) = H i β i * H i β i + Δ i d = H i β ^ i + Δ i d , and Δ i d is the estimation error of the AELM and satisfies Δ i d < ε i .
By substituting Equation (35) and Equation (42), the following stability analysis is derived:
V ˙ i + 1 t = s i + 1 { λ i + 1 1 p i + 1 q i + 1 z i + 1 ( p i + 1 q i + 1 ) / q i + 1 ( H i β i H i β ^ i + Δ i d )       λ i + 1 1 p i + 1 q i + 1 z i + 1 ( p i + 1 q i + 1 ) / q i + 1 ε i s i g n ( s i + 1 z i + 1 ) [ γ i s i + 1 / 2 ( 2 m i n i ) / n i s i g n ( s i + 1 )       + γ i + 1 s i + 1 / 2 ( 2 m i + 1 n i + 1 ) / n i + 1 s i g n ( s i + 1 ) ] / 2 } + β ^ ˙ i T β ˜ i / η i
Considering that the error of the AELM is defined, the deviation from the AELM estimation can be obtained. Meanwhile, the terms used for reaching control and those used for equivalent control are separated to prove different characteristics, which is expressed as:
V ˙ i + 1 t = s i + 1 [ λ i + 1 1 p i + 1 q i + 1 z i + 1 ( p i + 1 q i + 1 ) / q i + 1 ( H i β ˜ i + Δ i d ) λ i + 1 1 p i + 1 q i + 1 z i + 1 ( p i + 1 q i + 1 ) / q i + 1 ε i s i g n ( s i + 1 z i + 1 ) ]         [ γ i ( s i + 1 / 2 ) 2 m i / n i + γ i + 1 ( s i + 1 / 2 ) 2 m i + 1 / n i + 1 ] + β ^ ˙ i T β ˜ i / η i         = s i + 1 [ λ i + 1 1 p i + 1 q i + 1 z i + 1 ( p i + 1 q i + 1 ) / q i + 1 Δ i d λ i + 1 1 p i + 1 q i + 1 z i + 1 ( p i + 1 q i + 1 ) / q i + 1 ε i s i g n ( s i + 1 z i + 1 ) ]         + ( λ i + 1 1 p i + 1 q i + 1 z i + 1 ( p i + 1 q i + 1 ) / q i s i + 1 H i + 1 η i β ^ ˙ i T ) β ˜ i γ i ( s i + 1 / 2 ) 2 m i / n i γ i + 1 ( s i + 1 / 2 ) 2 m i + 1 / n i + 1
Because the amplitude of the robust term of the system is higher than the approximation error of the neural network, the direction of system state changes and deviations can be maintained in the opposite direction by switching functions. Therefore, equation derivation can be transformed from equations to inequalities, which is expressed as:
V ˙ i + 1 t λ i + 1 1 p i + 1 q i + 1 z i + 1 ( p i + 1 q i + 1 ) / q i + 1 s i + 1 H i β ˜ i + 1 η i ( λ i + 1 1 η i p i + 1 q i + 1 z i + 1 ( p i + 1 q i + 1 ) / q i + 1 s i + 1 H i ) β ˜ i         γ i ( s i + 1 / 2 ) 2 m i / n i γ i + 1 ( s i + 1 / 2 ) 2 m i + 1 / n i + 1         = γ i + 1 ( s i + 1 2 / 2 ) m i / n i γ i + 1 ( s i + 1 2 / 2 ) m i + 1 / n i + 1         = γ i ( V i + 1 β ˜ i T β ˜ i / 2 η i ) m i / n i γ i + 1 ( V i + 1 β ˜ i T β ˜ i / 2 η i ) m i + 1 / n i + 1
It is clear that terms with even powers have a possibility of being less than zero in the initial stage of the system. When the error is less than zero, even power terms will result in the control signal being unable to be solved. Therefore, the parameter values n i / m i = 3 and m i / n i = 3 / 5 can be defined, which also satisfy the conditions n i < m i and n i + 1 / 2 < m i + 1 < n i + 1 . In addition, the finite-time convergence characteristics can also be satisfied. According to Equation (47), we obtain:
V ˙ i + 1 ( t ) γ i ( V i + 1 β ˜ i T β ˜ i / 2 η i ) 3 γ i + 1 ( V i + 1 β ˜ i T β ˜ i / 2 η i ) 3 / 5
The term containing the third power is thus expanded, and the equation is scaled down, which satisfies:
V ˙ i + 1 ( t ) γ i [ V i + 1 3 ( β ˜ i T β ˜ i ) 3 / 8 η i V i + 1 2 β ˜ i T β ˜ i / 2 η i + 3 V i + 1 ( β ˜ i T β ˜ i ) 2 / 4 η i 2 ] γ i + 1 V i + 1 3 / 5         + γ i ( 2 η i ) 3 / 5 ( β ˜ i T β ˜ i ) 3 / 5
The terms related to convergence theory are analyzed, and some terms are merged. Then, the inequality is derived as:
V ˙ i + 1 ( t ) γ i V i + 1 3 γ i + 1 V i + 1 3 / 5 + γ i ( β ˜ i T β ˜ i ) 3 / 8 η i + 3 γ i V i + 1 2 β ˜ i T β ˜ i / 2 η i + γ i + 1 ( 2 η i ) 3 / 5 ( β ˜ i T β ˜ i ) 3 / 5       = γ i V i + 1 3 γ i + 1 V i + 1 3 / 5 + δ i
where δ i = γ i ( β ˜ i T β ˜ i ) 3 / 8 η i + 3 γ i V i + 1 2 β ˜ i T β ˜ i / 2 η i + γ i + 1 ( 2 η i ) 3 / 5 ( β ˜ i T β ˜ i ) 3 is a bounded non-negative number, and its value is adjusted by adjusting the parameters. According to Lemma 1, the time of reaching stage is finite, that is, t i s . As the state is maintained on s i + 1 , the error states z i + 1 and z i converge to 0 in a finite time. Therefore, the state can return to the sliding surface in a finite time, even under chatting, and the convergence time of the system is globally finite. The decoupling control strategy based on the ISM achieves the elimination of internal coupling in the system. The stability and robustness are ensured through the backstepping integral sliding mode control strategy. Therefore, the sail servo system achieves a 3-DOF target attitude in a finite time, and the optimal position and maximum thrust can be ensured.

6. Numerical Simulation and Prototype Verification

In this section, the control strategy of the system is verified through simulation and experimentation. The 3-DOF target signals of the sail are generated through different approaches and used for system tracking. Meanwhile, the proposed control strategy (ABISMC-ISM) is compared to backstepping sliding mode control (BSMC) and PI control to ensure the analysis results with minimum errors.

6.1. Design of Comparison

To conduct comparative design of the various control strategies, the dynamic model of the system is primarily established. As shown in Table 1, the dynamics model is selected in accordance with the actual engineering situation.
Based on the dynamics model, the performance of the system under different strategies is designed and compared.
Firstly, the design of ABISMC-ISM is divided into two parts: decoupling control and sliding mode control. For decoupling control, the inverse system is constructed based on the actual measured model parameters. For SMC, the controller is established based on the expected dynamic performance. As shown in the table, the number of nodes and estimation error of the AELMs, as well as the parameters for sliding mode reaching control and sliding control, are all set for the controller.
Secondly, the BSMC used for comparison is only designed based on sliding mode control to demonstrate the effectiveness of the proposed method. Both system coupling and external environmental changes are regarded as disturbances, and the parameters for sliding mode reach control and approach control are determined with reference to the ABISMC-ISM.
Thirdly, the design of the PI control utilized is configured via the parameter autonomous tuning function embedded within the controller program. Under the load conditions of the sail and motion frames, sending commands through the upper computer can enable the controller to enter parameter adaptive mode. Within this mode, the PI controller is selected, and the parameters slated for adjustment are the proportional gain K P and integration time K I . Employing control signals of varying amplitudes on the motor serves to discern the system dynamic characteristics. Through the pursuit of optimal error minimization and response speed enhancement, the parameters of the PI controller can be fine-tuned.
As depicted in Table 2, the parameters of ABISMC-ISM, BSMC, and PI control are established according to the model, and the designed controllers are applied for numerical simulation and experimental validation.

6.2. Numerical Simulation

In the simulation environment, the 3-DOF target signal of the sail is generated through computer simulation. The proposed method and the other two methods are applied to the stabilized control system for ship propulsion-assisted sail.
To demonstrate the robustness of ABISMC-ISM, external disturbances and unmodelled dynamics are applied to each of the three subsystems. The disturbances of the system are defined as:
d 1 ( t ) = 0.25 sin ( 0.25 t + 0.5 π ) d 3 ( t ) = 0.75 sin ( 0.75 t + π ) d 5 ( t ) = 1.25 sin ( 1.25 t + 1.5 π )
Under the defined model parameters, the 3-DOF target signal is generated computationally. The sail azimuth tracking and disturbance suppression of the ship are regarded as the control objectives of the system. The range of azimuth tracking requirements for the sail is defined as [ 180 ° , 180 ° ] . The range of ship swing is defined as [ 15 ° , 15 ° ] . The desired signal is adjusted multiple times in amplitude and input into the system. The first stage target signal is defined as follows: azimuth 105°, roll 7.5°, and pitch 12.5°. After 10 s, the target signal is adjusted to azimuth 85°, roll 10°, and pitch 10°. Subsequently, it was defined as azimuth 65°, roll 15°, and pitch 15°. As shown in Figure 5, the 3-DOF attitude tracking of the system under different control strategies is simulated, and the resulting angle is reported in radians.
Compared to traditional BSMC and PI control, the ABISMC-ISM has a faster response speed and reduced overshoot in attitude tracking. In addition, the tracking accuracy for various signals has also been improved. The details of some optimizations have been displayed. For example, the proposed method can enable the system to reach the steady state at least 1 s in advance. The system can achieve disturbance suppression and maintain the desired characteristics. Moreover, the overshoot of the system during the startup phase has been significantly improved. In summary, the designed method has better transient and steady-state characteristics.
To better illustrate the advantages of the proposed method, a comparison of system errors under different methods is conducted. Figure 6 presents the 3-DOF angle tracking errors of the numerical system under different control strategies. Through detailed display, it can be observed that ABISMC-ISM exhibits reduced tracking errors and faster convergence speeds compared to the alternative approaches. In practical engineering environments, enhanced system speed and stability will contribute to improved target angle tracking performance.
During the tracking process of the system, the angular velocity tracking of the system is further verified. As shown in Figure 7, the 3-DOF angular velocity tracking of the system has also achieved better results. The transition time of the system is thus reduced by at least 1 s. Due to the fast-tracking requirement for the angle, the overshoot of the speed loop is amenable to being sacrificed. Through faster optimal azimuth tracking, the system can quickly obtain the maximum thrust along the heading.

6.3. Prototype Verification

To ensure the realizability of this method, a principle prototype referencing the actual system was constructed. As shown in Figure 8, the established principle prototype includes a 3-DOF motion simulation system of a ship and a 3-DOF stabilized control system for ship propulsion-assisted sail. The 3-DOF sway of a ship is represented by the yaw, roll, and pitch motion simulation subsystems. Meanwhile, the 3-DOF attitude of the sail is simulated by the pitch, roll, and azimuth subsystems. The wind direction and speed are generated by the fan, and the data are measured by the sensor and transmitted to the IPC. The optimal azimuth and roll and pitch angles needed for tracking are calculated through the controller. The 3-DOF stabilization system suppresses ship attitude disturbances and tracks the sway of the sail under different algorithms.
It is noteworthy that the proposed system encounters inevitable transmission delay challenges. Based on the hardware experiments conducted, the potential transmission delay primarily stems from the wind sensor and the designed controller. As for the wind sensor, owing to the real-time fluctuations in wind direction and speed, transmission delay may result in the current optimal target becoming asynchronous with the actual environment. To address the above issues, a solution was attempted to weaken the influence of transmission delay by tracking only the optimal target over a sufficiently long period. The signal transmission frequency of the sensor was adjusted to 0.1 Hz, with only one target signal generated for tracking within a 10 s interval. By setting a sufficiently long period, the influence on real-time performance can be appropriately reduced. As for the controller, the transmission delay may lead to a delay in the current control signal relative to the real-time system state. To address these challenges, the Ethernet bus system was employed as the controller’s transmission method, enabling transmission delays to be reduced to a range of microseconds to tens of microseconds. Additionally, to comprehensively address the system transmission issues, the foundational framework of the method can be expanded upon with considerations for delay. In future work, we will conduct control strategy design based on transmission-delay models to enhance the feasibility and performance of the control strategy.
Additionally, this study is continuously undergoing refinement to enable more rigorous theoretical analysis. The stability and randomness of the wind generated by the fan are constrained by the stability of wind simulation, and the existing hardware dimensions are inadequate for replicating the real-world environment accurately. During sea voyages, there exists a correlation between wind direction and wind speed over a broader area. In future studies, a special tunnel equipped with wind sensors will be developed to replicate real-world conditions. Additionally, enhancements to the hardware scale will be contemplated to yield more precise experimental results.
The sway of the ship caused by external disturbances is defined by the user and tracked by the 3-DOF ship motion simulation system. Then, the optimal sail azimuth angle is 0° with the wind direction perpendicular to the sail. The motion of each axis is defined as sinusoidal motion, yielding:
α = 0.349 sin ( 0.314 t + 1.571 ) β = 0.175 sin ( 0.628 t + 0.785 ) γ = 0.087 sin ( 1.257 t + 0.393 )
According to the kinematic model of the sail, the 3-DOF motion opposite to the ship sway is tracked by the system to maintain the stable attitude of the sail. As shown in Figure 9, the 3-DOF tracking performance is measured through sensors and transmitted to the upper computer through the controller.
The ABISMC-ISM has better accuracy and speed improvement for fast time-varying signals. Considering the need for sails to rapidly adapt to complex maritime situations, the proposed method can reach the steady-state state approximately 0.8 s earlier than other methods. Moreover, the steady-state accuracy of the system can be effectively improved by approximately 3.5°. Considering the corresponding relationship between sail thrust and direction, the proposed system offers the potential to obtain higher along-course thrust and achieve ship energy conservation.
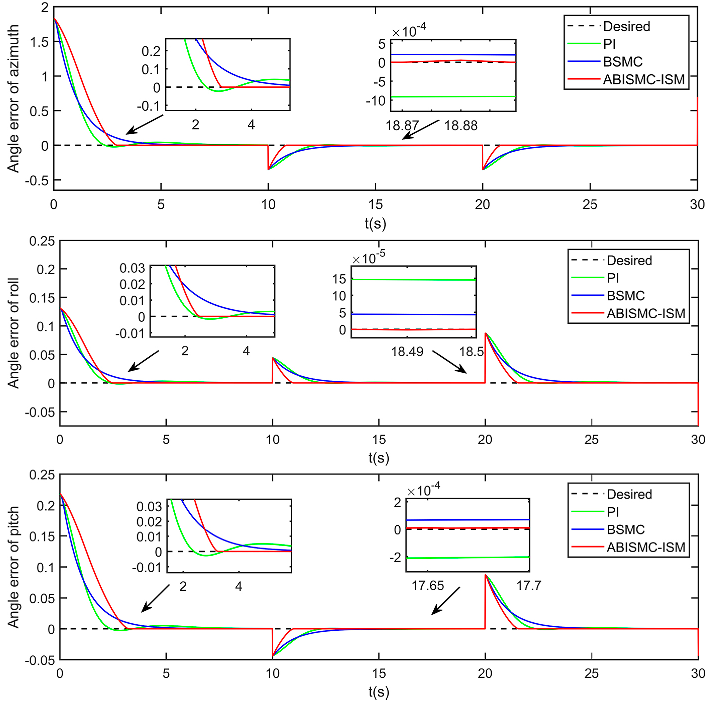
To verify the accuracy and speed of the system more clearly, the system error was measured and plotted. In Figure 10, the 3-DOF errors of the system under different methods are shown. Compared to other methods, the accuracy of the proposed system and method is improved, and the error can converge to 0 faster than that of other systems. The proposed method has better transient and steady-state performance by suppressing disturbances and eliminating the reaching stage.
Moreover, the energy-saving effect of ABISMC-ISM has been further verified. Based on aerodynamics, the thrust of the sail under the simulated wind direction and 3-DOF sail attitude can be calculated. The energy-saving performance obtained by the sail can be derived by integrating the propulsion power on a time scale, which is expressed as:
W P = 0 t F T ( α , β , γ , θ , S ) v s d t
where θ and S are the wind direction and the surface of the sail, respectively, and v s is the speed of the ship.
During a 10 s operating cycle, the wind direction is continuously adjusted at a frequency of 0.01 Hz within the range of [ 180 ° , 180 ° ] . The height and chord of the sail are defined as 12.5 m and 8.0 m, respectively, and the wind speed acting on the surface is simulated to be 10 m/s. As shown in Table 3, the energy-saving effect of the system is verified by comparing the propulsion energy obtained by the sail under different control strategies.
Compared to the other two methods, the proposed method ensures more propulsion energy during the cycle. Considering that the demand for propulsion power from sails is fixed, more sail propulsion energy reduces the ship’s demand for propulsion energy from the main engine. Energy-saving of the ship is achieved by improving the control performance of the sail. In summary, the control performance and energy-saving effect of the system are improved through optimization of the control method. Due to the correspondence between the optimal orientation of the sail and the wind direction, optimized control performance ensures the attitude adjustment effect of the sail. With the improvement of the accuracy and speed of the system, the energy-saving effect of the system has been significantly improved. Based on the experiments on the principle prototype, the potential application value has also been demonstrated.

7. Conclusions and Future Work

In this work, an adaptive finite-time backstepping integral sliding mode control is demonstrated for 3-DOF stabilized ship propulsion-assisted sail attitude tracking under external disturbances. A decoupling method based on inverse systems is designed to eliminate internal coupling and nonlinearity of the dynamic model. An integral sliding surface with time-varying parameters is sequentially constructed in the velocity loop and angle loop using the backstepping method. The reaching stage of sliding mode control is eliminated through time-varying parameters, and the resulting response speed is improved. A sliding mode approach law based on finite-time theory is designed to ensure finite-time compensation of the system under chattering behavior. Adaptive neural networks are designed to compensate for external disturbances. Finally, through simulation and experimental verification, the proposed method is shown to demonstrate better transient and steady-state characteristics than other methods. However, the present system can still be improved upon. In the practical application of this system, the transmission delay and disturbance suppression issues will require deeper study. With this in mind, the application of our proposed method on practical ships will be further explored.

Author Contributions

Conceptualization, S.L.; methodology, S.L. and L.Z.; writing—original draft preparation, J.S.; writing—review and editing, J.S.; visualization, J.S.; supervision, S.L. and L.Z; project administration, S.L. and Y.T.; funding acquisition, S.L. All authors have read and agreed to the published version of the manuscript.

Funding

This study was funded by the Fundamental Research Funds for the Central Universities under grant 3072022JC0404 and the National Natural Science Foundation of China under grant 62203133.

Institutional Review Board Statement

Not applicable.

Informed Consent Statement

Not applicable.

Data Availability Statement

The data and any statistical analysis can be made available from the corresponding author upon request.

Conflicts of Interest

The authors declare no conflicts of interest.

Appendix A

According to Equations (8)–(12), the dynamic model can be expressed as:
x ˙ 1 x ˙ 2 x ˙ 3 x ˙ 4 x ˙ 5 x ˙ 6 = x 2 B A x 2 θ ˙ s x θ ˙ s y J φ x x x 4 sin x 3 cos x 5 θ ˙ s z J φ x x x 4 cos x 3 θ ˙ s x θ ˙ s y J φ x x x 6 cos x 3 sin x 5 J φ x x B C x 6 sin x 3 + J φ x x J ϕ x x + J ψ z z sin x 3 / J C J φ x y sin x 1 sin 2 x 3 J ϕ x x J ψ z z J φ x x x 6 cos x 3 + θ ¨ s x θ ¨ s y J φ x x cos x 3 cos x 5 θ ˙ s z J φ x x sin x 3 / J A J φ x x x 4 B B x 4 θ ˙ s x J ϕ y y x 6 cos x 5 θ ˙ s y J ϕ y y x 6 sin x 5 1 2 θ ˙ s z J φ x x x 6 sin 2 x 3 1 2 J φ x x x 6 2 sin 2 x 3 + θ ¨ s x J ϕ y y sin x 5 + θ ¨ s y J ϕ y y cos x 5 1 2 θ ˙ s z 2 J φ x x sin 2 x 3 / J B J φ y y cos 2 x 1 J φ z z sin 2 x 1 J ϕ y y x 6 B C x 6 + θ ¨ s z J φ x y sin x 1 sin 2 x 3 + J ϕ x x + J ψ z z / J C J φ x y sin x 1 sin 2 x 3 J ϕ x x J ψ z z         + 0 0 K A J φ x x sin x 3 / J A J φ x x / K C K B 0 0 K C 0 υ 1 0 υ 2 0 υ 3 + 0 d 1 ( t ) 0 d 3 ( t ) 0 d 5 ( t ) y 1 y 2 y 3 = x 1 x 3 x 5
For the convenience of system description and control strategy design, Equation (A2) is redefined as:
x ˙ 1 = x 2 x ˙ 2 = f 1 ( x 1 , , x 6 ) + K A υ 1 + d 1 ( t ) x ˙ 3 = x 4 x 4 = f 2 ( x 1 , , x 6 ) + K B υ 2 + d 3 ( t ) x ˙ 5 = x 6 x ˙ 6 = f 3 ( x 1 , , x 6 ) + K C υ 3 + g 1 ( x 1 , , x 6 ) υ 1 + d 5 ( t ) , y 1 y 2 y 3 = x 1 x 3 x 5
where f 1 ( x 1 , , x 6 ) = B A x 2 θ ˙ s x θ ˙ s y J φ x x x 4 sin x 3 cos x 5 θ ˙ s z J φ x x x 4 cos x 3 θ ˙ s x θ ˙ s y J φ x x x 6 cos x 3 sin x 5 J φ x x B C x 6 sin x 3 + J φ x x J ϕ x x + J ψ z z sin x 3 / J C J φ x y sin x 1 sin 2 x 3 J ϕ x x J ψ z z J φ x x x 6 cos x 3 + θ ¨ s x θ ¨ s y J φ x x cos x 3 cos x 5 θ ˙ s z J φ x x sin x 3 / J A J φ x x , f 2 ( x 1 , , x 6 ) = B B x 4 θ ˙ s x J ϕ y y x 6 cos x 5 θ ˙ s y J ϕ y y x 6 sin x 5 1 2 θ ˙ s z J φ x x x 6 sin 2 x 3 1 2 J φ x x x 6 2 sin 2 x 3 + θ ¨ s x J ϕ y y sin x 5 + θ ¨ s y J ϕ y y cos x 5 1 2 θ ˙ s z 2 J φ x x sin 2 x 3 / J B J φ y y cos 2 x 1 J φ z z sin 2 x 1 J ϕ y y ,
f 3 ( x 1 , , x 6 ) = B C x 6 + θ ¨ s z J φ x y sin x 1 sin 2 x 3 + J ϕ x x + J ψ z z / J C J φ x y sin x 1 sin 2 x 3 J ϕ x x J ψ z z , g ( x 1 , , x 6 ) = J φ x x sin x 3 / J A J φ x x / K C , K A , K B , and K C are the electromagnetic torque coefficients in Equation (12).

References

  1. Pan, P.; Sun, Y.; Yuan, C.; Yan, X.; Tang, X. Research progress on ship power systems integrated with new energy sources: A review. Renew. Sustain. Energy Rev. 2021, 144, 111048. [Google Scholar] [CrossRef]
  2. Ma, Y.; Bi, H.; Hu, M.; Zheng, Y.; Gan, L. Hard sail optimization and energy efficiency enhancement for sail-assisted vessel. Ocean Eng. 2019, 173, 687–699. [Google Scholar] [CrossRef]
  3. He, J.; Hu, Y.; Tang, J.; Xue, S. Research on sail aerodynamics performance and sail-assisted ship stability. J. Wind Eng. Ind. Aerodyn. 2015, 146, 81–89. [Google Scholar] [CrossRef]
  4. Nyanya, M.N.; Vu, H.B.; Schönborn, A.; Ölçer, A.I. Wind and solar assisted ship propulsion optimisation and its application to a bulk carrier. Sustain. Energy Technol. Assess. 2021, 47, 101397. [Google Scholar] [CrossRef]
  5. Liu, S.; Song, J.; Zhang, L. Research on 3-DOF stabilized control system of ship propulsion-assisting sail. Ocean Eng. 2023, 278, 114370. [Google Scholar] [CrossRef]
  6. Zhou, X.; Zhang, H.; Yu, R. Decoupling control for two-axis inertially stabilized platform based on an inverse system and internal model control. Mechatronics 2014, 24, 1203–1213. [Google Scholar] [CrossRef]
  7. Xia, Y.; Xu, G.; Xu, K.; Chen, Y.; Xiang, X.; Ji, Z. Dynamics and control of underwater tension leg platform for diving and leveling. Ocean Eng. 2015, 109, 454–478. [Google Scholar] [CrossRef]
  8. Kim, S.; Cho, B.; Shin, S.; Oh, J.; Hwangbo, J.; Park, H. Force Control of a Hydraulic Actuator with a Neural Network Inverse Model. IEEE Robot. Autom. Lett. 2021, 6, 2814–2821. [Google Scholar] [CrossRef]
  9. Xu, F.; Zhou, C.; Liu, X.; Wang, J. GRNN inverse system based decoupling control strategy for active front steering and hydro-pneumatic suspension systems of emergency rescue vehicle. Mech. Syst. Signal Proc. 2022, 167, 108595. [Google Scholar] [CrossRef]
  10. Bu, W.; Zhang, F.; He, F.; Sun, L.; Qiao, Y. Neural network inverse system decoupling fuzzy self-tuning proportional–derivative control strategy of a bearingless induction motor. Proc. Inst. Mech. Eng. Part I J. Syst. Control Eng. 2021, 235, 1113–1124. [Google Scholar] [CrossRef]
  11. Wang, S.; Zhu, H.; Wu, M.; Zhang, W. Active Disturbance Rejection Decoupling Control for Three-Degree-of- Freedom Six-Pole Active Magnetic Bearing Based on BP Neural Network. IEEE Trans. Appl. Supercond. 2020, 30, 1–5. [Google Scholar] [CrossRef]
  12. Fang, J.; Ren, Y. Decoupling Control of Magnetically Suspended Rotor System in Control Moment Gyros Based on an Inverse System Method. IEEE Asme Trans. Mechatron. 2012, 17, 1133–1144. [Google Scholar] [CrossRef]
  13. Wu, H.; Gao, Q.; Wang, C.; Zhao, W. Decoupling control of chassis integrated system for electric wheel vehicle. Proc. Inst. Mech. Eng. Part D J. Automob. Eng. 2020, 234, 1515–1531. [Google Scholar] [CrossRef]
  14. Fu, Y.; Zhou, X.; Wan, B.; Yang, X. Decoupled adaptive terminal sliding mode control strategy for a 6-DOF electro-hydraulic suspension test rig with RBF coupling force compensator. Proc. Inst. Mech. Eng. Part C J. Mech. Eng. Sci. 2023, 237, 4339–4357. [Google Scholar] [CrossRef]
  15. Li, J.; Feng, D.; Pi, B.; Li, J.; Liu, B. Adaptive Dynamic Sliding Mode Control of Coupled-Inductor Single-Input Dual-Output Buck Converters Based on Inverse System Theory. J. Electr. Eng. Technol. 2023, 18, 2823–2834. [Google Scholar] [CrossRef]
  16. Moulay, E.; Léchappé, V.; Bernuau, E.; Defoort, M.; Plestan, F. Fixed-time sliding mode control with mismatched disturbances. Automatica 2022, 136, 110009. [Google Scholar] [CrossRef]
  17. Kruse, O.; Mukhamejanova, A.; Mercorelli, P. Differential Steering System for Vehicular Yaw Tracking Motion with Help of Sliding Mode Control. In Proceedings of the 2022 23rd International Carpathian Control Conference (ICCC), Sinaia, Romania, 29 May–1 June 2022; pp. 58–63. [Google Scholar]
  18. Nguyen, N.P.; Oh, H.; Moon, J. Continuous Nonsingular Terminal Sliding-Mode Control with Integral-Type Sliding Surface for Disturbed Systems: Application to Attitude Control for Quadrotor UAVs Under External Disturbances. IEEE Trans. Aerosp. Electron. Syst. 2022, 58, 5635–5660. [Google Scholar] [CrossRef]
  19. Kruse, O.; Mukhamejanova, A.; Mercorelli, P. Super-Twisting Sliding Mode Control for Differential Steering Systems in Vehicular Yaw Tracking Motion. Electronics 2022, 11, 1330. [Google Scholar] [CrossRef]
  20. Seeber, R.; Reichhartinger, M. Conditioned Super-Twisting Algorithm for systems with saturated control action. Automatica 2020, 116, 108921. [Google Scholar] [CrossRef]
  21. Russo, A.; Incremona, G.P.; Cavallo, A. Higher-Order Sliding Mode design with Bounded Integral Control generation. Automatica 2022, 143, 110430. [Google Scholar] [CrossRef]
  22. Zhang, W.; Wu, W.; Li, Z.; Du, X.; Yan, Z. Three-Dimensional Trajectory Tracking of AUV Based on Nonsingular Terminal Sliding Mode and Active Disturbance Rejection Decoupling Control. J. Mar. Sci. Eng. 2023, 11, 959. [Google Scholar] [CrossRef]
  23. Moulay, E.; Lechappe, V.; Bernuau, E.; Plestan, F. Robust Fixed-Time Stability: Application to Sliding-Mode Control. IEEE Trans. Autom. Control 2022, 67, 1061–1066. [Google Scholar] [CrossRef]
  24. Hou, H.; Yu, X.; Xu, L.; Rsetam, K.; Cao, Z. Finite-Time Continuous Terminal Sliding Mode Control of Servo Motor Systems. IEEE Trans. Ind. Electron. 2020, 67, 5647–5656. [Google Scholar] [CrossRef]
  25. Sacchi, N.; Incremona, G.P.; Ferrara, A. Neural Network-Based Practical/Ideal Integral Sliding Mode Control. IEEE Control Syst. Lett. 2022, 6, 3140–3145. [Google Scholar] [CrossRef]
  26. Ai, Y.; Wang, H. Fixed-time integral fast nonsingular terminal sliding mode control and its application to chaos suppression in gyros system. Int. J. Control 2023, 1–8, (ahead-of-print) . [Google Scholar] [CrossRef]
  27. Kao, Y.; Liu, X.; Song, M.; Zhao, L.; Zhang, Q. Nonfragile-Observer-Based Integral Sliding Mode Control for a Class of Uncertain Switched Hyperbolic Systems. IEEE Trans. Autom. Control 2023, 68, 5059–5066. [Google Scholar] [CrossRef]
  28. Zhu, C.; Chen, J.; Zhang, H. Attitude Control for Quadrotors Under Unknown Disturbances Using Triple-Step Method and Nonlinear Integral Sliding Mode. IEEE Trans. Ind. Electron. 2023, 70, 5004–5012. [Google Scholar] [CrossRef]
  29. Sheng, Y.; Gan, J.; Xia, L. Predefined-time fractional-order time-varying sliding mode control and its application in hypersonic vehicle guidance law. Nonlinear Dyn. 2023, 111, 14177–14198. [Google Scholar] [CrossRef]
  30. Jianqing, M.; Zibin, X. Backstepping control for a class of uncertain systems based on non-singular terminal sliding mode. In Proceedings of the 2009 International Conference on Industrial Mechatronics and Automation, Chengdu, China, 15–16 May 2009; pp. 169–172. [Google Scholar]
  31. Van, M.; Mavrovouniotis, M.; Ge, S.S. An Adaptive Backstepping Nonsingular Fast Terminal Sliding Mode Control for Robust Fault Tolerant Control of Robot Manipulators. IEEE Trans. Syst. Man Cybern. Syst. 2019, 49, 1448–1458. [Google Scholar] [CrossRef]
  32. Mofid, O.; Mobayen, S. Adaptive Finite-Time Backstepping Global Sliding Mode Tracker of Quad-Rotor UAVs Under Model Uncertainty, Wind Perturbation, and Input Saturation. IEEE Trans. Aerosp. Electron. Syst. 2022, 58, 140–151. [Google Scholar] [CrossRef]
  33. Luo, F.; Liu, G.; Guo, W.; Chen, G.; Xiong, N. ML-KELM: A Kernel Extreme Learning Machine Scheme for Multi-Label Classification of Real Time Data Stream in SIoT. IEEE Trans. Netw. Sci. Eng. 2022, 9, 1044–1055. [Google Scholar] [CrossRef]
  34. Zheng, X.; Li, H.; Ahn, C.K.; Yao, D. NN-Based Fixed-Time Attitude Tracking Control for Multiple Unmanned Aerial Vehicles with Nonlinear Faults. IEEE Trans. Aerosp. Electron. Syst. 2023, 59, 1738–1748. [Google Scholar] [CrossRef]
  35. Wang, Y.; Zhang, X.; Li, Z.; Chen, X.; Su, C. Adaptive Implicit Inverse Control for a Class of Butterfly-Like Hysteretic Nonlinear Systems and Its Application to Dielectric Elastomer Actuators. IEEE Trans. Ind. Electron. 2023, 70, 731–740. [Google Scholar] [CrossRef]
  36. Zou, Q.; Zhang, D.; Zhang, S.; Luo, X. Kinematic and dynamic analysis of a 3-DOF parallel mechanism. Int. J. Mech. Mater. Des. 2021, 17, 587–599. [Google Scholar] [CrossRef]
  37. Cabarbaye, A.; Lozano, R.; Bonilla Estrada, M. Adaptive quaternion control of a 3-DOF inertial stabilised platforms. Int. J. Control 2020, 93, 473–482. [Google Scholar] [CrossRef]
  38. Wu, J.; Lu, Y. Decoupling and Optimal Control of Multilevel Buck DC–DC Converters with Inverse System Theory. IEEE Trans. Ind. Electron. 2020, 67, 7861–7870. [Google Scholar] [CrossRef]
  39. Verma, N.; Baloni, B.D. Artificial neural network-based meta-models for predicting the aerodynamic characteristics of two-dimensional airfoils for small horizontal axis wind turbine. Clean Technol. Environ. Policy 2022, 24, 563–577. [Google Scholar] [CrossRef]
  40. Bartl, J.; Sagmo, K.F.; Bracchi, T.; Sætran, L. Performance of the NREL S826 airfoil at low to moderate Reynolds numbers—A reference experiment for CFD models. Eur. J. Mech. B Fluids 2019, 75, 180–192. [Google Scholar] [CrossRef]
  41. Van, M.; Sam Ge, S.; Ceglarek, D. Global finite-time cooperative control for multiple manipulators using integral sliding mode control. Asian J. Control 2022, 24, 2862–2876. [Google Scholar] [CrossRef]
  42. Wang, Y.; Qu, Y.; Zhao, S.; Cajo, R.; Fu, H. Smooth Sliding Mode Control for Path Following of Underactuated Surface Vehicles Based on LOS Guidance. J. Mar. Sci. Eng. 2023, 11, 2214. [Google Scholar] [CrossRef]
Figure 1. Schematic diagram of the system.
Figure 1. Schematic diagram of the system.
Jmse 12 00348 g001
Figure 2. The coordinate system of the hull and the 3-DOF stabilized system.
Figure 2. The coordinate system of the hull and the 3-DOF stabilized system.
Jmse 12 00348 g002
Figure 3. Preliminary overall framework of the system with decoupling control.
Figure 3. Preliminary overall framework of the system with decoupling control.
Jmse 12 00348 g003
Figure 4. Schematic diagram of the overall controller structure.
Figure 4. Schematic diagram of the overall controller structure.
Jmse 12 00348 g004
Figure 5. The 3-DOF angle tracking of the numerical system under different control strategies.
Figure 5. The 3-DOF angle tracking of the numerical system under different control strategies.
Jmse 12 00348 g005
Figure 6. The 3-DOF angle tracking errors of the numerical system under different control strategies.
Figure 6. The 3-DOF angle tracking errors of the numerical system under different control strategies.
Jmse 12 00348 g006
Figure 7. The 3-DOF angular velocity tracking of the numerical system under different control strategies.
Figure 7. The 3-DOF angular velocity tracking of the numerical system under different control strategies.
Jmse 12 00348 g007
Figure 8. The hardware structure of the principle prototype.
Figure 8. The hardware structure of the principle prototype.
Jmse 12 00348 g008
Figure 9. The 3-DOF angle tracking of the hardware system under different control strategies.
Figure 9. The 3-DOF angle tracking of the hardware system under different control strategies.
Jmse 12 00348 g009
Figure 10. The 3-DOF angle tracking error of the hardware system under different control strategies.
Figure 10. The 3-DOF angle tracking error of the hardware system under different control strategies.
Jmse 12 00348 g010
Table 1. Parameters of system dynamics model.
Table 1. Parameters of system dynamics model.
SymbolValueSymbolValueSymbolValue
J φ x x 0.84 kg∙m2 J φ y y 0.71 kg∙m2 J φ z z 0.66 kg∙m2
J φ x y 0.23 kg∙m2 J ϕ x x 0.25 kg∙m2 J ϕ y y , J ϕ z z 2.62 kg∙m2
J ψ x x , J ψ y y 3.55 kg∙m2 J ψ z z 3.83 kg∙m2 J A 0.01 kg∙m2
J B , J C 0.03 kg∙m2 K A 0.05 N∙m/A K B , K C 0.22 N∙m/A
B A 0.02 N∙m/(rad/s) B B 0.1 N∙m/(rad/s) B C 0.1 N∙m/(rad/s)
Table 2. Parameters of the designed control strategy (ABISMC-ISM, BSMC, and PI control).
Table 2. Parameters of the designed control strategy (ABISMC-ISM, BSMC, and PI control).
SymbolValueSymbolValueSymbolValue
n i 1 n i + 1 5 η i 5
γ i , γ i + 1 1 λ i , λ i + 1 1 p i , p i + 1 3
q i , q i + 1 5 m i , m i + 1 3 N i 30
ε i 5 K i P 206 K i I 7
Table 3. Energy-saving performance of the system under different control strategies.
Table 3. Energy-saving performance of the system under different control strategies.
Method AdoptedPIDBSMCBISMC-ISM
Propulsion Energy (KW∙H)12.2813.5414.07
Disclaimer/Publisher’s Note: The statements, opinions and data contained in all publications are solely those of the individual author(s) and contributor(s) and not of MDPI and/or the editor(s). MDPI and/or the editor(s) disclaim responsibility for any injury to people or property resulting from any ideas, methods, instructions or products referred to in the content.

Share and Cite

MDPI and ACS Style

Liu, S.; Song, J.; Zhang, L.; Tan, Y. Adaptive Finite-Time Backstepping Integral Sliding Mode Control of Three-Degree-of-Freedom Stabilized System for Ship Propulsion-Assisted Sail Based on the Inverse System Method. J. Mar. Sci. Eng. 2024, 12, 348. https://doi.org/10.3390/jmse12020348

AMA Style

Liu S, Song J, Zhang L, Tan Y. Adaptive Finite-Time Backstepping Integral Sliding Mode Control of Three-Degree-of-Freedom Stabilized System for Ship Propulsion-Assisted Sail Based on the Inverse System Method. Journal of Marine Science and Engineering. 2024; 12(2):348. https://doi.org/10.3390/jmse12020348

Chicago/Turabian Style

Liu, Sheng, Jian Song, Lanyong Zhang, and Yinchao Tan. 2024. "Adaptive Finite-Time Backstepping Integral Sliding Mode Control of Three-Degree-of-Freedom Stabilized System for Ship Propulsion-Assisted Sail Based on the Inverse System Method" Journal of Marine Science and Engineering 12, no. 2: 348. https://doi.org/10.3390/jmse12020348

APA Style

Liu, S., Song, J., Zhang, L., & Tan, Y. (2024). Adaptive Finite-Time Backstepping Integral Sliding Mode Control of Three-Degree-of-Freedom Stabilized System for Ship Propulsion-Assisted Sail Based on the Inverse System Method. Journal of Marine Science and Engineering, 12(2), 348. https://doi.org/10.3390/jmse12020348

Note that from the first issue of 2016, this journal uses article numbers instead of page numbers. See further details here.

Article Metrics

Back to TopTop