Experimental Analysis of the Changes in Coral Sand Beach Profiles under Regular Wave Conditions
Abstract
1. Introduction
2. Methodology
3. Experimental Setup
4. Results
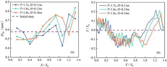
4.1. Evolution of the Coral Sand Beach Profile
4.2. Classification of Equilibrium Coral Sand Beach Profiles
4.3. Geometric Characteristics of Offshore Coral Sand Bars
5. Discussions
6. Conclusions
- (1)
- Observations of hydrodynamic processes and the movement of coral sand on the bed surface suggest that the evolution of a coral sand beach is similar to the evolution of a quartz sand beach. The morphological characteristics of the sand bar show that the erosion depth of a coral sand beach is deeper than that of a quartz sand beach. The location of sand bar formation is further from the horizontal plane than the quartz sand beach. These differences are related to sediment transport and depositional processes, such as the starting flow rate and settling velocity of coral sand particles, among other parameters.
- (2)
- The results show that the predictive model for the classification of the type of quartz beach profile is not applicable to coral sand beaches. A classification prediction model for coral sand beaches was proposed through parameter modification.
- (3)
- Geometrical features of coral sand bars on erosional beaches were obtained and compared with a prediction model for a quartz sand bar. The results show that the prediction model for a quartz sand bar is not applicable to a coral sand bar. A prediction model for a coral sand bar was proposed through parameter modification.
Author Contributions
Funding
Institutional Review Board Statement
Informed Consent Statement
Data Availability Statement
Conflicts of Interest
References
- Yu, H.; Sun, Z.; Tang, C. Physical and Mechanical Properties of Coral Sand in the Nansha Islands. Mar. Sci. Bull. 2006, 8, 31–39. [Google Scholar]
- Anna, F. Encyclopedia of Modern Coral Reefs: Structure, Form and Process. Ref. Rev. 2011, 25, 39–40. [Google Scholar]
- Woodroffe, C.D. Reef-Island Topography and the Vulnerability of Atolls to Sea-Level Rise. Glob. Planet. Chang. 2008, 62, 77–96. [Google Scholar] [CrossRef]
- Beetham, E.; Kench, P.S. Predicting Wave Overtopping Thresholds on Coral Reef-Island Shorelines with Future Sea-Level Rise. Nat. Commun. 2018, 9, 3997. [Google Scholar] [CrossRef]
- Silva, I.R.; Rossi, J.C.; Nascimento, H.M.; Siqueira, T.G. Geoenvironmental Characterization and Urbanization of the Beaches on the Islands of Tinharé and Boipeba, South Coast of the State of Bahia, Brazil. J. Coast. Res. 2009, II, 1297–1300. [Google Scholar]
- Spalding, M.; Burke, L.; Wood, S.A.; Ashpole, J.; Hutchison, J.; zu Ermgassen, P. Mapping the Global Value and Distribution of Coral Reef Tourism. Mar. Policy 2017, 82, 104–113. [Google Scholar] [CrossRef]
- Burke, L.; Reytar, K.; Spalding, M.; Perry, A. Reefs at Risk Revisited; World Resources Institute: Washington, DC, USA, 2011. [Google Scholar]
- Albert, S.; Leon, J.X.; Grinham, A.R.; Church, J.A.; Gibbes, B.R.; Woodroffe, C.D. Interactions between Sea-Level Rise and Wave Exposure on Reef Island Dynamics in the Solomon Islands. Environ. Res. Lett. 2016, 11, 054011. [Google Scholar] [CrossRef]
- Slangen, A.B.A.; Carson, M.; Katsman, C.A.; Van de Wal, R.S.; Köhl, A.; Vermeersen, L.L.; Stammer, D. Projecting Twenty-First Century Regional Sea-Level Changes. Clim. Change 2014, 124, 317–332. [Google Scholar] [CrossRef]
- Kopp, R.E.; Horton, R.M.; Little, C.M.; Mitrovica, J.X.; Oppenheimer, M.; Rasmussen, D.J.; Strauss, B.H.; Tebaldi, C. Probabilistic 21st and 22nd century sea-level projections at a global network of tide-gauge sites. Earth Future 2014, 2, 383–406. [Google Scholar] [CrossRef]
- Montaggioni, L.F. History of Indo-Pacific Coral Reef Systems since the Last Glaciation: Development Patterns and Controlling Factors. Earth-Science Rev. 2005, 71, 1–75. [Google Scholar] [CrossRef]
- Nicholls, R.J.; Cazenave, A. Sea-Level Rise and Its Impact on Coastal Zones. Science 2010, 328, 1517–1520. [Google Scholar] [CrossRef] [PubMed]
- Hauer, M.E.; Fussell, E.; Mueller, V.; Burkett, M.; Call, M.; Abel, K.; McLeman, R. Sea-Level Rise and Human Migration. Nat. Rev. Earth Environ. 2020, 1, 28–39. [Google Scholar] [CrossRef]
- Duvat, V.K.E.; Magnan, A.K. Rapid Human-Driven Undermining of Atoll Island Capacity to adjust to Ocean Climate-Related Pressures. Sci. Rep. 2019, 9, 15129. [Google Scholar] [CrossRef] [PubMed]
- Kench, P.S.; Liang, C.; Ford, M.R.; Owen, S.D.; Aslam, M.; Ryan, E.J.; Turner, T.; Beetham, E.; Dickson, M.E.; Stephenson, W.; et al. Reef Islands Have Continually adjusted to Environmental Change over the Past Two Millennia. Nat. Commun. 2023, 14, 508. [Google Scholar] [CrossRef] [PubMed]
- Masselink, G.; Beetham, E.; Kench, P. Coral Reef Islands Can Accrete Vertically in Response to Sea Level Rise. Sci. Adv. 2020, 6, eaay3656. [Google Scholar] [CrossRef] [PubMed]
- Chen, J.; Huang, Z.; Jiang, C.; Deng, B.; Long, Y. An Experimental Study of Changes of Beach Profile and Mean Grain Size Caused by Tsunami-Like Waves. J. Coast. Res. 2012, 284, 1303–1312. [Google Scholar] [CrossRef]
- Chen, J.; Jiang, C.; Yang, W.; Xiao, G. Laboratory Study on Protection of Tsunami-Induced Scour by Offshore Breakwaters. Nat. Hazards 2015, 81, 1229–1247. [Google Scholar] [CrossRef]
- Dean, R.G. Equilibrium Beach Profiles: Characteristics and Applications. J. Coast. Res. 1991, 7, 53–84. [Google Scholar]
- Jara, M.; González, M.; Medina, R. Shoreline Evolution Model from a Dynamic Equilibrium Beach Profile. Coast. Eng. 2015, 99, 1–14. [Google Scholar] [CrossRef]
- Riazi, A.; Slovinsky, P.A. Subaerial Beach Profiles Classification: An Unsupervised Deep Learning Approach. Cont. Shelf Res. 2021, 226, 104508. [Google Scholar] [CrossRef]
- Larson, M.; Kraus, N.C.; Wise, R.A. Equilibrium Beach Profiles under Breaking and Non-Breaking Waves. Coast. Eng. 1999, 36, 59–85. [Google Scholar] [CrossRef]
- Francesco, M.; Mancinelli, A.; Corvaro, S.; Rocchi, S.; Lorenzoni, C. Coastal Submerged Structures Adaptation to Sea Level Rise over Different Beach Profiles. Ital. J. Eng. Geol. Environ. 2020, 1, 87–98. [Google Scholar]
- Marini, F.; Corvaro, S.; Rocchi, S.; Lorenzoni, C.; Mancinelli, A. Semi-Analytical Model for the Evaluation of Shoreline Recession Due to Waves and Sea Level Rise. Water 2022, 14, 1305. [Google Scholar] [CrossRef]
- Aagaard, T.; Brian, G.; Michael, H. Sediment Transport on Dissipative, Intermediate and Reflective Beaches. Earth-Sci. Rev. 2013, 124, 32–50. [Google Scholar] [CrossRef]
- Castelle, B.; Gerd, M. Morphodynamics of Wave-Dominated Beaches. Camb. Prism. Coast. Futures 2023, 1, e1. [Google Scholar] [CrossRef]
- Rector, R.L. Laboratory Study of Equilibrium Profiles of Beaches; US Beach Erosion Board: Washington, DC, USA, 1954. [Google Scholar]
- Sunamura, T.; Horikawa, K. Two Dimensional Beach Transformation Due to Waves. In Proceedings of the Coastal Engineering 1974, Copenhagen, Denmark, 24–28 June 1974; pp. 920–938. [Google Scholar]
- Guedes, R.M.; Calliari, L.J.; Holland, K.T.; Plant, N.G.; Pereira, P.S.; Alves, F.N. Short-Term Sandbar Variability Based on Video Imagery: Comparison between Time–Average and Time–Variance Techniques. Mar. Geol. 2011, 289, 122–134. [Google Scholar] [CrossRef]
- Günaydın, K.; Kabdaşlı, M.S. Investigation of Offshore Bar Geometry under Regular and Irregular Waves. J. Coast. Res. 2005, 212, 374–382. [Google Scholar] [CrossRef]
- Luo, E.C.-R. Formation of Beach Profile with the Design Criteria of Seawalls. Civ. Eng. Arch. 2014, 2, 24–32. [Google Scholar] [CrossRef]
- Walstra, D.; Reniers, A.; Ranasinghe, R.; Roelvink, J.; Ruessink, B. On Bar Growth and Decay during Interannual Net Offshore Migration. Coast. Eng. 2012, 60, 190–200. [Google Scholar] [CrossRef]
- de Kruijf, M.; Slootman, A.; de Boer, R.A.; Reijmer, J.J. On the Settling of Marine Carbonate Grains: Review and Challenges. Earth-Science Rev. 2021, 217, 103532. [Google Scholar] [CrossRef]
- Bian, C.; Chen, J.; Jiang, C.; Wu, Z.; Yao, Z. Threshold of Motion of Coral Reef Sediment under Currents in Flume Experiments. Sedimentology 2023, 70, 1723–1740. [Google Scholar] [CrossRef]
- Bian, C.; Chen, J.; Jiang, C.; Wu, Z.; Yao, Z.; Liu, J. Experimental Study of the Incipient Motion Threshold of Coral Sediment for Oscillatory Flow. Ocean Eng. 2023, 278, 114375. [Google Scholar] [CrossRef]
- Chen, J.; Yao, Z.; Jiang, C.-B.; Wu, Z.-Y.; Deng, B.; Long, Y.-N.; Bian, C. Experiment Study of the Evolution of Coral Sand Particle Clouds in Water. China Ocean Eng. 2022, 36, 720–733. [Google Scholar] [CrossRef]
- Xu, X. Types of Two-Dimension Sandybeaches and Their Criterion. Ocean. Eng. 1988, 4, 51–62. [Google Scholar]
- Jonsson, I.G. Wave Boundary Layers and Friction Factors. In Proceedings of the Coastal Engineering 1966, Tokyo, Japan, 5–8 September 1966; pp. 127–148. [Google Scholar]
- Wu, Z. Response Rule of Sandy Beach on Change of Wave Dynamic Factors. Master’s Thesis, Changsha University of Science & Technology, Changsha, China, 2014. [Google Scholar]
- Silvester, R.; Hsu, J.R.C. Coastal Stabilization; World Scientific: Singapore, 1997; Volume 14. [Google Scholar]
- Kench, P.S.; Brander, R.W. Wave Processes on Coral Reef Flats: Implications for Reef Geomorphology Using Australian Case Studies. J. Coast. Res. 2006, 221, 209–223. [Google Scholar] [CrossRef]
- Hardy, T.A.; Young, I.R. Field Study of Wave Attenuation on an Offshore Coral Reef. J. Geophys. Res. Ocean. 1996, 101, 14311–14326. [Google Scholar] [CrossRef]
- Nelson, R. Hydraulic Roughness of Coral Reef Platforms. Appl. Ocean Res. 1996, 18, 265–274. [Google Scholar] [CrossRef]
- Lowe, R.J.; Falter, J.L.; Monismith, S.G.; Atkinson, M.J. Wave-Driven Circulation of a Coastal Reef–Lagoon System. J. Phys. Oceanogr. 2009, 39, 873–893. [Google Scholar] [CrossRef]
- Vetter, O.; Becker, J.M.; Merrifield, M.A.; Pequignet, A.; Aucan, J.; Boc, S.J.; Pollock, C.E. Wave Setup over a Pacific Island Fringing Reef. J. Geophys. Res. Oceans 2010, 115, C12066. [Google Scholar] [CrossRef]
- Taebi, S.; Lowe, R.J.; Pattiaratchi, C.B.; Ivey, G.N.; Symonds, G.; Brinkman, R. Nearshore Circulation in a Tropical Fringing Reef System. J. Geophys. Res. Ocean. 2011, 116, C02016. [Google Scholar] [CrossRef]
- Becker, J.M.; Merrifield, M.A.; Ford, M. Water Level Effects on Breaking Wave Setup for Pacific Island Fringing Reefs. J. Geophys. Res. Oceans 2014, 119, 914–932. [Google Scholar] [CrossRef]
- Pomeroy, A.; Lowe, R.; Symonds, G.; Van Dongeren, A.; Moore, C. The Dynamics of Infragravity Wave Transformation over a Fringing Reef. J. Geophys. Res. Oceans 2012, 117, C11022. [Google Scholar] [CrossRef]
- Lentz, S.J.; Churchill, J.H.; Davis, K.A.; Farrar, J.T. Surface Gravity Wave Transformation across a Platform Coral Reef in the Red Sea. J. Geophys. Res. Ocean. 2016, 121, 693–705. [Google Scholar] [CrossRef]
- Watts, G.M. Laboratory Study of Effect of Varying Wave Periods on Beach Profiles; US Beach Erosion Board: Washington, DC, USA, 1954. [Google Scholar]
- Lin, C.; Hwung, H.H. External and Internal Flow Fields of Plunging Breakers. Exp. Fluids 1992, 12, 229–237. [Google Scholar] [CrossRef]
- Chang, K.-A.; Liu, P.L.-F. Experimental Investigation of Turbulence Generated by Breaking Waves in Water of Intermediate Depth. Phys. Fluids 1999, 11, 3390–3400. [Google Scholar] [CrossRef]
- Celikoğlu, Y.; Yüksel, Y.; Kabdaşlı, M.S. Longshore Sorting on a Beach under Wave Action. Ocean Eng. 2004, 31, 1351–1375. [Google Scholar] [CrossRef]












| Ref. | Erosional Beach | Transient Beach | Depositional Beach | Equation No. |
|---|---|---|---|---|
| Sunamura (1975) [28] | (3) | |||
| Xu (1988) [37] | (4) | |||
| Wu (2014) [39] | (5) |
| Location | Geometric Parameters | Silvester and Hsu [40] | Equation No. |
|---|---|---|---|
| Equilibrium point | Xbe | (6) | |
| hbe | \ | ||
| Bar crest | Xbc | (7) | |
| hbc | (8) | ||
| Closure point | Xbd | \ | |
| hbd | \ | ||
| Location | Geometric Parameters | Günaydın and Kabdaşlı [30] | EquationNo. |
| Equilibrium point | Xbe | (9) | |
| hbe | (10) | ||
| Bar crest | Xbc | (11) | |
| hbc | (12) | ||
| Closure point | Xbd | (13) | |
| hbd | (14) |
| Ref. | Research Location | Wave Height (m) | Water Depth (m) | Wave Period (s) |
|---|---|---|---|---|
| Hardy and Young [42] | The Great Barrier Reef | 0.2~1.3 | 0.24~2.97 | 2.1~9.5 |
| Nelson [43] | John Brewer Reef | 0.1~0.7 | 0.8~2.7 | 3.0~5.2 |
| Lowe et al. [44] | Kaneohe Bay | 0.4~0.6 | 1.2~2.3 | / |
| Vetter et al. [45] | Ipan, Guam | 0.0~0.6 | 0.3~0.6 | / |
| Taebi et al. [46] | Ningaloo Reef | 0.0~0.5 | 1.0~2.0 | |
| Becker et al. [47] | The College of the Marshall Islands | 0.0~0.3 | 0.4~0.8 | 6~23.7 |
| Roi-Namur | 0.0~0.2 | 0.4~0.8 | 4.3~20.9 | |
| Ipan, Guam | 0.0~0.1 | 0.5~0.7 | 4.9~19.6 | |
| Pomeroy et al. [48] | Ningaloo Reef | 0.0~0.2 | 1.0~2.0 | 10~20 |
| Lentz et al. [49] | Red Sea | 0.0~0.2 | 0.3~1.2 | 4~8 |
| Parameters | Natural Range | Scale Factor | Experimental Set Value | |
|---|---|---|---|---|
| Sediment | Particle size, D (mm) | >2 | 4 | 0.585 |
| Hydraulics | Wave height, H (m) | 0.0–1.0 | 4 | 0.04, 0.05, 0.07, 0.08, 0.11, 0.12, 0.13, 0.14, 0.15, 0.16 |
| Water depth, h (m) | 0.3–3.0 | 4 | 0.3 | |
| Wave period, T (s) | 2.0–20 | 2 | 1.4, 1.5, 1.6, 1.7, 1.8 |
| Location | Geometric Parameters | Silvester and Hsu [40] | R2 | Günaydın and Kabdaşlı [30] | R2 |
|---|---|---|---|---|---|
| Equilibrium point | Xbe | 0.75 | 0.89 | ||
| hbe | \ | 0.88 | |||
| Bar crest | Xbc | 0.75 | 0.72 | ||
| hbc | 0.74 | 0.70 | |||
| Closure point | Xbd | \ | 0.96 | ||
| hbd | \ | 0.86 |
Disclaimer/Publisher’s Note: The statements, opinions and data contained in all publications are solely those of the individual author(s) and contributor(s) and not of MDPI and/or the editor(s). MDPI and/or the editor(s) disclaim responsibility for any injury to people or property resulting from any ideas, methods, instructions or products referred to in the content. |
© 2024 by the authors. Licensee MDPI, Basel, Switzerland. This article is an open access article distributed under the terms and conditions of the Creative Commons Attribution (CC BY) license (https://creativecommons.org/licenses/by/4.0/).
Share and Cite
Yao, Z.; Chen, J.; Jiang, C.; Liang, H.; Wu, Z.; Deng, B.; Long, Y.; Bian, C. Experimental Analysis of the Changes in Coral Sand Beach Profiles under Regular Wave Conditions. J. Mar. Sci. Eng. 2024, 12, 287. https://doi.org/10.3390/jmse12020287
Yao Z, Chen J, Jiang C, Liang H, Wu Z, Deng B, Long Y, Bian C. Experimental Analysis of the Changes in Coral Sand Beach Profiles under Regular Wave Conditions. Journal of Marine Science and Engineering. 2024; 12(2):287. https://doi.org/10.3390/jmse12020287
Chicago/Turabian StyleYao, Zhen, Jie Chen, Changbo Jiang, Hai Liang, Zhiyuan Wu, Bin Deng, Yuannan Long, and Chen Bian. 2024. "Experimental Analysis of the Changes in Coral Sand Beach Profiles under Regular Wave Conditions" Journal of Marine Science and Engineering 12, no. 2: 287. https://doi.org/10.3390/jmse12020287
APA StyleYao, Z., Chen, J., Jiang, C., Liang, H., Wu, Z., Deng, B., Long, Y., & Bian, C. (2024). Experimental Analysis of the Changes in Coral Sand Beach Profiles under Regular Wave Conditions. Journal of Marine Science and Engineering, 12(2), 287. https://doi.org/10.3390/jmse12020287

