Numerical Modeling on Ocean-Bottom Seismograph P-Wave Receiver Function to Analyze Influences of Seawater and Sedimentary Layers
Abstract
1. Introduction
2. RF-Related Methods
2.1. Receiver Function
2.2. H-k Stacking
2.3. Neighborhood Algorithm
3. Seismic Responses of Seawater Multiple Reflections
3.1. Half-Space Model with Overlying Seawater Layer
3.2. Synthetic Results of Normal Oceanic Crust Models
3.3. Analysis of Abnormal Characteristics of Synthetic Results
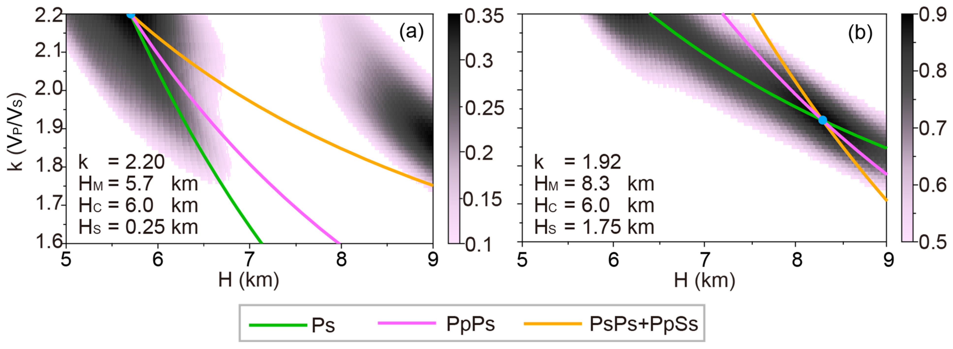
3.4. Influence of Seawater Multiple Reflections on H-k Stacking Inversion
3.5. Synthetic Results of Thick Oceanic Crust Models
4. Influences of Sedimentary Layer Thickness on OBS RFs
4.1. Half-Space Model with Seawater and Sedimentary Layers
4.2. Influences of Sedimentary Layers on OBS RFs
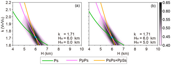
4.3. Influences of Sedimentary Layers on H-k Stacking Inversion
4.4. Influences of Sedimentary Layers on RFs Waveform Inversion
5. Influences of VS Variation in the Sedimentary Layer on OBS RFs
5.1. Half-Space Model with Varied VS of the Sedimentary Layer
5.2. Influences of the Sedimentary Layer with Different Vs on RFs and H-k Stacking Inversion
5.3. Influence of the Sedimentary Layer Different Vs on the RF Waveform Inversion
6. Conclusions
Supplementary Materials
Author Contributions
Funding
Institutional Review Board Statement
Informed Consent Statement
Data Availability Statement
Acknowledgments
Conflicts of Interest
References
- Ruan, A. Ocean Bottom Seismic Theory and Application; Science Press: Beijing, China, 2020. [Google Scholar]
- Hu, H.; Ruan, A.G.; You, Q.Y.; Li, J.B. Using OBS teleseismic receiver funtions to invert lithospheric structure—A case study of the southwestern subbasin in the South China Sea. Chin. J. Geophys. 2016, 59, 1426–1434. [Google Scholar]
- Huang, H.; Qiu, X.; Zhang, J.; Hao, T. Low-velocity layers in the northwestern margin of the South China Sea: Evidence from receiver functions of ocean-bottom seismometer data. J. Asian Earth Sci. 2019, 186, 104090. [Google Scholar] [CrossRef]
- Hung, T.D.; Yang, T.; Le, B.M.; Yu, Y.; Xue, M.; Liu, B.; Liu, C.; Wang, J.; Pan, M.; Huong, P.T.; et al. Crustal Structure Across the Extinct Mid-Ocean Ridge in South China Sea from OBS Receiver Functions: Insights Into the Spreading Rate and Magma Supply Prior to the Ridge Cessation. Geophys. Res. Lett. 2021, 48, e2020GL089755. [Google Scholar] [CrossRef]
- Ruan, A.; Hu, H.; Li, J.; Niu, X.; Wei, X.; Zhang, J.; Wang, A. Crustal structure and mantle transition zone thickness beneath a hydrothermal vent at the ultra-slow spreading Southwest Indian Ridge (49°39′ E): A supplementary study based on passive seismic receiver functions. Mar. Geophys. Res. 2017, 38, 39–46. [Google Scholar] [CrossRef]
- Clayton, R.W.; Wiggins, R.A. Source shape estimation and deconvolution of teleseismic bodywaves. Geophys. J. R. Astron. Soc. 1976, 47, 151–177. [Google Scholar] [CrossRef]
- Ligorría, J.P.; Ammon, C.J. Iterative deconvolution and receiver-function estimation. Bull. Seismol. Soc. Amer. 1999, 89, 1395–1400. [Google Scholar] [CrossRef]
- Zhu, L.P.; Kanamori, H. Moho depth variation in southern California. J. Geophys. Res. 2000, 105, 2969–2980. [Google Scholar] [CrossRef]
- Zhu, L.P. Crustal structure across the San Andreas Fault, southern California from teleseismic converted waves. Earth Planet. Sci. Lett. 2000, 179, 183–190. [Google Scholar] [CrossRef]
- Ammon, C.J.; Randall, G.E.; Zandt, G. On the nonuniqueness of receiver function inversions. J. Geophys. Res. Solid Earth 1990, 95, 15303–15318. [Google Scholar] [CrossRef]
- Bertsimas, D.; Tsitsiklis, J. Simulated Annealing. Stat. Sci. 1993, 8, 10–15. [Google Scholar] [CrossRef]
- Holland, J.H. Genetic algorithms. Scholarpedia 2012, 7, 1482. [Google Scholar] [CrossRef]
- Paffenholz, J.; Docherty, P.; Shurleff, R.; Hays, D. Shear Wave Noise on OBS Vz Data-Part II Elastic Modeling of Scatterers in the Seabed. In Proceedings of the 68th Conference and Exhibition, Vienna, Austria, 12–15 June 2006. [Google Scholar]
- Zhang, J.; Li, J.; Ruan, A.; Ding, W.; Niu, X.; Wang, W.; Tan, P.; Wu, Z.; Yu, Z.; Wei, X.; et al. Seismic Structure of a Postspreading Seamount Emplaced on the Fossil Spreading Center in the Southwest Subbasin of the South China Sea. JGR Solid Earth 2020, 125, e2020JB019827. [Google Scholar] [CrossRef]
- Zhao, M.; Qiu, X.; Li, J.; Sauter, D.; Ruan, A.; Chen, J.; Cannat, M.; Singh, S.; Zhang, J.; Wu, Z.; et al. Three-dimensional seismic structure of the Dragon Flag oceanic core complex at the ultraslow spreading Southwest Indian Ridge (49°39′ E). Geochem. Geophys. Geosystems 2013, 14, 4544–4563. [Google Scholar] [CrossRef]
- Ciazela, J.; Koepke, J.; Dick, H.J.B.; Botcharnikov, R.; Muszynski, A.; Lazarov, M.; Schuth, S.; Pieterek, B.; Kuhn, T. Sulfide enrichment at an oceanic crust-mantle transition zone: Kane Megamullion (23° N, MAR). Geochim. Cosmochim. Acta 2018, 230, 155–189. [Google Scholar] [CrossRef]
- Herman, J.; Muentener, O.; Guenther, D. Differentiation of mafic magma in a continental crust-to-mantle transition zone. J. Petrol. 2001, 42, 189–206. [Google Scholar] [CrossRef]
- Zanon, V.; Silva, R.; Goulart, C. The crust-mantle transition beneath the Azores region (central-north Atlantic Ocean). Contrib. Mineral. Petrol. 2023, 178, 50. [Google Scholar] [CrossRef]
- Song, T.; Shen, X.; Mei, X. Constraining Moho characteristics with frequency-dependence of receiver function and its application. Acta Seismol. Sin. 2020, 42, 135–150. [Google Scholar] [CrossRef]
- Kaban, M.K.; Flovenz, O.G.; Palmason, G. Nature of the crust-mantle transition zone and the thermal state of the upper mantle beneath Iceland from gravity modelling. Geophys. J. Int. 2002, 149, 281–299. [Google Scholar] [CrossRef]
- Sambridge, M. Geophysical inversion with a neighborhood algorithm—I, Searching a parameter space. Geophys. J. Int. 1999, 138, 479–494. [Google Scholar] [CrossRef]
- Sambridge, M. Geophysical inversion with a neighbourhood algorithmö—II. Appraising the ensemble. Geophys. J. Int. 1999, 138, 727–746. [Google Scholar] [CrossRef]
- Sambridge, M. Finding acceptable models in nonlinear inverse problems using a neighbourhood algorithm. Inverse Probl. 2001, 17, 387–403. [Google Scholar] [CrossRef]
- Audet, P. Receiver functions using OBS data: Promises and limitations from numerical modelling and examples from the Cascadia Initiative. Geophys. J. Int. 2016, 205, 1740–1755. [Google Scholar] [CrossRef]
- Akuhara, T.; Mochizuki, K.; Kawakatsu, H.; Takeuchi, N. Non-linear waveform analysis for water-layer response and its application to high-frequency receiver function analysis using OBS array. Geophys. J. Int. 2016, 206, 1914–1920. [Google Scholar] [CrossRef]
- Yang, T.; Xu, Y.; Du, N.; Xu, T.; Cao, D.; Nan, F.; Chu, W.; Liang, C.; Hao, T. Gravity inversion constrained by OBS receiver function reveals crustal structure in Ryukyu Trench. Front. Earth Sci. 2023, 11, 1187683. [Google Scholar] [CrossRef]
- Kennett, B.L.N.; Kerry, N.J. Seismic waves in a stratified half space. Geophys. J. Int. 1979, 57, 557–583. [Google Scholar] [CrossRef]
- Herrmann, R.B. Computer Programs in Seismology: An Evolving Tool for Instruction and Research. Seismol. Res. Lett. 2013, 84, 1081–1088. [Google Scholar] [CrossRef]
- Langston, C.A. Structure under Mount Rainier, Washington, inferred from teleseismic body waves. J. Geophys. Res. Solid Earth 1979, 84, 4749–4762. [Google Scholar] [CrossRef]
- Bishop, C.M. Neural networks and their applications. Rev. Sci. Instrum. 1994, 65, 1803–1832. [Google Scholar] [CrossRef]
- Chen, Y.J. Oceanic crustal thickness versus spreading rate. Geophys. Res. Lett. 1992, 19, 753–756. [Google Scholar] [CrossRef]
- Christeson, G.L.; Goff, J.A.; Reece, R.S. Synthesis of Oceanic Crustal Structure from Two-Dimensional Seismic Profiles. Rev. Geophys. 2019, 57, 504–529. [Google Scholar] [CrossRef]
- Hu, H.; Zhao, D.; Lin, J.; Pilia, S. A Slab Window Beneath North Sumatra Revealed by P-Wave Mantle Tomography. JGR Solid Earth 2023, 128, e2022JB025976. [Google Scholar] [CrossRef]
- Niu, X.; Ruan, A.; Li, J.; Minshull, T.A.; Sauter, D.; Wu, Z.; Qiu, X.; Zhao, M.; Chen, Y.J.; Singh, S. Along-axis variation in crustal thickness at the ultraslow spreading Southwest Indian Ridge (50° E) from a wide-angle seismic experiment. Geochem. Geophys. Geosyst. 2015, 16, 468–485. [Google Scholar] [CrossRef]
- Wessel, P.; Luis, J.F.; Uieda, L.; Scharroo, R.; Wobbe, F.; Smith, W.H.F.; Tian, D. The Generic Mapping Tools Version 6. Geochem. Geophys. Geosyst. 2019, 20, 5556–5564. [Google Scholar] [CrossRef]















Disclaimer/Publisher’s Note: The statements, opinions and data contained in all publications are solely those of the individual author(s) and contributor(s) and not of MDPI and/or the editor(s). MDPI and/or the editor(s) disclaim responsibility for any injury to people or property resulting from any ideas, methods, instructions or products referred to in the content. |
© 2024 by the authors. Licensee MDPI, Basel, Switzerland. This article is an open access article distributed under the terms and conditions of the Creative Commons Attribution (CC BY) license (https://creativecommons.org/licenses/by/4.0/).
Share and Cite
Gong, W.; Hu, H.; Ruan, A.; Niu, X.; Wang, W.; Tang, Y. Numerical Modeling on Ocean-Bottom Seismograph P-Wave Receiver Function to Analyze Influences of Seawater and Sedimentary Layers. J. Mar. Sci. Eng. 2024, 12, 2053. https://doi.org/10.3390/jmse12112053
Gong W, Hu H, Ruan A, Niu X, Wang W, Tang Y. Numerical Modeling on Ocean-Bottom Seismograph P-Wave Receiver Function to Analyze Influences of Seawater and Sedimentary Layers. Journal of Marine Science and Engineering. 2024; 12(11):2053. https://doi.org/10.3390/jmse12112053
Chicago/Turabian StyleGong, Wenfei, Hao Hu, Aiguo Ruan, Xiongwei Niu, Wei Wang, and Yong Tang. 2024. "Numerical Modeling on Ocean-Bottom Seismograph P-Wave Receiver Function to Analyze Influences of Seawater and Sedimentary Layers" Journal of Marine Science and Engineering 12, no. 11: 2053. https://doi.org/10.3390/jmse12112053
APA StyleGong, W., Hu, H., Ruan, A., Niu, X., Wang, W., & Tang, Y. (2024). Numerical Modeling on Ocean-Bottom Seismograph P-Wave Receiver Function to Analyze Influences of Seawater and Sedimentary Layers. Journal of Marine Science and Engineering, 12(11), 2053. https://doi.org/10.3390/jmse12112053

