Cost–Benefit Assessment of Offshore Structures Considering Structural Deterioration
Abstract
1. Introduction
2. Cost-Benefit Approach
3. Cost-Benefit Evaluation
| Algorithm 1 The pseudocode to estimate the optimal time instant | |
| 1. Begin 2. A structural model of the platform is generated 3. Critical joints are identified through nonlinear static analysis. 4. The crack size at each hot spot of each critical joint is estimated by fatigue analysis over time. 5. Structural capacity, , and structural demand, , are estimated over time. 6. The expected number of failures is estimated. 7. Numerical demand exceedance rates are estimated 8. Number of simulations () are defined 9. Initialize counter 10. while do 11. The -th realization of waiting times, and demands is generated. 12. Initialize counters and 13. Initialize 14. while number of simulated events do 15. 16. The -th damage index is estimated 17. if 18. = 19. Initialize control variable 20. else 21. if 22. = 23. Initialize control variable 24. else 25. Initialize control variable 26. end if 27. end if 28. if 29. Initialize counter 30. Initialize , and 31. while number of critical joints do 32. Initialize counter | 33. while m number of hot spots of critical joint do 34. Crack size, , at each hot spot is estimated at time t 35. if 36. if 37. Inspection cost is estimated. 38. is evaluated. 39. Repair cost is estimated. 40. Inspection cost is calculated 41. Repair cost is calculated 42. else 43. 44. end if 45. end if 46. end while 47. add one to the hot spots counter, 48. end while 49. Costs associated with damage index, , are calculated. 50. Failure costs is estimated. 51. The expected total cost is estimated 52. add one to the simulated events that cause damage counter, 53. end if 54. add one to the simulated events counter, 55. end while 56. add one to the realizations counter, 57. end while 58. Mean of , and are calculated 59. Mean optimal time instant is defined 60. end |
4. Illustrative Example
4.1. Environmental Hazard
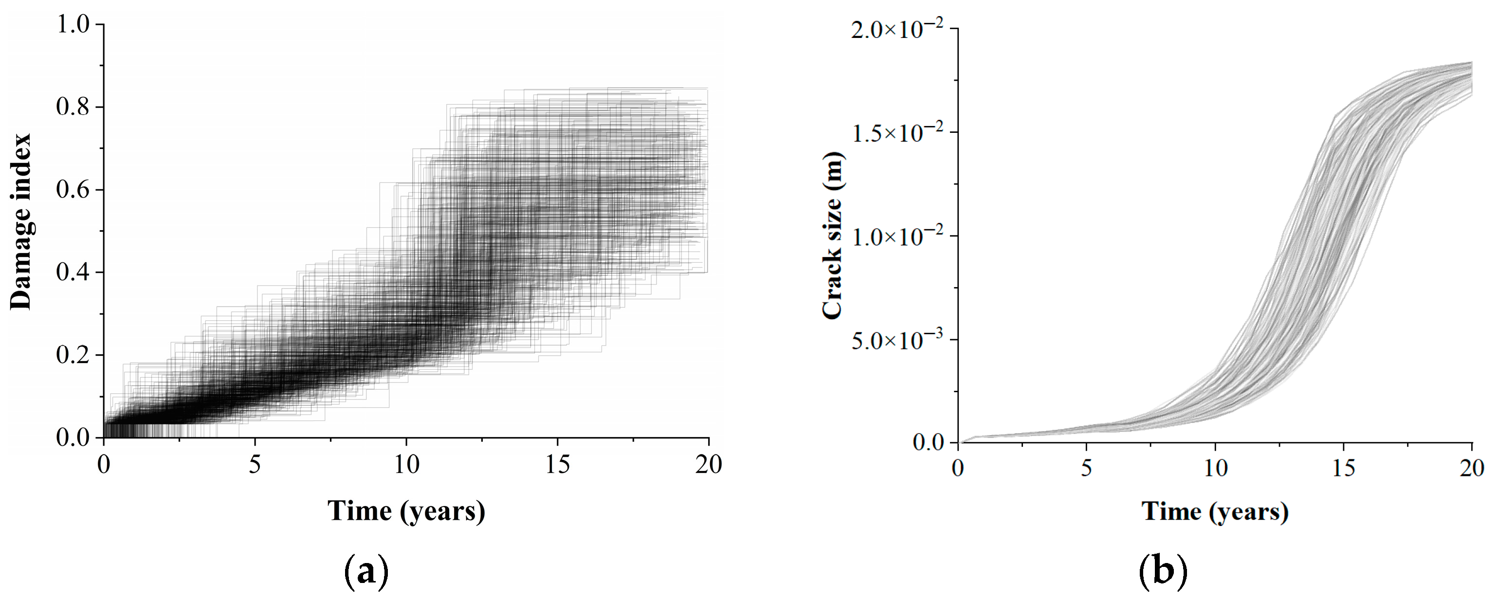
4.2. Fatigue Assessment
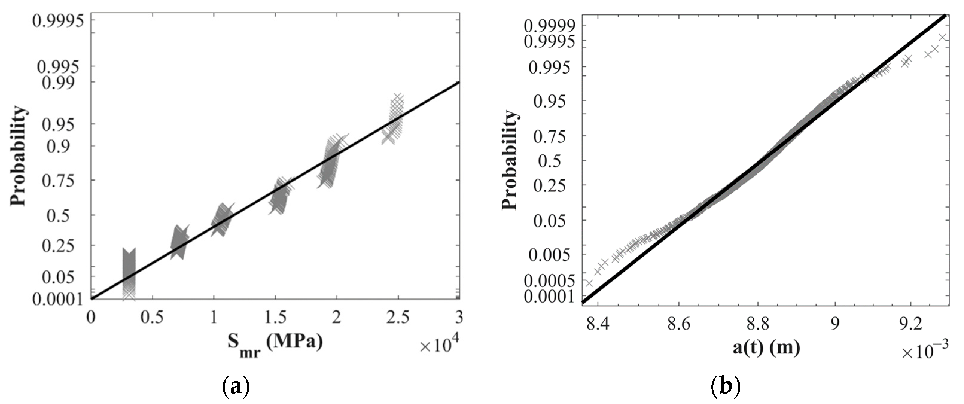
4.3. Structural Capacity
4.4. Structural Demand
4.5. Expected Number of Failures
4.6. Demand Exceedance Rates
4.7. Optimal Time Instant
5. Conclusions
Author Contributions
Funding
Institutional Review Board Statement
Informed Consent Statement
Data Availability Statement
Acknowledgments
Conflicts of Interest
References
- Zou, C.; Zhao, Q.; Zhang, G.; Xiong, B. Energy revolution: From a fossil energy era to a new energy era. Nat. Gas Ind. B 2016, 3, 1–11. [Google Scholar] [CrossRef]
- SENER. Prospectiva de Petróleo Crudo y Petrolíferos 2016–2030; Secretaría de Energía: Mexico City, Mexico, 2016. [Google Scholar]
- Herrera, D.; Varela, G.; Tolentino, D. Reliability Assessment of RC Bridges Subjected to Seismic Loadings. Appl. Sci. 2021, 12, 206. [Google Scholar] [CrossRef]
- Mohammed, D.; Al-Zaidee, S. Deflection Reliability Analysis for Composite Steel Bridges. Eng. Technol. Appl. Sci. Res. 2022, 12, 9155–9159. [Google Scholar] [CrossRef]
- Fanaie, N.; Kolbadi, M.S. Probabilistic seismic demand assessment of steel moment-resisting frames with mass irregularity in height. Sci. Iran. 2019, 26, 1156–1168. [Google Scholar] [CrossRef]
- Gavabar, S.G.; Alembagheri, M. Structural demand hazard analysis of jointed gravity dam in view of earthquake uncertainty. KSCE J. Civ. Eng. 2018, 22, 3972–3979. [Google Scholar] [CrossRef]
- El-Din, M.N.; Kim, J. Simplified seismic life cycle cost estimation of a steel jacket offshore platform structure. Struct. Infrastruct. Eng. 2017, 13, 1027–1044. [Google Scholar] [CrossRef]
- Zekavati, A.A.; Jafari, M.A.; Mahmoudi, A. Regional Multihazard Risk-Assessment Method for Overhead Transmission Line Structures Based on Failure Rate and a Bayesian Updating Scheme. J. Perform. Constr. Facil. 2022, 37, 04022068. [Google Scholar] [CrossRef]
- Praxedes, C.; Yuan, X.X. Robustness-oriented optimal design for reinforced concrete frames considering the large uncertainty of progressive collapse threats. Struct. Saf. 2022, 94, 102139. [Google Scholar] [CrossRef]
- Khajehzadeh, M.; Kalhor, A.; Tehrani, M.S.; Jebeli, M. Optimum design of retaining structures under seismic loading using adaptive sperm swarm optimization. Struct. Eng. Mech. 2022, 81, 93–102. [Google Scholar] [CrossRef]
- Mai, H.T.; Lee, S.; Kim, D.; Lee, J.; Kang, J.; Lee, J. Optimum design of nonlinear structures via deep neural network-based parameterization framework. Eur. J. Mech.-A/Solids 2023, 98, 104869. [Google Scholar] [CrossRef]
- Fan, Z.; Ye, Q.; Xu, X.; Ren, Y.; Huang, Q.; Li, W. Fatigue reliability-based replacement strategy for bridge stay cables: A case study in China. Structures 2022, 39, 1176–1188. [Google Scholar] [CrossRef]
- Abdelkader, E.M.; Moselhi, O.; Marzouk, M.; Zayed, T. An exponential chaotic differential evolution algorithm for optimizing bridge maintenance plans. Autom. Constr. 2022, 134, 104107. [Google Scholar] [CrossRef]
- Chadha, M.; Ramancha, M.K.; Vega, M.A.; Conte, J.P.; Todd, M.D. The modeling of risk perception in the use of structural health monitoring information for optimal maintenance decisions. Reliab. Eng. Syst. Saf. 2023, 229, 108845. [Google Scholar] [CrossRef]
- Vrijdaghs, R.; Verstrynge, E. Probabilistic structural analysis of a real-life corroding concrete bridge girder incorporating stochastic material and damage variables in a finite element approach. Eng. Struct. 2022, 254, 113831. [Google Scholar] [CrossRef]
- Ontiveros-Pérez, S.P.; Miguel, L.F.F. Reliability-based optimum design of multiple tuned mass dampers for minimization of the probability of failure of buildings under earthquakes. Structures 2022, 42, 144–159. [Google Scholar] [CrossRef]
- Cheng, J.; Jin, H. Reliability-based optimization of steel truss arch bridges. Int. J. Steel Struct. 2017, 17, 1415–1425. [Google Scholar] [CrossRef]
- Zou, G.; Faber, M.H.; González, A.; Banisoleiman, K. Fatigue inspection and maintenance optimization: A comparison of information value, life cycle cost and reliability based approaches. Ocean Eng. 2021, 220, 108286. [Google Scholar] [CrossRef]
- Lotsberg, I.; Sigurdsson, G.; Fjeldstad, A.; Moan, T. Probabilistic methods for planning of inspection for fatigue cracks in offshore structures. Mar. Struct. 2016, 46, 167–192. [Google Scholar] [CrossRef]
- Dyer, A.S.; Zaengle, D.; Nelson, J.R.; Duran, R.; Wenzlick, M.; Wingo, P.C.; Bauer, J.R.; Rose, K.; Romeo, L. Applied machine learning model comparison: Predicting offshore platform integrity with gradient boosting algorithms and neural networks. Mar. Struct. 2022, 83, 103152. [Google Scholar] [CrossRef]
- Tolentino, D.; Ruiz, S.E. Time Intervals for Maintenance of Offshore Structures Based on Multiobjective Optimization. Math. Probl. Eng. 2013, 2013, 125856. [Google Scholar] [CrossRef]
- Wang, M.; Leng, J.; Feng, S.; Li, Z.; Incecik, A. Precisely modeling offshore jacket structures considering model parameters uncertainty using Bayesian updating. Ocean Eng. 2022, 258, 111410. [Google Scholar] [CrossRef]
- Schoefs, F.; Tran, T.B. Reliability Updating of Offshore Structures Subjected to Marine Growth. Energies 2022, 15, 414. [Google Scholar] [CrossRef]
- Heo, T.; Nguyen, P.T.T.; Manuel, L.; Collu, M.; Abhinav, K.A.; Xu, X.; Brizzi, G. Operations and Maintenance for Multipurpose Offshore Platforms using Statistical Weather Window Analysis. In Proceedings of the Global Oceans 2020: Singapore–US Gulf Coast, Biloxi, MS, USA, 5–30 October 2020. [Google Scholar] [CrossRef]
- De León Escobedo, D.; Alfredo, H.S. Development of a cost-benefit model for the management of structural risk on oil facilities in Mexico. Comput. Struct. Eng. An. Int. J. 2002, 2, 19–23. [Google Scholar]
- Ortega Estrada, C.E.; De León Escobedo, D. Development of a Cost-Benefit Model for Inspection of Offshore Jacket Structures in Mexico. In Proceedings of the Offshore Mechanics and Arctic Engineering, Cancun, Mexico, 8–13 June 2003. [Google Scholar] [CrossRef]
- Santa-Cruz, S.; Heredia-Zavoni, E. Maintenance and decommissioning real options models for life-cycle cost-benefit analysis of offshore platforms. Struct. Infrastruct. Eng. 2009, 7, 733–745. [Google Scholar] [CrossRef]
- Tolentino, D.; Ruiz, S.E. Influence of structural deterioration over time on the optimal time interval for inspection and maintenance of structures. Eng. Struct. 2014, 61, 22–30. [Google Scholar] [CrossRef]
- Yoon, J.T.; Youn, B.D.; Yoo, M.; Kim, Y.; Kim, S. Life-cycle maintenance cost analysis framework considering time-dependent false and missed alarms for fault diagnosis. Reliab. Eng. Syst. Saf. 2019, 184, 181–192. [Google Scholar] [CrossRef]
- Tolentino, D.; Ruiz, S.E.; Torres, M.A. Simplified closed-form expressions for the mean failure rate of structures considering structural deterioration. Struct. Infrastruct. Eng. 2012, 8, 483–496. [Google Scholar] [CrossRef]
- Rainville, D. Intermediate Course in Differential Equations, 1st ed.; John Wiley and Sons, Inc.: Hoboken, NJ, USA, 1943. [Google Scholar]
- Ritger, P.D.; Rose, N.J. Differential Equations with Applications, 1st ed.; Dover Publications: New York, NY, USA, 2000. [Google Scholar]
- Visser, W. POD/POS Curves for Non-Destructive Examination, Offshore Technology Report OTO-2000/018; Health & Safety Executive: Weybridge, Surrey, UK, 2002. [Google Scholar]
- Moan, T.; Hovde, G.O.; Blanker, A.M. Reliability-based fatigue criteria for offshore structures considering the effect of inspection and repair. In Proceedings of the Offshore Technology Conference, Houston, TX, USA, 3–6 May 1993; pp. 591–597. [Google Scholar] [CrossRef]
- Rangel-Ramirez, J.G.; Sørensen, J.D. Optimal risk-based inspection planning for offshore wind turbines. Int. J. Steel Struct. 2008, 8, 295–303. [Google Scholar]
- Moan, T. Reliability-based management of inspection, maintenance and repair of offshore structures. Struct. Infrastruct. Eng. 2007, 1, 33–62. [Google Scholar] [CrossRef]
- Paris, P.; Erdogan, F. A Critical Analysis of Crack Propagation Laws. J. Basic Eng. 1963, 85, 528–533. [Google Scholar] [CrossRef]
- Newman, J.C.; Raju, I.S. An empirical stress-intensity factor equation for the surface crack. Eng. Fract. Mech. 1981, 15, 185–192. [Google Scholar] [CrossRef]
- Sobczyk, K.; Spencer, B.F., Jr. Random Fatigue: From Data to Theory, 1st ed.; Academic Press: Cambridge, MA, USA, 1992. [Google Scholar]
- Cornell, C.A.; Jalayer, F.; Hamburger, R.O.; Foutch, D.A. Probabilistic Basis for 2000 SAC Federal Emergency Management Agency Steel Moment Frame Guidelines. J. Struct. Eng. 2002, 128, 526–533. [Google Scholar] [CrossRef]
- PEMEX. Diseño y Evaluación de Plataformas Marinas Fijas en la Sonda de Campeche; Petroleos Mexicanos: Mexico City, Mexico, 2000. [Google Scholar]
- Hasselmann, K.; Barnett, T.P.; Bouws, E.; Carlson, H.; Cartwright, D.E.; Enke, K.; Ewing, J.A. Measurements of wind-wave growth and swell decay during the joint North Sea wave project (JONSWAP). Ergaenzungsheft Zur Dtsch. Hydrogr. Z. Reihe A 1973, 8, 1–95. [Google Scholar]
- Pierson, W.J.; Moskowitz, L. A proposed spectral form for fully developed wind seas based on the similarity theory of S. A. Kitaigorodskii. J. Geophys. Res. 1964, 69, 5181–5190. [Google Scholar] [CrossRef]
- Bretschneider, C.L. Wave variability and wave spectra for wind-generated gravity waves. Beach Erosion Board. US Army Corps Eng. Tech. Memo 1959, 118, 1–192. [Google Scholar]
- Torres, M.A.; Ruiz, S.E. Structural reliability evaluation considering capacity degradation over time. Eng. Struct. 2007, 29, 2183–2192. [Google Scholar] [CrossRef]
- Silva-Ballesteros, J.; Barranco-Cicilia, F. Statistic Comparison between Wave Height Time Histories from Different Simulation Techniques for a Campeche Bay Sea State. In Proceedings of the Seventh International Offshore and Polar Engineering Conference, Honolulu, HI, USA, 25–30 May 1997. [Google Scholar]
- De Leon, D. Reliability-Based Assessment of Vibrations on an Offshore Living-Quarters Platform in Mexico. In Proceedings of the Offshore Mechanics and Arctic Engineering, Oslo, Norway, 23–28 June 2002. [Google Scholar] [CrossRef]
- Lee, S.; Wilson, J.R.; Crawford, M.M. Modeling and simulation of a nonhomogeneous poisson process having cyclic behavior. Commun. Stat.-Simul. Comput. 2007, 20, 777–809. [Google Scholar] [CrossRef]
- Silva-González, F.L.; Heredia-Zavoni, E. Effect of Uncertainties on the Reliability of Fatigue Damaged Systems. In Proceedings of the Offshore Mechanics and Arctic Engineering, Vancouver, BC, Canada, 20–25 June 2004. [Google Scholar] [CrossRef]
- Stacey, A.; Sharp, J.V.; Nichols, N.W. Static Strength Assessment of Cracked Tubular Joints; American Society of Mechanical Engineers: New York, NY, USA, 1996. [Google Scholar]
- Burdekin, F.M. The Static Strength of Cracked Joints in Tubular Members, Offshore Technology Report OTO-2001/080; Health & Safety Executive: Weybridge, Surrey, UK, 2001. [Google Scholar]
- Tolentino, D.; Flores, R.B.; Alamilla, J.L. Probabilistic assessment of structures considering the effect of cumulative damage under seismic sequences. Bull. Earthq. Eng. 2018, 16, 2119–2132. [Google Scholar] [CrossRef]
- Vogel, C.R. Computational Methods for Inverse Problems; Society for Industrial and Applied Mathematics: Philadelphia, PA, USA, 2002. [Google Scholar]
- Melchers, R.E.; Beck, A.T. Structural Reliability Analysis and Prediction; John Wiley & Sons Ltd.: Chichester, UK, 2017. [Google Scholar] [CrossRef]
- Tolentino, D.; Márquez-Domínguez, S.; Gaxiola-Camacho, R. Fragility Assessment of Bridges Considering Cumulative Damage Caused by Seismic Loading. KSCE J. Civ. Eng. 2020, 24, 551–560. [Google Scholar] [CrossRef]
- Raine, A. The development of alternating current field measurement (ACFM) technology as a technique for the detection of surface breaking defects in conducting material and its use in commercial and industrial applications. In Proceedings of the 15th World Conference on Non-Destructive Testing, Rome, Italy, 15–21 October 2000. [Google Scholar]
- Kirkemo, F. Applications of probabilistic fracture mechanics to offshore structures. Appl. Mech. Rev. 1988, 41, 61–84. [Google Scholar] [CrossRef]
- Jardine, R.J.; Chow, F.C. New Design Methods for Offshore Piles; MTD Ltd. Publication; Marine Technology Directorate: Tipton, UK, 1996. [Google Scholar]
- Campos, D.; Rodriguez, M.; Martinez, M.; Ramos, R. Assessment of consequences of failure in jacket structures. In Proceedings of the Offshore Mechanics and Arctic Engineering, St. John’s, NL, Canada, 11–16 July 1999. [Google Scholar]
- McClelland, B.; Reifel, M.D. Planning and Design of Fixed Offshore Platforms, 1st ed.; Springer Publishing: New York, NY, USA, 1986. [Google Scholar]
- IMP. Resumen Ejecutivo de Costos Promedio de Estructuras Típicas Ubicadas en la Sonda de Campeche; Instituto Mexicano del Petroleo: Mexico City, Mexico, 1998. [Google Scholar]
- Faber, M.H.; Kroon, I.B.; Sørensen, J.D. Sensitivities in structural maintenance planning. Reliab. Eng. Syst. Saf. 1996, 51, 317–329. [Google Scholar] [CrossRef]
- Straub, D.; Faber, M.H. Risk based inspection planning for structural systems. Struct. Saf. 2005, 27, 335–355. [Google Scholar] [CrossRef]
- Goyet, J.; Straub, D.; Faber, M.H. Risk based inspection planning. Methodol. Appl. Offshore Struct. 2011, 6, 489–503. [Google Scholar] [CrossRef]













| Element ID | Diameter (m) | Thickness (m) |
|---|---|---|
| E23 and E32 | ||
| E39; E40; E42; E43 and E44 | ||
| E22; E24; E26; E27; E31; E33; E35; E36 and E37 | ||
| E28; E29 | ||
| E10; E11; E19 and E20 | ||
| E04; E05; E06; E08; E09; E13; E14; E15; E17 and E18 | ||
| E01 and E02 | ||
| E03; E70; E12; E16; E21; E25; E30; E34; E38 and E41 |
| Parameter | Mean | Standard Deviation | Distribution |
|---|---|---|---|
| According to the joint and time | According to the joint and time | Lognormal | |
| According to the joint and time | According to the joint and time | Rayleigh | |
| 0.25 | - | - | |
| M * | 3 | 0.3 | Normal |
| InC * | −40.39 | −0.69067 | Normal |
| 0.00011 | - | - |
| Time Instant (Years) | Inspection Cost | Repair Cost | Failure Cost | Expected Total Cost |
|---|---|---|---|---|
| 1 | 0.38 | 3.48 | 0.00 | 3.87 |
| 3 | 0.13 | 3.31 | 0.05 | 3.50 |
| 6 | 0.06 | 2.13 | 0.45 | 2.64 |
| 9 | 0.05 | 1.75 | 1.52 | 3.32 |
| 12 | 0.04 | 1.35 | 3.64 | 5.03 |
Disclaimer/Publisher’s Note: The statements, opinions and data contained in all publications are solely those of the individual author(s) and contributor(s) and not of MDPI and/or the editor(s). MDPI and/or the editor(s) disclaim responsibility for any injury to people or property resulting from any ideas, methods, instructions or products referred to in the content. |
© 2023 by the authors. Licensee MDPI, Basel, Switzerland. This article is an open access article distributed under the terms and conditions of the Creative Commons Attribution (CC BY) license (https://creativecommons.org/licenses/by/4.0/).
Share and Cite
Varela, G.; Tolentino, D. Cost–Benefit Assessment of Offshore Structures Considering Structural Deterioration. J. Mar. Sci. Eng. 2023, 11, 1348. https://doi.org/10.3390/jmse11071348
Varela G, Tolentino D. Cost–Benefit Assessment of Offshore Structures Considering Structural Deterioration. Journal of Marine Science and Engineering. 2023; 11(7):1348. https://doi.org/10.3390/jmse11071348
Chicago/Turabian StyleVarela, Gerardo, and Dante Tolentino. 2023. "Cost–Benefit Assessment of Offshore Structures Considering Structural Deterioration" Journal of Marine Science and Engineering 11, no. 7: 1348. https://doi.org/10.3390/jmse11071348
APA StyleVarela, G., & Tolentino, D. (2023). Cost–Benefit Assessment of Offshore Structures Considering Structural Deterioration. Journal of Marine Science and Engineering, 11(7), 1348. https://doi.org/10.3390/jmse11071348
