The Role of Quantified Parameters on River Plume Structure: Numerical Simulation
Abstract
1. Introduction
- How does the three-dimensional form of a river plume evolve (particularly near the shelf slope) and what are the separation characteristics?
- What are the dominant parameters controlling a river plume, and how do they influence the dynamics?
- How does a river plume develop under the condition of an extremely gentle slope (e.g., 5 × 10−4), which cannot be replicated in laboratory experiments?
- What is the relative strength of stratification and mixing during the development process?
2. Numerical Setup and Methods
2.1. Model Settings
2.2. Governing Equations
2.3. Reformulation Approach and Condition Settings for the Solver
2.4. Quantified Parameters and Cases
2.5. Model Validation
2.5.1. Grid Sensitivity Analysis
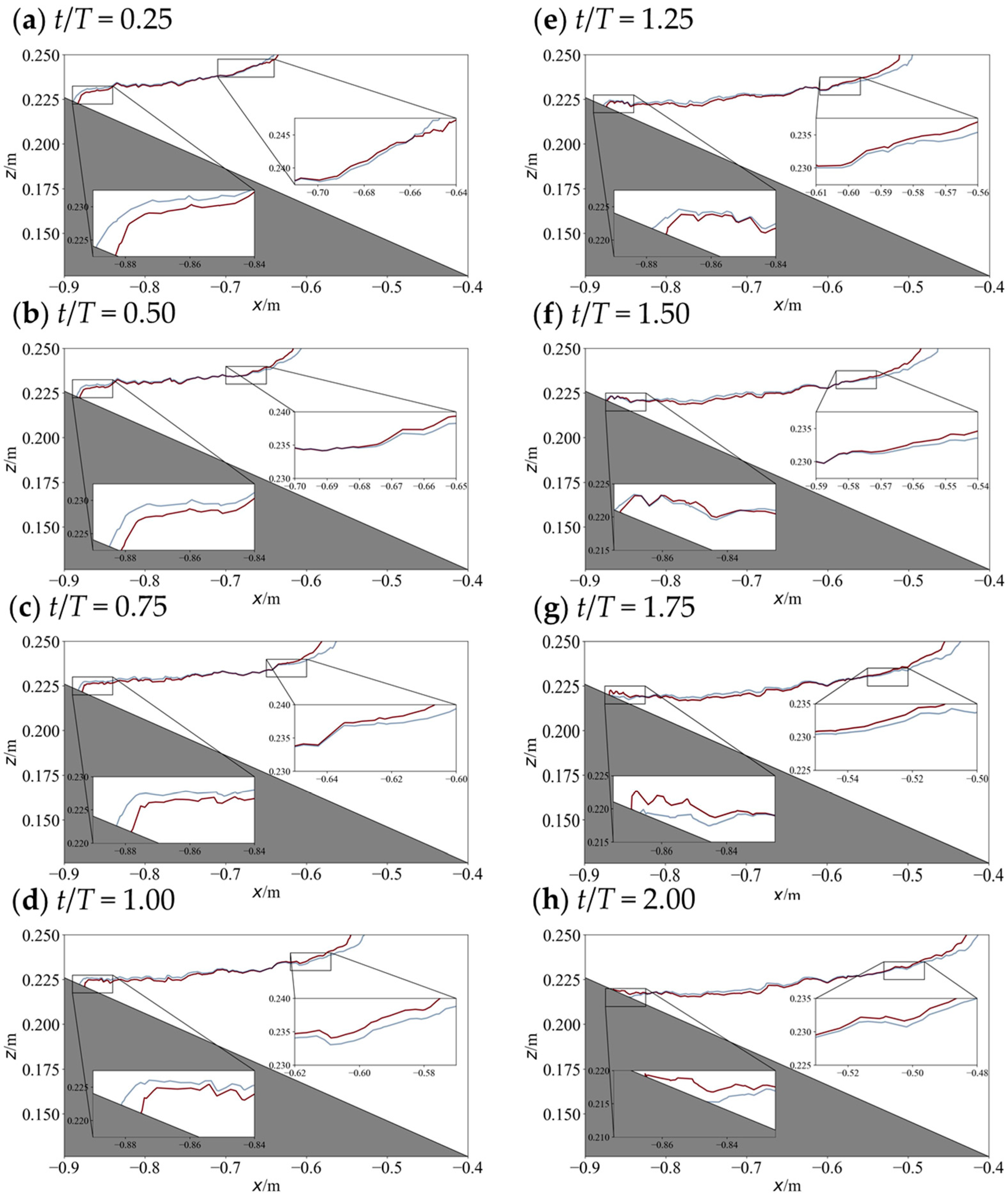
2.5.2. Comparison between Present Simulation and Experimental Data
3. Results and Discussion
3.1. Plume Classification
3.2. Gradient Richardson Number
3.3. Effect of Reduced Gravity on River Plume Morphology
3.4. How the Salinity Field Varies with Time under Different Shelf Slopes
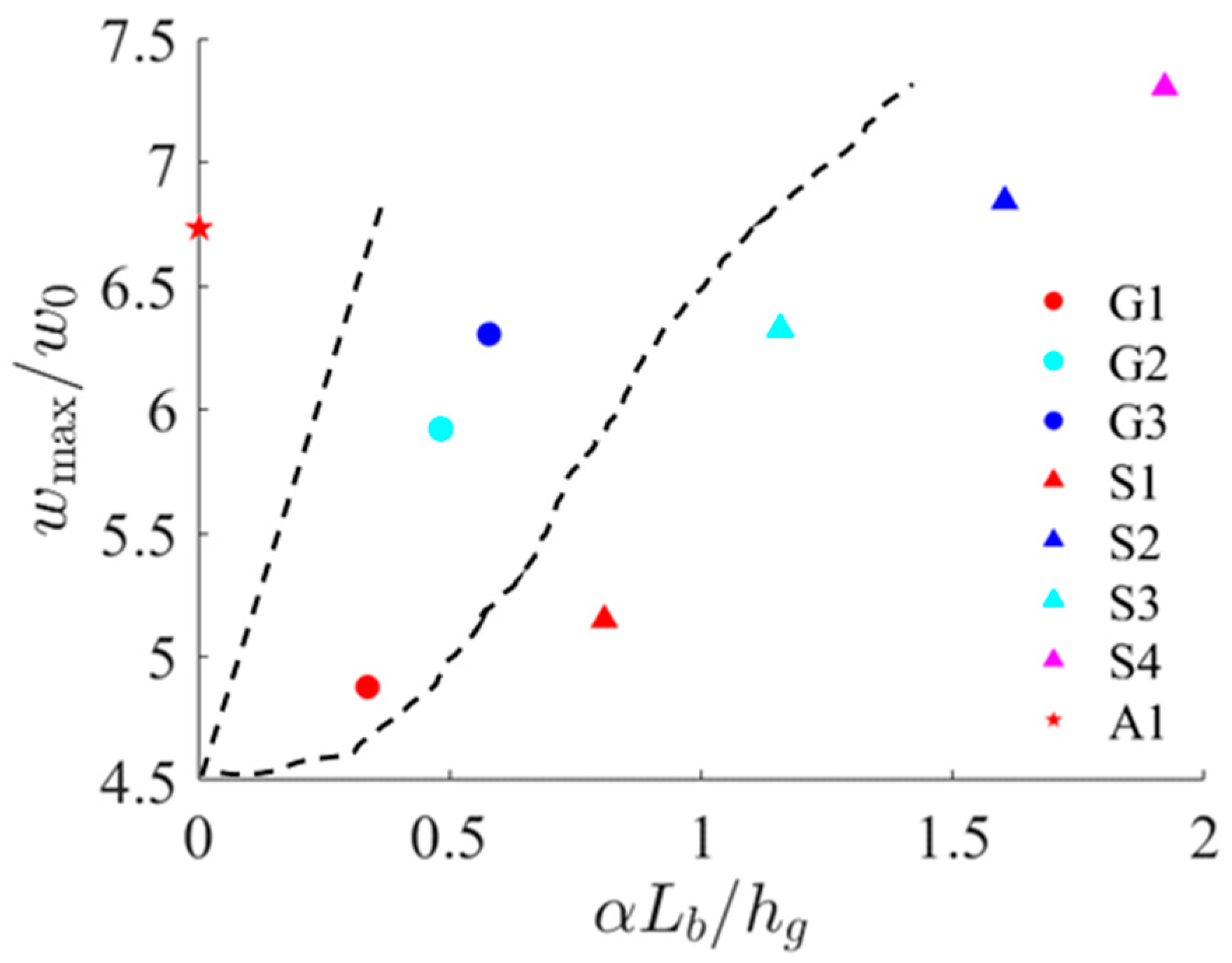
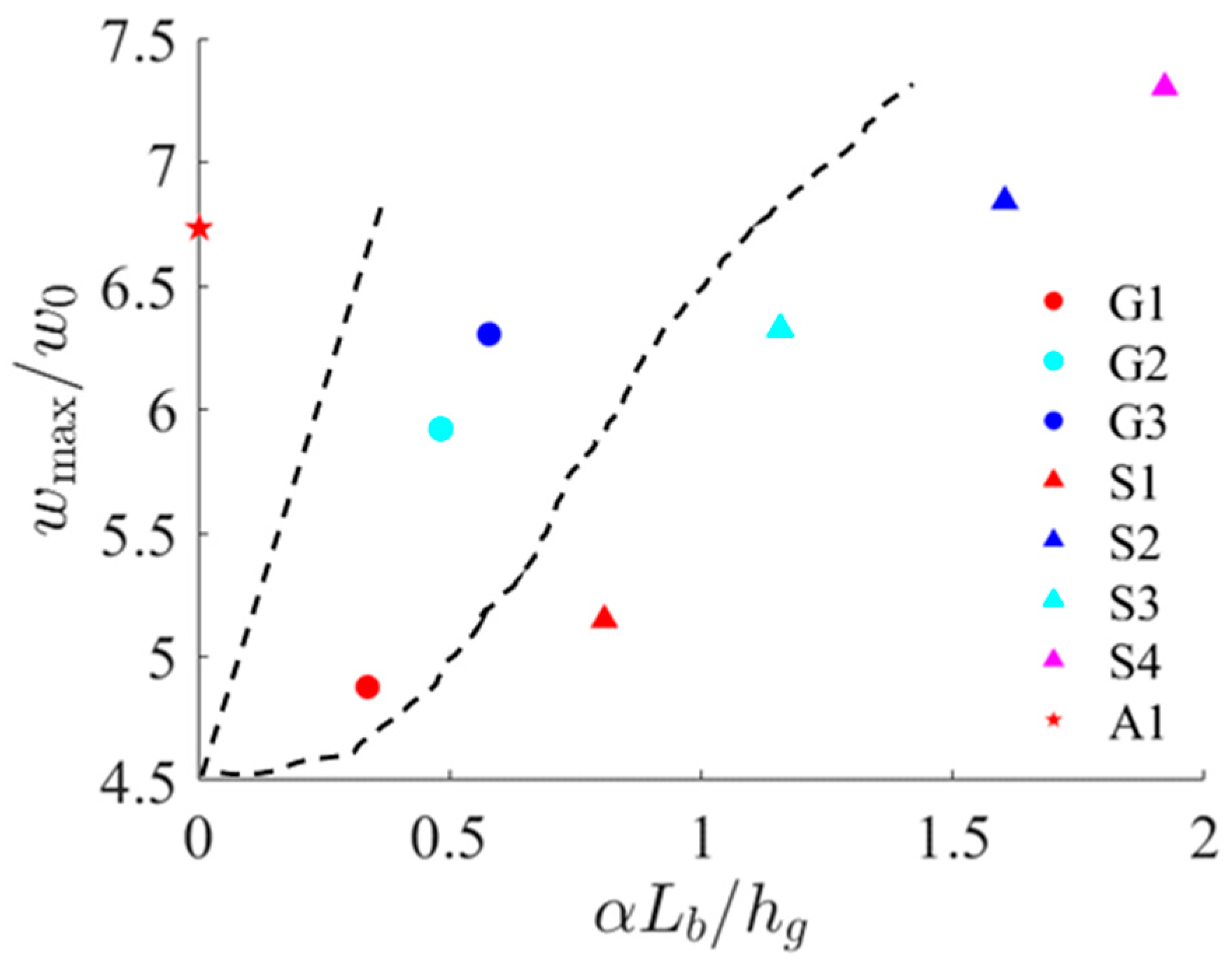
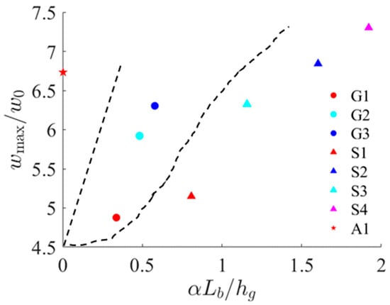
3.5. Analysis of the Statistical Distribution of the Maximum Widths
4. Conclusions
- The numerical model effectively replicates the evolution process of river plumes and the inherently unstable vortex structure observed in laboratory experiments conducted under windless and rainless conditions. It extends the parameter spaces that are inaccessible through conventional laboratory experiments, as demonstrated by employing an exceedingly gentle slope. Meanwhile, current numerical simulations complement the previous experimental study by addressing the lack of vertical profile analysis.
- The outline of the plume bulge quite accurately delineates the external region where the gradient Richardson number is less than 0.25, indicating strong shear, while in the majority of the internal region of the plume bulge, it is larger than 0.25. The region near the wall exhibits a lower gradient Richardson number, considering higher rotational kinetic energy. Inside the plume bulge, the gradient Richardson number near the bottom slope is more likely to be less than 0.25 compared to near the top.
- The bulge instability number evaluates the stability of a river plume from a holistic perspective. For gentle slope cases, designating certain river plumes as unstable does not necessarily imply that extensive regions within the bulge exhibit weak stratification. On the other hand, the area of the region with weak stratification is quite small for steep slope cases, which further substantiates its characterization as a stable river plume. Steep slopes correspond to a larger distribution area and color depth in strong stratification regions.
- A larger reduced gravity does promote the propagation of river plumes, especially in the upper layer of water, but it is not as intuitive as the influence of rotation period and slope on plume structure. When the shelf slope approaches 0, the offshore movement becomes stronger while the alongshore coastal current comes into being with a delay related to the slope and the rotation period.
- Compared with the steep slope case and the extremely gentle slope case, with the same rotation period and reduced gravity, the horizontal coordinate of the point corresponding to the maximum width in the gentle slope case at about t = 1.5 T changed significantly. However, similar sections also exist in these three cases. A larger shelf slope accelerates the development of river plumes, evidently.
Author Contributions
Funding
Institutional Review Board Statement
Informed Consent Statement
Data Availability Statement
Acknowledgments
Conflicts of Interest
References
- Griffiths, R.W. Gravity Currents in Rotating Systems. Annu. Rev. Fluid Mech. 1986, 18, 59–89. [Google Scholar] [CrossRef]
- Saunders, P.M. The Instability of a Baroclinic Vortex. J. Phys. Oceanogr. 1973, 3, 61–65. [Google Scholar] [CrossRef]
- Horner-Devine, A.R.; Fong, D.A.; Monismith, S.G.; Maxworthy, T. Laboratory experiments simulating a coastal river inflow. J. Fluid Mech. 2006, 555, 203–232. [Google Scholar] [CrossRef]
- Nof, D.; Pichevin, T. The Ballooning of Outflows. J. Phys. Oceanogr. 2001, 31, 3045–3058. [Google Scholar] [CrossRef]
- Chapman, D.C.; Lentz, S.J. Trapping of a Coastal Density Front by the Bottom Boundary Layer. J. Phys. Oceanogr. 1994, 24, 1464–1479. [Google Scholar] [CrossRef]
- Garvine, R.W. Physical features of the Connecticut River outflow during high discharge. J. Geophys. Res. (1896–1977) 1974, 79, 831–846. [Google Scholar]
- Rabalais, N.N.; Turner, R.E.; Wiseman, W.J. Gulf of Mexico Hypoxia, A.K.A. “The Dead Zone”. Annu. Rev. Ecol. Syst. 2002, 33, 235–263. [Google Scholar] [CrossRef]
- Münchow, A.; Garvine, R.W. Dynamical properties of a buoyancy-driven coastal current. J. Geophys. Res. Ocean. 1993, 98, 20063–20077. [Google Scholar] [CrossRef]
- Mudroch, A. Distribution of Major Elements and Metals in Sediment Cores from the Western Basin of Lake Ontario. J. Great Lakes Res. 1983, 9, 125–133. [Google Scholar] [CrossRef]
- Yankovsky, A.E.; Hickey, B.M.; Münchow, A.K. Impact of variable inflow on the dynamics of a coastal buoyant plume. J. Geophys. Res. Ocean. 2001, 106, 19809–19824. [Google Scholar] [CrossRef]
- Fong, D.A.; Geyer, W.R. The Alongshore Transport of Freshwater in a Surface-Trapped River Plume. J. Phys. Oceanogr. 2002, 32, 957–972. [Google Scholar] [CrossRef]
- Chen, S.-N.; Geyer, W.R.; Hsu, T.-J. A Numerical Investigation of the Dynamics and Structure of Hyperpycnal River Plumes on Sloping Continental Shelves. J. Geophys. Res. Ocean. 2013, 118, 2702–2718. [Google Scholar] [CrossRef]
- Fofonova, V.; Kärnä, T.; Klingbeil, K.; Androsov, A.; Kuznetsov, I.; Sidorenko, D.; Danilov, S.; Burchard, H.; Wiltshire, K.H. Plume spreading test case for coastal ocean models. Geosci. Model Dev. 2021, 14, 6945–6975. [Google Scholar] [CrossRef]
- Brasseale, E.; MacCready, P. The Shelf Sources of Estuarine Inflow. J. Phys. Oceanogr. 2021, 51, 2407–2421. [Google Scholar] [CrossRef]
- Xiao, Y.; Yang, Z.; Wang, F.; Liu, M. Large eddy simulation of the hydrodynamic behavior of horizontal side jets in compound open channels with vegetated floodplain. Environ. Sci. Pollut. Res. 2020, 27, 7967–7983. [Google Scholar] [CrossRef] [PubMed]
- Hamlington, P.E.; Meehan, M.A.; Wimer, N.T. Richardson and Reynolds Number Effects on the near Field of Buoyant Plumes: Temporal Variability and Puffing. J. Fluid Mech. 2022, 950, A24. [Google Scholar]
- Shi, H.; Negretti, M.E.; Chauchat, J.; Blanckaert, K.; Lemmin, U.; Barry, D.A. Unconfined Plunging of a Hyperpycnal River Plume Over a Sloping Bed and Its Lateral Spreading: Laboratory Experiments and Numerical Modeling. Water Resour. Res. 2022, 58, e2022WR032633. [Google Scholar] [CrossRef]
- Yuan, Y.; Tan, X.; Lin, Y.-T. Effect of sloping bottom on river plume dynamics on a laboratory-scale rotating table. Front. Mar. Sci. 2023, 10, 1126088. [Google Scholar] [CrossRef]
- Mayeli, P.; Sheard, G.J. Buoyancy-driven flows beyond the Boussinesq approximation: A brief review. Int. Commun. Heat Mass Transfer 2021, 125, 105316. [Google Scholar] [CrossRef]
- Balachandar, S.; Cantero, M.I.; Garcia, M.H. High-resolution simulations of cylindrical density currents. J. Fluid Mech. 2007, 590, 437–469. [Google Scholar]
- Rouhnia, M.; Strom, K.; Liu, X. Experiments and modeling of density instabilities driven by interface shear and their influence on removal of sediment from buoyant plumes. In Proceedings of the International Conference on Fluvial Hydraulics, St. Louis, MO, USA, 10–14 July 2016. [Google Scholar]
- Lorenzis, L.D.; Düster, A.; Guazzelli, É.; Rammerstorfer, F.G.; Wall, W.A.; Schrefler, B.; Serafini, P. Modeling in Engineering Using Innovative Numerical Methods for Solids and Fluids; Springer: Cham, Switzerland, 2020. [Google Scholar]
- Launder, B.E.; Reece, G.J.; Rodi, W. Progress in the development of a Reynolds-stress turbulence closure. J. Fluid Mech. 1975, 68, 537–566. [Google Scholar] [CrossRef]
- Von Kármán, T. Mechanical Similitude and Turbulence; National Advisory Committee for Aeronautics: Washington, WA, USA, 1931. [Google Scholar]
- Popovac, M.; Hanjalic, K. Compound Wall Treatment for RANS Computation of Complex Turbulent Flows and Heat Transfer. Flow Turbul. Combust. 2007, 78, 177–202. [Google Scholar] [CrossRef]
- Song, H.; Yuan, Y.; Lin, Y.-T.; Wang, Y.; Song, J. Laboratory investigation of the plume-to-plume interaction in a rotating tank. Phys. Fluids 2023, 35, 126608. [Google Scholar] [CrossRef]
- Montagna, P.A.; Palmer, T.A.; Pollack, J.B. Hydrological Changes and Estuarine Dynamics, 1st ed.; SpringerBriefs in Environmental Science; Springer: New York, NY, USA, 2012; Volume 8, p. 94. [Google Scholar]
- Zhu, L.; He, Q.; Shen, J.; Wang, Y. The influence of human activities on morphodynamics and alteration of sediment source and sink in the Changjiang Estuary. Geomorphology 2016, 273, 52–62. [Google Scholar] [CrossRef]
- Yankovsky, A.E.; Chapman, D.C. A Simple Theory for the Fate of Buoyant Coastal Discharges. J. Phys. Oceanogr. 1997, 27, 1386–1401. [Google Scholar] [CrossRef]
- Turner, J.S. Buoyancy Effects in Fluids, 1st ed.; Cambridge University Press: Cambridge, UK, 1973; p. 382. [Google Scholar]
- Millero, F.J.; Huang, F. The density of seawater as a function of salinity (5 to 70 g kg−1) and temperature (273.15 to 363.15 K). Ocean. Sci. 2009, 5, 91–100. [Google Scholar] [CrossRef]
- Tafarojnoruz, A.; Lauria, A. Large Eddy Simulation of the Turbulent Flow Field around a Submerged Pile within a Scour Hole under Current Condition. Coast. Eng. J. 2020, 62, 489–503. [Google Scholar] [CrossRef]
- Lauria, A.; Alfonsi, G.; Tafarojnoruz, A. Flow Pressure Behavior Downstream of Ski Jumps. Fluids 2020, 5, 168. [Google Scholar] [CrossRef]
- Avicola, G.; Huq, P. Scaling Analysis for the Interaction between a Buoyant Coastal Current and the Continental Shelf: Experiments and Observations. J. Phys. Oceanogr. 2002, 32, 3233–3248. [Google Scholar] [CrossRef]









| Case No. | α | T (s) | ρsal (g/cm3) | ρw (g/cm3) | g′ (cm/s2) | Roin | Frin |
|---|---|---|---|---|---|---|---|
| G1 | 0.1 | 30 | 1.003643 | 0.998010 | 5.5 | 0.93 | 0.94 |
| G2 | 0.1 | 40 | 1.003643 | 0.998010 | 5.5 | 1.24 | 0.94 |
| G3 | 0.1 | 40 | 1.004660 | 0.997494 | 7.0 | 1.24 | 0.84 |
| A1 | 5 × 10−4 | 40 | 1.004660 | 0.997494 | 7.0 | 1.24 | 0.84 |
| S1 | 0.2 | 60 | 1.004145 | 0.998509 | 5.5 | 1.87 | 0.94 |
| S2 | 0.2 | 30 | 1.004660 | 0.997494 | 7.0 | 0.93 | 0.84 |
| S3 | 0.2 | 40 | 1.004660 | 0.997494 | 7.0 | 1.24 | 0.84 |
| S3* | 0.2 | 40 | 1.004660 | 0.997494 | 7.0 | 1.24 | 0.84 |
| S3** | 0.2 | 40 | 1.004660 | 0.997494 | 7.0 | 1.24 | 0.84 |
| S4 | 0.2 | 60 | 1.004660 | 0.997494 | 7.0 | 1.87 | 0.84 |
Disclaimer/Publisher’s Note: The statements, opinions and data contained in all publications are solely those of the individual author(s) and contributor(s) and not of MDPI and/or the editor(s). MDPI and/or the editor(s) disclaim responsibility for any injury to people or property resulting from any ideas, methods, instructions or products referred to in the content. |
© 2024 by the authors. Licensee MDPI, Basel, Switzerland. This article is an open access article distributed under the terms and conditions of the Creative Commons Attribution (CC BY) license (https://creativecommons.org/licenses/by/4.0/).
Share and Cite
Zhang, J.; Hong, K.; Yuan, Y.; Lin, Y.-T.; Han, D. The Role of Quantified Parameters on River Plume Structure: Numerical Simulation. J. Mar. Sci. Eng. 2024, 12, 321. https://doi.org/10.3390/jmse12020321
Zhang J, Hong K, Yuan Y, Lin Y-T, Han D. The Role of Quantified Parameters on River Plume Structure: Numerical Simulation. Journal of Marine Science and Engineering. 2024; 12(2):321. https://doi.org/10.3390/jmse12020321
Chicago/Turabian StyleZhang, Jiaxin, Kan Hong, Yeping Yuan, Ying-Tien Lin, and Dongrui Han. 2024. "The Role of Quantified Parameters on River Plume Structure: Numerical Simulation" Journal of Marine Science and Engineering 12, no. 2: 321. https://doi.org/10.3390/jmse12020321
APA StyleZhang, J., Hong, K., Yuan, Y., Lin, Y.-T., & Han, D. (2024). The Role of Quantified Parameters on River Plume Structure: Numerical Simulation. Journal of Marine Science and Engineering, 12(2), 321. https://doi.org/10.3390/jmse12020321

