Simulation Analysis and Experimental Study on Airfoil Optimization of Low-Velocity Turbine
Abstract
1. Introduction
2. Models and Meshes
2.1. Physical Model
2.2. Mathematical Model and Mesh Independence Verification
3. Results And Discussion
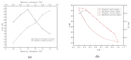
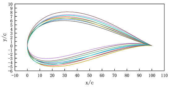
3.1. Airfoil Hydrodynamic Simulation Results and Experimental Verification
3.2. Blade Hydrodynamic Performance
4. Conclusions
Author Contributions
Funding
Institutional Review Board Statement
Informed Consent Statement
Data Availability Statement
Conflicts of Interest
Abbreviations
| Tip speed ratio | |
| B | Number of blades |
| CP | Energy acquisition efficiency |
| Ct | Thrust coefficient |
| P | Rated power, W |
| T | Axial thrust, N |
| Density, kg/m3 | |
| Incoming velocity, m/s | |
| R | Blade radius, m |
| rhub | Hub radius, m |
| n | Rotation speed, r/min |
| Angle, ° | |
| t/c | Relative thickness |
| f/c | Relative curvature |
| Cε1 | 1.44 |
| C2 | 1.9 |
| PτK | 1.0 |
| Pτε | 1.2 |
| A0 | 4.04 |
| AS | |
| CFD | Computational fluid dynamics |
| GA | Genetic algorithm |
| SMM | Surrogate model methods |
References
- Khan, M.J.; Bhuyan, G.; Iqbal, M.T.; Quaicoe, J.E. Hydrokinetic energy conversion systems and assessment of horizontal and vertical axis turbines for river and tidal applications: A technology status review. Appl. Energy 2009, 86, 1823–1835. [Google Scholar] [CrossRef]
- Fan, M.H.; Sun, Z.C.; Yu, R.; Dong, X.W.; Li, Z.L.; Bai, Y.Q. Effect of leading-edge tubercles on the hydrodynamic characteristics and wake development of tidal turbines. J. Fluids Struct. 2023, 119, 103873. [Google Scholar] [CrossRef]
- Laurens, J.M.; Ait-Mohammed, M.; Tarfaoui, M. Design of bare and ducted axial marine current turbines. Renew. Energy 2016, 89, 181–187. [Google Scholar] [CrossRef]
- Gao, R.J.; Chen, J.H.; Zhang, J.J.; Zhou, S.Y.; Xu, H.F.; Wu, J.D.; Qian, X.H. Hydrodynamic Study on Energy Capturing Performance of Horizontal Axis Blades Under Sub-Low Speed Tidal Current. China Ocean Eng. 2020, 34, 374–386. [Google Scholar] [CrossRef]
- Bangga, G.; Hutani, S.; Heramarwan, H. The Effects of Airfoil Thickness on Dynamic Stall Characteristics of High-Solidity Vertical Axis Wind Turbines. Adv. Theory Simul. 2021, 4, 2000204. [Google Scholar] [CrossRef]
- Yan, Y.T.; Xu, S.M.; Liu, C.; Zhang, X.; Chen, J.M.; Zhang, X.M.; Dong, Y.J. Research on the Hydrodynamic Performance of a Horizontal-Axis Tidal Current Turbine with Symmetrical Airfoil Blades Based on Swept-Back Models. J. Mar. Sci. Eng. 2022, 10, 1515. [Google Scholar] [CrossRef]
- Jiao, H.F.; Wang, M.C.; Liu, H.Y.; Chen, S.S. Positive and Negative Performance Analysis of the Bi-Directional Full-Flow Pump with an “S” Shaped Airfoil. J. Mar. Sci. Eng. 2023, 11, 1188. [Google Scholar] [CrossRef]
- Du, X.S.; He, P.; Martins, J. Rapid airfoil design optimization via neural networks-based parameterization and surrogate modeling. Aerosp. Sci. Technol. 2021, 113, 106701. [Google Scholar] [CrossRef]
- Tang, J.W.; Hu, Y.; Song, B.F.; Yang, H. Unsteady Aerodynamic Optimization of Airfoil for Cycloidal Propellers Based on Surrogate Model. J. Aircr. 2017, 54, 1241–1256. [Google Scholar] [CrossRef]
- Sekar, V.; Jiang, Q.H.; Shu, C.; Khoo, B.C. Fast flow field prediction over airfoils using deep learning approach. Phys. Fluids 2019, 31, 057103. [Google Scholar] [CrossRef]
- Tao, J.; Sun, G. Application of deep learning based multi-fidelity surrogate model to robust aerodynamic design optimization. Aerosp. Sci. Technol. 2019, 92, 722–737. [Google Scholar] [CrossRef]
- Raul, V.; Leifsson, L. Surrogate-based aerodynamic shape optimization for delaying airfoil dynamic stall using Kriging regression and infill criteria. Aerosp. Sci. Technol. 2021, 111, 106555. [Google Scholar] [CrossRef]
- Liao, P.; Song, W.; Du, P.; Zhao, H. Multi-fidelity convolutional neural network surrogate model for aerodynamic optimization based on transfer learning. Phys. Fluids 2021, 33, 127121. [Google Scholar] [CrossRef]
- Thuerey, N.; Weissenow, K.; Prantl, L.; Hu, X.Y. Deep Learning Methods for Reynolds-Averaged Navier-Stokes Simulations of Airfoil Flows. AIAA J. 2020, 58, 15–26. [Google Scholar] [CrossRef]
- Chen, Z.L.; Yang, F. Propeller Slipstream Effect on Aerodynamic Characteristics of Micro Air Vehicle at Low Reynolds Number. Appl. Sci. 2022, 12, 4092. [Google Scholar] [CrossRef]
- Maalouly, M.; Souaiby, M.; ElCheikh, A.; Issa, J.S.; Elkhoury, M. Transient analysis of H-type Vertical Axis Wind Turbines using CFD. Energy Rep. 2022, 8, 4570–4588. [Google Scholar] [CrossRef]
- Jung, S.N.; No, T.S.; Ryu, K.W. Aerodynamic performance prediction of a 30 kW counter-rotating wind turbine system. Renew. Energy 2005, 30, 631–644. [Google Scholar] [CrossRef]
- Han, Z.H.; Görtz, S.; Zimmermann, R. Improving variable-fidelity surrogate modeling via gradient-enhanced kriging and a generalized hybrid bridge function. Aerosp. Sci. Technol. 2013, 25, 177–189. [Google Scholar] [CrossRef]
- Shields, M.D.; Zhang, J.X. The generalization of Latin hypercube sampling. Reliab. Eng. Syst. Saf. 2016, 148, 96–108. [Google Scholar] [CrossRef]
- Su, H.; Gong, C.L.; Gu, L.X. Three-Dimensional CST Parameterization Method Applied in Aircraft Aeroelastic Analysis. Int. J. Aerosp. Eng. 2017, 2017, 1874729. [Google Scholar] [CrossRef]





















| Power P/W | 30.00 | Tip speed ratio () | 3.00 |
| Blade number B | 5.00 | The radius of impeller R/m | 0.32 |
| Energy efficiency | 0.35 | Wheel radius rhub/m | 0.08 |
| Fluid velocity V/m·s−1 | 0.50–0.80 | Rotational speed n/r·min−1 | 150.00 |
| Parameters | Model |
|---|---|
| Turbulence model | Realizable k- |
| Solution method | Coupled |
| Spatial discrete gradient | Least squares cell-based |
| Spatial discrete pressure | Second order |
| Discrete momentum in space | Second-order upwind |
| Spatial discrete turbulent kinetic energy | Second-order upwind |
| Spatial dispersion ratio dissipation rate | Second-order upwind |
| Convergence criterion | 1 |
| Mesh | QUADS | CP | P |
|---|---|---|---|
| D1 | 1,790,713 | 0.34259 | 29.9205 |
| D2 | 2,238,392 | 0.34301 | 29.9311 |
| D3 | 2,686,070 | 0.33951 | 29.7943 |
Disclaimer/Publisher’s Note: The statements, opinions and data contained in all publications are solely those of the individual author(s) and contributor(s) and not of MDPI and/or the editor(s). MDPI and/or the editor(s) disclaim responsibility for any injury to people or property resulting from any ideas, methods, instructions or products referred to in the content. |
© 2024 by the authors. Licensee MDPI, Basel, Switzerland. This article is an open access article distributed under the terms and conditions of the Creative Commons Attribution (CC BY) license (https://creativecommons.org/licenses/by/4.0/).
Share and Cite
Shen, C.; Zhang, J.; Ding, C.; Wang, S. Simulation Analysis and Experimental Study on Airfoil Optimization of Low-Velocity Turbine. J. Mar. Sci. Eng. 2024, 12, 303. https://doi.org/10.3390/jmse12020303
Shen C, Zhang J, Ding C, Wang S. Simulation Analysis and Experimental Study on Airfoil Optimization of Low-Velocity Turbine. Journal of Marine Science and Engineering. 2024; 12(2):303. https://doi.org/10.3390/jmse12020303
Chicago/Turabian StyleShen, Chunyun, Jiahao Zhang, Chenglin Ding, and Shiming Wang. 2024. "Simulation Analysis and Experimental Study on Airfoil Optimization of Low-Velocity Turbine" Journal of Marine Science and Engineering 12, no. 2: 303. https://doi.org/10.3390/jmse12020303
APA StyleShen, C., Zhang, J., Ding, C., & Wang, S. (2024). Simulation Analysis and Experimental Study on Airfoil Optimization of Low-Velocity Turbine. Journal of Marine Science and Engineering, 12(2), 303. https://doi.org/10.3390/jmse12020303
