Next Article in Journal
Comprehensive Investigation on Spatiotemporal Variations of Tropical Cyclone Activities in the Western North Pacific, 1950–2019
Next Article in Special Issue
Quantifying Mechanisms Responsible for Extreme Coastal Water Levels and Flooding during Severe Tropical Cyclone Harold in Tonga, Southwest Pacific
Previous Article in Journal
Estimating Stock Status and Biological Reference Points of the Sardine Fishery Using the Surplus Production Model from the Bay of Bengal, Bangladesh
Previous Article in Special Issue
Mapping Dependence between Extreme Skew-Surge, Rainfall, and River-Flow
 
 
Font Type:
Arial Georgia Verdana
Font Size:
Aa Aa Aa
Line Spacing:
Column Width:
Background:
Article

Sea-Level Rise Effects on Changing Hazard Exposure to Far-Field Tsunamis in a Volcanic Pacific Island

1
NIWA Taihoro Nukurangi, Wellington 6021, New Zealand
2
Disaster Management Office, Ministry of Natural Resources and Environment, Apia WS1338, Samoa
3
Geosciences, Meteorology Division, Ministry of Natural Resources and Environment, Apia WS1338, Samoa
*
Author to whom correspondence should be addressed.
J. Mar. Sci. Eng. 2023, 11(5), 945; https://doi.org/10.3390/jmse11050945
Submission received: 13 April 2023 / Revised: 26 April 2023 / Accepted: 26 April 2023 / Published: 28 April 2023
(This article belongs to the Special Issue Coastal Flooding: Causes, Impacts and Mitigation)

Abstract

Coastal flooding exacerbated by climate change is recognised as a major global threat which is expected to impact more than a quarter of all people currently residing in Pacific Island countries. While most research in the last decade has focused on understanding the dynamics and impacts of future coastal flooding from extreme sea levels, the effects of relative sea level rise (RSLR) on exacerbating tsunami hazards are not well understood. Far-field or distant sourced tsunamis tend to have relatively lower impacts in Pacific Island states compared with locally sourced events, but there is limited understanding of how the impact of far-field tsunamis changes over time due to RSLR. Using the hydrodynamics software BG-Flood, we modelled the Tōhoku-oki tsunami from propagation to inundation in Samoa under incremental SLR to examine the effects that RSLR has on changing the exposure of the built environment (e.g., buildings) to a far-field tsunami. Outputs of maximum tsunami inundation and flow depth intensities which incorporate incremental SLR were then combined with digital representations of buildings and depth-damage functions in the RiskScape multi-hazard risk modelling software to assess the changes in building exposure over time. Results suggest that the impacts of Tōhoku-oki-type far-field tsunamis become significant once RSLR reaches 1 m above present levels. Present-day building exposure will increase by approx. 500% with 1 m RSLR by 2080–2130, and approx. 2350% with 2 m RSLR by as early as 2130–2140. These findings provide useful insights for application to tsunami hazard risk assessments under changing sea level conditions in analogous island environments.

1. Introduction

Coastal flooding exacerbated by climate change-driven sea level rise in the 21st century (21C) is recognized as a major existential threat that will affect the livelihoods of more than 1 billion people globally [1,2]. This includes between a quarter to more than half of all people living in the Pacific Islands [3]. Indeed, projected losses in real gross domestic product (real GDP) for major cities around the world are estimated to be significant within the next 100 years [4], potentially costing the global economy USD trillions in losses by the year 2100 under a business-as-usual climate change scenario [5,6,7].
While much focus within the last decade has been on understanding the dynamics and impacts of coastal flooding due to tidal, relative sea level rise (RSLR), storm surges, and extreme wave processes (e.g., Refs. [8,9,10,11]), concerns about the effects of sea level rise on exacerbating tsunami inundation impacts have increased. For example, Li et al. (2018) [12] demonstrated that sea level rise will increase both the frequency and intensity of tsunami-induced flooding by a factor of 1.5 to 4.7 in the city of Macau located along the South China Sea. Similarly, Nagai et al. (2019) [13] used maximum credible tsunami simulations in Tokyo Bay for different sea level rise scenarios to show that tsunami-induced flood risk in the cities of Yokohama and Kawasaki gradually increases throughout the 21C, with the risk to life in these cities significantly affected once sea levels reach +1.0 m higher than at present.
More recently, Dura et al. (2021) [14] conducted an earthquake and tsunami modelling analysis that combined local probabilistic RSLR projections to show the increased potential for more frequent, relatively low magnitude earthquakes (Mw 8.0) originating at the Alaska-Aleutian subduction zone, to produce distant-source tsunamis that exceed historically observed maximum nearshore tsunami heights at Los Angeles and Long Beach Ports in California. These observations are consistent with nearshore tsunami height changes due to SLR presented by Koyano et al. (2022) [15] for the east coast of Japan, who also suggested that the effects of SLR on expected tsunami heights at coast are non-linear and vary according to location.
In the Pacific Islands region, far-field or distant sourced tsunamis which take up to several hours from initiation to coastal impact are typically considered lower risk events compared with locally sourced tsunamis (e.g., Refs. [16,17]). However, there is a dearth of detailed hazard risk modelling studies which demonstrate the effects that SLR will have on exacerbating tsunami inundation risk to far-field events in Pacific Island environments. Furthermore, there is a scarcity of evidence on the temporal and critical SLR height thresholds where life and livelihoods are threatened due to SLR-exacerbated far-field tsunami inundation. In the light of evidence delineating the effects of SLR on increasing tsunami inundation risk in coastal continental settings (e.g., Refs. [12,13,14,15]), there is a need to investigate these processes in the Pacific Small Island Developing States (SIDSs), a region that is highly vulnerable to the impacts of multiple geo-climatic hazards.
In this paper, we investigate the impact that incremental RSLR has on far-field tsunami inundation and exposure risk in Samoa (Figure 1), a Pacific SIDS where RSLR is further exacerbated by rapid post-2009 Samoan earthquake subsidence [18]. Using the 2011 Tōhoku-oki tsunami as a proxy for a far-field tsunami type that can impact the city of Apia in north Upolu Island, we model the event from its source through to propagation across the Pacific Ocean and inundation in Samoa under incremental SLR scenarios (up to 2 m). Results of the inundation modelling are used along with digital representations of buildings to quantify their exposure and damage to permanent tidal flooding caused by incremental SLR, as well as to identify sea-level thresholds where exposure risk to far-field tsunami inundation becomes critical. The implications of our findings on tsunami risk planning in analogous Pacific Island contexts are discussed.

2. Contextual Background

The northern coasts of the Samoan Islands are typically considered at lower threat from tsunami inundation compared with southern coasts which are exposed to the well-known local tsunamigenic northern Tonga subduction zone [19]. The apparent absence of local tsunamigenic earthquake sources north of the island chain, and limited detailed investigations on potential volcanic or landslide tsunamigenic sources off the northern flanks of the island shelf [20], lead to a general impression that tsunami threats to the capital city of Apia are relatively low. Indeed, historical records of tsunami impacts in Apia suggest that the threats are lower [19], with the recent 2022 Hunga Tonga-Hunga Ha’apai volcanic eruption generating a tsunami that resulted in a 0.514 m wave height at the Apia tide gauge [21]. However, no damage or reports of injuries/losses due to strong currents were observed. Outside of Apia, local volcanic-related tsunami threats which can impact areas in northwest Upolu (e.g., the 1907 Mt Matavanu phreatomagmatic-generated tsunamis) [22], and far-field tsunamis that can impact Fagaloa Bay in northeast Upolu (e.g., 1960 Chile tsunami) [17], have been recorded, although no loss of life from any of these events were observed.
A single building at the head of Fagaloa Bay is the only location in Samoa known to have experienced inundation following the 2011 Tōhoku-oki tsunami, whereby a tsunami wave of 0.7 m above normal water level was observed approx. 14 h after the event (Figure 1). Long period waves associated with both local and distant sourced tsunamis are known to excite resonance frequencies in the characteristic V-shaped Fagaloa embayment which can amplify wave flux effects (e.g., Ref. [23]). Resonance modes and periods in Samoa are predominantly controlled by fringing reefs [24] and excite when constructive interference occurs between the tsunami oscillation periods and the natural periods of bathymetric features. This phenomenon can result in more severe onshore inundation impacts than might be expected (e.g., Refs. [23,24]. In far-field tsunamis, the largest wave amplitude tends to occur following the first peak due to this resonance. For these types of events both the regional and local bathymetry play a significant role in resonance amplification [25]. Hence, the 2011 Tōhoku-oki tsunami inundation in this embayment is unsurprising, with the observed wave providing a reference to corroborate our tsunami model and its application in the incremental SLR inundation analysis.

3. Materials and Methods

To investigate the impact of a Tōhoku-oki-type far-field tsunami inundation on the exposure of buildings in Samoa under incremental sea level rise, we (1) modelled the tsunami from the earthquake source to inundation in the Samoan Islands, as described in Section 3.1 and Section 3.2, and (2) we modelled the built-environment exposure to tsunami inundation impacts on buildings, as described in Section 3.3.

3.1. Tsunami Source and Propagation Modelling

Tsunami modelling from source to propagation and inundation was undertaken using the shock-capturing hydrodynamics model BG-Flood (block-adaptive on graphics processing unit flood model) [24,26] (Figure 1). Finite faulting characteristics for the 2011 Tōhoku-oki earthquake source developed by Yamazaki et al. (2018) [27], were used to configure the tsunami generation in BG-Flood. The initial deformation of the water surface was calculated using the deformation model of Okada (1985) [28] for each of the 60 segments of the finite fault solution in [27]. The deformation of each of the 60 separate fault segments was applied at the rupture time suggested in [28] (up to 2 min after the initial rupture). Transpacific propagation of the wave to Samoa was simulated on a uniform spherical grid with a resolution of 0.05 degrees (~5 km).
BG-Flood applies graphics processing units (GPUs) configured with an adaptive mesh refinement (AMR)-type grid to simulate shallow water hydrodynamics used to model propagation across the Pacific Ocean to inundation in Samoa. The Saint-Venant shallow water equation (SWE) solver in Basilisk [29] provided the model governing equations, with a Block Uniform Quadtree mesh used to enable efficient simulation on the GPUs [30]. The model uses an explicit solver where the timestep is automatically calculated based on a courant (CFL) number of 0.5. The SWE engine validation and solver are described in detail by Popinet (2012) [31]. The ability of BG-Flood to efficiently simulate many scenarios efficiently [26] meant that it was well suited for modelling the range of 2011 Tōhoku-oki-type tsunami inundation under benchmark and incremental SLR. BG-Flood was validated using tide gauge and Deep-ocean Assessment and Reporting of Tsunamis (DART) buoy data to show that it satisfactorily reproduced two historical events. The 11 March 2011 magnitude 9.1 Tōhoku-oki tsunami showed moderate to strong correlation with DART buoys (DART-51425 and DART-51426), and the 29 September 2009 magnitude 8.1 Samoa tsunami event showed strong correlation with the Apia tide gauge [32].
The digital elevation models (DEM) used in these simulations were derived from: (1) the Generic Bathymetric Chart of the Oceans (GEBCO) at ~900 m resolution covering the ocean expanse between the earthquake source and Samoa; (2) a multi-beam bathymetry survey over the Samoan shelf slopes at a resolution of ~60 m [33], which was used in the adaptive refinement of the propagating wave in the nearshore; (3) light detection and ranging (LiDAR) topography and nearshore bathymetry (down to 30 m depth) at a resolution of 5 m [34], for simulation of inundation on land at spatially variable grid resolutions (e.g., 10 m on land and close to the shore and 160 m in the deep ocean).

3.2. Tsunami Inundation Modelling

Tsunami inundation modelling was undertaken in 0.2 m sea level rise increments, ranging from 0 m SLR up to 2 m SLR. This was to account for a range of possible SLRs from present to beyond 2150 including, pessimistic carbon emission pathways leading to severe ice sheet loss. These simulations were all modelled using BG-Flood with the tsunami inundating at high tide, to simulate a worse-case scenario, despite the Tōhoku tsunami reaching Samoa at low to medium tide. Additionally, the actual observed tsunami was modelled for use in validation.
The tide on 11 March 2011 was also modelled in BG-Flood under the different sea level rise increments. These results were then used in the exposure analysis to determine the assets that would already be exposed to sea level rise even without the far-field tsunami. There are no sea level records from the Apia Tide Gauge between 2 March 2011 at 0800 and 24 March 2011 at 0300 due to instrument faults, meaning that the relevant tide for the tsunami had to be predicted. This was carried out by first calculating the tidal constituent from the hourly tide gauge data from 1994 to 2021 using the UTide Matlab package. The constituents were then used to predict the tide level for 11 March 2011 using the tide prediction function of UTide.
The tsunami wave generated from the source and propagation modelling was added to the predicted tide from the 11 March 2011 and the SLR increment to use as the boundary forcing for the north boundary of the tsunami simulations. The tide and SLR increment only was used as the boundary forcing for the other three sides of the tsunami simulation domain, and all domain sides for the tide simulations.
A simplified roughness map forcing was used in all simulations. The map was generated by applying a low roughness (0.0001 m) for elevations lower than −20 m (i.e., 20 m below datum), and a value of 0.01 m was used for areas with elevations above the −20 m threshold. The roughness map was used to represent the high roughness from the fringing reefs, mangroves, and coastal vegetation in contrast to the relatively smooth seafloor of the continental shelf and deep ocean. Outputs of this model were in the network common data form (netCDF) file format, with the highest inundation extent extracted for use in the subsequent exposure and damage analysis.
Validation of the model was limited due to the lack of Apia Tide Gauge data. Eyewitnesses from the 2011 tsunami event in Samoa observed the inundation of only one building in Fagaloa Bay. As seen in Figure 2, the tide alone did not result in the inundation of this building, yet when coupled with the tsunami, this building becomes inundated as expected, which helps to validate our model.

3.3. Tsunami Damage Analysis

Cumulative tsunami damages in response to RSLR were analysed using the multi-hazard impact model framework supported by the RiskScape software [35]. RiskScape implements modeller-defined risk quantification workflows as model pipelines. Model pipeline steps and functions enable the analysis of hazard, exposure, and vulnerability data across different spatio-temporal domains using geoprocessing and spatial sampling operations. Pipelines configured to analyse direct physical damage to buildings in this study are presented in Figure 3, with building structures selected for damage analysis due to their socio-economic importance in tsunami preparedness, response, and recovery activities.
In addition to the tsunami hazard scenarios presented in Section 3.2, exposure and vulnerability information provide model inputs to quantify the direct physical damage to buildings. Buildings located within the maximum modelled tsunami run-up extent were acquired from Sischka et al. (2022) [36]. Building outlines were represented as polygons with construction frame attribute characteristics.
To model the damages to buildings exposed to tsunami inundation, we used fragility curves which relate a tsunami hazard intensity measure (e.g., flow depth) to the conditional probability of built structures reaching or exceeding a given damage state [37]. In this study, direct physical damage is assessed using empirical fragility curves that represent surveyed Samoan buildings damaged in the 2009 South Pacific Tsunami [38]. The curves denote a lognormal cumulative density function (CDF) that estimates conditional probabilities of buildings reaching specific damage states (DS) in response to maximum tsunami flow depth (m) (Table 1), for ‘timber’, ‘masonry’, and ‘reinforced concrete’ construction frame typologies. These construction frame typologies represent over 90% of buildings potentially exposed to tsunami hazards in Samoa [39], thereby providing sufficient representation of direct physical damage for buildings in the study area. Where µ (mean) and σ (standard deviation) damage state coefficients are unavailable for timber and reinforced concrete typologies (Table 1), or where construction frame attributes were absent and could not be attributed to buildings, masonry fragility curves were applied to calculate the conditional DS probabilities.
Figure 3. RiskScape framework showing the modelling workflow, data inputs, and outputs [27,36,38].
Figure 3. RiskScape framework showing the modelling workflow, data inputs, and outputs [27,36,38].
Jmse 11 00945 g003
A model pipeline was developed to quantify the direct tsunami exposure and physical damage to buildings in RiskScape (Figure 3). Individual tsunami hazard and RSLR scenarios consisted of two digital maps representing (1) tsunami flow depth, and (2) permanent tide without tsunami inundation. Buildings exposed to tide inundation depths >0.05 m were identified as permanently inundated and removed from the physical damage analysis. A maximum flow depth for built structures episodically exposed to tsunami hazards was then determined from spatial sampling of grids intersecting the buildings’ outline polygons. Maximum flow depth was applied in object-specific building curves to calculate the conditional probability of each DS, which were then weighted to estimate the damage probability (0–1) for each building object.

4. Results

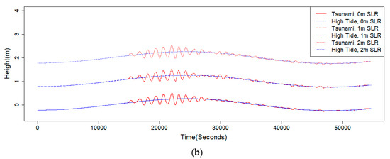
Modelling results of the 2011 Tōhoku-oki-type tsunami in Samoa corroborate eye-witness observations that the impacts of inundation were minimal and predominantly confined to Fagaloa Bay in northeast Upolu. The tsunami arrival coincided with low tide and resulted in the inundation of one building located on the coastline in Fagaloa Bay (Figure 2). Under increasing SLR, the impacts of a similar magnitude event are more severe. For example, Figure 4 and Figure 5 show increases in wave amplification for a Tōhoku-oki-type tsunami at the coast in Apia and Fagaloa Bay with increasing sea levels, with the extent of tsunami flooding and expected damage in these locations becoming more widespread and severe. This wave amplification is due to tsunami resonance in Fagaloa Bay and at the Apia tide gauge, caused by boundary reflection and the bathymetry of these two locations [40].
Additionally, more buildings become exposed to inundation as well as experience greater severity of tsunami damage impacts with increasing sea level rise, as evident in the higher probable damage states (Figure 6 and Figure 7). This is explained by the greater tsunami inundation extents and increases in flood depths above ground level at any given location within the inundation exposure zone under corresponding incremental SLR. This results in more buildings experiencing over a 50% probability of reaching or exceeding DS5, meaning they are likely to be completely destroyed or washed away. For example, the scenario in which the tsunami arrives at high tide with 2 m of SLR destroys 1142 buildings across the entire country compared with 250 buildings for the scenario with 1 m of SLR.
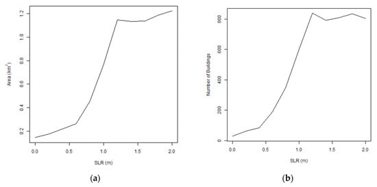
Importantly, many of the buildings inundated by this characteristic tsunami type under a 1 m SLR scenario are within the high tide inundation zone. This implies that buildings in these locations will be subjected to permanent flooding, whereby habitability will likely be compromised when the sea level reaches 1 m above its current level in future (e.g., Figure 8). The difference between the tsunami and permanent tide inundation extent increases dramatically after 0.6 m RSLR from 0.26 km2 to 1.14 km2 by 1.2 m RLSR (Figure 9a). A similar trend is observed for tsunami-exposed buildings with the permanent tide inundation removed. That is, 189 buildings are exposed with 0.6 m RSLR, but 838 are exposed with 1.2 m RSLR (Figure 9b). After 1.2 m RSLR, the combined tsunami and permanent tide inundation extent and number of exposed buildings becomes more even.
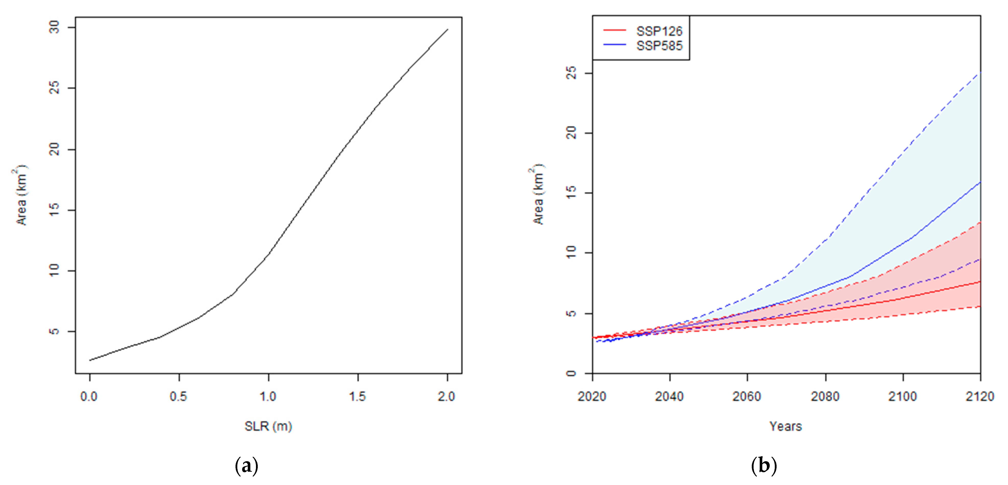
As demonstrated by Figure 10, as the RSLR increases, so does the area that is exposed to the total inundation extent. From this these results clearly indicate that the number of buildings exposed is proportional to the inundation extent, i.e., increasing as RSLR increases (Figure 11). The maximum number of buildings exposed to tide is 9056, which occurs with 2 m SLR, compared to 9860 exposed to the tsunami, a difference of 804. Based on the Intergovernmental Panel on Climate Change (IPCC) shared socioeconomic pathway (SSP) climate change scenarios, where SSP1-2.6 represents low greenhouse gas emission scenarios, and SSP5-8.5 represents continuing high emissions of greenhouse gases [41], by the year 2100 the likely number of buildings exposed to the tide only could be as low as 529 (SSP1-2.6, quantile 17), or as high as 4916 (SSP5-8.5, quantile 83). Likewise, buildings exposed to the tsunami wave could be between 615 (SSP1-2.6, quantile 17) and 5707 (SSP5-8.5, quantile 83). With SSP1-2.6 (quantile 17), an extra 86 buildings are exposed to the tsunami; however, for SSP5-8.5 (quantile 83), an additional 791 buildings are exposed.
The number of buildings with an over 50% probability of reaching/exceeding DS5, which are likely to be fully destroyed or washed away, also increases significantly as RSLR increases (Figure 12). By 2100, it is likely that the tsunami and tide combined could result in approx. 55 buildings (SSP1-2.6, quantile 17) to 430 buildings (SSP5-8.5, quantile 83) reaching/exceeding DS5.

5. Discussion

The 2011 Tōhoku-oki event represents one of the most destructive tsunamis to have occurred in the 21st century in terms of losses and damage, with far-field effects experienced in Fagaloa Bay, Samoa, approximately 7500 km southeast of the source. Whilst the impacts of tsunami inundation from this event in Samoa were minimal, the results of our study suggest that a similar far-field-type event occurring under a future SLR of 1 m and 2 m could impact up to 2082 and 9440 more buildings, respectively, compared with present-day exposure levels. When removing the buildings already exposed to permanent tide inundation, if a similar event were to occur with 1 m and 2 m of SLR, it is likely to expose 570 and 774 more buildings, respectively. These increases in exposure are explained by the greater tsunami inundation extents and corresponding flow depths above ground level under the incremental SLR scenarios assessed.
Based on sea level rise projections for Samoa under a high emission, low mitigation, shared socioeconomic pathway scenario (SSP5-8.5) with medium confidence at the 17th–83rd quantile, 0.5 m SLR is likely to be reached/exceeded in Samoa between the decades 2050–2080, 1 m SLR will likely be reached/exceeded by 2080–2130, and 2 m SLR will likely be reached/exceeded as early as 2130–2140 in a worst-case scenario [41]. Furthermore, post-2009 South Pacific earthquake subsidence in Samoa is occurring at a particularly fast rate of 8–16 mm/year [18], which exacerbates SLR and implies that a SLR of 1 m could be reached/exceeded earlier than current projections for these islands.
Interestingly, our results indicate that one of the greatest risks to buildings was the SLR itself rather than the characteristic far-field tsunami-type that we had assessed. While the modelled inundation extents combining permanent tide and tsunami consistently showed the tsunami extent being greater than the tide, the increase in sea level is what drives the extension of inundation further inland and subsequent increase in building exposure and damage. After approximately 0.6 m SLR, the tsunami and permanent tide extents start to diverge more significantly, with this divergence highest after 1 m (Figure 11). This indicates that an approx. 1 m SLR threshold is where far-field tsunamis, such as the 2011 Tōhoku-oki-type event, may become more problematic. These observations are consistent with similar findings by Nagai et al. (2020) [13], who showed that tsunami risk to life in the cities of Yokohama and Kawasaki in Japan become significantly affected once sea levels reach +1.0 m higher than at present.
While our results show compelling evidence for the effects of SLR on exacerbating far-field tsunami inundation risk throughout the 21st century in Samoa, one of the main problems with the modelling approach taken was the absence of Apia tide gauge data for validation of the event at the time of its occurrence in 2011. This was due to the Apia tide gauge being temporarily non-operational when the 2011 event occurred. Nevertheless, eyewitness accounts of inundation collected by the Samoa Disaster Management Office in Fagaloa Bay after the event provided a means to corroborate, in part, the modelled runup in this study. The consistent modelled-to-observed results of the 2011 event in Fagaloa Bay, along with modelling corroborations in [32], aid in substantiating its usage as a characteristic-type far-field event in our incremental SLR scenario modelling.
Overall, our results indicate that far-field tsunami inundation in Samoa similar to a 2011 Tōhoku-oki-type event will be exacerbated throughout the 21st century with rising sea levels, posing significant coastal resilience challenges once sea levels reach/exceed +1.0 m. In contrast to high volcanic islands of the Pacific, such as Samoa, our findings have major implications for tsunami inundation risk in low-lying atolls which typically have summits of less than 5–10 m above sea level. These observations lead us to suggest that incorporating the effects of SLR in tsunami hazard risk modelling assessments in Pacific Island environments should be considered for use in longer-term coastal resilience and adaptation planning.
Notwithstanding the focus of this study, the findings imply that SLR will compound the impacts of near-field tsunamis which presently expose large quantities of assets (e.g., [36,42,43]) and can cause destructive damages and losses (e.g., [36,38]). Similar inferences could be made for high-frequency, low-magnitude, coastal inundation hazards, such as king tides and cyclone-related storm surges (e.g., [44]), whereby RSLR may compound present day exposure and impact levels across the Pacific.

6. Conclusions

This study set out to assess the effects that rising sea level may have on far-field tsunami inundation exposure and impacts to buildings in a Pacific Island context. Using a characteristic 2011 Tōhoku-oki-type far-field tsunami scenario in Samoa, we show that incremental SLR over the 21st century results in greater tsunami inundation extents and corresponding flood depths above ground level. In turn, this exposes more buildings to more severe damage with each progressive rise in SLR, with tsunami impacts becoming significant once SLR reaches/exceeds +1.0 m. Based on a high-emissions, low-mitigation SSP5-8.5 SLR scenario for Samoa, it is likely that this threshold will be reached by the decades 2080–2130. This timing could be sooner depending on whether the current rates of rapid land subsidence in Samoa continue, relative to any potential increases in the current rate of SLR in the coming decades for this region under low mitigation scenarios. Overall, our findings have planning implications for similar environmental settings in the Pacific and point towards a need to incorporate the effects of SLR in future tsunami inundation risk assessments.

Author Contributions

Conceptualization, R.W., S.W., R.P. and C.B.; methodology, S.W., R.P., R.W. and C.B.; software, C.B. and R.P.; validation, C.B. and R.W.; formal analysis, R.W., S.W., C.B., R.P., J.C.T., A.W. and L.T.; investigation, R.W., C.B. and A.W.; resources, S.W. and R.P.; data curation, R.P., R.W., J.C.T., L.T. and C.B.; writing—original draft preparation, R.W., S.W., R.P. and C.B.; writing—review and editing, R.W., S.W., C.B., R.P., J.C.T., A.W. and L.T.; visualization, R.W. and C.B.; supervision, S.W., C.B. and R.P.; project administration, S.W.; funding acquisition, R.P. All authors have read and agreed to the published version of the manuscript.

Funding

The APC was funded by Ministry of Business, Innovation and Employment: NIWA Taihoro Nukurangi SSIF Project No: CARH2305.

Institutional Review Board Statement

Not applicable.

Informed Consent Statement

Not applicable.

Data Availability Statement

The open-source BG-Flood model is available at (https://github.com/CyprienBosserelle/BG_Flood) (accessed on 1 May 2022), and the code version used in this research is archived at (http://doi.org/10.5281/zenodo.3905416) (accessed on 1 May 2022). The RiskScape modelling software is available at (https://riskscape.org.nz/) (accessed on 26 May 2022). LiDAR data were obtained via formal request from the Samoa Ministry of Natural Resources Environment (MNRE). Results of exposed buildings produced in this study are archived at MNRE, NIWA, and the Pacific Community (SPC).

Acknowledgments

This research was supported by the New Zealand National Institute of Water and Atmospheric Research (NIWA) Taihoro Nukurangi Strategic Science Investment Fund Project No. CARH2305 (R. Welsh, S. Williams, C. Bosserelle, R. Paulik, A. Wild). J.C. Ting and L. Talia were supported through the MNRE–NIWA Collaborative Research Platform No. FY2122. The authors thank the two anonymous reviewers for the constructive feedback which helped to improve the paper.

Conflicts of Interest

The authors declare no conflict of interest.

References

  1. Kulp, S.A.; Strauss, B.H. New elevation data triple estimates of global vulnerability to sea-level rise and coastal flooding. Nat. Commun. 2019, 10, 4844. [Google Scholar] [CrossRef]
  2. Hauer, M.E.; Hardy, D.; Kulp, S.A.; Mueller, V.; Wrathall, D.J.; Clark, P.U. Assessing population exposure to coastal flooding due to sea level rise. Nat. Commun. 2021, 12, 6900. [Google Scholar] [CrossRef] [PubMed]
  3. Andrew, N.L.; Bright, P.; De La Rua, L.; Teoh, S.J.; Vickers, M. Coastal proximity of populations in 22 Pacific Island Countries and Territories. PLoS ONE 2019, 14, e0223249. [Google Scholar] [CrossRef]
  4. Desmet, K.; Kopp, R.; Kulp, S.; Nagy, D.K.; Oppenheimer, M.; Rossi-Hansberg, E.; Strauss, B. Evaluating the Economic Cost of Coastal Flooding. Am. Econ. J. Macroecon. 2021, 13, 444–486. [Google Scholar] [CrossRef]
  5. Hinkel, J.; Lincke, D.; Vafeidis, A.T.; Perrette, M.; Nicholls, R.J.; Tol, R.S.J.; Marzeion, B.; Fettweis, X.; Ionescu, C.; Levermann, A. Coastal flood damage and adaptation costs under 21st century sea-level rise. Proc. Natl. Acad. Sci. USA 2014, 111, 3292–3297. [Google Scholar] [CrossRef] [PubMed]
  6. Kirezci, E.; Young, I.R.; Ranasinghe, R.; Muis, S.; Nicholls, R.J.; Lincke, D.; Hinkel, J. Projections of global-scale extreme sea levels and resulting episodic coastal flooding over the 21st Century. Sci. Rep. 2020, 10, 11629. [Google Scholar] [CrossRef]
  7. Hummel, M.A.; Griffin, R.; Arkema, K.; Guerry, A.D. Economic evaluation of sea-level rise adaptation strongly influenced by hydrodynamic feedbacks. Proc. Natl. Acad. Sci. USA 2021, 118, e2025961118. [Google Scholar] [CrossRef]
  8. Kopp, R.E.; Horton, R.M.; Little, C.M.; Mitrovica, J.X.; Oppenheimer, M.; Rasmussen, D.J.; Strauss, B.H.; Tebaldi, C. Probabilistic 21st and 22nd century sea-level projections at a global network of tide-gauge sites. Earth Futur. 2014, 2, 383–406. [Google Scholar] [CrossRef]
  9. Sweet, W.V.; Park, J. From the extreme to the mean: Acceleration and tipping points of coastal inundation from sea level rise. Earth Futur. 2014, 2, 579–600. [Google Scholar] [CrossRef]
  10. Neumann, J.E.; Emanuel, K.; Ravela, S.; Ludwig, L.; Kirshen, P.; Bosma, K.; Martinich, J. Joint effects of storm surge and sea-level rise on US Coasts: New economic estimates of impacts, adaptation, and benefits of mitigation policy. Clim. Chang. 2014, 129, 337–349. [Google Scholar] [CrossRef]
  11. Muis, S.; Verlaan, M.; Winsemius, H.C.; Aerts, J.C.; Ward, P.J. A global reanalysis of storm surges and extreme sea levels. Nat. Commun. 2016, 7, 11969. [Google Scholar] [CrossRef] [PubMed]
  12. Li, L.; Switzer, A.D.; Wang, Y.; Chan, C.-H.; Qiu, Q.; Weiss, R. A modest 0.5-m rise in sea level will double the tsunami hazard in Macau. Sci. Adv. 2018, 4, eaat1180. [Google Scholar] [CrossRef] [PubMed]
  13. Nagai, R.; Takabatake, T.; Esteban, M.; Ishii, H.; Shibayama, T. Tsunami risk hazard in Tokyo Bay: The challenge of future sea level rise. Int. J. Disaster Risk Reduct. 2019, 45, 101321. [Google Scholar] [CrossRef]
  14. Dura, T.; Garner, A.J.; Weiss, R.; Kopp, R.E.; Engelhart, S.E.; Witter, R.C.; Briggs, R.W.; Mueller, C.S.; Nelson, A.R.; Horton, B.P. Changing impacts of Alaska-Aleutian subduction zone tsunamis in California under future sea-level rise. Nat. Commun. 2021, 12, 7119. [Google Scholar] [CrossRef]
  15. Koyano, K.; Takabatake, T.; Esteban, M.; Shibayama, T. Magnification of Tsunami Risks Due to Sea Level Rise Along the Eastern Coastline of Japan. J. Coast. Hydraul. Struct. 2022, 2, 1–21. [Google Scholar] [CrossRef]
  16. Orpin, A.R.; Rickard, G.J.; Gerring, P.K.; Lamarche, G. Tsunami hazard potential for the equatorial southwestern Pacific atolls of Tokelau from scenario-based simulations. Nat. Hazards Earth Syst. Sci. 2016, 16, 1239–1257. [Google Scholar] [CrossRef]
  17. Wang, Y.; Satake, K.; Cienfuegos, R.; Quiroz, M.; Navarrete, P. Far-field tsunami data assimilation for the 2015 Illapel earthquake. Geophys. J. Int. 2019, 219, 514–521. [Google Scholar] [CrossRef]
  18. Han, S.; Sauber, J.; Pollitz, F.; Ray, R. Sea Level Rise in the Samoan Islands Escalated by Viscoelastic Relaxation After the 2009 Samoa-Tonga Earthquake. J. Geophys. Res. Solid Earth 2019, 124, 4142–4156. [Google Scholar] [CrossRef]
  19. Williams, S.; Titimaea, A.; Bosserelle, C.; Simanu, L.; Prasetya, G. Reassessment of Long-Term Tsunami Hazards in Samoa Based on Sedimentary Signatures. Geosciences 2020, 10, 481. [Google Scholar] [CrossRef]
  20. Keating, B.H.; Helsley, C.E.; Karogodina, I. Sonar Studies of Submarine Mass Wasting and Volcanic structures off Savaii Island, Samoa. Pure Appl. Geophys. 2000, 157, 1285–1313. [Google Scholar] [CrossRef]
  21. Pacific Community (SPC). Tsunami Wave Heights Generated by the Hunga Volcano Eruption across the Pacific. 2022. Available online: https://gem.spc.int/updates/blog/2022/01/tsunami-wave-heights-generated-by-the-hunga-volcano-eruption-across-the (accessed on 12 April 2023).
  22. Németh, K.; Cronin, S. Volcanic structures and oral traditions of volcanism of Western Samoa (SW Pacific) and their implications for hazard education. J. Volcanol. Geotherm. Res. 2009, 186, 223–237. [Google Scholar] [CrossRef]
  23. Roeber, V.; Yamazaki, Y.; Cheung, K.F. Resonance and impact of the 2009 Samoa tsunami around Tutuila, American Samoa. Geophys. Res. Lett. 2010, 37, L21604. [Google Scholar] [CrossRef]
  24. Bosserelle, C.; Williams, S.; Cheung, K.F.; Lay, T.; Yamazaki, Y.; Simi, T.; Roeber, V.; Lane, E.; Paulik, R.; Simanu, L. Effects of Source Faulting and Fringing Reefs on the 2009 South Pacific Tsunami Inundation in Southeast Upolu, Samoa. J. Geophys. Res. Ocean. 2020, 125, e2020JC016537. [Google Scholar] [CrossRef]
  25. Wang, Y.; Zamora, N.; Quiroz, M.; Satake, K.; Cienfuegos, R. Tsunami Resonance Characterization in Japan Due to Trans-Pacific Sources: Response on the Bay and Continental Shelf. J. Geophys. Res. Ocean. 2021, 126, e2020JC017037. [Google Scholar] [CrossRef]
  26. Bosserelle, C.; Lane, E.; Harang, A. BG-Flood: A GPU adaptive, open-source, general inundation hazard model. In Proceedings of the Australasian Coasts & Ports 2021 Conference, Christchurch, New Zealand, 11–13 April 2022. [Google Scholar]
  27. Yamazaki, Y.; Cheung, K.F.; Lay, T. A self-consistent fault slip model for the 2011 Tōhoku earthquake and tsunami. J. Geophys. Res. Solid Earth 2018, 123, 1435–1458. [Google Scholar] [CrossRef]
  28. Okada, Y. Surface deformation due to shear and tensile faults in a half-space. Bull. Seism. Soc. Am. 1985, 75, 1135–1154. [Google Scholar] [CrossRef]
  29. Popinet, S. Quadtree-adaptive tsunami modelling. Ocean Dyn. 2011, 61, 1261–1285. [Google Scholar] [CrossRef]
  30. Vacondio, R.; Dal Palù, A.; Ferrari, A.; Mignosa, P.; Aureli, F.; Dazzi, S. A non-uniform efficient grid type for GPU-parallel Shallow Water Equations models. Environ. Model. Softw. 2017, 88, 119–137. [Google Scholar] [CrossRef]
  31. Popinet, S. Adaptive modelling of long-distance wave propagation and fine-scale flooding during the Tohoku tsunami. Nat. Hazards Earth Syst. Sci. 2012, 12, 1213–1227. [Google Scholar] [CrossRef]
  32. Giblin, J.; Damlamian, H. Tsunami Hazard Assessment: Samoa Case Study; Pacific Community (SPC): Suva, Fiji, 2022. [Google Scholar]
  33. Krüger, J.; Kumar, S. Samoa Technical Report: High-resolution Bathymetric Survey; EU-SOPAC Project Report ER 112; Pacific Islands Applied Geoscience Commission: Suva, Fiji, 2008. [Google Scholar]
  34. FUGRO. Report of Survey: Airborne Lidar Bathymetric and Topographic Survey of Samoa 2015; Contract: ECRCR-LIB 2.1, Fugro LADS Document Reference No: TLCS00.047.008, Issue No: 1.00; Fugro LADS Corporation Pty Ltd.: Kidman Park, Australia, 2016. [Google Scholar]
  35. Paulik, R.; Horspool, N.; Woods, R.; Griffiths, N.; Beale, T.; Magill, C.; Wild, A.; Popovich, B.; Walbran, G.; Garlick, R. RiskScape: A flexible multi-hazard risk modelling engine. Nat. Hazards 2022, 1–18. [Google Scholar] [CrossRef]
  36. Sischka, L.; Bosserelle, C.; Williams, S.; Ting, J.C.; Paulik, R.; Whitworth, M.; Talia, L.; Viskovic, P. Reconstructing the 26 June 1917 Samoa Tsunami Disaster. Appl. Sci. 2022, 12, 3389. [Google Scholar] [CrossRef]
  37. Tarbotton, C.; Dall’Osso, F.; Dominey-Howes, D.; Goff, J. The use of empirical vulnerability functions to assess the response of buildings to tsunami impact: Comparative review and summary of best practice. Earth-Sci. Rev. 2015, 142, 120–134. [Google Scholar] [CrossRef]
  38. Reese, S.; Bradley, B.A.; Bind, J.; Smart, G.; Power, W.; Sturman, J. Empirical building fragilities from observed damage in the 2009 South Pacific tsunami. Earth-Sci. Rev. 2011, 107, 156–173. [Google Scholar] [CrossRef]
  39. Paulik, R.; Williams, S.; Simi, T.; Bosserelle, C.; Ting, J.C.; Simanu, L. Evaluating building exposure and economic loss changes after the 2009 South Pacific Tsunami. Int. J. Disaster Risk Reduct. 2021, 56, 102131. [Google Scholar] [CrossRef]
  40. Wang, Y.; Su, H.; Ren, Z.; Ma, Y. Source Properties and Resonance Characteristics of the Tsunami Generated by the 2021 M 8.2 Alaska Earthquake. J. Geophys. Res. Ocean. 2022, 127, e2021JC018308. [Google Scholar] [CrossRef]
  41. IPCC (Intergovernmental Panel on Climate Change). Summary for Policymakers. In Climate Change 2021: The Physical Science Basis; Contribution of Working Group I to the Sixth Assessment Report of the Intergovernmental Panel on Climate Change; Masson-Delmotte, V., Zhai, P., Pirani, A., Connors, S.L., Péan, C., Berger, S., Caud, N., Chen, Y., Goldfarb, L., Gomis, M.I., et al., Eds.; Cambridge University Press: Cambridge, UK, 2021; in press. [Google Scholar]
  42. Williams, S.; Paulik, R.; Weaving, R.; Bosserelle, C.; Ting, J.C.; Wall, K.; Simi, T.; Scheele, F. Multiscale Quantification of Tsunami Hazard Exposure in a Pacific Small Island Developing State: The Case of Samoa. Geohazards 2021, 2, 63–79. [Google Scholar] [CrossRef]
  43. Williams, S.; Weaving, R.; Bosserelle, C.; Paulik, R.; Chan Ting, J.; Wall, K.; Simi, T. Impact of modelled tsunamigenesis on inundation and exposure for a discrete event: The 2009 Samoa tsunami. In Proceedings of the Australasian Coasts & Ports 2021 Conference, Christchurch, New Zealand, 11–13 April 2022. [Google Scholar]
  44. Hoeke, R.K.; Damlamian, H.; Aucan, J.; Wandres, M. Severe Flooding in the Atoll Nations of Tuvalu and Kiribati Triggered by a Distant Tropical Cyclone Pam. Front. Mar. Sci. 2021, 7, 539646. [Google Scholar] [CrossRef]
Figure 1. (a) Samoan Islands. The inundation model bathymetry and mesh layout (transparent thin black boxes) are shown. Each black box represents a block of the adaptive mesh with each block representing 16 × 16 model cells. (b) Apia city and (c) Fagaloa Bay on the north of Upolu Island are directly exposed to far-field tsunamis generated from source regions along the northern Pacific Ring of Fire.
Figure 1. (a) Samoan Islands. The inundation model bathymetry and mesh layout (transparent thin black boxes) are shown. Each black box represents a block of the adaptive mesh with each block representing 16 × 16 model cells. (b) Apia city and (c) Fagaloa Bay on the north of Upolu Island are directly exposed to far-field tsunamis generated from source regions along the northern Pacific Ring of Fire.
Jmse 11 00945 g001
Figure 2. Maximum inundation extent of modelled tsunami wave in Fagaloa Bay. The inundated building of interest used for validation is shown in red.
Figure 2. Maximum inundation extent of modelled tsunami wave in Fagaloa Bay. The inundated building of interest used for validation is shown in red.
Jmse 11 00945 g002
Figure 4. Time series graph showing (a) the modelled Tōhoku tsunami wave at Fagaloa Bay; (b) the modelled Tōhoku tsunami wave arriving at high tide with 0 m SLR, 1 m SLR, and 2 m SLR at Fagaloa Bay.
Figure 4. Time series graph showing (a) the modelled Tōhoku tsunami wave at Fagaloa Bay; (b) the modelled Tōhoku tsunami wave arriving at high tide with 0 m SLR, 1 m SLR, and 2 m SLR at Fagaloa Bay.
Jmse 11 00945 g004
Figure 5. Time series graph showing: (a) the modelled Tōhoku Tsunami wave at the Apia Tide Gauge; (b) the modelled Tōhoku tsunami wave arriving at high tide with 0 m SLR, 1 m SLR, and 2 m SLR.
Figure 5. Time series graph showing: (a) the modelled Tōhoku Tsunami wave at the Apia Tide Gauge; (b) the modelled Tōhoku tsunami wave arriving at high tide with 0 m SLR, 1 m SLR, and 2 m SLR.
Jmse 11 00945 g005aJmse 11 00945 g005b
Figure 6. Most probable damage states of buildings in Apia exposed to (a) Tōhoku Tsunami wave; (b) Tōhoku Tsunami wave arriving at high tide with 0 m SLR; (c) Tōhoku Tsunami wave arriving at high tide with 1 m SLR; (d) Tōhoku Tsunami wave arriving at high tide with 2 m SLR.
Figure 6. Most probable damage states of buildings in Apia exposed to (a) Tōhoku Tsunami wave; (b) Tōhoku Tsunami wave arriving at high tide with 0 m SLR; (c) Tōhoku Tsunami wave arriving at high tide with 1 m SLR; (d) Tōhoku Tsunami wave arriving at high tide with 2 m SLR.
Jmse 11 00945 g006
Figure 7. Most probable building damage states in Fagaloa Bay for (a) Tōhoku Tsunami wave; (b) Tōhoku Tsunami wave arriving at high tide with 0 m SLR; (c) Tōhoku Tsunami wave arriving at high tide with 1 m SLR; (d) Tōhoku Tsunami wave arriving at high tide with 2 m SLR.
Figure 7. Most probable building damage states in Fagaloa Bay for (a) Tōhoku Tsunami wave; (b) Tōhoku Tsunami wave arriving at high tide with 0 m SLR; (c) Tōhoku Tsunami wave arriving at high tide with 1 m SLR; (d) Tōhoku Tsunami wave arriving at high tide with 2 m SLR.
Jmse 11 00945 g007
Figure 8. Tsunami and tide extents in Fagaloa Bay for (a) Tōhoku Tsunami wave and tide on 11 March 2011; (b) Tōhoku Tsunami wave hitting at high tide with 0 m SLR and tide on 11 March 2011; (c) Tōhoku Tsunami wave hitting at high tide with 1 m SLR and tide on 11 March 2011; (d) Tōhoku Tsunami wave hitting at high tide with 2 m SLR and tide on 11 March 2011.
Figure 8. Tsunami and tide extents in Fagaloa Bay for (a) Tōhoku Tsunami wave and tide on 11 March 2011; (b) Tōhoku Tsunami wave hitting at high tide with 0 m SLR and tide on 11 March 2011; (c) Tōhoku Tsunami wave hitting at high tide with 1 m SLR and tide on 11 March 2011; (d) Tōhoku Tsunami wave hitting at high tide with 2 m SLR and tide on 11 March 2011.
Jmse 11 00945 g008
Figure 9. Difference between tsunami and tide for (a) inundation extents and (b) the number of buildings exposed.
Figure 9. Difference between tsunami and tide for (a) inundation extents and (b) the number of buildings exposed.
Jmse 11 00945 g009
Figure 10. Tsunami inundation extent under (a) different SLR increments and (b) different shared socioeconomic pathway (SSP) climate change scenarios.
Figure 10. Tsunami inundation extent under (a) different SLR increments and (b) different shared socioeconomic pathway (SSP) climate change scenarios.
Jmse 11 00945 g010
Figure 11. Buildings exposed to (a) tide under different SLR increments; (b) tide under SSP1-2.6/SSP5-8.5; (c) tsunami under different SLR increments; (d) tsunami under SSP1-2.6/SSP5-8.5.
Figure 11. Buildings exposed to (a) tide under different SLR increments; (b) tide under SSP1-2.6/SSP5-8.5; (c) tsunami under different SLR increments; (d) tsunami under SSP1-2.6/SSP5-8.5.
Jmse 11 00945 g011
Figure 12. Number of buildings with a 50% probability of reaching or exceeding DS5 for (a) SLR increments; (b) years in response to SLR under SSP1-2.6 and SSP5-8.5.
Figure 12. Number of buildings with a 50% probability of reaching or exceeding DS5 for (a) SLR increments; (b) years in response to SLR under SSP1-2.6 and SSP5-8.5.
Jmse 11 00945 g012
Table 1. Summary of tsunami fragility curve parameters for buildings applied in this study. Masonry parameters for DS1 and DS2 were applied for timber and reinforced concrete building construction frames.
Table 1. Summary of tsunami fragility curve parameters for buildings applied in this study. Masonry parameters for DS1 and DS2 were applied for timber and reinforced concrete building construction frames.
Damage State (DS)Damage DescriptionConstruction Frame
TimberMasonryReinforced Concrete
µσµσµσ
0None------
DS1 LightNon-structural damage only--0.290.46--
DS2 MinorSignificant non-structural and minor structural damage--0.460.4--
DS3 ModerateSignificant structural and non-structural damage 1.150.381.280.351.380.56
DS4 SevereIrreparable structural damage, will require demolition1.260.41.860.413.450.54
DS5 Collapse Complete structural collapse1.620.282.490.47.30.94
Disclaimer/Publisher’s Note: The statements, opinions and data contained in all publications are solely those of the individual author(s) and contributor(s) and not of MDPI and/or the editor(s). MDPI and/or the editor(s) disclaim responsibility for any injury to people or property resulting from any ideas, methods, instructions or products referred to in the content.

Share and Cite

MDPI and ACS Style

Welsh, R.; Williams, S.; Bosserelle, C.; Paulik, R.; Chan Ting, J.; Wild, A.; Talia, L. Sea-Level Rise Effects on Changing Hazard Exposure to Far-Field Tsunamis in a Volcanic Pacific Island. J. Mar. Sci. Eng. 2023, 11, 945. https://doi.org/10.3390/jmse11050945

AMA Style

Welsh R, Williams S, Bosserelle C, Paulik R, Chan Ting J, Wild A, Talia L. Sea-Level Rise Effects on Changing Hazard Exposure to Far-Field Tsunamis in a Volcanic Pacific Island. Journal of Marine Science and Engineering. 2023; 11(5):945. https://doi.org/10.3390/jmse11050945

Chicago/Turabian Style

Welsh, Rebecca, Shaun Williams, Cyprien Bosserelle, Ryan Paulik, Josephina Chan Ting, Alec Wild, and Lameko Talia. 2023. "Sea-Level Rise Effects on Changing Hazard Exposure to Far-Field Tsunamis in a Volcanic Pacific Island" Journal of Marine Science and Engineering 11, no. 5: 945. https://doi.org/10.3390/jmse11050945

APA Style

Welsh, R., Williams, S., Bosserelle, C., Paulik, R., Chan Ting, J., Wild, A., & Talia, L. (2023). Sea-Level Rise Effects on Changing Hazard Exposure to Far-Field Tsunamis in a Volcanic Pacific Island. Journal of Marine Science and Engineering, 11(5), 945. https://doi.org/10.3390/jmse11050945

Note that from the first issue of 2016, this journal uses article numbers instead of page numbers. See further details here.

Article Metrics

Back to TopTop