Next Article in Journal
A Comparative Study on the Structural Response of Multi-Linked Floating Offshore Structure between Digital Model and Physical Model Test for Digital Twin Implementation
Previous Article in Journal
Distribution and Environmental Impact of Expanded Polystyrene Buoys from Korean Aquaculture Farms
 
 
Font Type:
Arial Georgia Verdana
Font Size:
Aa Aa Aa
Line Spacing:
Column Width:
Background:
Review

Alternate Stable States Theory: Critical Evaluation and Relevance to Marine Conservation

by
Jean-Marc Guarini
*,† and
Jennifer Coston-Guarini
The Entangled Bank Laboratory, 11 Rue Anatole France, 66650 Banyuls sur Mer, France
*
Author to whom correspondence should be addressed.
The authors contributed equally to this work.
J. Mar. Sci. Eng. 2024, 12(2), 261; https://doi.org/10.3390/jmse12020261
Submission received: 30 December 2023 / Revised: 24 January 2024 / Accepted: 29 January 2024 / Published: 31 January 2024
(This article belongs to the Topic Marine Ecology, Environmental Stress and Management)

Abstract

In their 2023 book, “The Blue Compendium: From Knowledge to Action for a Sustainable Ocean Economy”, Lubchenko and Haugan invoked alternate stable (AS) states marginally as an undesired consequence of sources of disturbance on populations, communities and ecosystems. They did not provide detailed arguments, but considered the existence of AS states as a given. Conversely, May, in his 1977 Nature article, pointed out that, when applied to systems that are complex, “the [AS states] theory remains largely metaphorical”. This is the starting point of this critical review, which aims to re-examine the general theory behind AS states in ecological systems and its applications to marine ecology and conservation. The focus is first on theory, taking as examples communities that sustain competition and studying the relative importance of the fluxes of individuals between simple low-dimension, interconnected systems. We find that a minimal formulation of fluxes is sufficient to obtain a set of non-null multiple stable (MS) states and to trigger shifts between AS states when fluxes become large enough. This provides new insights into the theory of rescue and mass effects by distinguishing them through a threshold at which the system dynamics shift from one stable equilibrium to another. Then, we consider how the theoretical framework of AS states has been applied in marine environments. It appears that many applications have confounded shifts between AS states and changes in the structure of systems, particularly when the complexity of the systems increases. The main difficulty for any application remains that the concepts of MS and AS states can only be established and validated for low-dimension systems and simplified experiments. This is because the mathematical properties of models that describe large-dimension, complex systems deviate from the observed characteristics of their real-world counterparts. There are many intriguing scientific challenges around the plausible shifts between AS states, but a deeper understanding and characterization of their occurrence in nature would require a significant investment in modeling to formulate predictive ecosystem models.

1. Community Dynamics, Multiple Equilibrium and Stability

Some ecological systems respond gradually to natural or human-induced disturbances, while others seem to exhibit unpredictable and sudden shifts to completely different, sometimes undesirable states [1,2,3]. These abrupt changes may impair any attempts to preserve or restore ecosystems, to manage the exploitation of their resources or to preserve the services that they provide [4,5]. Lewontin [6] introduced the concept of alternate stable (AS) states resting on the existence of a set of multiple stable (MS) states in the dynamics of ecological systems, and hence the possibility for ecological variables to “jump” from one basin of attraction to another. Alternate stable states can therefore be considered as a subset of multiple stable (MS) states; they regroup the MS states for which shifts between stable states are possible in a given system. Since these concepts have entered the ecological lexicon, theoretical ecologists have tried to identify the potential for populations, communities and ecosystems to exhibit (AS) states [1,3,7,8,9], while other authors have focused on finding empirical evidence in field studies [2,10,11,12,13] or on trying to prove the occurrence of AS states by means of experiments [14,15,16,17,18].
In parallel, Schelling [19] developed the notion of “tipping points”, a concept introduced earlier by Grodzins [20] to express the idea that a variable can increase progressively to reach a value at which a sudden and large change in state occurs. If both AS states and tipping points are now accepted as part of the mathematics of dynamic systems, “tipping points” were initially motivated by a controversial societal context [20], while AS states were initially motivated by ideas in ecology about rapid change [6]. Nonetheless, both concepts merged in the earth and climate sciences to create a common theoretical framework for AS states; Lenton [21], in a review about the concept of tipping points applied to environmental sciences, has retraced the epistemology of these concepts and stressed that “multiple equilibrium”, “multiple stable states”, “alternate stable states”, “system shifts” and “tipping points” are all part of the same conceptual framework of the complex landscape of dynamic stability in natural systems. Studies about the existence of equilibrium and their stability are concerned with the possibility for a system to persist. Studies about tipping points are related to the detection of particular states at which major abrupt changes can occur, and studies of system shifts aim to characterize these changes in terms of dynamic properties, quantitative amplitudes and scales of variations in space and time.
In our critical review of alternate stable states, we first discuss the epistemological emergence of the concept among ecologists before considering their application to marine environments. The central topic in AS states theory is the stability of ecological systems and shifts between states of equilibrium. The origin of the topic within discussions about stability in nature and nature’s balance [22,23,24] has long been a source of debate and controversy [25]. To tackle the challenge of reviewing AS states’ principles and applications in ecology, it is not possible to call on only one body of theory, because they arise at the confluence of many different theoretical principles that need to be critically examined and linked. For this, we will need to fill in some gaps in the development, because this work has not been done and there are missing links between principles that have been filled in with schema, without any formalization. Furthermore, we are confronted with the fact that “ecological systems” do not refer to a single stereotypical paradigm of ecology, but to a multitude of conceptual forms. In particular, a basic operational definition of the systems’ complexity is generally missing. Finally, we study possible occurrences of AS states by taking the example of competition, because it is a fundamental component of the core ecological principle called the struggle for existence. This is considered as having a crucial role in explaining species coexistence, defining principles of the preservation of species diversity, and hence is at the core of community ecology.
Before proceeding, some terms commonly used in system modeling must be clarified. The term “ecological system” refers here to an ecological community, defined as a set of interacting populations (i.e., groups of individuals belonging to the same species) in their environment. In systemics, the states of the interacting components of the systems (e.g., abundance of the population) vary as a function of processes (e.g., population growth, mortality) and regulation factors (e.g., density dependence). One of the main concerns of modeling is to study the conditions for one or several equilibria to exist. If, for one state variable, the sum of all processes equals zero, then the state variable is said to be “at equilibrium”. If all sums equal zero, then the system is said to be at “steady state” and the state variables remain at the same set of values. In other words, “steady state” means that, in the absence of disturbances, a state is permanent. If a small disturbance moves the state away from this “steady state”, but the dynamic trajectory remains close or pulls back states to this equilibrium, the steady state is said to be “an attractor” and is said to be “stable”. On the contrary, if the trajectories increasingly deviate from the equilibrium, the steady state is said to be “unstable”. From the system dynamics point of view, MS states can be defined as sets of steady states toward which the dynamic trajectories are converging asymptotically from proximal initial conditions. The notion of proximity is defined as being located within the basin of attraction of the stable steady state. Convergence to a stable steady state is a strong condition of Lyapunov stability. However, stability simply implies that a dynamic trajectory stays in the vicinity of an equilibrium state without defining or requiring any convergence to the state. This confusing statement cannot be resolved in the case of deterministic systems but in the cases of stochastic or singular perturbation, when the system dynamics exhibit random or small variations that can cause them to deviate from their trajectory. Freidlin [26,27] indeed proposed a mathematical framework that formalized the effect of perturbations in dynamic systems, introducing their “quasi-potential function”. This function is an integral function of the dynamic processes that provides an indication of the strength of the equilibrium point and the extent of the perturbation shift from one stable state to another. Overall, the system is said to have AS states if the state variable trajectories can shift between different basins of attraction [6]. In other words, a shift to an AS state occurs when a perturbation creates a deviation of the trajectory large enough to cause it to tip over into another basin of attraction. Freidlin and Wentzell’s mathematical framework [27], while solving the problem of defining stability, has found application in identifying AS states in biological and ecological systems exhibiting MS states (e.g., [28,29]).
In addition, it is worth noting that Aleksandr Lyapunov, in his stability studies [30], formalized a different type of shift that can be described as follows: if two trajectories separated with an infinitesimal difference deviate exponentially with time from each other (i.e., if the coefficient of the time exponential function is positive), then they will end up in two different basins of attractions. More generally, the dynamics of a system can be trapped in one basin of attraction for a time but can shift to another basin of attraction when the trajectories reach the boundaries of the first one. This pattern characterizes deterministic chaos. While ecology has mainly focused on explaining shifts between AS states through external disturbances [2,6,31], Hastings et al. [32] have shown that dynamic changes between basins of attraction can be due to chaotic behavior in non-linear ecological systems. These authors reviewed the possibilities for such chaotic dynamics to occur in nature and ways to explore these occurrences from observations. The dynamic properties are characterized by shifts between attraction basins that are continuous and are intrinsic properties of the system; shifts are therefore not triggered by disturbances—their intensity and speed are variable and they occur in unpredictable ways. However, deterministic chaos only concerns systems with more than three variables, to avoid cases in which trajectories cross and invalidate the condition of the uniqueness of solutions.
Here, we will focus mainly on AS states outside of this deterministic chaos framework. We will consider shifts from one stable state to another as forced by a progressive change in external conditions. The continuous change in conditions affecting variables or parameters modifies continuously the equilibrium state. The resulting curve is described as a hysteresis curve (e.g., [3]). The detection of an AS state often requires observing a discrete and abrupt shift following a slow continuous drift along this stable equilibrium state curve. It is assumed to occur at particular “tipping points”, which separate stable and unstable steady states on the hysteresis curve [33]. However, it has been difficult to prove the existence of AS states in natural systems. Attempts to link theory and practice have generated many misunderstandings, and observed shifts in natural ecosystems may be incorrectly attributed to AS states [34]. Associated with the resilience problem [35], the concept of AS states is linked with the quantification of the magnitude of the disturbance. This must be large enough to induce a shift from one stable state to another, hence from one attraction basin to another, without changing the configuration (or structure) and functioning (or dynamics) of the system [6].
Concomitantly, in the 1970s, studies demonstrated that complexity in ecosystem models makes their properties different from what is expected for natural systems. For instance, while it has been assumed that for natural systems, stability increases with diversity [36], it is usually proven to be the contrary for dynamic models (e.g., [22]). This is because either the generalization of interaction models between few species to large structured communities decreases the stability, or because the use of non-linear functions may lead to generating instability. Many ecologists focus on the empirical relationships between diversity and stability, while others try to study fundamental, elementary processes that are not fully understood. However, the consensus at this time is that complex systems are not as complex as they seem, or that at least the number of interactions between populations (which [22] summarized by the connectance) must be kept low in models to maintain stability. As an epistemological shortcut, and despite the limited application of the connectance concept, the temptation is to summarize complex systems as sets of strong interactions between taxa (ultimately species), considered two-by-two. This, as we will see, has strong implications for the development of the AS states theoretical framework.
May [31] was among the first to demonstrate that a shift to AS states can arise through non-linear dynamics associated with a large variety of these two-by-two taxa interaction systems, predator–prey or host–parasite interactions. These non-linear dynamics were assumed to be summarized by a so-called canonical equation [8] resting on the Hill function [37]:
h ( x ) = x z x z + h z
where x is the state variable (unit of x), a z = k is a half-saturation constant (unit of x z ) and z is the Hill coefficient (dimensionless). The Hill function is considered as a regulation factor, but, fundamentally, the main property of Hill-driven AS states is that the dynamics exhibit hysteresis, i.e., the return to the original stable state, when the forcing factor is reversed and follows a different trajectory; the more the Hill coefficient increases, the more the hysteresis becomes strong [3]. May’s motivation in his 1977 article remained essentially theoretical and his argumentation was devoted to establishing some general properties in quantitative ecology, rather than specifying applications in ecological dynamics. Mainly, he presented the Hill function as a way to ensure the existence of several non-trivial (i.e., non-null) equilibrium points in ecological systems. Scheffer [1] used this type of function to design a community model for freshwater lakes to explain a presupposed existing AS state, assuming that the Hill formulation represents, in a minimal way, the variation of the vegetated area with turbidity. He then used it to explain shifts in ecosystems, emphasizing the decline of fish stock under environmental changes [3]. Other models justify the use of the Hill function by assuming that the probability for the predator to find its prey decreases with a decreasing prey population [8] or that the per capita growth rate of a population shows an inverse density dependence, leading to an Allee effect [38,39]. These studies present examples of systems that are considered to be deterministic, but similar properties can be found for similar systems considered to be stochastic [40], because of environmental variability effects or because of the population’s demographic variability. However, stochastic models may also behave differently from deterministic analogues and particularly, as shown by Abbott and Nolting [41], unstable equilibria can trap trajectories for a substantial time, which then can be falsely interpreted as a shift to an AS state. This issue may be crucial for experiments in which groups of individuals are of small size and then, quasi-potential analysis becomes necessary to quantify the stability state conditions [29].
In the following section, we will study the existence of MS states and possible shifts between AS states in competitive communities as an example, and we will show that they can be achieved with or without using a Hill function.

2. A Worked Example of Competitive Communities

To explore the outcomes of competitive interactions, we first review the minimal formulation for competition between two species present in a single, local community. Then, we introduce the Hill function in different terms of the equations to identify the conditions under which it would generate an AS state. Notably, we cannot identify any other studies with these types of heuristic simulations, but this is necessary to extend the theoretical framework of AS states in community ecology and to fully consider its application to marine conservation.

2.1. Minimal Formulation of Competitive Local Community Models

The local dynamics of isolated competitive species p in a site s ( x p , s represents their state) is simulated by the following minimal differential equation system:
x ˙ p , s = r p , s x p , s f ( x . , s ) k p , s
where r p , s (in t i m e 1 ) is the per capita growth rate of the population, k p , s (in unit of x) is the maximum sustainable state for the population p at site s (i.e., the maximum value for x p , s ) and f ( x p , s ) , a limiting function, is expressed as:
f ( x . , s ) = k p , s a p , s x p , s q = 1 q p p ( b q p , s x q , s )
where a p , s is the intra-specific competition factor for the population p at site s, set to 1, and b q p , s is the inter-competition factor of species q on p.
Considering the competition between two species, which is the model used in the early work of G.F. Gause from the 1930s [24], and assuming that all parameters are constant, the equilibrium points { x p , s , p = [ 1 , 2 ] , s = [ 1 , S ] } are given by the solution of f ( x . , s ) = 0 ; hence,
x 1 , s = k 2 , s b 21 , s k 1 , s b 12 , s b 21 , s 1 , x 2 , s = k 1 , s b 12 , s k 2 , s b 12 , s b 21 , s 1
The condition for the existence of non-null positive equilibrium points depends on the values of the parameters:
b 21 , s > k 1 , s k 2 , s w i t h b 12 , s > k 2 , s k 1 , s b 21 , s < k 1 , s k 2 , s w i t h b 12 , s < k 2 , s k 1 , s
Under these conditions, a well-described set of four categories of resulting outcomes, depending on the relative intensity of the inter-specific and intra-specific competition, represents the dynamic properties of the system (Figure 1). If the intra-specific competition is greater than the inter-specific competition (i.e., b 21 , s < k 1 , s / k 2 , s and b 12 , s < k 2 , s / k 1 , s ), then the species are described as weak competitors, and populations can coexist (Figure 1a).
If, in contrast, the two species are strong competitors (i.e., b 21 , s > k 1 , s / k 2 , s and b 12 , s > k 2 , s / k 1 , s ), the formulas for the equilibrium points are identical to those in Equation (3), but they are unstable and are thus identified as saddle points. Depending on the initial conditions (Figure 1d), a local population is excluded (meaning that it decreases down to zero) when the other reaches a stable equilibrium at the local carrying capacity of the ecosystem for this species, which would be the maximum number of individuals that the ecosystem can sustain.
If one species is a strong competitor while the other one is weak, (i.e., b 21 , s > k 1 , s / k 2 , s and b 12 , s < k 2 , s / k 1 , s , or b 21 , s < k 1 , s / k 2 , s and b 12 , s > k 2 , s / k 1 , s ), then the strong competitor always excludes the weak one, and its population size reaches a stable equilibrium at the carrying capacity for the species (Figure 1b,c). At a regional scale, in a set of isolated communities, two species can be found at the same site if they are weak inter-specific competitors and at different sites if they are both strong inter-specific competitors. In isolated communities, weak competitors can persist only if no strong competitors are present.

2.2. Introduction of Hill Function to Generate Alternate Stable States

The local, two-species competitive model (Equations (1) and (2)) exhibits multiple stable states only in the case of strong competitors (Figure 1d), but they do not respect the conditions for AS states since they have one variable equal to zero (i.e., one species is excluded from the community; hence, no processes can allow the system to shift from one stable state to the other).
In order to change this property, i.e., to generate two positive AS states, we introduce a Hill function in the model (Equation (1)), in such a way that we “curve” one isocline to cross the other in the positive subspace of the states [42]. The Hill function is introduced as a limiting factor in the limitation function (Equation (2)) from which 0-slope isoclines are calculated. There are four possibilities for the addition of a Hill function to the limitation function:
f ( x . , s ) = k 1 , s k 1 , s a 1 , s x 1 , s z h z + x 1 , s z b 21 , s x 2 , s f ( x . , s ) = k 1 , s a 1 , s x 1 , s k 1 , s b 21 , s x 2 , s z h z + x 2 , s z f ( x . , s ) = k 2 , s k 2 , s a 2 , s x 2 , s z h z + x 2 , s z b 21 , s x 2 , s f ( x . , s ) = k 2 , s a 2 , s x 2 , s k 2 , s b 12 , s x 1 , s z h z + x 1 , s z
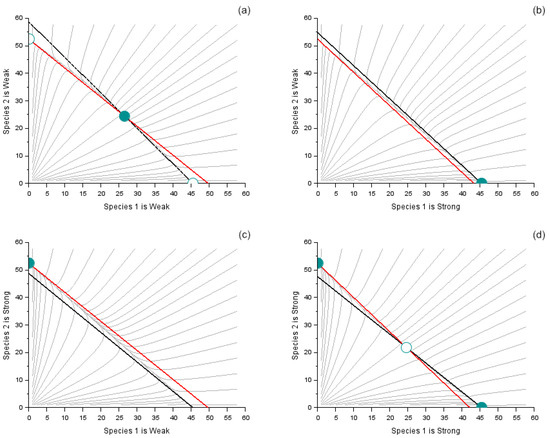
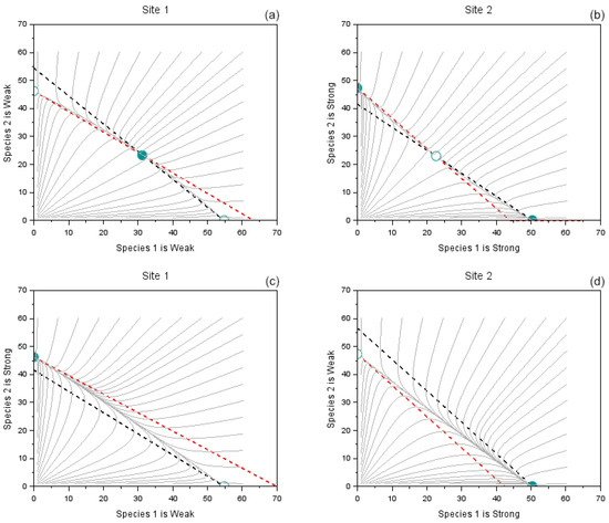
In equation system (5), h is calculated to keep the central intersection point at the coordinates { x 1 , s , x 2 , s } defined in Equation (3). Then, b q p , s and b p q , s can be defined as a function of the ratio k 1 , s / k 2 , s and k 2 , s / k 1 , s , respectively, leading us to multiply by four the possible combinations described in equation system (5). However, to maintain the central intersection point in the R + × R + subspace, only four possibilities are kept, describing competitive interactions between either two weak competitors or two strong competitors (Figure 2).
Figure 2 shows the configuration of isoclines in the state plane, as calculated by the model with and without using the Hill function in the case of strong (Figure 2a,b) or weak (Figure 2c,d) inter-specific competition. The straight (uncurved) isoclines (i.e., before using the Hill function) are linear and intersect at a central stable equilibrium point when two weak competitors interact and at a central unstable equilibrium point when two strong competitors interact. When the isoclines are curved, there are three non-null equilibrium points in the positive subspace of states (Figure 2a–d). Curving of the isoclines permits a null equilibrium to exist [42]. Surprisingly, curving the 0-slope isoclines with any of the equations of system (5) does not displace the null equilibrium to non-null, positive equilibria. Instead, the curving process interposes new equilibria between the null peripheral equilibrium points and the central equilibrium point. With respect to the principle of alternating between stable and unstable equilibria, interposing new equilibrium points makes the central equilibrium point shift between stable and unstable states. Therefore, in the case of strong competition between two strong competitors, introducing a Hill function to the intra-specific competition terms (see the first and third equations of system (5)) generates one stable central equilibrium and two new peripheral unstable equilibrium points (unfilled circles in Figure 2a,b). On the contrary, in the case of competition between two weak competitors, introducing a Hill function to the inter-specific competition terms (second and fourth equations of system (5)) generates one unstable central equilibrium and two new peripheral, non-null stable equilibrium points (filled circles in Figure 2c,d). Paradoxically, the possibility to have two AS states only occurs in the context of two weak competitors (Figure 2c,d).
In order to understand how the two systems sustaining weak competition are regulated by a Hill function controlling the inter-specific competition terms can shift from one stable state to another, we performed simulations varying h from 0 to the maximum carrying capacity of each variable x q , s (Figure 2f–h). For the first system (the second equation in system (5) is the limitation function), when Species 1 and 2 were at their equilibrium and h increased from 0 to k 1 , s , Species 1 remained at a small stable population size and Species 2 at a larger stable population size until the critical point was reached (Figure 2e,f, ca. h = 32 ). At this critical point, the dynamic changes abruptly, and then species 1 increases suddenly to reach a higher stable state value, while Species 2 suddenly decreases down to a lower stable state value. Beyond the critical value, the simulations indicate that this situation remains permanent even as h continues to increase up to the carrying capacity. If we wish to return to the situation where Species 1 is in a low stable state and Species 2 is in the higher one, it would be necessary to decrease h to a much lower critical value (here, ca. h = 8 , Figure 2e,f). In this case, a new shift between high-to-low and low-to-high stable states occurs for each species, respectively. This is characteristic of hysteresis curves. Finally, when the Hill function is applied to b 12 , s x 1 s instead (Figure 2d), the dynamics of Species 1 and Species 2 shift at the critical h values of 12 and 34, respectively, and vice versa (Figure 2g,h).
In a similar approach, Petraitis and Dudgeon [43] attempted to explain under which circumstances the parameter h may vary due to changes in environmental conditions, but the parameter h is only a position parameter (i.e., a half-saturation parameter). The introduction of the Hill function and the process to trigger abrupt changes in the dynamics by changing progressively the parameter h are only a mathematical manipulation intended to provoke the local shift between ad hoc AS states. Hence, finding an explanation for this phenomenon is simply a post hoc process [31].

3. Modeling Competitive Interactions in a Metacommunity Context

In the preceding sections, shifts to AS states were induced to imposed changes in the Hill function parameter, h, which cannot be interpreted in terms of demographic or environmental conditions. It is usually explained as a half-saturation constant, since, if h = x , then h ( x ) = 0.5 . To provide a plausible interpretation of the changing factors, it can be hypothesized that local shifts to AS states may also arise from a combination of spatial and local processes that could have very different characteristics. The main difficulty that we encountered in the Gauss competitive model was, in the case of strong competition, to maintain strictly positive multiple stable states in such a way that a shift can occur without excluding one of the two species. Therefore, the idea that a spatial flux can counter the competitive exclusion can be explored.
Hanski [44] has introduced this idea by using the concept of the “rescue effect”, based on spatial processes structuring a population as a metapopulation. A metapopulation is defined as a set of local populations of the same species connected by dispersal at a regional level. Therefore, local and regional scales are explicitly taken into account; local processes are mainly demographic, while regional processes mainly regulate exchanges (i.e., fluxes of individuals). Hanski stated that the “rescue effect”—a small flux of individuals that prevents local extinction from happening—has the potential to counter the Allee effect by increasing the local fitness [44].
This concept of the metapopulation was originally developed by Levins in 1969 [45] as a form of patch occupation. More recently, it has been expanded [46,47,48] and generalized as metacommunities [49]. Their objective was to explain how assemblages of species colonizing habitats and interconnected by the dispersal of individuals can persist, and under which conditions [49,50]. Metacommunities provide a general framework for ecosystem studies since few habitats are completely isolated, especially in marine environments.
In this part, we provide the explicit quantification of the steady states for a competitive two-species metacommunity, hypothesizing that a rescue effect alone is sufficient to maintain the possibility that such local systems shift between AS states. First, in the following sections, we reformulate the competitive community model into a competitive metacommunity framework, in a minimal way, without introducing Hill-type functions and aiming to create conditions for which dynamic properties are characterized by the existence of several positive and non-null multiple stable steady states. This leads us to consider two types of recruitment: pre-dispersion and post-dispersion.

3.1. Modeling a Minimal Competitive Metacommunity

In these minimal formulations, metacommunities are composed of P populations competing for available resources in S different sites. Local competition for limited resources are assumed to affect the growth of each of the populations; the basic minimum local competition model is represented within the density-dependent regulation factor described in Equation (2). Fluxes of individuals between sites are formulated in the simplest way by linear functions of the quantity of individuals in the source site. All sites are assumed to be suitable for all populations. x p , s represent the state variables of one population p in one site s. To describe exchanges between the S sites, two modes of dispersion are considered, the pre-recruitment and post-recruitment dispersion.
  • In the case of pre-recruitment dispersion, the dynamics of the metacommunity is simulated by the following differential equation system:
    x ˙ p , s = r p , s u = 1 S ( d p , u s x p , u ) f ( x . , s ) k p , s
  • In the case of the post-recruitment dispersion, another system is formulated:
    x ˙ p , s = r p , s x p , s f ( x . , s ) k p , s u = 1 u s S ( d p , s u x p , s ) + u = 1 u s S ( d p , u s x p , u )
    or,
    x ˙ p , s = r p , s f ( x . , s ) k p , s + d p , s s x p , s u = 1 S ( d p , s u x p , s ) + u = 1 u s S ( d p , u s x p , u )
For both equations, r p , s is the net growth rate (in T i m e 1 ) of the population p at site s, and k p , s (in U n i t ( x ) ) is the carrying capacity for the population p at the site s. d p , s u are the exchange rates (in T i m e 1 ) of individuals of the population p, transported from the site s to a site u, and d p , u s are the exchange rates of individuals of population p from a site u to the site s. d p , s u and d p , u s are identical retention rates when u = s .
Considering that the metacommunity is closed, the sum of all exchange rates from s to u is always equal to 1 (a local population contributes all its surviving individuals, either to other local populations in distant sites u or to itself in the site s). This is not the case for the sum of exchange rates from u to s, which can be either greater or lower than 1 (a local population can receive more or less individuals than another), as long as the sum of all exchange rates for each receiving site is equal to the total number of site S. Taking into account these constraints, the system in ((7) and (8)) for post-recruitment in a closed metacommunity can be simplified as:
x ˙ p , s = r p , s f ( x . , s ) k p , s 1 + d p , s x p , s + u = 1 u s S ( d p , u s x p , u )

3.2. Equilibria in Competitive Metacommunity Models

For the system (6), a dynamic equilibrium is reached if:
r p , s u = 1 S ( d p , u s x p , u ) f ( x . , s ) k p , s = 0
and, hence, the non trivial solution, if existing, is only determined by:
k p , s x p , s q = 1 q p p ( b q p , s x q , s ) = 0
which depends only on the local condition and not on individual exchanges at the regional scale.
For system (7), the dynamic equilibrium is reached when:
r p , s x p , s f ( x . , s ) k p , s u = 1 u s S ( d p , s u x p , s ) + u = 1 u s S ( d p , u s x p , u ) = 0
which is, in the closed community, equal to:
1 r p , s f ( x . , s ) k p , s d p , s s x p , s = u = 1 u s S ( d p , u s x p , u )
where the left-hand side of the equation represents local terms, balancing the right-hand side of the equation, representing the influx of individuals, x p , . , from outside the system.
The dynamics of two competitive species in a set of S connected sites depend on the configuration of the fluxes of exchange. In the case of pre-recruitment dispersal (i.e., the species has a planktonic larval stage), the local conditions will prevail for the full range of connectivity rates and competition factor values. The results are then comparable to those obtained with Equation (1) and expressed in Equation (3) in the case of the competition between two species. Figure 3 shows two examples of simulations performed in metacommunities with two populations distributed in two sites. The local coexistence is ensured if the competition relationships between the species are both weak (Figure 3a). If at least one species is a strong competitor, one species will exclude locally the other (Figure 3b–d). If both competition relationships are strong, both species can exclude the other, depending on the initial conditions. At the global scale of the metacommunity, when strong competitive interactions occur between both species at all sites, the two-species diversity can only be maintained in different sites, at the regional scale.
In the case of post-recruitment dispersal, the situation for strong competitors is more complex because it involves both local (i.e., demographic) and regional (i.e., dispersive) processes. The (open) local situation was first examined by analyzing the properties of the following model:
x ˙ 1 , . = r 1 , . f ( x . , . ) k 1 , . 1 + d 1 , . x 1 , s + δ 1 x ˙ 2 , . = r 2 , . f ( x . , . ) k 2 , . 1 + d 2 , . x 2 , s + δ 2
where δ 1 and δ 2 are the supplied fluxes for species 1 and 2, respectively.
The system (14) is at steady state if x ˙ 1 , . = 0 and x ˙ 2 , . = 0 , which leads us to express the general solution as:
x 1 , . = k 2 , . r 2 , . R r 2 , . R 2 2 + ( 1 d 2 , . ) R + δ 2 b 12 , . r 2 , . R x 2 , . = R
where R is a real positive root of a 4th-order polynomial function, with coefficients equal to:
c 0 = δ 2 . 2 r 1 , . k 1 , . c 1 = k 1 , . b 21 , . δ 2 r 1 , . k 1 , . r 2 , . k 2 , . 2 k 2 , . δ 2 r 1 , . k 1 , . r 2 , . k 2 , . b 12 , . 1 d 1 , . δ 2 r 2 , . k 2 , . + 2 1 d 2 , . δ 2 r 1 , . k 1 , . c 2 = k 1 , . k 2 , . b 12 , . r 1 , . k 1 , . r 2 , . k 2 , . 2 k 1 , 1 b 12 , . 1 d 2 , . r 1 , . k 1 , . r 2 , . k 2 , . k 2 , . 2 r 1 , . k 1 , . r 2 , . k 2 , . 2 k 2 , . b 12 , . 1 d 1 , . r 2 , . k 2 , . 2 b 21 , . b 12 , . δ 2 r 1 , . k 1 , . r 2 , . k 2 , . + b 12 , . 2 δ 1 r 2 , . k 2 , . 2 + 2 k 2 , . 1 d 2 , . r 1 , . k 1 , . r 2 , . k 2 , . + b 12 , . 1 d 1 , . 1 d 2 , . r 2 , . k 2 , . 1 d 2 , . 2 r 1 , . k 1 , . + 2 δ 2 r 1 , . k 1 , . r 2 , . k 2 , . c 3 = k 2 , . b 21 , . b 12 , . r 1 , . k 1 , . r 2 , . k 2 , . 2 k 1 , . b 12 , . r 1 , . k 1 , . r 2 , . k 2 , . 2 + b 21 , . b 12 , . 1 d 2 , . r 1 , . k 1 , . r 2 , . k 2 , . + 2 k 2 , . r 1 , . k 1 , . r 2 , . k 2 , . 2 + b 12 , . 1 d 1 , . r 2 , . k 2 , . 2 2 1 d 2 , . r 1 , . k 1 , . r 2 , . k 2 , . c 4 = r 1 , . k 1 , . r 2 , . k 2 , . 2 ( b 21 , . b 12 , . 1.0
In the framework of two strong competitors, according to the values taken by parameters r 1 , . , r 2 , . , k 1 , . , k 2 , . , b 12 , . , b 21 , . , d 1 , . , d 2 , . , δ 1 , δ 2 , three cases occur:
  • 0 root is a positive real number; hence, the steady-state solution is x 1 , . = 0 and x 2 , . = 0 ;
  • 1 root is a positive real number; hence, there is one stable steady-state solution; or
  • 2 roots are positive real numbers; hence, there are two stable steady-state solutions.
In the case of two strong competitors, with the existence of two positive and non-null stable steady states (2 roots are positive real numbers), it is possible to trigger a shift between these MS states—for example, by increasing one of the influx rates for one species. Let us consider Species 1. In Figure 4, when the influx is below 0.04   u n i t ( x 1 , . ) . t i m e 1 , there are two steady-state solutions: one state for which Species 1 (in black) predominates and the other for which it loses the competition. A progressive increase in the influx rate for Species 1 (in black), from 0.005   u n i t ( x 1 , . ) . t i m e 1 to 0.07   u n i t ( x 1 , . ) . t i m e 1 , was simulated. When Species 1 has a small population size (i.e., it loses the competition), the influx rate only prevents it from being excluded. On the contrary, when Species 1 is abundant, then it wins the competition, and Species 2 is prevented from being excluded by a reciprocal constant small influx of individuals equal to 0.03   u n i t ( x 2 , . ) . t i m e 1 . The influx rate for Species 1 equal to 0.04   u n i t ( x 1 , . ) . t i m e 1 is a threshold above which there is an abrupt shift to only one steady state. This stable state is characterized by the dominance of Species 1, whatever the initial conditions are met. These results emphasize that, below a threshold, Species 1 is only rescued by the small influx rate, but above the threshold, Species 1 predominates due to a mass effect generated by the large influx of individuals. This mass effect provokes a shift into another basin of attraction now containing all solutions for the system. The characteristic curve representing the set of all equilibrium states is not a hysteresis curve. In other words, the “tipping point” is actually an inflection point separating rescue effect states from the mass effect states. In all cases, both species are maintained locally, and the AS states correspond to a change in dominance between them. In other words, in this metacommunity framework, a mass effect inverses the dominance because it modifies the process of competition by shifting a state into another basin of attraction. Despite the fact that the characteristic curve does not exhibit any hysteresis pattern, a reverse shift remains possible (i.e., MS states still exist) by modifying the influx rates of individuals for both species, in such a way that another inflection point is reached.
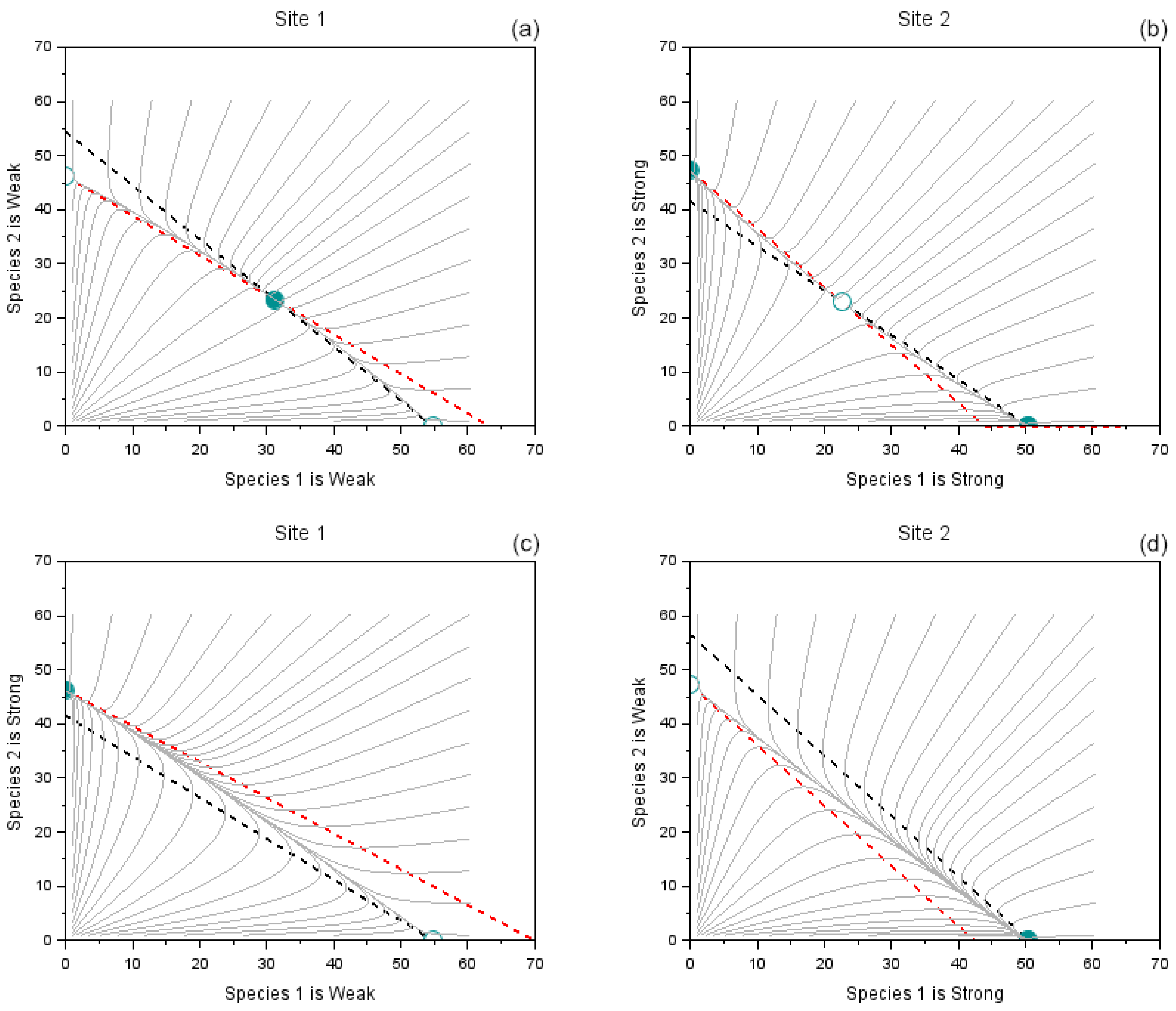
In a last step, the latter local case was extended within a very simple and minimal model of a closed metacommunity composed of two competitive species distributed in two sites. This was simulated in four different configurations (Figure 5 and Figure 6), in the case of post-recruitment dispersal. The first configuration (Figure 5a, b) was set as two weak competitors distributed in the two sites. Conversely, the second configuration (Figure 5c, d) was set as two strong competitors distributed in the two sites. The simulations, in both configurations, indicate that the outcomes are identical to those for isolated communities, but with the equilibrium states displaced due to the fluxes of individuals between sites. When competitors are weak, both species coexist in both sites. When competitors are strong, only one species persists per site, depending on the initial conditions. The coexistence in the case of strong competitions is only possible at a regional scale, as long as no mass effect, from one site to the other, excludes one species from the metacommunity.
The second set of simulations (Figure 6) examined the competitive outcome when one site has two species that sustain weak competition while, on the other connected site, the same two species exhibit strong competition. The two simulations traded the weak competition site with the strong one, while keeping the exchange flux scheme identical. In Figure 6a–d, site one is a sink (i.e., it receives more individuals than it produces and supplies) and site two is a source (i.e., it produces and gives more individuals than it receives). In this configuration, in Figure 6a,b, the weak competition occurs in a sink site, and the strong competition occurs in the source site; the outcome is that, in both sites, one species excludes the other and the two species can only be maintained in separate sites, depending on the initial conditions and as long as no mass effect excludes one species from the metacommunity. On the contrary, in Figure 6c,d, species coexistence is maintained in the two sites because weak competition occurs in the source site, and because the flux from site 2 to site 1 is large enough to overcome the exclusion pattern in site 1 (Figure 6c,d).

4. Studies on Alternate Stable States Remain Firmly Theoretical

Complex mathematical models often predict that the systems that they represent show multiple steady states. However, do these states occur in nature? An ecosystem is a conception of how natural phenomena could be decomposed into series of elementary mechanisms. Modelers try to assemble these elementary mechanisms so that they are both internally consistent and externally compatible with the description of other comparable systems; nonetheless, there is no certainty that they can describe natural phenomena. Moreover, integrated formulations at the level of populations or communities have a very narrow domain of validity, once parameters are identified.
Applied mathematicians have moved a step further into the domain of abstraction by considering how certain functions can have interesting properties regarding system dynamics. The seminal articles of Lewontin [6] and May [31] fall into this latter category: they formulated a theoretical modeling framework to describe the possible occurrence of several stable and unstable steady states, proposing that disturbances may create shifts between the set of stable steady states. Recalling Holling’s earlier work [35], using type-3 Hill-based regulating functions, May [31] then suggested examples of ecological systems that can lead to the identification of shifts between multiple stable states. May [31] emphasized that these conceptual frameworks are entirely ineffective for systems with high dimensions (i.e., systems that have many state variables) but that they can be interesting for low-dimension systems, referring mainly to two variables as functional paired subsets of higher-dimension systems. Even if these foundational articles on AS states have suggested a path forward in exploring multiple stable state and alternate stable state occurrences, these are still only valid for low-dimension systems that depend on the use of the Hill function to describe at least one interaction process.
Beisner et al. [33] performed one of the earliest works on alternate stable states in ecology, emphasizing the differences between a change in parameters and a change in the dynamics of state variables. Their argumentation rests on the common assumption that one of the straight lines describing the equilibrium state for each of the state variables, the isoclines, should be “curved” in such a way that the intersections define several non-null equilibrium points. By stating this, they employed the common belief that the plausible occurrences of AS states are based on at least one process, which implies a Hill function. Conforming to this commonly admitted assumption, Steele and Beets [8] even described the equation developed by May [31], using a second-order Hill-type function, as a death-by-predation process: “the canonical equation to give ASS”. This statement therefore implies that the equation is the simplest standard form to which all other equations can be reduced. At the same time, it raises the question of how to interpret ecologically the process described by the Hill function.
Steele and Beets [8] also considered which types of experiments could confirm the existence of alternate stable states based on two dynamic properties: resilience and hysteresis. Until now, this approach has prevailed [12,39,51] but its epistemological value is weak. Specifically, it cannot be considered as a paradigm because (i) the justification for the use of the Hill function is post hoc, (ii) the concept of equilibrium is not easy to define in ecology [25] and (iii) finding evidence of their existence in nature remains difficult. In addition, the counter-intuitive results that we have presented in the context of local competition blur even further the justification for the use of Hill functions. We have shown in our calculations that instead of displacing existing equilibrium states, Hill functions create new non-null ones, interspersed with former existing ones (Figure 2).
In addition, it is assumed that the hysteresis curve generated when considering the variation of a parameter (e.g., the parameter h of the Hill function) along the sets of steady state solutions is one of the sine qua non conditions to observe shifts in low-dimension systems (fewer than three variables). During this critical review, we have developed a different insight based on the dynamics of interconnected systems, and mainly the dynamics of metacommunities. Specific configurations allow local shifts to be induced by a variation in the exchange flux at regional scales without resting on Hill functions. This possibility was not considered in most prior ecological studies, even if most of the experimental designs that were proposed (especially in marine ecology) consisted of clearing areas and observing the re-colonization of individuals supplied by other sites [52]. This led us to consider whether small fluxes of individuals could displace a null equilibrium to positive values and trigger a shift to AS states. However, we did not design the formulation of the model to force the existence of non-null MS states; the present configuration of the model system only exhibited this property in the case of post-recruitment dispersal, and not in pre-recruitment one.
We summarize our findings as follows:
  • MS states are an outcome of the systemic conception of nature. As a starting point of any AS state studies, the occurrence of MSS must be proven; hence, any AS state studies must be supported by a mathematical model [17]. This also implies the need not only to manipulate the initial conditions in the predicted basins of attraction, but also to test the sensitivity of the results to the components that are not known or accounted for. Therefore, capacities to perform controlled experiments on complex systems must be developed in ecology [17], mainly for interconnected systems.
  • As Lewontin [6] suggested, the existence of MS states does not necessarily imply that the dynamics of the system can always switch between AS states. The process of shifting from one stable state to another should be quantified and studied experimentally as well [17]. As is done in thermodynamics, the potential for an ecosystem to shift between AS states should be explicitly formulated as characteristic state functions describing comprehensively the system at equilibrium. Freidlin and Wentzell’s framework and deviation theory [27] provide the mathematical tools for such a perspective.
  • The shift from one stable state to another—or from one basin of attraction to another—can be continuous if the threshold at which it occurs is an inflection point [53,54,55]. This type of transition was described for continuous chaotic systems [32] with 3 or more dimensions to maintain the property of the uniqueness of solutions. The plausible existence of chaotic behaviors in the dynamics of ecological systems has been suggested mathematically as an alternative explanation to AS states, for plant or animal communities [12], in ecosystems [3] and in meta-systems (e.g., [38]), but empirical evidence remains ambiguous. This type of shift can occur in the case of AS states too, if the transition rate of the characteristic curve is increasing in the vicinity of the inflection point [53].

5. Alternate Stable States in Marine and Aquatic Environments

The plausible occurrence of AS states in marine and, more generally, in aquatic environments has attracted the attention of the research community. As examples, in large systems, Reusch et al. [56] reviewed the abrupt shifts that occurred offshore and on the coasts of the Baltic Sea, attempting to link them to AS states theory. Cury and Shannon [57] examined shifts in the distributed Benguela ecosystems, emphasizing, on the one hand, the importance of spatial variability [58] and, on the other hand, the role and consequences of fish stock exploitation [59] and considering the consequences for the management of fisheries [60,61]. Ling et al. [62] have compiled a large database to try to understand, at the global scale, shift determinisms in the urchin–macroalgae grazing system. Finally, many studies have tried to identify or predict ecosystem shifts due to drifts in environmental variables under climate change (e.g., [63]).
Applications of theoretical concepts to specific environments, involving observation data to infer potential mechanisms, usually lead to somewhat approximate interpretations. Studies of AS states in marine systems do not escape this pattern. Chemello et al. [52] have reviewed applications of AS states in marine environments, focusing on littoral and, particularly, intertidal rocky habitats. They mention Robert Paine’s early work on the concept of keystone species, initiated in 1966 [64]. Paine showed that when a predator is removed from a competitive community where strong competition was controlled by predation, the species diversity decreases and the strong competitor dominates the remaining assemblage. Much later, Paine and collaborators attempted to link their previous work with the concept of AS states (e.g., [65,66]). However, this does not conform with the definition of the concept, since removing (or adding) a compartment, by removing (or adding) the related state variable(s), corresponds to a change in the system structure and not to a shift between multiple stable states within the same system structure.
Paine’s work was developed further by Bertness et al. [16], which triggered a debate [67,68], emphasizing the fundamental problems in formalizing and understanding a system under study in terms of MS states, before being able to characterize the observed or induced changes as shifts to AS states. Petraitis and Dudgeon [67] summarized this recurrent problem as “[…] difficulties of testing for alternative states in natural systems but also common pitfalls of experimental design and analysis”, although May [31] pointed this out earlier, from the point of view of a theoretician.
Another emblematic ecological theory—trophic cascades [69]—has been tentatively linked with the theoretical framework of AS states (e.g., [70]). The system in question is more simple (a three-compartment trophic chain) but, once again, what is attributed to a shift between AS states corresponds to a change in system structure (removing/adding variables) and hence does not fit with the theoretical framework of AS states, per se.
Schroeder et al. [34] reviewed experimental studies that attempted to demonstrate the occurrence of AS states, either in nature or under laboratory conditions. Referring to the classical theoretical framework, they found very contrasting outcomes, including negative results and ill-designed experiments (40%), which could not be interpreted in the AS states context. Chemello et al. [52] also pointed out that many experiments (e.g., [71]) consist of clearing out a delimited area and then observing changes in community composition during re-colonization. First, this type of experiment is more suited to testing the existence of MS states rather than assessing a shift to an ASS. Secondly, the initial condition chosen is the point of the 0 coordinates in the state space, regardless of the systems studied. This particular condition is usually an unstable (trivial) steady state, if the system is productive, while the re-colonization necessarily depends on the fluxes of individuals from other areas. It would be more suitable to set the initial experimental conditions close to each of the MSS, to examine whether the system dynamics converge to them, as predicted [17].
These types of experiments, however, echo some of our previously proposed theoretical developments and raise the question of the spatial and temporal scales at which processes occur. Petraitis and Dudgeon [43] started to address this fundamental question, providing rules for observations and experiments. For example, they stated,
“At the very minimum, experimental tests of the existence of alternative stable states in natural communities must fulfill three conditions [72]. First, alternative states must be shown to occur in the same environment or habitat. Second, the experimental manipulation must be a ”pulse” perturbation [73] […]. Third, the experiment and observations must be carried out over a sufficient time period and over a large enough area to ensure that the alternative states are self-sustaining.”
The first rule can be interpreted as the conservation of the system structure. The second rule is related to the timescale of the disturbance, expected to lead to a shift in steady state. The third one is related to the timeframe of the observations and the convergence to the AS states. In the AS states mathematical framework, the notion of scale is as elusive as for experiments. Evidently, rates at local or regional levels define the scales of variations, but everything is relative to the physical dimensions of the considered systems; they are not often defined precisely. The problem is also that the physical dimensions of natural systems cannot be separated from their complexity. Schooler et al. [12], studying billabongs, in which biological control was applied to decrease plant invasion, summarized the system as a two-species system (Salvinia plants and weevils) but obtained data with large variability and contrasting effects. As they acknowledged, “By fitting a process-based nonlinear model to thirteen-year data sets from four billabongs, we show that incomplete control can be explained by alternative stable states, one state in which Salvinia plants are suppressed and the other in which Salvinia plants escape weevil control”.
Knowlton [2] made a similar statement on coral reef ecosystems, where three states of dominance, by hard coral, microalgal turf or macroalgae, are hypothesized to coexist. This study emphasized mechanistic, process-based hypotheses and was followed by many other studies trying to find field evidence of shifts between AS states based on statistical analysis (e.g., [74]) or experiments (e.g., [75]), and always with the same difficulty wherein these types of systems cannot be reduced conceptually to the necessary low-dimension: the two-by-two interaction system. Fogarthy et al. [76] addressed this issue in their review on marine systems, emphasizing that the theory of AS states for low-dimension systems tends to blend with that of chaotic dynamics, including deterministic chaos, for complex non-linear systems like ecosystems.

6. AS States, Rescue and Mass Effects

Our critical review has demonstrated that MS states and shifts to AS states do not necessarily depend on the introduction of a Hill function as a regulating factor of a process. Such a remark was made more than a decade ago by Petraitis and Hoffman [39], but we have developed a new insight into this topic by placing our system in the framework of a competitive metacommunity, allowing for regional processes to tamper with and control local dynamics.
In particular, we have found that, in a metacommunity of two populations competing strongly, the influx of individuals from other habitats can maintain local coexistence; hence, there is a possibility to observe a shift when the flux of individuals increases. These properties led us to precise fundamental differences between two important processes of the spatial dynamics: the rescue effect and the mass effect. These two processes are not defined quantitatively, often leading to confusion. For instance, Leibold et al. [49] provided two different definitions, stating that the rescue effect is a “mechanism for spatial dynamics in which there is the prevention of local extinction of species by immigration” (from [77]), and that the mass effect is a “mechanism for spatial dynamics in which there is net flow of individuals created by differences in population size in different patches”. Regrettably, these authors have blurred the distinction between rescue and mass effects by stating that the mass effect perspective is “a perspective that focuses on the effect of immigration and emigration on local population dynamics. In such a system, species can be rescued from local competitive exclusion in communities where they are bad competitors, by immigrating from communities where they are good competitors”. This type of confusing statement about rescue and mass effects appears in other articles (e.g., [78]) because of the absence of quantitative definitions and magnitude estimates of these effects. However, other workers, using the Levins’ metapopulation model, have contributed a more precise and formalized definition of the rescue effect [79,80].
Other studies have attributed to the rescue effect the meaning of “saving” populations. For example, Hanski [44] and Bilde et al. [81] combined rescue effects with principles of fitness. Fitness may be increased either by the reduction of the Allee effect or the reduction of the inbreeding depression. However, the notion of “saving” is not explicit if it is not also related to the principle of “exclusion”. Here, we propose to differentiate between the rescue effect and the mass effect based on their original definitions and their impacts on local dynamics. A “small” flux has a rescue effect on the population dynamics of a species when it prevents the population from extinction without modifying the pattern of dominance. On the contrary, a “large” flux has a mass effect on the population dynamics of a species when it modifies the local dynamics of the population in such a way that the dominance pattern is inverted. With the proper identification of parameters, the threshold separating rescue and mass effects can be quantified.
Our re-examination of these concepts suggests that rescue or mass effects, in our minimal modeling framework, can no longer be applicable or relevant in the case of pre-recruitment dispersal, since the local regulation a posteriori prevents any spatial process from tampering with the local dynamics issue. In the case of the dynamics of two strong competitors, the pre-recruitment dispersal has no effect on the exclusion of either species, once the position in one of the two basins of attraction is defined. The term “propagule rain” [79] could be more appropriate to this type of dynamics.
In a final step, the properties of the metacommunity model suggested to us that the regional dynamics cannot maintain the possibility for AS states to occur if all the local systems can shift from one system to another. Eventually, they will all shift to one similar state and one of the two competing species will become extinct. The only way to maintain the coexistence of two species and the possibility to observe AS states is to have at least one site with weak competitors acting as a source for the other sites. In our system definition, the competition factors are not fixed attributes of the species, but, with our minimal formulation, it is not possible to determine why and how they could differ because the environmental variability is not explicitly described. The spatial heterogeneity in controlling factors (e.g., food resource availability and quantity) should be characterized. For example, Shurin et al. [9], using the patch dynamic model from Levins [45] but in a metacommunity context, wrote that “biotic heterogeneity (e.g., habitat modification that favors further invasion by conspecifics) […] can lead to alternative stable landscapes”, while “abiotic heterogeneity due to spatial variation in resource supply ratios generates local-scale AS states”.

7. Implications for Marine Protected Areas and Networks of Marine Protected Areas

Marine protected areas (MPA) are the most common protection measures used in marine conservation, but, upon implementation, there is no guarantee that the protection measures taken will benefit either the targeted species or ecological systems [82], even in the case of a strict no-take marine reserve [83]. Lester et al. [83] studied four variables commonly used in ecological conservation: total biomass and density, individual size and species richness. Although they were only able to compile a partial data set, they still found that about 20% of MPAs showed at least one negative change. Besides suggesting that this could be linked to connectivity and size, they also invoked local demographic processes and interactions. More generally, when a source of disturbance was removed from a local community, competition that was kept low could be reinforced. As we have demonstrated in previous sections, a combination of changes in exchange fluxes and local interaction intensities creates a heterogeneous selective landscape based mainly on competition and may lead to a situation where shifts between desirable and undesirable outcomes can occur for one or several variables [84,85].
Another goal of protected areas is that they should generate spillover effects in adjacent, unprotected areas ([86] and references herein). To achieve this, the MPA should be implemented in such a way that a population behaves as a source. This is, once again, not guaranteed when implemented. For example, Guizien et al. [87] showed, using a Lagrangian model coupled with a metapopulation model, that in the Gulf of Lions (France), MPAs were implemented in such a way that populations behave as sinks. This not only modifies the role that MPAs have in protecting the biodiversity of a region, but also makes MPAs vulnerable to undesirable shifts in an AS states context.
Marine protected areas are entirely compatible with the framework of metacommunities and meta-ecosystems. Such frameworks were applied to understand how AS state occurrences can be quantified and observed when implementing MPAs for fisheries. It is particularly relevant because fisheries scientists are accustomed to designing low-dimension models to manage fisheries [88]. It is common to find metasystems defined as two sites (within and outside of the MPA) and one or several exploited, interacting species. Steele and Beet [8] and González-Olivares and Huincahue-Arcos [89] developed models based on the classical paradigm supporting the use of Hill-type functions. The first interesting feature is that Steele and Beet [8] consider exchanges as a simple diffusive process while placing the Hill-type regulation factor on the mortality-by-predation term and describing the exploitation as a linear function of the stock. In another approach, González-Olivares and Huincahue-Arcos [89] described the forced spillover flux of individuals from an MPA to the unprotected area regulated by a Hill function, but neglected predation-induced mortality and represented the fishing term by the product of the catchability, the fishing effort and the fish stock size. Both models are theoretical and were designed for two different potential applications. Steele and Beet [8] aimed to manage the MPA in such a way that the fisheries could avoid shifting into a state of over-fishing, and González-Olivares and Huincahue-Arcos [89] wished to provide optimal fisheries management strategy rules (maximizing economic profits) assuming that MPAs fulfill their spillover function. It is also crucial to note that Steele and Beet [8] used a Hill function with an exponent z = 2 ; hence, they observed a shift in stable equilibrium when the mortality-by-predation increased, while González-Olivares and Huincahue-Arcos [89] used a first-order Hill function ( z = 1 ), which does not allow alternate stable states to coexist but does allow for a single positive point to define a unique stable state under defined conditions. Therefore, increasing the order of the Hill function in González-Olivares and Huincahue-Arcos [89] would plausibly create a similar effect to those sought by Steele and Beet [8].
In contrast to these approaches, McClanahan et al. [84] studied the effect of protecting fish stocks by closing a part of a fishery on a coral reef ecosystem. These authors did not formulate a model but supported their hypothesis with quantitative studies using low-dimension models (e.g., [43,51]) and predicted that restoring the ecosystem would trigger a shift from a stable state dominated by macroalgae to a stable state dominated by hard coral. The result of their long-term survey did not confirm the theory. Interestingly, rather than questioning the modeling approaches that they referred to, they preferred to identify reasons for the differences between low-dimension models and the complex systems that they studied, the complexity of the food web involved, the weakening of the expected cascade effect, problems of scales and the specificity and variability of the environmental conditions.
This example, nonetheless, highlights the immense challenge involved in formulating predictive models that can be used for ecosystem management and conservation [24,90]. In particular, the non-linearity promoted to create shifts between AS states in low-dimension systems becomes a factor of instability and unpredictability for complex high-dimension systems. Paradoxically, the AS states framework has become mired in metaphors about global change within political ecology [5,91], instead of constituting a path to establishing ecological scientific laws. In other words, modeling accurately complex ecological systems would be the only way to provide the necessary basis to understand and predict the occurrence of shifts as they could be observed in nature.

8. Conclusions

In our review, we retrace the origins of the paradigm of AS states and its applications in modeling abrupt changes in ecological systems. It appears that this idea is based mainly on a search for mathematical properties, starting with the identification of the existence of MS states in ecological systems and followed by by an interest in identifying processes that could induce shifts. The theoretical basis can only be studied in low-dimension systems, because large-dimension, complex systems, as they are currently formulated, do not have the same stability properties as their supposed natural analogues [22]. It has been very difficult to test experimentally the occurrence of shifts through the combination of observations and simulation results. From the very beginning, May [31] has warned that “the complication inherent to multispecies systems almost invariably preclude any quantitative confrontation between theory and data”.
There are many important challenges concerning AS states in marine ecology and conservation [92], but the lack of predictability in ecosystem models makes their study inconsequential because complex systems cannot be summarized most of the time as two-by-two equivalent interaction subsystems [93]. Real ecosystems can indeed be assumed to be composed of a multitude of weak interactions coexisting with a few strong interactions [94]. Ecological models would have to be improved significantly to take this property into account before being capable of exploring the possible consequences of shifts, and ways to prevent them, in marine conservation problems.

Author Contributions

J.-M.G. and J.C.-G. have contributed equally to all tasks, from the conceptualization, literature review and system modeling to the final writing and editing of the manuscript. All authors have read and agreed to the published version of the manuscript.

Funding

This research received no external funding.

Institutional Review Board Statement

Not applicable.

Informed Consent Statement

Not applicable.

Data Availability Statement

All the computer scripts used to produce figures in the text were coded in SciLab (https://www.scilab.org/, accessed on 28 January 2024), an open-source numerical computational tool. Codes are available upon request from the lead author.

Conflicts of Interest

The authors declare no conflicts of interest.

References

  1. Scheffer, M. Multiplicity of Stable States in Freshwater Systems. Hydrobiologia 1990, 200/201, 475–486. [Google Scholar] [CrossRef]
  2. Knowlton, N. Thresholds and Multiple Stable States in Coral Reef Community Dynamics. Am. Zool. 1992, 32, 674–682. [Google Scholar] [CrossRef]
  3. Scheffer, M.; Carpenter, S.; Foley, J.A.; Folke, C.; Walker, B. Catastrophic Shifts in Ecosystems. Nature 2001, 413, 591–596. [Google Scholar] [CrossRef]
  4. Folke, S.C.; Walker, B.; Scheffer, M.; Elmqvist, T.; Gunderson, L.; Holling, C.S. Regime Shifts, Resilience, and Biodiversity in Ecosystem Management. Annu. Rev. Ecol. Evol. Syst. 2004, 35, 557–581. [Google Scholar] [CrossRef]
  5. Lubchenco, J.; Haugan, P.M. The Blue and Compendium and From Knowledge and to Action and for a Sustainable and Ocean Economy; Springer Nature: Cham, Switzerland, 2023. [Google Scholar] [CrossRef]
  6. Lewontin, R.C. The Meaning of Stability. In Diversity and Stability in Ecological Systems: Report of a Symposium Held May 26–28, 1969; Brookhaven National Laboratory: Upton, NY, USA, 1969; Volume 22, pp. 13–24. [Google Scholar]
  7. Sutherland, J.P. Multiple Stable Points in Natural Communities. Am. Nat. 1974, 108, 859–873. [Google Scholar] [CrossRef]
  8. Steele, J.H.; Beet, A.R. Marine protected areas in “nonlinear” ecosystems. Proc. R. Soc. Lond. Ser. B Biol. Sci. 2003, 270, S230–S233. [Google Scholar] [CrossRef]
  9. Shurin, J.B.; Amarasekare, P.; Chase, J.M.; Holt, R.D.; Hoopes, M.F.; Leibold, M.A. Alternative Stable States and Regional Community Structure. J. Theor. Biol. 2004, 227, 359–368. [Google Scholar] [CrossRef]
  10. Hatcher, B.G. A Maritime Accident Provides Evidence for Alternate Stable States in Benthic Communities on Coral Reefs. Coral Reefs 1984, 3, 199–204. [Google Scholar] [CrossRef]
  11. Hewitt, J.E.; Thrush, S.F. Empirical evidence of an approaching alternate state produced by intrinsic community dynamics, climatic variability and management actions. Mar. Ecol. Prog. Ser. 2010, 413, 267–276. [Google Scholar] [CrossRef][Green Version]
  12. Schooler, S.S.; Salau, B.; Julien, M.H.; Ives, A.R. Alternative Stable States Explain Unpredictable Biological Control of Salvinia molesta in Kakadu. Nature 2011, 470, 86–89. [Google Scholar] [CrossRef]
  13. Lindegren, M.; Dakos, V.; Gröger, J.P.; Gårdmark, A.; Kornilovs, G.; Otto, S.A.; Möllmann, C. Early Detection of Ecosystem Regime Shifts: A Multiple Method Evaluation for Management Application. PLoS ONE 2012, 7, e38410. [Google Scholar] [CrossRef]
  14. Petraitis, P.S.; Dudgeon, S.R. Experimental Evidence for the Origin of Alternative Stable Communities on Rocky Intertidal Shores. Oikos 1999, 84, 239–245. [Google Scholar] [CrossRef]
  15. Petraitis, P.S.; Latham, R.E. The Importance of Scale in Testing the Origins of Alternative Community States. Ecology 1999, 80, 429–442. [Google Scholar] [CrossRef]
  16. Bertness, M.D.; Trussell, G.C.; Ewanchuk, P.J.; Silliman, B.R. Do Alternate Stable Community States Exist in the Gulf of Maine Rocky Intertidal Zone? Ecology 2002, 83, 3434–3448. [Google Scholar] [CrossRef]
  17. Scheffer, M.; Carpenter, S.R. [Review] Catastrophic regime shifts in ecosystems: Linking theory to observation. Trends Ecol. Evol. 2003, 18, 648–656. [Google Scholar] [CrossRef]
  18. Thrush, S.F.; Hewitt, J.E.; Parkes, S.; Lohrer, A.M.; Pilditch, C.; Woodin, S.A.; Wethey, D.S.; Chiantore, M.; Asnaghi, V.; de Juan, S.; et al. Experimenting with ecosystem interaction networks in search of threshold potentials in real-world marine ecosystems. Ecology 2014, 95, 1451–1457. [Google Scholar] [CrossRef]
  19. Schelling, T.C. Dynamic Models of Segregation. J. Math. Sociol. 1971, 1, 143–186. [Google Scholar] [CrossRef]
  20. Grodzins, M. Metropolitan Segregation. Sci. Am. 1957, 197, 33–41. [Google Scholar] [CrossRef]
  21. Lenton, T.M. Environmental Tipping Points. Annu. Rev. Environ. Resour. 2013, 38, 1–29. [Google Scholar] [CrossRef]
  22. May, R.M. Stability and Complexity in Model Ecosystems; Princeton University Press: New York, NY, USA, 1974. [Google Scholar] [CrossRef]
  23. Hamlin, C. Robert Warington and the Moral Economy of the Aquarium. J. Hist. Biol. 1986, 1, 131–153. [Google Scholar] [CrossRef]
  24. Coston-Guarini, J. Epistemic Values of Historical Information in Marine Ecology and Conservation [2016BRES0124]. Ph.D. Thesis, Université de Bretagne Occidentale, Brest, France, 2017. [Google Scholar] [CrossRef]
  25. Justus, J. Ecological and Lyapunov Stability. Philos. Sci. 2008, 75, 421–436. [Google Scholar] [CrossRef]
  26. Freidlin, M.I. Random perturbations of dynamical systems: Large deviations and averaging. Resenhas IME-USP 1993, 1, 183–216. [Google Scholar]
  27. Freidlin, M.I.; Wentzell, A.D. Random Perturbations of Dynamical Systems, 3rd ed.; Number 260 in Grundlehren der mathematischen Wissenschaften; Springer: Berlin/Heidelberg, Germany, 2012. [Google Scholar] [CrossRef]
  28. Zhou, J.X.; Aliyu, M.D.S.; Aurell, E.; Huang, S. Quasi-potential landscape in complex multi-stable systems. J. R. Soc. Interface 2012, 9, 3539–3553. [Google Scholar] [CrossRef]
  29. Nolting, B.D.; Abbott, K.C. Balls, cups, and quasi-potentials: Quantifying stability in stochastic systems. Ecology 2016, 97, 850–864. [Google Scholar] [CrossRef] [PubMed]
  30. Lyapunov, A.M. The general problem of the stability of motion. Int. J. Control 1992, 55, 531–534. [Google Scholar] [CrossRef]
  31. May, R.M. Threshold and Break Points in ecosystems with a multiplicity of stable states. Nature 1977, 269, 471–477. [Google Scholar] [CrossRef]
  32. Hastings, A.; Hom, C.L.; Ellner, S.; Turchin, P.; Godfray, H.C.J. Chaos in Ecology: Is Mother Nature a Strange Attractor? Annu. Rev. Ecol. Syst. 1993, 24, 1–33. [Google Scholar] [CrossRef]
  33. Beisner, B.; Haydon, D.; Cuddington, K. Alternative stable states in ecology. Front. Ecol. Environ. 2003, 1, 376–382. [Google Scholar] [CrossRef]
  34. Schröder, A.; Persson, L.; De Roos, A.M. Direct Experimental Evidence for Alternative Stable States: A Review. Oikos 2005, 110, 3–19. [Google Scholar] [CrossRef]
  35. Holling, C.S. Resilience and Stability Of Ecological Systems. Annu. Rev. Ecol. Syst. 1973, 4, 1–23. [Google Scholar] [CrossRef]
  36. Elton, C.S. The Ecology of Invasions by Animals and Plants; Springer Science and Business Media LLC: New York City, NY, USA, 1958. [Google Scholar] [CrossRef]
  37. Hill, A.V. The Possible Effects of the Aggregation of the Molecules of Haemoglobin on Its dissociation curves. J. Physiol. 1910, 40, 4–7. [Google Scholar] [CrossRef]
  38. Hui, C.; Li, Z. Dynamical Complexity and Metapopulation Persistence. Ecol. Model. 2003, 164, 201–209. [Google Scholar] [CrossRef]
  39. Petraitis, P.S.; Hoffman, C. Multiple Stable States and Relationship Betweenthresholds in Processes and States. Mar. Ecol. Prog. Ser. 2010, 413, 189–200. [Google Scholar] [CrossRef]
  40. Sharma, Y.; Abbott, K.C.; Dutta, P.S.; Gupta, A.K. Stochasticity and bistability in insect outbreak dynamics. Theor. Ecol. 2014, 8, 163–174. [Google Scholar] [CrossRef]
  41. Abbott, K.C.; Nolting, B.C. Alternative (un)stable states in a stochastic predator–prey model. Ecol. Complex. 2017, 32, 181–195. [Google Scholar] [CrossRef]
  42. Ayala, F.J.; Gilpin, M.E.; Ehrenfeld, J.G. Competition between Species: Theoretical Models and Experimental Tests. Theor. Popul. Biol. 1973, 4, 331–356. [Google Scholar] [CrossRef] [PubMed]
  43. Petraitis, P.S.; Dudgeon, S.R. Detection of Alternative Stable States in Marine Communities. J. Exp. Mar. Biol. Ecol. 2004, 300, 343–371. [Google Scholar] [CrossRef]
  44. Hanski, I. Predictive and Practical Metapopulation Models: The Incidence Function Approach. In Spatial Ecology: The Role of Space in Population Dynamics and Interspecific; Tilman, D., Kareiva, P., Eds.; Monographs in Population Biology; Princeton University Press: Princeton, NJ, USA, 1997; Chapter 2; pp. 21–45. [Google Scholar] [CrossRef]
  45. Levins, R. Some Demographic and Genetic Consequences of Environmental Heterogeneity for Biological Control. Bull. Entomol. Soc. Am. 1969, 15, 237–240. [Google Scholar] [CrossRef]
  46. Kritzer, J.P.; Sale, P.F. Metapopulation Ecology in the Sea: From Levins’ Model to Marine Ecology and Fisheries Science. Fish Fish. 2004, 5, 131–140. [Google Scholar] [CrossRef]
  47. Drechsler, M. Predicting metapopulation lifetime from macroscopic network properties. Math. Biosci. 2009, 218, 59–71. [Google Scholar] [CrossRef]
  48. Kininmonth, S.; Drechsler, M.; Johst, K.; Possingham, H.P. Metapopulation mean life time within complex networks. Mar. Ecol. Prog. Ser. 2010, 417, 139–149. [Google Scholar] [CrossRef]
  49. Leibold, M.A.; Holyoak, M.; Mouquet, N.; Amarasekare, P.; Chase, J.M.; Hoopes, M.F.; Holt, R.D.; Shurin, J.B.; Law, R.; Tilman, D.; et al. The Metacommunity Concept: A Frameworkfor Multi-scale Community Ecology. Ecol. Lett. 2004, 7, 601–613. [Google Scholar] [CrossRef]
  50. Hanski, I.; Ovaskainen, O. Metapopulation Theory for Fragmented Landscapes. Theor. Popul. Biol. 2003, 64, 119–127. [Google Scholar] [CrossRef] [PubMed]
  51. Mumby, P.J.; Hastings, A.; Edwards, H.J. Thresholds and the Resilience of Caribbean Coral Reefs. Nature 2007, 450, 98–101. [Google Scholar] [CrossRef]
  52. Chemello, S.; Vizzini, S.; Mazzola, A. Regime Shifts and Alternative Stable States in Intertidal Rocky Habitats: State of the Art and New Trends of Research. Estuar. Coast. Shelf Sci. 2018, 214, 57–63. [Google Scholar] [CrossRef]
  53. MacNally, R.; Albano, C.; Fleishman, E. A scrutiny of the evidence for pressure-induced state shifts in estuarine and nearshore ecosystems. Austral Ecol. 2014, 39, 898–906. [Google Scholar] [CrossRef]
  54. Dudgeon, S.R.; Aronson, R.B.; Bruno, J.F.; Precht, W.F. Phase shifts and stable states on coral reefs Phase shifts and stable states on coral reefs. Mar. Ecol. Prog. Ser. 2010, 413, 201–216. [Google Scholar] [CrossRef]
  55. Done, T.J. Phase shifts in coral reef communities and their ecological significance. Hydrobiologia 1992, 247, 121–132. [Google Scholar] [CrossRef]
  56. Reusch, T.B.H.; Dierking, J.; Andersson, H.C.; Bonsdorff, E.; Carstensen, J.; Casini, M.; Czajkowski, M.; Hasler, B.; Hinsby, K.; Hyytiäinen, K.; et al. The Baltic Sea as a time machine for the future coastal ocean. Sci. Adv. 2018, 4, eaar8195. [Google Scholar] [CrossRef]
  57. Cury, P.; Shannon, L. Regime shifts in upwelling ecosystems: Observed changes and possible mechanisms in the northern and southern Benguela. Prog. Oceanogr. 2004, 60, 223–243. [Google Scholar] [CrossRef]
  58. Fisher, J.A.D.; Casini, M.; Frank, K.T.; Möllmann, C.; Leggett, W.C.; Daskalov, G. The importance of within-system spatial variation in drivers of marine ecosystem regime shifts. Philos. Trans. R. Soc. B 2015, 370, 20130271. [Google Scholar] [CrossRef]
  59. Möllmann, C.; Diekmann, R. Marine Ecosystem Regime Shifts Induced by Climate and Overfishing: A Review for the Northern Hemisphere. Adv. Ecol. Res. 2012, 47, 303–347. [Google Scholar] [CrossRef]
  60. Jiao, Y. Regime shift in marine ecosystems and implications for fisheries management, a review. Rev. Fish Biol. Fish. 2009, 19, 177–191. [Google Scholar] [CrossRef]
  61. Levin, P.S.; Möllmann, C. Marine ecosystem regime shifts: Challenges and opportunities for ecosystem-based management. Philos. Trans. R. Soc. B 2015, 370, 20130275. [Google Scholar] [CrossRef]
  62. Ling, S.D.; Scheibling, R.E.; Rassweiler, A.; Johnson, C.R.; Shears, N.; Connell, S.D.; Salomon, A.K.; Norderhaug, K.M.; Pérez-Matus, A.; Hernández, J.C.; et al. Global regime shift dynamics of catastrophic sea urchin overgrazing. Philos. Trans. R. Soc. B 2015, 370, 20130269. [Google Scholar] [CrossRef]
  63. Bestelmeyer, B.T.; Ellison, A.M.; Fraser, W.R.; Gorman, K.B.; Holbrook, S.J.; Laney, C.M.; Ohman, M.D.; Peters, D.P.C.; Pillsbury, F.C.; Rassweiler, A.; et al. Analysis of abrupt transitions in ecological systems. Ecosphere 2011, 2, 129. [Google Scholar] [CrossRef]
  64. Paine, R.T. Food Web Complexity and Species Diversity. Am. Nat. 1966, 100, 65–75. [Google Scholar] [CrossRef]
  65. Paine, R.T.; Castillo, J.C.; Cancino, J. Perturbation and Recovery Patterns of Starfish-Dominated Intertidal Assemblages in Chile, New Zealand, and Washington State. Am. Nat. 1985, 125, 679–691. [Google Scholar] [CrossRef]
  66. Paine, R.T.; Trimble, A.C. Abrupt Community Change on a Rocky Shore—Biological Mechanisms Contributing to the Potential Formation of an Alternative State. Ecol. Lett. 2004, 7, 441–445. [Google Scholar] [CrossRef]
  67. Petraitis, P.S.; Dudgeon, S.R. Do Alternate Stable Community States Exist in the Gulf Of Maine Rocky Intertidal Zone? Comment. Ecology 2004, 85, 1160–1165. [Google Scholar] [CrossRef][Green Version]
  68. Bertness, M.D.; Trussell, G.C.; Ewanchuk, P.J.; Silliman, B.R. Do Alternate Stable Community States Exist in the Gulf of Maine Rocky Intertidal Zone? Reply. Ecology 2004, 85, 1165–1167. [Google Scholar] [CrossRef]
  69. Estes, J.A.; Palmisano, J.F. Sea otters: Their role in structuring nearshore communities. Sci. New Ser. 1974, 185, 1058–1060. [Google Scholar] [CrossRef]
  70. Simenstad, C.A.; Estes, J.A.; Kenyon, K.W. Aleuts, Sea Otters, and Alternate Stable-State Communities. Science 1978, 200, 403–411. [Google Scholar] [CrossRef] [PubMed]
  71. Petraitis, P.S.; Methratta, E.T.; Rhile, E.C.; Vidargas, N.A.; Dudgeon, S.R. Experimental Confirmation of Multiple Community States in a Marine Ecosystem. Oecologia 2009, 161, 139–148. [Google Scholar] [CrossRef] [PubMed]
  72. Connell, J.H.; Souza, W.P. On the Evidence Needed to Judge Ecological Stability or Persistence. Am. Nat. 1983, 121, 789–824. [Google Scholar] [CrossRef]
  73. Bender, E.A.; Case, T.J.; Gilpin, M.E. Perturbation Experiments in Community Ecology: Theory and Practice. Ecology 1984, 65, 1–13. [Google Scholar] [CrossRef]
  74. Jouffray, J.B.; Nystrom, M.; Norstrom, A.V.; Williams, I.D.; Wedding, L.M.; Kittinger, J.N.; Williams, G.J. Identifying Multiple Coral Reef Regimes and Their Drivers across the Hawaiian Archipelago. Philos. Trans. R. Soc. B 2015, 370, 20130268. [Google Scholar] [CrossRef]
  75. Schmitt, R.J.; Holbrook, S.J.; Davis, S.L.; Brooks, A.J.; Adam, T.C. Experimental Support for Alternative Attractors on Coral Reefs. Proc. Natl. Acad. Sci. USA 2019, 116, 4372–4381. [Google Scholar] [CrossRef]
  76. Fogarty, M.J.; Gamble, R.; Perretti, C.T. Dynamic complexity in exploited marine ecosystems. Front. Ecol. Evol. 2016, 4, 1–20. [Google Scholar] [CrossRef]
  77. Brown, J.H.; Kodric-Brown, A. Turnover Rates in Insular Biogeography: Effect of Immigration on Extinction. Ecology 1977, 58, 445–449. [Google Scholar] [CrossRef]
  78. Holyoak, M.; Ray, C. A Roadmap for Metapopulation Research. Ecol. Lett. 1999, 2, 273–275. [Google Scholar] [CrossRef]
  79. Gotelli, N.J. Metapopulation Models: The Rescue Effect, the Propagule Rain and the Core-satellite Hypothesis. Am. Nat. 1991, 138, 768–776. [Google Scholar] [CrossRef]
  80. Etienne, R. Local Populations of Different Sizes, Mechanistic Rescue Effect and Patch Preference in the Levins Metapopulation Model. Bull. Math. Biol. 2000, 62, 943–958. [Google Scholar] [CrossRef]
  81. Bilde, T.; Coates, K.S.; Birkhofer, K.; Bird, T.; Maklakov, A.A.; Lubin, Y.; Aviles, L. Survival Benefits Select for Group Living in a Social Spider Despite Reproductive Costs. J. Evol. Biol. 2007, 20, 2412–2426. [Google Scholar] [CrossRef]
  82. Mora, C.; Andrefouet, S.; Costello, M.J.; Kranenburg, C.; Rollo, A.; Veron, J.; Gaston, K.J.; Myers, R.A. Coral Reefs and the Global Network of Marine Protected Areas. Science 2006, 312, 1750–1751. [Google Scholar] [CrossRef]
  83. Lester, S.E.; Halpern, B.S.; Grorud-Colvert, K.; Lubchenco, J.; Ruttenberg, B.I.; Gaines, S.D.; Airame, S.; Warner, R.R. Biological Effects within No-take Marine Reserves:a Global Synthesis. Mar. Ecol. Prog. Ser. 2009, 384, 33–46. [Google Scholar] [CrossRef]
  84. McClanahan, T.R.; Muthiga, N.A.; Coleman, R.A. Testing for Top-down Control: Can Post-disturbance Fisheries Closures reverse Algal Dominance? Aquat. Conserv. Mar. Freshw. Ecosyst. 2011, 21, 658–675. [Google Scholar] [CrossRef]
  85. Udy, J.A.; Wing, S.R.; Jowett, T.; O’Connell-Milne, S.A.; Durante, L.M.; McMullin, R.M.; Kolodzey, S. Regional Differences in Kelp Forest Interaction Chains Are Influenced by Both Diffuse and Localized Stressors. Ecosphere 2019, 10, e02894. [Google Scholar] [CrossRef]
  86. Williamson, D.H.; Harrison, H.B.; Almany, G.R.; Berumen, M.L.; Bode, M.; Bonin, M.C.; Choukroun, S.; Doherty, P.J.; Frisch, A.J.; Saenz-Agudelo, P.; et al. Large-scale, multidirectional larval connectivity among coral reef fish populations in the Great Barrier Reef Marine Park. Mol. Ecol. 2016, 25, 6039–6054. [Google Scholar] [CrossRef] [PubMed]
  87. Guizien, K.; Belharet, M.; Moritz, C.; Guarini, J.M. Vulnerability of Marine Benthic Metapopulations: Implications of Spatially Structured Connectivity for Conservation Practice in the Gulf of Lions (nw Mediterranean Sea). Divers. Distrib. 2014, 20, 1392–1402. [Google Scholar] [CrossRef]
  88. Greenville, J.; MacAulay, T.G. Protected Areas in Fisheries: A Two-patch, Two-species Model. Aust. J. Agric. Resour. Econ. 2006, 50, 207–226. [Google Scholar] [CrossRef]
  89. González-Olivares, E.; Huincahue-Arcos, J. A Two-patch Model for the Optimal Management of a Fishing Resource Considering a Marine Protected Area. Nonlinear Anal. Real World Appl. 2011, 12, 2489–2499. [Google Scholar] [CrossRef]
  90. Beckage, B.; Gross, L.J.; Kauffman, S. The limits to prediction in ecological systems. Ecosphere 2011, 2, 125. [Google Scholar] [CrossRef]
  91. Rockström, J.; Gupta, J.; Qin, D.; Lade, S.L.; Abrams, J.F.; Andersen, L.S.; Armstrong McKay, D.I.; Bai, X.; Bala, G.; Bunn, S.E.; et al. Safe and just Earth system boundaries. Nature 2023, 619, 102–111. [Google Scholar] [CrossRef]
  92. Knowlton, N. Multiple “stable” states and the conservation of marine ecosystems. Prog. Oceanogr. 2004, 60, 387–396. [Google Scholar] [CrossRef]
  93. Billick, I.; Case, T.J. Higher Order Interactions in Ecological Communities: What Are They and How Can They be Detected? Ecology 1994, 75, 1529–1543. [Google Scholar] [CrossRef]
  94. Wootton, J.T. Putting the Pieces Together: Testing the Independence of Interactions among Organisms. Ecology 1994, 75, 1544–1551. [Google Scholar] [CrossRef]
Figure 1. Four different dynamic behaviors in isolated two-species competitive communities: (a) Species 1 and Species 2 are weak competitors; hence, both sustain (or are submitted to) weak competition. (b) Species 1 is a weak competitor and now Species 2 is the strong competitor; hence, Species 1 sustains strong competition, while Species 2 sustains weak competition. (c) Species 1 is a weak competitor and Species 2 is a strong one, so Species 1 sustains a strong competition, while Species 2 is subjected to a weak one. (d) Finally, both Species 1 and Species 2 are strong competitors; thus, both sustain strong competition. The lines are the isoclines calculated from the ordinary differential equations, describing the dynamics of Species 1 (black) and describing the dynamics of Species 2 (red). The filled circles (greenish blue) represent stable steady states; unfilled circles represent the unstable steady states. Grey lines indicate trajectories for 40 different initial conditions, up to reaching a stable steady state in the system.
Figure 1. Four different dynamic behaviors in isolated two-species competitive communities: (a) Species 1 and Species 2 are weak competitors; hence, both sustain (or are submitted to) weak competition. (b) Species 1 is a weak competitor and now Species 2 is the strong competitor; hence, Species 1 sustains strong competition, while Species 2 sustains weak competition. (c) Species 1 is a weak competitor and Species 2 is a strong one, so Species 1 sustains a strong competition, while Species 2 is subjected to a weak one. (d) Finally, both Species 1 and Species 2 are strong competitors; thus, both sustain strong competition. The lines are the isoclines calculated from the ordinary differential equations, describing the dynamics of Species 1 (black) and describing the dynamics of Species 2 (red). The filled circles (greenish blue) represent stable steady states; unfilled circles represent the unstable steady states. Grey lines indicate trajectories for 40 different initial conditions, up to reaching a stable steady state in the system.
Jmse 12 00261 g001
Figure 2. Phase portraits (plots (ad)) of examples of four different dynamic behaviors in isolated 2-species competitive communities using Hill functions (Equation (2)). Solid lines are the isoclines for each species: black is Species 1, red is Species 2. Points in greenish blue indicate where the stable (filled circles) or unstable (unfilled circles) equilibrium points lie. Grey lines indicate trajectories for 40 different initial conditions, up to reaching a stable steady state in each system. Dashed lines indicate what the straight (uncurved) isoclines would look like (black is Species 1, red is Species 2). Plots (e,f) illustrate the set of steady state equilibria as h is increased from 0 to the maximum value of the carrying capacity in the system for the example in plot (c). Plots (g,h) illustrate the set of all steady state equilibria as h is increased from 0 to the maximum value of the carrying capacity in the system for the example in plot (d). The dashed lines in (eh) are where the unstable steady states shift, or switch, between two AS states. This is what an actual, simulated shift (or the hysteresis curve) looks like.
Figure 2. Phase portraits (plots (ad)) of examples of four different dynamic behaviors in isolated 2-species competitive communities using Hill functions (Equation (2)). Solid lines are the isoclines for each species: black is Species 1, red is Species 2. Points in greenish blue indicate where the stable (filled circles) or unstable (unfilled circles) equilibrium points lie. Grey lines indicate trajectories for 40 different initial conditions, up to reaching a stable steady state in each system. Dashed lines indicate what the straight (uncurved) isoclines would look like (black is Species 1, red is Species 2). Plots (e,f) illustrate the set of steady state equilibria as h is increased from 0 to the maximum value of the carrying capacity in the system for the example in plot (c). Plots (g,h) illustrate the set of all steady state equilibria as h is increased from 0 to the maximum value of the carrying capacity in the system for the example in plot (d). The dashed lines in (eh) are where the unstable steady states shift, or switch, between two AS states. This is what an actual, simulated shift (or the hysteresis curve) looks like.
Jmse 12 00261 g002
Figure 3. Example simulations of a metacommunity framework with two populations at two sites, and for the case of pre-recruitment dispersal. The dynamic properties are only conditioned by the local term, such that the outcome corresponds to the isolated community framework (Figure 1). Grey lines show trajectories for 40 different initial conditions in the metacommunity framework, up to reaching a stable steady state in each system. All the trajectories converge to stable equilibria points (as calculated for the two isolated communities), regardless of the exchange fluxes of individuals existing between the two sites. Dashed lines are the isoclines for each species equation in an isolated community (black is Species 1, red is Species 2). Points in greenish blue indicate where the stable (filled circles) or unstable (unfilled circles) equilibrium points lie for the isolated communities. Coexistence is ensured in (a) when the species competition is weak at the same site; (b) shows the case where one species is excluded when both species are strong competitors. In plots (c,d), both species are only maintained at the metacommunity level because there is only one strong competitor in each site.
Figure 3. Example simulations of a metacommunity framework with two populations at two sites, and for the case of pre-recruitment dispersal. The dynamic properties are only conditioned by the local term, such that the outcome corresponds to the isolated community framework (Figure 1). Grey lines show trajectories for 40 different initial conditions in the metacommunity framework, up to reaching a stable steady state in each system. All the trajectories converge to stable equilibria points (as calculated for the two isolated communities), regardless of the exchange fluxes of individuals existing between the two sites. Dashed lines are the isoclines for each species equation in an isolated community (black is Species 1, red is Species 2). Points in greenish blue indicate where the stable (filled circles) or unstable (unfilled circles) equilibrium points lie for the isolated communities. Coexistence is ensured in (a) when the species competition is weak at the same site; (b) shows the case where one species is excluded when both species are strong competitors. In plots (c,d), both species are only maintained at the metacommunity level because there is only one strong competitor in each site.
Jmse 12 00261 g003
Figure 4. Plot (a) is a phase portrait of the dynamics of populations 1 and 2, at one local site of a metacommunity. This is a “local configuration” under post-recruitment dispersal. Grey lines indicate trajectories for 40 different initial conditions, all having zero influxes of individuals for both Species 1 and 2, and until an equilibrium state is reached (shown by the filled points in greenish blue). The unstable steady state between the two stable ones is given by the unfilled circle in greenish blue. The smaller blue filled circles are the stable equilibrium states displaced when there is an influx of Species 2 fixed at 0.030 u n i t o f x 2 , . . t i m e 1 and the influx of Species 1 varying between 0 and 0.070 u n i t o f x 1 , . . t i m e 1 . Plot (b) shows the sets of equilibria for the steady states of Species 1 (black) in u n i t o f x 1 , . . t i m e 1 and Species 2 (red) in u n i t o f x 2 , . . t i m e 1 as a function of an increase in the influx rate of Species 1. Below the threshold value marked by the vertical blue dashed line, Species 1 is rescued by a small influx rate when “losing” the competition; above the threshold, even if “losing” initially the competition, Species 1 now predominates by the mass effect. There is no hysteresis curve, but only one inflection point at which the shift occurs.
Figure 4. Plot (a) is a phase portrait of the dynamics of populations 1 and 2, at one local site of a metacommunity. This is a “local configuration” under post-recruitment dispersal. Grey lines indicate trajectories for 40 different initial conditions, all having zero influxes of individuals for both Species 1 and 2, and until an equilibrium state is reached (shown by the filled points in greenish blue). The unstable steady state between the two stable ones is given by the unfilled circle in greenish blue. The smaller blue filled circles are the stable equilibrium states displaced when there is an influx of Species 2 fixed at 0.030 u n i t o f x 2 , . . t i m e 1 and the influx of Species 1 varying between 0 and 0.070 u n i t o f x 1 , . . t i m e 1 . Plot (b) shows the sets of equilibria for the steady states of Species 1 (black) in u n i t o f x 1 , . . t i m e 1 and Species 2 (red) in u n i t o f x 2 , . . t i m e 1 as a function of an increase in the influx rate of Species 1. Below the threshold value marked by the vertical blue dashed line, Species 1 is rescued by a small influx rate when “losing” the competition; above the threshold, even if “losing” initially the competition, Species 1 now predominates by the mass effect. There is no hysteresis curve, but only one inflection point at which the shift occurs.
Jmse 12 00261 g004
Figure 5. Examples of simulations of a metacommunity framework, with P = 2 populations, in two sites, and with post-recruitment dispersal. The upper plots (a,b) show a set of trajectories calculated in site 1 and site 2, where both species sustain weak competition in both sites. The flux of individuals is bi-directional and stronger from site 2 to site 1 than from site 1 to site 2. Lower plots (c,d) for an identical metacommunity structure having an inverted competition pattern (strong competition in both sites). The dashed black (Species 1) and red (Species 2) lines represent 0-slope isoclines of each species in the case of isolated species. Filled greenish-blue circles indicate stable states, unfilled circles are for unstable states of each species. The small, filled blue circles show where stable states occur for the metacommunity with positive exchange fluxes between both. The exchange flux from site 2 to site 1 is greater than the exchange flux for site 1 to site 2.
Figure 5. Examples of simulations of a metacommunity framework, with P = 2 populations, in two sites, and with post-recruitment dispersal. The upper plots (a,b) show a set of trajectories calculated in site 1 and site 2, where both species sustain weak competition in both sites. The flux of individuals is bi-directional and stronger from site 2 to site 1 than from site 1 to site 2. Lower plots (c,d) for an identical metacommunity structure having an inverted competition pattern (strong competition in both sites). The dashed black (Species 1) and red (Species 2) lines represent 0-slope isoclines of each species in the case of isolated species. Filled greenish-blue circles indicate stable states, unfilled circles are for unstable states of each species. The small, filled blue circles show where stable states occur for the metacommunity with positive exchange fluxes between both. The exchange flux from site 2 to site 1 is greater than the exchange flux for site 1 to site 2.
Jmse 12 00261 g005
Figure 6. This is the same system as in Figure 5, except that, at one site, there is weak competition and, at the other, there is strong competition. The symbology is identical. The exchange flux structure is the same for both metacommunities. In the first metacommunity (plots (a,b)), there is no coexistence between competitors because the strong competitor controls the dynamics of the weaker one through the flux of individuals from site 2 to site 1. In contrast, plots (c,d) show that the weak competitor controls the strong one, by the predominating flux of individuals from site 2 to site 1, hence allowing for the coexistence of both species in both sites.
Figure 6. This is the same system as in Figure 5, except that, at one site, there is weak competition and, at the other, there is strong competition. The symbology is identical. The exchange flux structure is the same for both metacommunities. In the first metacommunity (plots (a,b)), there is no coexistence between competitors because the strong competitor controls the dynamics of the weaker one through the flux of individuals from site 2 to site 1. In contrast, plots (c,d) show that the weak competitor controls the strong one, by the predominating flux of individuals from site 2 to site 1, hence allowing for the coexistence of both species in both sites.
Jmse 12 00261 g006
Disclaimer/Publisher’s Note: The statements, opinions and data contained in all publications are solely those of the individual author(s) and contributor(s) and not of MDPI and/or the editor(s). MDPI and/or the editor(s) disclaim responsibility for any injury to people or property resulting from any ideas, methods, instructions or products referred to in the content.

Share and Cite

MDPI and ACS Style

Guarini, J.-M.; Coston-Guarini, J. Alternate Stable States Theory: Critical Evaluation and Relevance to Marine Conservation. J. Mar. Sci. Eng. 2024, 12, 261. https://doi.org/10.3390/jmse12020261

AMA Style

Guarini J-M, Coston-Guarini J. Alternate Stable States Theory: Critical Evaluation and Relevance to Marine Conservation. Journal of Marine Science and Engineering. 2024; 12(2):261. https://doi.org/10.3390/jmse12020261

Chicago/Turabian Style

Guarini, Jean-Marc, and Jennifer Coston-Guarini. 2024. "Alternate Stable States Theory: Critical Evaluation and Relevance to Marine Conservation" Journal of Marine Science and Engineering 12, no. 2: 261. https://doi.org/10.3390/jmse12020261

APA Style

Guarini, J.-M., & Coston-Guarini, J. (2024). Alternate Stable States Theory: Critical Evaluation and Relevance to Marine Conservation. Journal of Marine Science and Engineering, 12(2), 261. https://doi.org/10.3390/jmse12020261

Note that from the first issue of 2016, this journal uses article numbers instead of page numbers. See further details here.

Article Metrics

Back to TopTop