Next Article in Journal
Evaluation and Structural Optimisation of 0.6 m Impulse Turbine in Dolphin Wave Energy Conversion Device Through Computational Fluid Dynamics and Generative Design
Next Article in Special Issue
Study on the Mechanical Behavior of Fine-Grained Gassy Soil Under Different Stress Conditions
Previous Article in Journal
Monsoon-Driven Dispersal of River-Sourced Floating Marine Debris in Tropical Semi-Enclosed Waters: A Case Study in the Gulf of Thailand
Previous Article in Special Issue
Analysis of the Vertical Dynamic Response of SDCM Piles in Coastal Areas
 
 
Font Type:
Arial Georgia Verdana
Font Size:
Aa Aa Aa
Line Spacing:
Column Width:
Background:
Article

Effective Stress-Based Numerical Method for Predicting Large-Diameter Monopile Response to Various Lateral Cyclic Loadings

1
Sanya Science and Education Innovation Park of Wuhan University of Technology, Sanya 572000, China
2
School of Naval Architecture, Ocean and Energy Power Engineering, Wuhan University of Technology, Wuhan 430063, China
3
Naval Research Institute, Beijing 100161, China
4
Naval Logistics Academy, Tianjin 300450, China
*
Author to whom correspondence should be addressed.
J. Mar. Sci. Eng. 2024, 12(12), 2260; https://doi.org/10.3390/jmse12122260
Submission received: 21 October 2024 / Revised: 25 November 2024 / Accepted: 26 November 2024 / Published: 9 December 2024
(This article belongs to the Special Issue Advances in Marine Geological and Geotechnical Hazards)

Abstract

Extreme marine environmental cyclic loading significantly affects the serviceability of monopiles applied for the foundation of offshore wind turbines (OWTs). Existing research has primarily used p-y methods or total stress-based models to investigate the behavior of monopile–marine clay systems, overlooking the pore pressure development in subsea clay. Studies on the effective stress-based behavior of clay under various lateral cyclic loading conditions are limited. This paper presents an effective stress-based 3D finite element numerical method developed to predict key behaviors of pile–clay systems, including permanent pile rotation under cyclic loading, pile bending moment, and the evolution of pore pressure in subsea clay. The model is verified by contrasting the simulations results to centrifuge experimental results. Cyclic lateral loading is divided into average cyclic load and amplitude of cyclic load to investigate their impacts on the pile–clay system response. The research findings offer insights for the design of large-diameter monopiles under complex cyclic loading conditions.

1. Introduction

Some offshore wind turbines (OWTs) rely on monopiles as foundational supports. These monopiles, embedded into the seabed, are designed to withstand not only the weight of the turbines but also the cyclic lateral loads from environmental factors such as wind, current, and waves. For the purpose of meeting the serviceability limit state (SLS) criteria, as outlined in current OWT guidelines, it is necessary to conduct a thorough analysis of monopile response to complex lateral cyclic loading.
To simulate the behavior of offshore wind turbines (OWTs) under cyclic loading, the nonlinear p-y method, which is recommended by current codes for its simplicity, is commonly used [1,2,3,4,5]. However, this method is primarily based on investigations on small-diameter piles. It is questionable to use it to reasonably predict the behavior of monopiles under various patterns of cyclic loading. Additionally, this method is a quasi-static method that simplifies the complicated load–displacement behavior of a pile under cyclic loading, overlooking important characteristics such as the pile’s hysteresis behavior, cyclic load paths, and plastic strain accumulation in subsea soil. These important characteristics also significantly affect the serviceability of monopiles under cyclic loading, in addition to the permanent displacement of piles. Similar limitations are found in modified models of the p-y method [6,7] and other simplified analysis methods [8] that attempt to consider the cyclic stiffness degradation.
For investigating the detailed evolution of the load–displacement characteristics of monopiles under cyclic loading, dynamic constitutive models are utilized in the numerical calculation of monopile–soil interaction. The majority of these dynamic models are elastic–plastic models [3,9,10,11,12,13,14,15]. These models incorporate the plastic flow law in the soil model to consider the hysteresis behavior of the pile, plastic strain development, and the effects of cyclic loading history. However, these models are total stress models, which cannot consider the plastic strain development in the direction of mean principal stress, thereby failing to account for changes in the effective stress and pore pressure. Previous investigations [16,17,18,19] have shown that the development of excess pore pressure decreases the effective stress in clay, resulting in the degradation of its strength and stiffness. Damgaard et al. [20] observed that the pore pressure and permeability of the subsoil have a strong influence on the stiffness of the wind turbine which can demonstrate the deviations between measured and calculated results. Therefore, accurately predicting pore pressure in the foundation with advanced constitutive models is important for predicting the response of OWTs under cyclic loading. While some researchers have investigated the development of pore pressure in the subsea clay around monopiles using independent pore pressure models [21,22], these models are established based on Biot theory and cannot consider the hydro-mechanical coupling behavior of soil. In addition, some researchers focus on the dynamic behavior of monopiles subjected to seismic load in liquefiable soil [23,24], however, the mechanical response will be significantly different from that of a monopile in a clay foundation. Therefore, the application of a model simulating the effective stress-based behavior of clay is necessary to accurately predict the behavior of the monopile–soil system subjected to lateral cyclic loading.
Some researchers have employed effective stress-based advanced models to investigate the coupled response of load–displacement of monopiles and excess pore pressure in subsea soil in a specific loading condition. Charlton and Rouainia [25] used a kinematic hardening constitutive model to investigate the cyclic performance of a monopile in spatially variable clay. They observed an increase in the cyclic secant stiffness, which was attributed to the development of negative excess pore pressures in the clay, as well as the accumulation of excess pore water pressure over time due to the buildup of plastic strain. Duque et al. [26] used a hypoplastic model for clay to study the post-cyclic reconsolidation behavior of subsoil. Through applying the multi-stage of post-cyclic reconsolidation, the development of pore pressure is simulated. Ding et al. [27] employed the bounding surface model to examine the behavior of the soil–monopile–offshore wind turbine (OWT) system, taking into account the cyclic hydro-mechanical response of clay. The study revealed a significant accumulation of excess pore pressure in the upper half of the soil domain and near the bottom of the monopile. Zhang et al. [28] used the elastic–plastic model to analyze the bearing capacity of a monopile and excess pore pressure of seabed soil under seismic load. The studies above considered the hydro-mechanical coupling behavior of clay. Esfeh and Kaynia [29] used the Sanisand model to investigate the evolution of pore water pressure in sand around OWTs during earthquake shaking.
The existing research based on effective stress analysis has primarily focused on specific cyclic loading conditions or sand foundations. However, there is a lack of studies that address the coupled responses of load–displacement of piles and the evolution of pore pressure in clay under complex cyclic loading cases. Therefore, it is necessary to employ an effective stress-based model to investigate the behavior of clay. Additionally, the lateral cyclic load can be either a typical one-way or two-way cyclic loading or an asymmetric two-way cyclic loading. Hence, the cyclic load is divided into cyclic mean values and cyclic amplitudes to study the influence of cyclic load patterns in this study. Consequently, the primary objectives of this paper are: (a) to develop and validate a 3D finite element method based on effective stress for analyzing the response of monopile–clay systems, utilizing an effective stress-based bounding surface model; and (b) to examine the response of monopile–clay systems, including pile load–displacement and excess pore pressure in subsea clay, under different combinations of average cyclic load and cyclic load amplitude.

2. Effective Stress-Based Bounding Surface Model Framework

To accurately predict the changes in the pore water and effective stress of saturated clay around a large-diameter monopile subjected to cyclic load, the effective stress-based constitutive models applied in numerical analysis are crucial. An effective stress-based model with a vanishing elastic domain derived from the classical bounding surface model is applied. The model can predict the essential behavior of saturated clay under monotonic and cyclic loading, including growth in elastic and plastic strain, evolution of effective stress paths, development of pore pressure, and monotonic shear strength softening. Furthermore, the model was successfully implemented in ABAQUS 2020 software using a UMAT subroutine.
The model, developed using a radial return algorithm, operates as an elastic–plastic incremental framework. During loading, the model first performs an elastic prediction followed by a plastic correction. Due to the absence of a defined elastic domain, purely elastic strain does not occur during the loading process. In contrast, during unloading, the model assumes a purely elastic response, with the elastic behavior governed by the generalized Hooke’s law. The elastic bulk modulus K and shear modulus G are defined to calculate the elastic incremental strain and plastic incremental strain:
K = 1 + e κ p ;   G = 3 K 2 1 2 μ 1 + μ
where μ donates the Poisson’s ratio; κ is the swelling line slope in e-ln p plane; and e is the void ratio.
Due to the absence of an elastic domain of the model, pure elastic strain does not occur during the loading process and plastic correction is needed. The novelty of the effective stress-based model lies in its ability to predict plastic strain increments even when the stress point is located inside the bounding surface. It is achieved by applying the mapping rule in the elastic–plastic model. For simplicity, the conventional radial mapping rule σ ¯ i j = β σ i j , with the origin of the stress plane as the projection center, was employed, where σ i j   and σ ¯ i j are the actual stress tensor and image stress tensor, respectively. It is widely applied by many bounding surface models [30,31]. The positions of the current stress point A located on the loading surface and the image stress point A ¯ located on the bounding surface in σ1-σ2-σ3 stress space are depicted in Figure 1.
The bounding surface is formulated by an ellipsoidal function in the stress space, similar to the yield function of the modified Cam-clay (MCC) model. Based on the Einstein summation convention, this function of the bounding surface for the model is:
F σ ¯ i j , p 0 = s ¯ i j s ¯ i j 2 3 M 2 p ¯ p 0 p ¯ = 0
where s ¯ i j represents the image deviator stress tensor; p ¯ represents the image mean effective pressure; p0 is the hardening parameter. M represents the slope of the critical state line. The loading surface function form is consistent with that of the bounding surface model, except for changing the image stress variable to the current stress variable and changing the p0 to p1 which indicates the size of the loading surface.
The associated flow rule is applied in this paper. A significant feature of the model is its ability to capture the cyclic response of marine clay, including hysteresis characteristics, cyclic pore pressure development, and plastic strain accumulation. The hardening rule incorporating this parameter is presented below:
p 0 = p 0 ( 0 ) η exp v λ κ ε v p
where p0(0) represents the initial value of the p0. The calculation function for η is given by:
η = Λ 0 + ( 1 Λ 0 ) exp ( ω 0 v 0 λ κ ε d p )
where Λ0 and ω0 are shear softening constants that govern the degree and rate of shear strength degradation, respectively.
Following the classical bounding surface theory [32,33], the plastic modulus is defined as follows:
K P = K ¯ P + h p ¯ β 1
where h( p ¯ ) is the scalar function related to p ¯ . The function of h( p ¯ ) is chosen in the form [30] and is as follows:
h p ¯ = H 0 16 9 M 4 ν λ κ p ¯ 3
where H0 is the plastic modulus parameter. The plastic modulus at the image stress point following the form of [34] is given below:
K ¯ P = 8 9 M 2 p ¯ p 0 p ¯ 1 2 p 0   v M 2 λ κ + η Λ 0 η - ω 0 v λ κ 3 2 s ¯ i j s ¯ i j

3. Numerical Methods

3.1. Introduction of Centrifuge Tests

To validate the numerical methods presented in this study, centrifuge model tests on monopiles under lateral monotonic and cyclic loading were conducted by Yang et al. [35] using Malaysian kaolin clay. These experiments were conducted at a 100 g acceleration level. The strongbox dimensions were 1.2 m in length, 0.9 m in width, and 1.0 m in height. The Malaysian kaolin clay specimens in the tests were prepared via the mud consolidation method, undergoing 8 h of consolidation at 100 g. The specific gravity of the clay is 2.6. The liquid limit and plastic limit are 80% and 35%, respectively. The coefficient of permeability is 2 × 10−8 m/s. Its internal friction angle is 23 degrees and its unit weight is 15.5–16.4 KN/m3. The coefficient of consolidation is 40 m2/year. The monopile model is open-ended and made of aluminum alloy. The pile’s diameter is 0.059 m and its length is 0.83 m. An aluminum alloy pipe is used to make the model pile. Its elastic modulus is 68.9 GPa. The depth of the monopile buried in the clay is 0.55 m and the position of the loading point is 0.05m below the pile top.
Monotonic experiments were conducted with a loading velocity of 0.003 m/s, which can be considered as an undrained condition. The cyclic loading test consisted of three cases numbered C1, C2, and C3. The cyclic loading period of 5s was applied. The valley and peak values of cyclic load for C1, C2, and C3 episodes are 25 N–100 N, 45 N–175 N, 45 N–370 N, respectively. The numbers of cycles for C1, C2, and C3 episodes were 100, 100, and 180, respectively.
Note that, although drainage in the soil ground under cyclic loading is allowed, the time interval between each cyclic stage is limited to just 30 s, and a total of 380 cycles in the cyclic loading process last only about 30 min. Considering a permeability coefficient of Malaysian kaolin clay of 2 × 108 m/s, the drainage during the cyclic loading process is extremely limited. Therefore, the effect of drainage in the clay ground is not considered during the cyclic loading process in this paper.

3.2. Model Parameter Calibration

The bounding surface model requires seven parameters, which can be divided into two categories: the first category includes the Cambridge parameters (λ, κ, μ, M) and the second category includes the parameters related to plastic modulus (H0, Λ0, ω0). The above parameters can be determined through the constants provided in the centrifuge tests and the indoor triaxial test results of Malaysian kaolin clay found by Duque et al. [36].
M is the critical state line slope and has the following form:
M = 6 sin φ c s 3 sin φ c s
where φcs is the internal friction angle. As Malaysian kaolin clay’s φcs is 23 degrees, it can be inferred that M of the clay is 0.898. Although Poisson’s ratio can vary with loading conditions, particularly in soils subjected to significant stress changes, it is assumed to be constant at 0.3 for simplicity. This assumption is a common practice in many geotechnical studies involving marine clay.
λ and κ can be determined by 1D oedometric compression tests. λ can be calculated using its relationship with the compression index (Cc): λ = Cc/2.303, and κ can be calculated using its relationship with the swelling index (Cs): κ = Cs/2.303. Cc and Cs are the normal consolidation and swelling line slopes in the e-log p plane, respectively. According to the indoor oedometric compression test conducted by Duque et al. [36] on Malaysian kaolin clay, as shown in Figure 2, Cc = 0.539 and Cs = 0.152. Therefore, λ = 0.234 and κ = 0.066.
The parameters H0, Λ0, and ω0 can be calibrated using triaxial undrained monotonic shear tests conducted on marine clay. Parameters H0, Λ0, and ω0 can be calibrated by trial-and-error simulation for the shear characteristics of normally consolidated clay. Based on the stress–strain triaxial test results of Malaysian kaolin clay found by Duque et al. [36], values of H0 = 5, Λ0 = 1, and ω0 = 0.1 can be obtained, as shown in Figure 3a. The comparisons between the test and prediction of effective stress paths and pore pressure development during shearing for normally consolidated clay are illustrated in Figure 3b,c. The comparisons demonstrate that the model can generally predict the stress paths and pore pressure evolution of normally consolidated Malaysian kaolin clay. It forms the basis for predicting the evolution of pore pressure in subsea clay around the monopile in this paper.
In addition to the constitutive model parameters, several clay parameters must be specified when establishing the monopile–clay numerical model.
The lateral pressure coefficient during the initial consolidation of clay is determined by the following equation:
K 0 = 1 sin φ c s
As φcs = 23, K0 = 0.61 is taken.
As the monopile–clay model must account for the effective stress changes in the soil ground, it is necessary to account for the variations in the void ratio of clay. The confining effective stress in the ground increases gradually along the mud surface, resulting in the decrease in clay’s void ratio. Given the bounding surface expression, the e0 of clay can be calculated with the following equation:
e 0 = e 1 λ ln ( q c 2 M 2 + p c ) + κ ln ( q c 2 p c 2 M 2 + 1 )
where qc and pc are the deviator stress and mean effective stress in situ, respectively; e1 is the initial void ratio of the clay when the effective stress p’ equals 1 kPa. According to the fitting result of the e0-p curve in Figure 2, e1 is equal to 2.58. The initial stresses pc and qc of the clay at different burial depths can be calibrated based on the stress state after the clay’s gravity is applied.
The initial size of the yield envelope is prescribed as a function of the initial stresses in the clay ground. It can be calculated using the bounding surface expression and takes the following form:
p 0 ( 0 ) = q c 2 p c M 2 + p c
In the centrifuge test, the unit weight is considered to be 15.5–16.4 KN/m3. Numerical simulation takes a saturation density of 1.6 × 103 kg/m3 for calculation. As the initial void ratio e0 decreases with the depth of the ground, the initial dry density of the clay will also gradually change along the depth direction from the mud surface. The dry density of clay at different burial depths can be calculated by Equation (12):
ρ d = ρ s a t ρ w e 0 1 + e 0
where ρd is the dry density of clay; ρsat is the saturation density; ρw is the density of water.

3.3. Effective Stress-Based Numerical Method Implementation in UMAT

The bounding surface model is implemented in ABAQUS using the subroutine interface UMAT for structure–soil interaction numerical calculation. Implicit analysis in ABAQUS/Standard has the feature of pore pressure analysis by using the C3D8P element, which can divide the total stress into pore pressure and effective stress. Therefore, only the effective stress increment needed to be updated by inputting it into the UMAT subroutine. The calculation chart of the user-defined UMAT subroutine is illustrated in Figure 4, where STATEVs are the solution-dependent state variables that can store the intermediate variables such as void ratio, bounding surface size p0, and internal parameter η. The control error tolerance (TOL) is set as 10−5. When the determinant of the residual matrix Rn of the nth iteration is less than TOL, the current variables will be output from UMAT to ABAQUS.

3.4. Finite Element Mesh of Centrifuge Tests

Three-dimensional (3D) finite element meshes were employed to model the centrifuge tests using the commercial software Abaqus. Due to symmetry along the vertical centerline of the monopile, only half of the problem was modeled. The model geometry can be determined based on the centrifuge modeling similarity rate. A schematic representation of the monopile–soil finite element model is presented in Figure 5. Following the size of the centrifuge test strongbox and the simulation approach of Cheng et al. [11], the mesh boundaries extend 10D (D is the pile diameter) horizontally from the pile’s centerline and 14D vertically from the mudline in order to ensure that the response of the large-diameter monopile is not influenced by the boundaries. All mesh boundaries and the pile were prescribed as undrained boundaries. The pile was modeled using 3D 8-node linear brick elements (C3D8), while the soils were modeled using 3D 8-node trilinear displacement and trilinear pore pressure brick elements (C3D8P). Normal horizontal displacement was constrained on the vertical mesh boundaries. Horizontal and vertical displacements were constrained across the base of the mesh. The pile–clay interface was modeled as a surface-to-surface contact, allowing for separation and sliding between the pile and clay, a method commonly used in offshore applications. The normal direction behavior between the two surfaces was governed by a “hardening contact” algorithm, which prevents any penetration. The tangential behavior was governed by Coulomb’s friction law, with a friction coefficient of 0.4. The initial total pore pressure in subsea soil must be specified before analysis. In clay foundations, the effective stress is influenced by the excess pore pressure rather than the hydrostatic pressure. Thus, a zero initial static pore pressure is set at the mud surface, which increases with depth. The initial static pore pressure at any depth is calculated as the product of the bulk density of water (10 kN/m3) and the depth at that location.

4. Validation

4.1. Monotonic Load Behavior

According to the centrifuge test investigation of Hong et al. [37], the soil failure mechanisms around a pile consist of a wedge-flow mechanism near the mud surface and a full-flow mechanism and a rotation-flow mechanism in the bottom region of the pile. Figure 6 illustrates the simulation results of lateral displacement of the pile–clay system. It can be easily observed that the three distinct soil flow mechanisms are present in the lateral displacement contour. This demonstrates that the pile–clay numerical model can reasonably predict the deformation mode of the soil. Figure 7 displays the simulation contour of total displacement of the monopile. To enhance clarity, a scale factor of 5 is applied. The deformation mode of the monopile is observed to be rotational, with the rotation center slightly ahead of the pile rather than on the pile itself. At the same depth as the rotation center, zero lateral deflection is observed, indicating zero lateral soil resistance at that point.
Figure 8a compares simulation results with test results of load–displacement curves under monotonic lateral load. The pile-head lateral displacement has been normalized by the pile diameter. It is evident that the relationship between lateral load and normalized displacement is nearly linear in the early stage of lateral loading. As loading continues, the soil stiffness degrades, leading to a decrease in the slope of the curves. Overall, the development of the load–displacement relationship between tests and predictions is consistent.
The bending moments along the pile shaft of the test and prediction are plotted in Figure 8b. The results under lateral loading of 1 MN, 3 MN, and 8 MN are compared. It can be seen that the bending moment increases with the growth in lateral load. The maximum bending moment occurs at a depth of 15~20 m below the mud surface, which is above the rotation center. The predicted development of the bending moment along the pile shaft is consistent with test results, except for that under 3 MN lateral loading which is underestimated. This difference may be attributed to inconsistencies in the nonlinear stress–strain relationship of the subsea soil between the test and simulation.
Figure 8c displays the lateral pile deflection along the pile shaft under lateral loads of 1 MN, 2 MN, 4 MN, 6 MN, and 9 MN. It can be seen that the lateral deflection increases with the increase in lateral load. The rotation center remains unchanged under different lateral loads. It can be inferred that the passive soil pressure occurs on the right side of the pile above the rotation center and on the left side below the rotation center. The prediction results agree with the measured results in the overall trend.

4.2. Cyclic Load Behavior

A centrifuge model test applying three episodes of lateral cyclic loading (C1, C2, and C3) was conducted by Yang et al. [35], whose load–displacement curves are shown in Figure 9a. These curves exhibit significant nonlinearity and hysteresis under cyclic loading. As cyclic amplitude grows from C1 to C3, the nonlinear trend gradually increases. Due to the accumulated plastic strain in subsea soil under cyclic loading, the pile undergoes irreversible permanent displacement along the loading direction and the permanent displacement rises as the cyclic load level increases. To predict the behavior of the pile under lateral cyclic loading, simulation load–displacement results with the same loading conditions as those in Figure 9a are plotted in Figure 9b. It can be found that the predicted results are generally consistent with the test results. The increase in permanent displacement from C1 to C3 is reasonably reflected in the simulation. However, the predicted accumulated displacement in C1 and C2 is slightly smaller than that in the centrifuge tests. This difference may be attributed to the elastic unloading criterion used by the bounding surface model, which may have underestimated the accumulated permanent strain in subsea soil. Additionally, the predicted permanent displacement is slightly larger than that in the test, which may be due to the overestimation of the degradation of the plastic modulus of the bounding surface model compared to the experiments.
Figure 9c illustrates the comparison between the test results and prediction results of the bending moment along the pile shaft under different numbers of cycles in C1 (N = 1, 20, 50, and 90). It can be seen that the development trends of the bending moment along the pile as N increases of tests and predictions are consistent in general. The simulated results can capture the location of the maximum bending moment and the increase in it with the growth in N. However, there still are some deviations between tests and predicted results. This difference may contribute to the underestimation of accumulated displacement during C1 cyclic loading, as mentioned above.
Because the bounding surface model applied in this paper is based on an effective stress algorithm, it can also simulate the development of pore pressure in the subsea soil. To demonstrate the evolution of pore pressure at different locations within the subsea soil, a schematic diagram depicting the node numbers for measuring excess pore pressure (u) is presented in Figure 10. In clay foundations, the effective stress is influenced by the excess pore pressure rather than the hydrostatic pressure. Therefore, development curves of u for the 10 points (A to F3) during cyclic loading of C1, C2, and C3 are provided in Figure 11 to illustrate the pattern of excess pore pressure development in the clay foundation.
Figure 11a shows the excess pore pressure development at points B, E1, and A of clay nodes located on the bottom of the pile. Due to the initial rotation of the pile causing tension at point B, the clay initially experiences a significant negative excess pore pressure, while point A initially experiences a significant positive u under compression. The direction of offset vibration of excess pore pressure from the average excess pore pressure of the previous episode for points A and B is opposite, resulting in a noticeable difference in the final accumulated average excess pore pressure (value at the centerline of cyclic vibration, abbreviated as AESOP for simplicity). Since point E1 is not subjected to a normal cyclic load but to a frictional load, its initial excess pore pressure is near zero and its cyclic pore pressure vibration amplitude is relatively small compared to that of points A and B. However, the small u of E1 does not affect its final AESOP, which is slightly larger than that of point A. Additionally, the growth rate of excess pore pressure is relatively high in the initial stages of cyclic loading and decreases with the increase in the accumulated number of cycles, Ncyc (the total number of cycles applied). The development of excess pore pressure tends to be stable for point B that is on the tension side of the pile, but for points A and C, it still shows a growth trend.
Figure 11b displays the excess pore pressure development of points A, C1, and C2 located on the horizontal plane of the pile bottom. It can be found that the initial negative excess pore pressure decreases as the distance from the pile increases. The shorter the distance from the pile, the greater the amplitude of cyclic vibration of excess pore pressure, resulting in a greater final AESOP.
Figure 11c illustrates the pore pressure development at points E1, E2, and E3 located below the pile bottom on the centerline of the pile. The developments of excess pore pressure of E1, E2, and E3 are significantly different. The excess pore pressure at E1, attached to the bottom of the pile, increases with the number of cycles. However, at points E2 and E3 located 0.5D and 2D away from the bottom of the pile, respectively, the negative excess pore pressure first increases and then gradually decreases until it becomes positive (as seen in E2). The cyclic amplitudes of excess pore pressure at points E1, E2, and E3 are similar and relatively small, as they are not subjected to normal cyclic load.
Figure 11d demonstrates the pore pressure development of points F1, F2, E3, and D1 at a distance of 1D from pile. The maximum excess pore pressure is at point D1 and the minimum is at point F1. However, the accumulation of excess pore pressure of F3 is smaller than that of F2, which has a smaller depth. This is mainly because point F3 is near the rotation center, resulting in little development of pore pressure in loading C1 and C2. With the application of C3, the plastic strain in subsea soil gradually accumulates, resulting in a rapid development of pore pressure at F3.

5. Predicted Response of Pile–Clay System Subjected to Various Lateral Cyclic Loadings

The lateral cyclic load on the pile can be divided into two parts: the mean value of cyclic load (Fa) and the cyclic amplitude of the load (Fcyc), as illustrated in Figure 12. This section simulates the response of the pile–clay system to various combinations of Fa and Fcyc. The 3D finite element model used previously is still utilized to assess the impact of different cyclic loading patterns on the responses of large-diameter monopiles and the development of pore pressure in the subsea clay.
A sinusoidal cyclic load with constant amplitude and frequency, representing wave loading, is applied in this study. This approach, consistent with previous research, facilitates a clear interpretation of the effective stress-based numerical method and the cyclic response of the monopile–clay system under regular wave action. The maximum number of cyclic loads considered in this section is limited to 100, based on two primary considerations. First, the study focuses on the cyclic response of the monopile–clay system under short-term extreme loading conditions, aiming to capture its early-to-intermediate behavior. Second, simulating a larger number of cycles would significantly impact computational efficiency; therefore, 100 cycles were selected as a practical and effective limit.
When the rotation of monopiles at the mudline reaches 0.25 degrees, it is considered that the OWTs have reached their serviceability limit state (SLS) [11]. At this point, the lateral monotonic load on the pile is denoted as Fsls. In order to investigate the response of large-diameter monopiles and the development of pore pressure in the subsea soil under different kinds of cyclic loading, the cyclic lateral loads are normalized by Fsls to clarify the difference in the response of the pile under monotonic and cyclic loads. Here, in the prototype of the monotonic loading centrifuge test, Fsls is 3.06 MN when the rotation angle reaches 0.25 degrees.
Figure 13 illustrates various patterns of lateral cyclic loading. Figure 13a presents specific loading conditions under different Fa values but with the same Fcyc. In this study, Fa/Fsls = 0, Fa/Fsls = 0.3, and Fa/Fsls = 0.6 are applied. Figure 13b demonstrates specific loading conditions under different Fcyc values but with the same Fa. The values of Fcyc /Fsls employed are 0.3, 0.6, and 0.9. The number of cyclic loading cycles for each loading condition is consistently set to 100.

5.1. Different Cyclic Amplitudes with Fa = 0

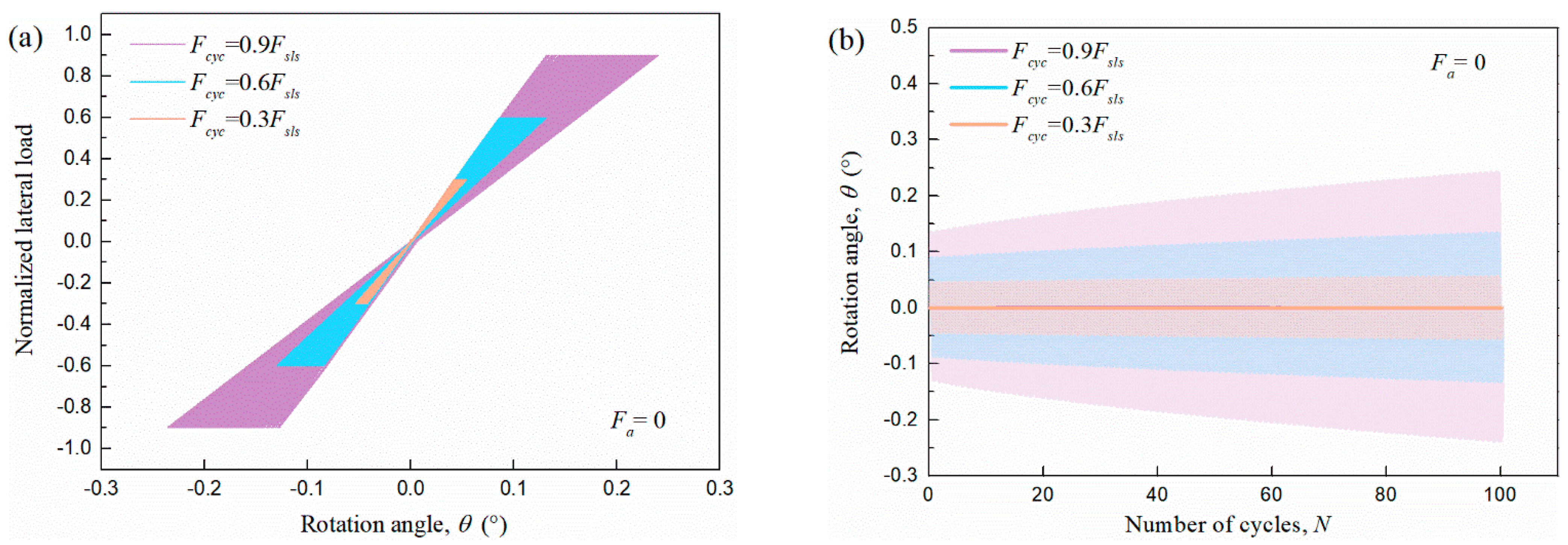
From Figure 14, Figure 15 and Figure 16, the response of the pile–clay system under Fa/Fsls = 0 and Fcyc/Fsls = 0.3, 0.6, and 0.9 is presented. Under these conditions, the monopile is subjected to typical two-way cyclic loading. Figure 14a illustrates that the pile undergoes lateral cyclic loading with equal positive and negative amplitudes, and the mud surface point shows the same rotation amplitude in both clockwise and counterclockwise directions. The rotation amplitude increases with the increase in Fcyc. The rotation–cycle curves are shown in Figure 14b, where the centerlines of the cyclic rotation curves, representing the average trend of a large amount of cyclic rotation data points, are plotted. It is evident that the centerlines of rotation curves under different Fcyc overlap and consistently register zero due to the two-way cyclic load with Fa = 0. However, the cyclic rotation amplitude is larger with the increase in the number of cycles and its growth rate increases with higher Fcyc, reflecting the degradation of stiffness of subsea soil under cyclic loading. Additionally, within the 100 cycles of loading, the maximum rotation angle remains below 0.25 degrees, meeting the serviceability limit state requirements.
Figure 15 shows the development of excess pore pressure at points A and B with different numbers of cycles under Fa = 0 and different Fcyc. It is evident that the centerline of cyclic excess pore pressure and its peak value for A and B are generally consistent under two-way cyclic loading, as shown in Figure 15a–c. However, the minimum cyclic pore pressure of A is slightly lower than that of B, possibly because the initial loading results in a significant negative initial pore pressure at A and it will continue to exist throughout the subsequent process. The comparison of excess pore pressure at B under different Fcyc is presented in Figure 15d. It demonstrates that the amplitude, peak value, and minimum value of cyclic excess pore pressure are larger with a higher Fcyc. The development trend of the centerline of cyclic pore pressure indicates the growth rate in excess pore pressure is higher in the initial loading stage and decreases to a lower rate as the loading progresses.
The accumulated excess pore pressure (AESOP) after cyclic loading with Fa = 0 and different Fcyc is shown in Figure 16. It is evident that the accumulated excess pore pressure increases with higher Fcyc values. The distribution of AESOP is symmetric due to the two-way cyclic loading. The maximum of AESOP is located at the level of the pile bottom plane, which is consistent with the experimental result found by Español-Espinel et al. [38] on a sand foundation and the simulation results found by Ding et al. [27]. The soil area around the pile end below the rotation center is where the pore pressure grows rapidly, while its development near the rotation center is restricted. The pore pressure in the area between the mudline and rotation center on the sides of the pile also develops rapidly.

5.2. Different Cyclic Amplitudes with Fa = 0.3Fsls

Figure 17a illustrates the load–rotation behavior at the mudline for Fa = 0.3Fsls and varying Fcyc value. Due to the asymmetric nature of these cyclic loading conditions, the rotation angle accumulates during continuous cyclic loading, in contrast to the behavior observed in Figure 14a. The accumulation of rotation angle increases with a higher number of cycles, and noticeable cyclic stiffness degradation occurs. The rotation–cycle curves under Fa = 0.3Fsls and various Fcyc values are depicted in Figure 17b. The average cyclic rotation angle increases with the number of cycles, and the final accumulated average rotation angle increases with the number of cycles as well, due to the plastic strain development in subsea soil. This contrasts from the two-way cyclic behaviors depicted in Figure 14b. The cyclic rotation amplitude increases with higher Fcyc. It is observed that the peak cyclic rotation angle of curves under Fcyc = 0.9Fsls exceeds 0.25 degrees after 12 cycles and its average cyclic rotation angle after 56 cycles exceeds this threshold. Although the peak lateral load Fa + Fcyc = 1.2Fsls > Fsls, exceeding the serviceability limit state still requires a certain number of cycles. This highlights the distinct response under dynamic load compared to that under static loading. Additionally, within the total 100 cycles of loading, the average rotation angle remains below the serviceability limit state for curves of Fcyc = 0.3Fsls and Fcyc = 0.6Fsls. The peak cyclic rotation angle of curves under Fcyc = 0.6Fsls exceeds 0.25 degrees after 38 cycles, where the peak lateral load Fa + Fcyc = 0.9Fsls < Fsls.
Figure 18 shows the development of excess pore pressure at points A and B under Fa = 0.3Fsls and different Fcyc. Due to applying the average lateral load of Fa = 0.3Fsls, the initial negative excess pore pressure for point A and positive excess pore pressure for point B are evident, as shown in Figure 18a–c. However, the developments of excess pore pressure during continuous cyclic loading are generally consistent for A and B under the same amplitude of cyclic loading. The trend of the curves in Figure 18 is similar to that in Figure 15d, but the accumulated pore pressure of clay under Fa = 0.3Fsls is higher than that under Fa = 0 and the same Fcyc.
Figure 19 shows the distribution of AESOP after cyclic loading under Fa = 0.3Fsls and various Fcyc values. The distribution of accumulated excess pore pressure in Figure 19 resembles that in Figure 16. However, the pore pressure in subsea soil is asymmetric. It is evident that the AESOP on the right side of the pile is greater than that on the left side above the rotation angle. Conversely, the opposite is observed below the rotation point. This phenomenon arises from the presence of an average lateral cyclic load, resulting in greater compression on the right side of the pile above the rotation angle and on the left side of the pile below the rotation angle.

5.3. Different Cyclic Amplitudes with Fa = 0.6Fsls

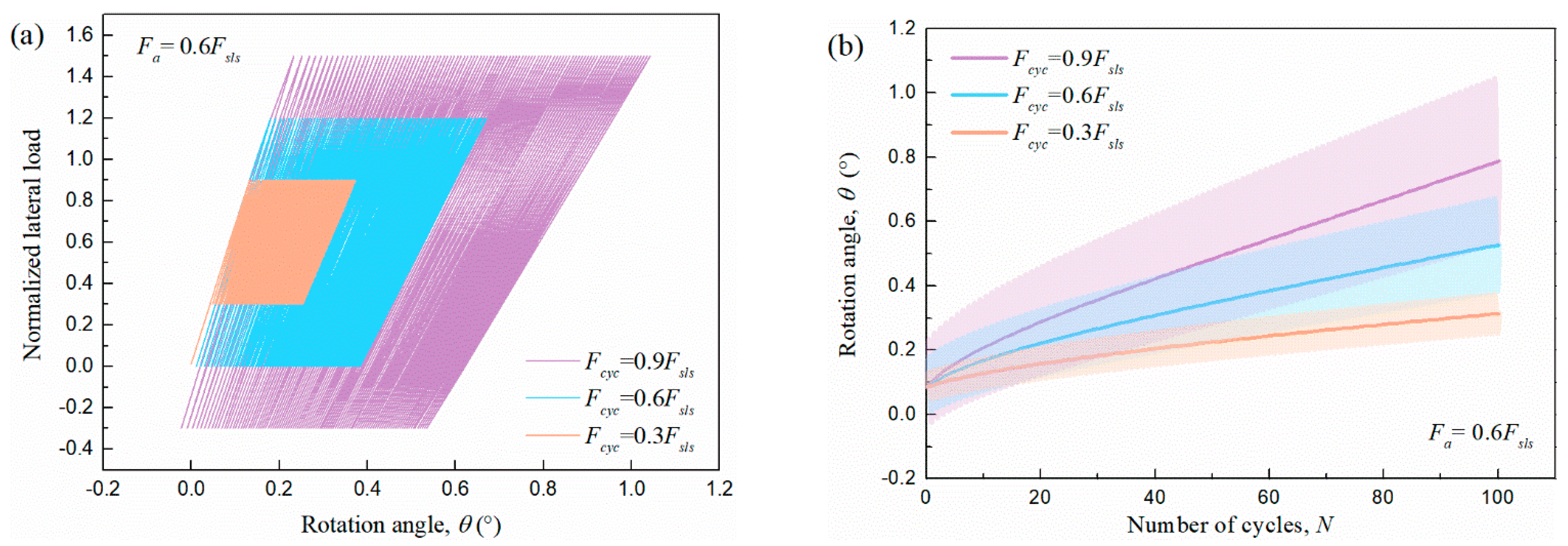
Figure 20 illustrates the load–rotation and rotation–cycle curves at the mudline under Fa = 0.6Fsls and different Fcyc. The development trend of the rotation angle is similar to that under Fa = 0.3Fsls shown in Figure 17, but with a larger accumulated rotation angle and a higher increase rate of rotation angle as the cycles progress. Moreover, within the total 100 cycles of loading, both the average and peak rotation angle of all curves with Fcyc = 0.6Fsls exceed the serviceability limit state.
Figure 21 shows the development of excess pore pressure at points A and B under Fa = 0.6Fsls and different Fcyc. The trend of excess pore pressure development at points A and B is similar to that in Figure 18, except for a higher initial negative or positive pore pressure and a higher accumulated excess pore pressure at the same number of cycles.
Figure 22 illustrates the distribution AESOP after cyclic loading under Fa = 0.6Fsls and various Fcyc values. The distribution of AESOP in Figure 22 resembles that in Figure 19 but is more asymmetrical due to the larger average lateral cyclic load. Additionally, the value of AESOP after 100 cycles is larger than that in Figure 19 due to the larger peak cyclic load.

5.4. Different Average Cyclic Loads

For comparisons of the response of the pile–clay system under the same cyclic amplitude but different average lateral loads, the load–rotation, rotation–cycle, and pore pressure development curves are plotted in Figure 23, Figure 24 and Figure 25.
Figure 23 illustrates the load–rotation curves at the mudline with the same Fcyc but various Fa in each graph. It can be seen that with the increase in average lateral load, the accumulated rotation angles increase as the cycles progress, even if with the same cyclic amplitude. With the increase in cyclic amplitude, the relationships between curves with Fa = 0, 0.3Fsls, and 0.6Fsls resemble each other, but with a higher accumulation rotation angle.
Figure 24 illustrates the rotation–cycle curves at the mudline with the same Fcyc but different Fa in each graph. The amplitudes of cyclic rotation angle for Fa = 0, 0.3Fsls, and 0.6Fsls are consistent with each other, regardless of the amplitude of cyclic load. The initial rotation value increases with the mean value of cyclic load. Moreover, the accumulated value and the rate of increase in rotation angle increase with a higher mean value of cyclic load.
Figure 25 shows the development of pore pressure at point B for different values of Fa, while keeping Fcyc constant. It can be found that the cyclic amplitude and development trend of pore pressure for constant Fcyc but varying Fa are consistent with each other. However, different initial pore pressure values for varying Fa cause the curves to diverge. This demonstrates that the mean value of cyclic load primarily affects the initial pore pressure in subsea soil but has less impact on the cyclic amplitude and development trend of pore pressure.
Additionally, for a small cyclic amplitude of Fcyc = 0.3Fsls, the large initial increase rate of pore pressure gradually decreases to reach a plateau state as the cycles progress. However, with a larger Fcyc, the growth rate of pore pressure increases continuously with the cycles and stays relatively high during the final stage of loading.

5.5. Discussion

Based on the calculation results, the effects of cyclic loading on the behavior of the monopile–clay system are summarized. The combined effects of Fa and Fcyc on the rotation angle, θ, accumulated excess pore pressure, u, amplitude of θ, and amplitude of u after 100 cycles of cyclic loading are illustrated in Figure 26. It is evident that cyclic loading significantly influences the accumulation of permanent plastic strain and pore pressure in the subsoil, leading to the development of the absolute values of θ, u, and their respective amplitudes. However, there is a special case with Fa = 0 that has no increment in accumulation of θ, which is also consistent with previous studies. Under two-way symmetric cyclic loading, the accumulation of displacement in the clay foundation is negligible or zero. Different mean values of cyclic load Fa have a significant impact on the accumulation of θ, u but only a minimal effect on their amplitudes.
The prediction results can be compared with the study by Xinglei Cheng et al. [11], which used a simplified constitutive model implemented in ABAQUS to predict the response of a monopile–clay system under various cyclic loading conditions. The results show that the predicted trends for lateral displacement and bending moment under two-way and one-way cyclic loading are consistent with those predicted by the model in this paper. However, the study in [11], which employs a total stress-based numerical method, does not predict the development of pore pressure in the soil foundation. This highlights the effectiveness of the effective stress-based numerical method proposed in this paper.
It should be noted that while the proposed model effectively captures the overall behavior of marine clay under cyclic loading, it has certain limitations, particularly in accounting for the unloading plastic behavior, which is a critical aspect of the marine clay response under cyclic loading. The elastic unloading assumption for the model is inconsistent with the previous research and the movable mapping center should be incorporated in the effective stress model for more accurate prediction results of the cyclic response of a monopile–clay system.
Additionally, this study lacks direct comparisons with field observations, which are essential for validating the model under real-world conditions. The primary limitation is the absence of field data that matches the specific cyclic loading conditions, soil properties, and boundary conditions considered in this study. While laboratory data were used for validation, field validation is crucial for assessing the model’s accuracy in practical applications. Future work should focus on validating the effective stress-based method with field data from monopile–clay systems to enhance its applicability and reliability for real-world scenarios.

6. Conclusions

This paper presents a numerical analysis based on effective stress to study the response of large-diameter monopiles under various lateral cyclic loading conditions. The following conclusions can be drawn from this study.
(1)
The effective stress-based finite element method is proposed for predicting the response of monopile–clay foundation systems under lateral cyclic loading. This method is founded on a modified bounding surface model capable of predicting changes in the effective stress of clay elements under monotonic or cyclic loading conditions. The model has been successfully incorporated into the ABAQUS software using the UMAT subroutine. The calibration of model parameters is discussed, and the finite element method is validated by comparing results of pile–clay centrifuge tests with corresponding simulations. This method not only accurately predicts the nonlinear load–displacement relationship and bending moment of piles under lateral cyclic loading but also forecasts the growth of cyclic excess pore water pressure in the soil.
(2)
Simulation results for load–rotation and rotation–cycles under various combinations of Fa and Fcyc indicate that the cyclic rotation amplitude increases with the number of cycles and its growth rate increases with a higher amplitude of cyclic load. This trend reflects the degradation of stiffness of subsea soil under cyclic loading. This degradation can be found under two-way or one-way cyclic loadings, irrespective of the level of Fa and Fcyc.
(3)
Exceeding the serviceability limit state is the result of the combined effect of mean cyclic load and the amplitude of cyclic load. The presence of cyclic load amplitude causes the permanent rotation angle to exceed the threshold after a certain number of cycles where Fa + Fcyc < Fsls. Moreover, an increase in the mean cyclic load also accelerates the accumulation of permanent rotation angle as the cycles progress. Conversely, the condition where Fa + Fcyc > Fsls will not reach the serviceability limit state until the number of cycles to failure is reached.
(4)
The maximum excess pore pressure is located at the level of the monopile bottom plane, which agrees with the previous experimental result. The soil area around the pile end below the rotation center experiences rapid pore pressure growth, while development near the rotation center is limited. Pore pressure between the mudline and rotation center on the sides of the pile develops faster than in other areas, except for the area around the pile bottom.
(5)
The application of average cyclic load induces initial positive and negative pore pressure on the loaded and unloaded sides, respectively, of the bottom of the monopile. However, the accumulation of positive excess pore pressure occurs as the cycles progress.
(6)
The simulation results of cyclic excess pore pressure under various combinations of Fa and Fcyc indicate that the mean value of cyclic load primarily affects the initial pore pressure in subsea soil but has less impact on the cyclic amplitude and development trend of pore pressure. The cyclic amplitude and development trend of pore pressure are mainly affected by the amplitude of the cyclic load. The amplitude, peak value, and average value of cyclic excess pore pressure are larger with a higher amplitude of the cyclic load.

Author Contributions

Conceptualization, Y.H.; Methodology, J.L.; Software, K.L.; Validation, J.L. and W.X.; Formal analysis, J.L. and K.L.; Investigation, L.W. and Z.L.; Resources, W.X.; Writing—original draft, J.L.; Visualization, K.L. and L.W.; Supervision, Y.H. All authors have read and agreed to the published version of the manuscript.

Funding

This work was supported by the Hainan Provincial Joint Project of Sanya Yazhou Bay Science and Technology City (Grant No. 2021JJLH0088); the Open Fund of State Key Laboratory of Hydraulic Engineering Intelligent Construction and Operation, Tianjin University (Grant No. HESS-2105); the Hainan Provincial Natural Science Foundation of China (Grant No. 522QN341).

Data Availability Statement

The original contributions presented in the study are included in the article, further inquiries can be directed to the corresponding author.

Conflicts of Interest

The authors declare no conflict of interest.

References

  1. Choo, Y.; Kim, D. Experimental development of the p-y relationship for large-diameter offshore monopiles in sands: Centrifuge tests. J. Geotech. Geoenvironmental Eng. 2016, 142, 04015058. [Google Scholar] [CrossRef]
  2. Amar Bouzid, D. Numerical Investigation of Large-Diameter Monopiles in Sands: Critical Review and Evaluation of Both API and Newly Proposed p-y Curves. Int. J. Geomech. 2018, 18, 04018141. [Google Scholar] [CrossRef]
  3. Kim, J.; Kim, G.; Lee, J. Dynamic p-y analysis method based on cone penetration test results for monopiles in sand. Soil Dyn. Earthq. Eng. 2022, 163, 107503. [Google Scholar] [CrossRef]
  4. Cheng, X.; El Naggar, M.H.; Lu, D.; Wang, P.; Tu, W. A cyclic p–y elastoplastic model applied to lateral loaded pile in soft clays. Can. Geotech. J. 2023, 60, 885–901. [Google Scholar] [CrossRef]
  5. Xia, Q.; Hu, C.; Zeng, E.X.; Tang, H.Y.; Dong, J.J.; Xu, F.; Yi, J.T. An enhanced understanding of the lateral response of large-diameter monopile: Development of a new P-y curve. Mar. Georesources Geotechnol. 2024, 1–16. [Google Scholar] [CrossRef]
  6. Tsai, C.-C.; Li, Y.-P.; Lin, S.-H. p-y based approach to predicting the response of monopile embedded in soft clay under long-term cyclic loading. Ocean Eng. 2023, 275, 114144. [Google Scholar] [CrossRef]
  7. Achmus, M.; Kuo, Y.-S.; Abdel-Rahman, K. Behavior of monopile foundations under cyclic lateral load. Comput. Geotech. 2009, 36, 725–735. [Google Scholar] [CrossRef]
  8. Naggar, M.H.E.; Shayanfar, M.A.; Kimiaei, M.; Aghakouchak, A.A. Simplified BNWF model for nonlinear seismic response analysis of offshore piles with nonlinear input ground motion analysis. Can. Geotech. J. 2005, 42, 365–380. [Google Scholar] [CrossRef]
  9. Cheng, X.; Wang, T.; Zhang, J.; Wang, P.; Tu, W.; Li, W. Dynamic response analysis of monopile offshore wind turbines to seismic and environmental loading considering the stiffness degradation of clay. Comput. Geotech. 2023, 155, 105210. [Google Scholar] [CrossRef]
  10. Kaynia, A.M.; Hebig, J.; Pein, T.; Shin, Y. Numerical model for dynamic installation of large diameter monopiles. Soil Dyn. Earthq. Eng. 2022, 161, 107393. [Google Scholar] [CrossRef]
  11. Cheng, X.; Wang, T.; Zhang, J.; Liu, Z.; Cheng, W. Finite element analysis of cyclic lateral responses for large diameter monopiles in clays under different loading patterns. Comput. Geotech. 2021, 134, 104104. [Google Scholar] [CrossRef]
  12. Yu, J.; Zhu, J.; Shen, K.; Huang, M.; Leung, C.F.; Jorgin Tan, Q.W. Bounding-surface-based p-y model for laterally loaded piles in undrained clay. Ocean Eng. 2020, 216, 107997. [Google Scholar] [CrossRef]
  13. Zhang, Y.; Andersen, K.H. Soil reaction curves for monopiles in clay. Mar. Struct. 2019, 65, 94–113. [Google Scholar] [CrossRef]
  14. Huang, M.; Liu, L.; Shi, Z.; Li, S. Modeling of laterally cyclic loaded monopile foundation by anisotropic undrained clay model. Ocean Eng. 2021, 228, 108915. [Google Scholar] [CrossRef]
  15. Wang, G.; Sitar, N. Static and Dynamic Axial Response of Drilled Piers. II: Numerical Simulation. J. Geotech. Geoenvironmental Eng. 2011, 137, 1143–1153. [Google Scholar] [CrossRef]
  16. Wang, Y.; Lei, J.; Wang, Y.; Li, S. Post-cyclic shear behavior of reconstituted marine silty clay with different degrees of reconsolidation. Soil Dyn. Earthq. Eng. 2019, 116, 530–540. [Google Scholar] [CrossRef]
  17. Wang, Y.; Lei, J.; Gong, X.; Wang, Y.; Yang, P. Post-cyclic undrained shear behavior of marine silty clay under various loading conditions. Ocean Eng. 2018, 158, 152–161. [Google Scholar] [CrossRef]
  18. Yasuhara, K.; Murakami, S.; Hyde, A.F.L. Post-cyclic degradation of saturated plasticity silts. Cycl. Behav. Soils Liq. Phenom. 2004, 275–286. [Google Scholar] [CrossRef]
  19. Andersen, K.H.; Lauritzsen, R. Bearing capacity for foundations with cyclic loads. J. Geotech. Eng. 1988, 114, 540–555. [Google Scholar] [CrossRef]
  20. Damgaard, M.; Bayat, M.; Andersen, L.V.; Ibsen, L.B. Assessment of the dynamic behaviour of saturated soil subjected to cyclic loading from offshore monopile wind turbine foundations. Comput. Geotech. 2014, 61, 116–126. [Google Scholar] [CrossRef]
  21. Liao, C.; Chen, J.; Zhang, Y. Accumulation of pore water pressure in a homogeneous sandy seabed around a rocking mono-pile subjected to wave loads. Ocean Eng. 2019, 173, 810–822. [Google Scholar] [CrossRef]
  22. Lin, Z.; Pokrajac, D.; Guo, Y.; Jeng, D.-s.; Tang, T.; Rey, N.; Zheng, J.; Zhang, J. Investigation of nonlinear wave-induced seabed response around mono-pile foundation. Coast. Eng. 2017, 121, 197–211. [Google Scholar] [CrossRef]
  23. Patra, S.K.; Haldar, S. Seismic response of monopile supported offshore wind turbine in liquefiable soil. Structures 2021, 31, 248–265. [Google Scholar] [CrossRef]
  24. Sahraeian, S.M.S.; Masoumi, M.A.; Najafgholipour, M.A.; Shafiee, A. Seismic response of monopile foundation of offshore wind turbines in liquefiable soils. Structures 2024, 64, 106591. [Google Scholar] [CrossRef]
  25. Charlton, T.S.; Rouainia, M. Cyclic performance of a monopile in spatially variable clay using an advanced constitutive model. Soil Dyn. Earthq. Eng. 2021, 140, 106437. [Google Scholar] [CrossRef]
  26. Duque, J.; Ochmański, M.; Mašín, D.; Hong, Y.; Wang, L. On the behavior of monopiles subjected to multiple episodes of cyclic loading and reconsolidation in cohesive soils. Comput. Geotech. 2021, 134, 104049. [Google Scholar] [CrossRef]
  27. Ding, X.; Chian, S.C.; Lian, J.; Cao, G.; Shen, J.; Luan, L. Wind-wave combined effect on dynamic response of soil-monopile-OWT system considering cyclic hydro-mechanical clay behavior. Comput. Geotech. 2023, 154, 105124. [Google Scholar] [CrossRef]
  28. Zhang, Q.; Zhang, Y.; Lin, H.; Feng, L. Numerical investigation on bearing capacity of OWT foundation with large diameter monopile under Seismic load. Appl. Ocean Res. 2021, 108, 102518. [Google Scholar] [CrossRef]
  29. Esfeh, P.K.; Kaynia, A.M. Earthquake response of monopiles and caissons for Offshore Wind Turbines founded in liquefiable soil. Soil Dyn. Earthq. Eng. 2020, 136, 106213. [Google Scholar] [CrossRef]
  30. Manzari, M.; Nour, M. On implicit integration of bounding surface plasticity models. Comput. Struct. 1997, 63, 385–395. [Google Scholar] [CrossRef]
  31. Wang, Y.; Lei, J.; Wang, Y. A post-cyclic strength degradation model for saturated soft clay. Ocean Eng. 2019, 186, 106072. [Google Scholar] [CrossRef]
  32. Dafalias, Y.F. Bounding surface plasticity. I: Mathematical foundation and hypoplasticity. J. Eng. Mech. 1986, 112, 966–987. [Google Scholar] [CrossRef]
  33. Dafalias, Y.F.; Popov, E.P. A model of nonlinearly hardening materials for complex loading. Acta Mech. 1975, 21, 173–192. [Google Scholar] [CrossRef]
  34. Lei, J.; Liu, C.; Li, F.; Sun, L. A united hardening rule considering monotonic and cyclic strength degradation of clay. Soil Dyn. Earthq. Eng. 2023, 166, 107754. [Google Scholar] [CrossRef]
  35. Yang, Q.-j.; Gao, Y.-f.; Kong, D.-q.; Zhu, B. Centrifuge modelling of lateral loading behaviour of a “semi-rigid” Mono-pile in soft clay. Mar. Georesources Geotechnol. 2019, 37, 1205–1216. [Google Scholar] [CrossRef]
  36. Duque, J.; Roháč, J.; Mašín, D.; Najser, J. Experimental investigation on Malaysian kaolin under monotonic and cyclic loading: Inspection of undrained Miner’s rule and drained cyclic preloading. Acta Geotech. 2022, 17, 4953–4975. [Google Scholar] [CrossRef]
  37. Hong, Y.; He, B.; Wang, L.; Wang, Z.; Ng, C.W.W.; Mašín, D. Cyclic lateral response and failure mechanisms of semi-rigid pile in soft clay: Centrifuge tests and numerical modelling. Can. Geotech. J. 2017, 54, 806–824. [Google Scholar] [CrossRef]
  38. Español-Espinel, C.; Haigh, S.K.; Madabhushi, G.S.P.; Abadie, C.N.; Go, J.E.; Morrison, P.R.J. Evolution of excess pore water pressures around monopiles subjected to moderate seismic loading. Soil Dyn. Earthq. Eng. 2024, 176, 108316. [Google Scholar] [CrossRef]
Figure 1. Bounding and loading surface in stress space in σ1-σ2-σ3 space.
Figure 1. Bounding and loading surface in stress space in σ1-σ2-σ3 space.
Jmse 12 02260 g001
Figure 2. Fitting results of oedometric compression test conducted by Duque et al. [36].
Figure 2. Fitting results of oedometric compression test conducted by Duque et al. [36].
Jmse 12 02260 g002
Figure 3. Comparison between predicted results with bounding surface model and test results of Malaysian kaolin clay found by Duque et al. [36] with different OCR: (a) q versus εa; (b) q versus p; (c) u versus εa.
Figure 3. Comparison between predicted results with bounding surface model and test results of Malaysian kaolin clay found by Duque et al. [36] with different OCR: (a) q versus εa; (b) q versus p; (c) u versus εa.
Jmse 12 02260 g003
Figure 4. Flow chart of user-defined UMAT subroutine.
Figure 4. Flow chart of user-defined UMAT subroutine.
Jmse 12 02260 g004
Figure 5. Illustration of 3D finite element model for large-diameter monopile.
Figure 5. Illustration of 3D finite element model for large-diameter monopile.
Jmse 12 02260 g005
Figure 6. Simulation result of lateral displacement of the pile–clay system.
Figure 6. Simulation result of lateral displacement of the pile–clay system.
Jmse 12 02260 g006
Figure 7. Simulation result of deformation mode of monopile with a scale factor of 5.
Figure 7. Simulation result of deformation mode of monopile with a scale factor of 5.
Jmse 12 02260 g007
Figure 8. Comparison between simulation results and test results under monotonic lateral load: (a) load–displacement curve; (b) bending moment along pile shaft; (c) lateral pile deflection at different loads.
Figure 8. Comparison between simulation results and test results under monotonic lateral load: (a) load–displacement curve; (b) bending moment along pile shaft; (c) lateral pile deflection at different loads.
Jmse 12 02260 g008
Figure 9. Comparison between predicted and test results of pile under multi-level cyclic loading: (a) experimental load–displacement curves of pile head; (b) simulated load–displacement curves of pile head; (c) bending moment profile along pile shaft under different N.
Figure 9. Comparison between predicted and test results of pile under multi-level cyclic loading: (a) experimental load–displacement curves of pile head; (b) simulated load–displacement curves of pile head; (c) bending moment profile along pile shaft under different N.
Jmse 12 02260 g009
Figure 10. Schematic diagram of node numbers for measuring excess pore pressure.
Figure 10. Schematic diagram of node numbers for measuring excess pore pressure.
Jmse 12 02260 g010
Figure 11. The development of excess pore pressure with accumulated number of cycles at different positions. (a) point A, B and E1; (b) point A, C1 and C2; (c) point E1, E2 and E3; (d) point C1, F1, F2 and F3.
Figure 11. The development of excess pore pressure with accumulated number of cycles at different positions. (a) point A, B and E1; (b) point A, C1 and C2; (c) point E1, E2 and E3; (d) point C1, F1, F2 and F3.
Jmse 12 02260 g011
Figure 12. Illustration of lateral cyclic load and rotation angle at the mud surface.
Figure 12. Illustration of lateral cyclic load and rotation angle at the mud surface.
Jmse 12 02260 g012
Figure 13. Different patterns of lateral cyclic load: (a) different Fa and same Fcy; (b) same Fa and different Fcy.
Figure 13. Different patterns of lateral cyclic load: (a) different Fa and same Fcy; (b) same Fa and different Fcy.
Jmse 12 02260 g013
Figure 14. Load–rotation and rotation–cycle curves at the mudline under Fa = 0 and different Fcyc. (a) F/Fsls versus θ; (b) θ versus Ncyc.
Figure 14. Load–rotation and rotation–cycle curves at the mudline under Fa = 0 and different Fcyc. (a) F/Fsls versus θ; (b) θ versus Ncyc.
Jmse 12 02260 g014
Figure 15. The development of excess pore pressure at points A and B under Fa = 0 and different Fcyc. (a) Fcyc = 0.3Fsls; (b) Fcyc = 0.6Fsls; (c) Fcyc = 0.9Fsls; (d) u under different Fcyc at point B.
Figure 15. The development of excess pore pressure at points A and B under Fa = 0 and different Fcyc. (a) Fcyc = 0.3Fsls; (b) Fcyc = 0.6Fsls; (c) Fcyc = 0.9Fsls; (d) u under different Fcyc at point B.
Jmse 12 02260 g015aJmse 12 02260 g015b
Figure 16. Distribution of accumulated excess pore pressure (AESOP) after cyclic loading with Fa = 0 and different Fcyc: (a) Fcyc = 0.3Fsls; (b) Fcyc = 0.6Fsls; (c) Fcyc = 0.9Fsls.
Figure 16. Distribution of accumulated excess pore pressure (AESOP) after cyclic loading with Fa = 0 and different Fcyc: (a) Fcyc = 0.3Fsls; (b) Fcyc = 0.6Fsls; (c) Fcyc = 0.9Fsls.
Jmse 12 02260 g016
Figure 17. Load–rotation and rotation–cycle curves at the mudline under Fa = 0.3Fsls and different Fcyc. (a) F/Fsls versus θ; (b) θ versus Ncyc.
Figure 17. Load–rotation and rotation–cycle curves at the mudline under Fa = 0.3Fsls and different Fcyc. (a) F/Fsls versus θ; (b) θ versus Ncyc.
Jmse 12 02260 g017
Figure 18. The development of excess pore pressure at points A and B under Fa = 0.3Fsls and different Fcyc. (a) Fcyc = 0.3Fsls; (b) Fcyc = 0.6Fsls; (c) Fcyc = 0.9Fsls; (d) u under different Fcyc at point B.
Figure 18. The development of excess pore pressure at points A and B under Fa = 0.3Fsls and different Fcyc. (a) Fcyc = 0.3Fsls; (b) Fcyc = 0.6Fsls; (c) Fcyc = 0.9Fsls; (d) u under different Fcyc at point B.
Jmse 12 02260 g018aJmse 12 02260 g018b
Figure 19. Distribution of accumulated excess pore pressure (AESOP) after cyclic loading with Fa = 0.3Fsls and different Fcyc: (a) Fcyc = 0.3Fsls; (b) Fcyc = 0.6Fsls; (c) Fcyc = 0.9Fsls.
Figure 19. Distribution of accumulated excess pore pressure (AESOP) after cyclic loading with Fa = 0.3Fsls and different Fcyc: (a) Fcyc = 0.3Fsls; (b) Fcyc = 0.6Fsls; (c) Fcyc = 0.9Fsls.
Jmse 12 02260 g019
Figure 20. Load–rotation and rotation–cycle curves at the mudline under Fa = 0.6Fsls and different Fcyc: (a) F/Fsls versus θ; (b) θ versus Ncyc.
Figure 20. Load–rotation and rotation–cycle curves at the mudline under Fa = 0.6Fsls and different Fcyc: (a) F/Fsls versus θ; (b) θ versus Ncyc.
Jmse 12 02260 g020
Figure 21. The development of excess pore pressure at points A and B under Fa = 0.6Fsls and different Fcyc: (a) Fcyc = 0.3Fsls; (b) Fcyc = 0.6Fsls; (c) Fcyc = 0.9Fsls; (d) u under different Fcyc at point B.
Figure 21. The development of excess pore pressure at points A and B under Fa = 0.6Fsls and different Fcyc: (a) Fcyc = 0.3Fsls; (b) Fcyc = 0.6Fsls; (c) Fcyc = 0.9Fsls; (d) u under different Fcyc at point B.
Jmse 12 02260 g021
Figure 22. Distribution of accumulated excess pore pressure (AESOP) after cyclic loading with Fa = 0.6Fsls and different Fcyc: (a) Fcyc = 0.3Fsls; (b) Fcyc = 0.6Fsls; (c) Fcyc = 0.9Fsls.
Figure 22. Distribution of accumulated excess pore pressure (AESOP) after cyclic loading with Fa = 0.6Fsls and different Fcyc: (a) Fcyc = 0.3Fsls; (b) Fcyc = 0.6Fsls; (c) Fcyc = 0.9Fsls.
Jmse 12 02260 g022
Figure 23. Load–rotation curves at the mudline under different Fa and Fcyc: (a) Fcyc = 0.3Fsls; (b) Fcyc = 0.6Fsls; (c) Fcyc = 0.9Fsls.
Figure 23. Load–rotation curves at the mudline under different Fa and Fcyc: (a) Fcyc = 0.3Fsls; (b) Fcyc = 0.6Fsls; (c) Fcyc = 0.9Fsls.
Jmse 12 02260 g023
Figure 24. Rotation–cycle curves at mudline under different Fa and Fcyc: (a) Fcyc = 0.3Fsls; (b) Fcyc = 0.6Fsls; (c) Fcyc = 0.9Fsls.
Figure 24. Rotation–cycle curves at mudline under different Fa and Fcyc: (a) Fcyc = 0.3Fsls; (b) Fcyc = 0.6Fsls; (c) Fcyc = 0.9Fsls.
Jmse 12 02260 g024
Figure 25. The development of u at point B under different Fa and Fcyc: (a) Fcyc = 0.3Fsls; (b) Fcyc = 0.6Fsls; (c) Fcyc = 0.9Fsls.
Figure 25. The development of u at point B under different Fa and Fcyc: (a) Fcyc = 0.3Fsls; (b) Fcyc = 0.6Fsls; (c) Fcyc = 0.9Fsls.
Jmse 12 02260 g025
Figure 26. The response of monopile–clay system after 100 cycles of cyclic loading under various cyclic loading conditions: (a) accumulated rotation angle; (b) accumulated pore pressure; (c) rotation angle amplitude; (d) pore pressure amplitude.
Figure 26. The response of monopile–clay system after 100 cycles of cyclic loading under various cyclic loading conditions: (a) accumulated rotation angle; (b) accumulated pore pressure; (c) rotation angle amplitude; (d) pore pressure amplitude.
Jmse 12 02260 g026
Disclaimer/Publisher’s Note: The statements, opinions and data contained in all publications are solely those of the individual author(s) and contributor(s) and not of MDPI and/or the editor(s). MDPI and/or the editor(s) disclaim responsibility for any injury to people or property resulting from any ideas, methods, instructions or products referred to in the content.

Share and Cite

MDPI and ACS Style

Lei, J.; Leng, K.; Xu, W.; Wang, L.; Hu, Y.; Liu, Z. Effective Stress-Based Numerical Method for Predicting Large-Diameter Monopile Response to Various Lateral Cyclic Loadings. J. Mar. Sci. Eng. 2024, 12, 2260. https://doi.org/10.3390/jmse12122260

AMA Style

Lei J, Leng K, Xu W, Wang L, Hu Y, Liu Z. Effective Stress-Based Numerical Method for Predicting Large-Diameter Monopile Response to Various Lateral Cyclic Loadings. Journal of Marine Science and Engineering. 2024; 12(12):2260. https://doi.org/10.3390/jmse12122260

Chicago/Turabian Style

Lei, Jichao, Kehua Leng, Wei Xu, Lixian Wang, Yu Hu, and Zhen Liu. 2024. "Effective Stress-Based Numerical Method for Predicting Large-Diameter Monopile Response to Various Lateral Cyclic Loadings" Journal of Marine Science and Engineering 12, no. 12: 2260. https://doi.org/10.3390/jmse12122260

APA Style

Lei, J., Leng, K., Xu, W., Wang, L., Hu, Y., & Liu, Z. (2024). Effective Stress-Based Numerical Method for Predicting Large-Diameter Monopile Response to Various Lateral Cyclic Loadings. Journal of Marine Science and Engineering, 12(12), 2260. https://doi.org/10.3390/jmse12122260

Note that from the first issue of 2016, this journal uses article numbers instead of page numbers. See further details here.

Article Metrics

Back to TopTop