Robust Finite-Time Control of a Multi-AUV Formation Based on Prescribed Performance
Abstract
1. Introduction
- An improved prescribed-performance function is proposed to constrain the constrained state-tracking error so that the system-tracking error is constrained to a preset range, and an error-conversion function is used to convert the system-tracking error to an unconstrained tracking error to facilitate controller design.
- For unknown disturbances in the ocean, finite-time sliding-mode disturbance observers are designed so that they can accurately estimate unknown disturbances in finite time.
- The feedback-linearization method is applied to transform the nonlinear AUV model into a second-order integral model and design a fast terminal sliding-mode formation controller based on unconstrained tracking errors and unknown perturbation observations so that the multi-AUV formation can converge in a limited amount of time.
2. Building Nonlinear AUV Model and Feedback Linearization
2.1. Nonlinear AUV Model
2.2. AUV Feedback-Linearization Model
3. Problem Description and Preparatory Knowledge
3.1. Problem Description
3.2. Preparatory Knowledge
4. Performance-Function Design and Error Transformation
4.1. Performance-Function Improvement
4.2. Error Conversion
5. Prescribed Performance-Based Formation-Controller Design under Unknown Perturbations
5.1. Sliding-Mode Interference-Observer Design
5.1.1. Common Slip-Mode Interference Observer
5.1.2. Finite-Time Sliding-Mode Interference Observer
5.2. Sliding-Mode Interference-Observer Design
5.3. Formation-Controller Stability Analysis
6. Simulation Verification and Analysis
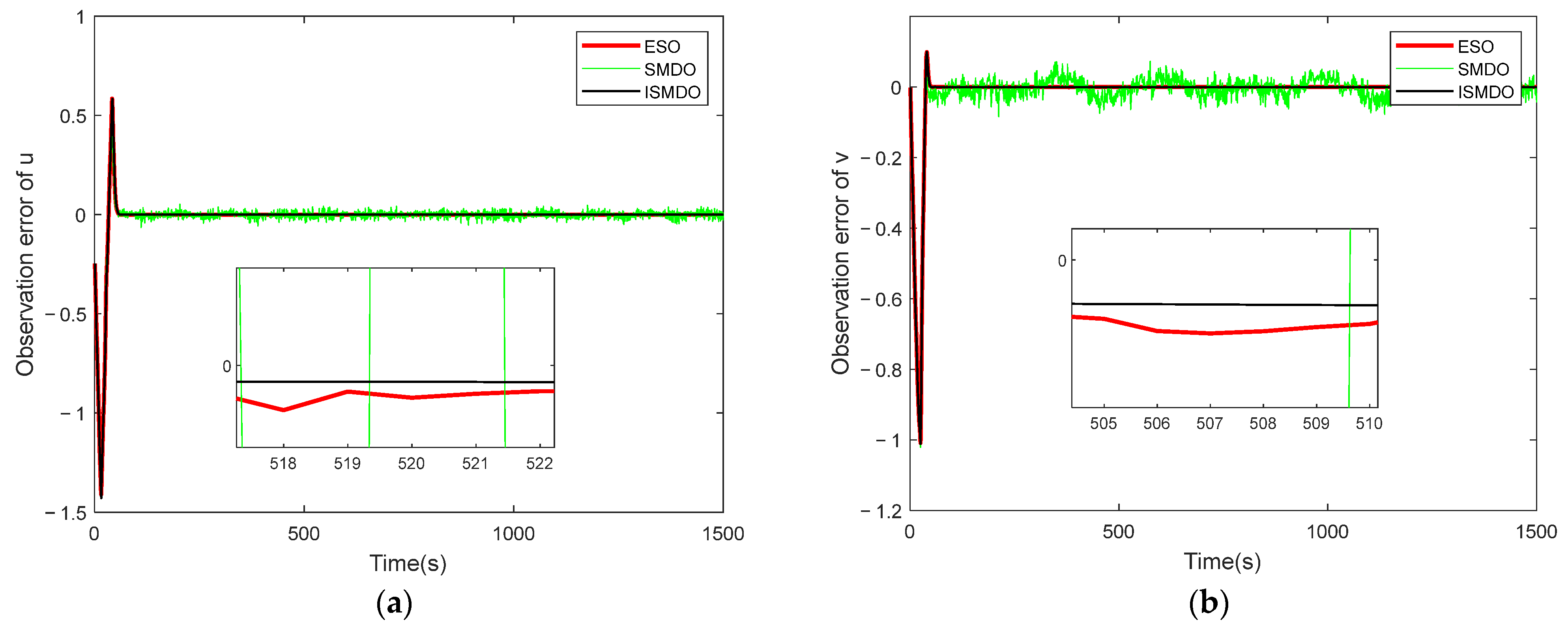
6.1. Perturbation-Observer Simulation Validation
6.2. Simulation Verification of Prescribed Performance Controllers
6.3. Simulation Verification of the Prescribed Performance-Formation Controller
7. Conclusions
Author Contributions
Funding
Institutional Review Board Statement
Informed Consent Statement
Data Availability Statement
Conflicts of Interest
References
- Sun, Y.; Ling, J.; Chen, X.; Kong, F.; Hu, Q.; Biancardo, S.A. Exploring Maritime Search and Rescue Resource Allocation via an Enhanced Particle Swarm Optimization Method. J. Mar. Sci. Eng. 2022, 10, 906. [Google Scholar] [CrossRef]
- Liu, Y.; Wang, M.; Su, Z.; Luo, J.; Xie, S.; Peng, Y.; Pu, H.; Xie, J.; Zhou, R. Multi-AUVs Cooperative Target Search Based on Autonomous Cooperative Search Learning Algorithm. J. Mar. Sci. Eng. 2020, 8, 843. [Google Scholar] [CrossRef]
- Zhao, Z.; Hu, Q.; Feng, H.; Feng, X.; Su, W. A Cooperative Hunting Method for Multi-AUV Swarm in Underwater Weak Information Environment with Obstacles. J. Mar. Sci. Eng. 2022, 10, 1266. [Google Scholar] [CrossRef]
- Rego, F.; Hung, N.T.; Pascoal, A.M. Cooperative path-following of autonomous marine vehicles: Theory and experiments. In Proceedings of the 2018 IEEE/OES Autonomous Underwater Vehicle Workshop (AUV), Porto, Portugal, 6–9 November 2018. [Google Scholar]
- Sakthivel, R.; Parivallal, A.; Huy Tuan, N.; Manickavalli, S. Nonfragile control design for consensus of semi-Markov jumping multiagent systems with disturbances. Int. J. Adapt. Control. Signal Process. 2021, 35, 1039–1061. [Google Scholar] [CrossRef]
- Li, L.; Li, Y.; Zhang, Y.; Xu, G.; Zeng, J.; Feng, X. Formation Control of Multiple Autonomous Underwater Vehicles under Communication Delay, Packet Discreteness and Dropout. J. Mar. Sci. Eng. 2022, 10, 920. [Google Scholar] [CrossRef]
- Park, B.S. Adaptive formation control of underactuated autonomous underwater vehicles. Ocean. Eng. 2015, 96, 1–7. [Google Scholar] [CrossRef]
- Wang, J.; Wang, C.; Wei, Y. Sliding mode based neural adaptive formation control of underactuated AUVs with leader-follower strategy. Appl. Ocean. Res. 2020, 94, 101971. [Google Scholar] [CrossRef]
- Wang, J.; Wang, C.; Wei, Y. Filter-backstepping based neural adaptive formation control of leader-following multiple AUVs in three dimensional space. Ocean. Eng. 2020, 201, 107150. [Google Scholar] [CrossRef]
- Desai, J.P.; Ostrowski, J.P.; Kumar, V. Modeling and control of formations of nonholonomic mobile robots. IEEE Trans. Robot. Autom. 2001, 17, 905–908. [Google Scholar] [CrossRef]
- Fahimi, F. Sliding-Mode Formation Control for Underactuated Surface Vessels. IEEE Trans. Robot. 2007, 23, 617–622. [Google Scholar] [CrossRef]
- Liu, Y.B. Research on Coordination Control of Multiple Underwater Vehicles for Ocean Exploratio; Harbin Engineering University: Harbin, China, 2017. (In Chinese) [Google Scholar]
- Gao, Z.Y. Trajectory Tracking and Formation Control of Autonomous Underwater Vehicles; Dalian Maritime University: Dalian, China, 2019. (In Chinese) [Google Scholar]
- Wang, M. Three-Dimensional Spatial Trajectory Tracking Control Method for High-Speed Underdriven UUVs; Harbin Engineering University: Harbin, China, 2020. (In Chinese) [Google Scholar]
- Gao, Z.; Guo, G. Fixed-Time Leader-Follower Formation Control of Autonomous Underwater Vehicles with Event-Triggered Intermittent Communications. IEEE Access 2018, 6, 27902–27911. [Google Scholar] [CrossRef]
- Xia, G.; Zhang, Y.; Zhang, W. Dual closed-loop robust adaptive fast integral terminal sliding mode formation finite-time control for multi-underactuated AUV system in three dimensional space. Ocean. Eng. 2021, 233, 108903. [Google Scholar] [CrossRef]
- Gao, Z.; Zhang, Y.; Guo, G. Fixed-Time Leader-Following Formation Control of Fully-Actuated Underwater Vehicles Without Velocity Measurements. J. Syst. Sci. Complex. 2022, 35, 559–585. [Google Scholar] [CrossRef]
- Bechlioulis, C.P.; Rovithakis, G.A. Robust Adaptive Control of Feedback Linearizable MIMO Nonlinear Systems with Prescribed Performance. IEEE Trans. Autom. Control 2008, 53, 2090–2099. [Google Scholar] [CrossRef]
- Bechlioulis, C.P.; Rovithakis, G.A. Prescribed performance adaptive control of SISO feedback linearizable systems with disturbances. In Proceedings of the 2008 16th Mediterranean Conference on Control and Automation, Ajaccio, France, 25–27 June 2008. [Google Scholar]
- Bechlioulis, C.P.; Rovithakis, G.A. Adaptive control with guaranteed transient and steady state tracking error bounds for strict feedback systems. Automatica 2009, 45, 532–538. [Google Scholar] [CrossRef]
- Bechlioulis, C.P.; Rovithakis, G.A. Prescribed performance adaptive control for multi-input multi-output affine in the control nonlinear systems. IEEE Trans. Autom. Control 2010, 55, 1220–1226. [Google Scholar] [CrossRef]
- Geng, B.; Hu, Y. Prescribed performance adaptive neural backstepping control for nonlinear system with uncertainties and unknown control directions. Control Theory Appl. 2014, 31, 397–403. [Google Scholar]
- Bu, X.W.; Wu, X.Y.; Zhu, F.J. Novel prescribed performance neural control of a flexible air-breathing hypersonic vehicle with unknown initial errors. ISA Trans. 2015, 59, 149–159. [Google Scholar] [CrossRef]
- Bechlioulis, C.P.; Rovithakis, G.A. Robust approximation free prescribed performance control. In Proceedings of the 2011 19th Mediterranean Conference on Control & Automation (MED), Corfu, Greece, 20–23 June 2011. [Google Scholar]
- Bechlioulis, C.P.; Rovithakis, G.A. A low-complexity global approximation-free control scheme with prescribed performance for unknown pure feedback systems. Automatica 2014, 50, 1217–1226. [Google Scholar] [CrossRef]
- Wei, C.; Luo, J.; Yin, Z.; Wei, X.; Yuan, J. Robust estimation-free decentralized prescribed performance control of nonaffine nonlinear large-scale systems. Int. J. Robust Nonlinear Control. 2018, 28, 174–196. [Google Scholar] [CrossRef]
- Theodorakopoulos, A.; Rovithakis, G.A. Low-complexity prescribed performance control of uncertain MIMO feedback linearizable systems. IEEE Trans. Autom. Control 2016, 61, 1946–1952. [Google Scholar] [CrossRef]
- Kostarigka, A.K.; Doulgeri, Z.; Rovithakis, G.A. Prescribed performance tracking for flexible joint robots with unknown dynamics and variable elasticity. Automatica 2013, 49, 1137–1147. [Google Scholar] [CrossRef]
- Bu, X.W.; Wu, X.; Huang, J.Q. Robust estimation-free prescribed performance back-stepping control of air-breathing hypersonic vehicles without affine models. Int. J. Control 2016, 89, 2185–2200. [Google Scholar] [CrossRef]
- Kostarigka, A.K.; Rovithakis, G.A. Prescribed Performance Output Feedback/Observer-Free Robust Adaptive Control of Uncertain Systems Using Neural Networks. IEEE Trans. Syst. Man Cybern. Part B (Cybern.) 2011, 41, 1483–1494. [Google Scholar] [CrossRef] [PubMed]
- Zhang, J.X.; Yang, G.H. Adaptive prescribed performance control of nonlinear output-feedback systems with unknown control direction. Int. J. Robust Nonlinear Control 2018, 28, 4696–4712. [Google Scholar] [CrossRef]
- Theodorakopoulos, A.; Rovithakis, G.A. Guaranteeing preselected tracking quality for uncertain strict-feedback systems with deadzone input nonlinearity and disturbances via low-complexity control. Automatica 2015, 54, 135–145. [Google Scholar] [CrossRef]
- Wang, T.; Qiu, J.B.; Gao, H.J. Adaptive neural control of stochastic nonlinear time-delay systems with multiple constraints. IEEE Trans. Syst. Man Cybern. Syst. 2017, 47, 1875–1883. [Google Scholar] [CrossRef]
- Wei, C.S.; Luo, J.J.; Dai, H.H. Low-complexity differentiator-based decentralized fault-tolerant control of uncertain large-scale nonlinear systems with unknown dead zone. Nonlinear Dyn. 2017, 89, 2573–2592. [Google Scholar] [CrossRef]
- Zhang, J.X.; Yang, G.H. Prescribed performance fault-tolerant control of uncertain nonlinear systems with unknown control directions. IEEE Trans. Autom. Control 2017, 62, 6529–6535. [Google Scholar] [CrossRef]
- Li, Y.M.; Tong, S.C.; Liu, L. Adaptive output-feedback control design with prescribed performance for switched nonlinear systems. Automatica 2017, 80, 225–231. [Google Scholar] [CrossRef]
- Bechlioulis, C.P.; Rovithakis, G.A. Decentralized robust synchronization of unknown high order nonlinear multi-agent systems with prescribed transient and steady state performance. IEEE Trans. Autom. Control 2017, 62, 123–134. [Google Scholar] [CrossRef]
- Luo, J.J.; Yin, Z.Y.; Wei, C.S. Low-complexity prescribed performance control for spacecraft attitude stabilization and tracking. Aerosp. Sci. Technol. 2018, 74, 173–183. [Google Scholar] [CrossRef]
- He, Y.Y.; Yan, M.D. Nonlinear Control Theory and Application; Electronic Science and Technology University Press: Xi’an, China, 2007; pp. 115–119. (In Chinese) [Google Scholar]
- Yu, J.P.; Shi, P.; Zhao, L. Finite-time command filtered backstepping control for a class of nonlinear systems. Automatica 2018, 92, 173–180. [Google Scholar] [CrossRef]
- Yu, X.H.; Zhihong, M. Fast terminal sliding-mode control design for nonlinear dynamical systems. IEEE Trans. Circuits Syst. I Fundam. Theory Appl. 2002, 49, 261–264. [Google Scholar]
- Peng, Z.; Liu, L.; Wang, J. Output-Feedback Flocking Control of Multiple Autonomous Surface Vehicles Based on Data-Driven Adaptive Extended State Observers. IEEE Trans. Cybern. 2021, 51, 4611–4622. [Google Scholar] [CrossRef] [PubMed]

















Disclaimer/Publisher’s Note: The statements, opinions and data contained in all publications are solely those of the individual author(s) and contributor(s) and not of MDPI and/or the editor(s). MDPI and/or the editor(s) disclaim responsibility for any injury to people or property resulting from any ideas, methods, instructions or products referred to in the content. |
© 2023 by the authors. Licensee MDPI, Basel, Switzerland. This article is an open access article distributed under the terms and conditions of the Creative Commons Attribution (CC BY) license (https://creativecommons.org/licenses/by/4.0/).
Share and Cite
Li, J.; Tian, Z.; Zhang, H.; Li, W. Robust Finite-Time Control of a Multi-AUV Formation Based on Prescribed Performance. J. Mar. Sci. Eng. 2023, 11, 897. https://doi.org/10.3390/jmse11050897
Li J, Tian Z, Zhang H, Li W. Robust Finite-Time Control of a Multi-AUV Formation Based on Prescribed Performance. Journal of Marine Science and Engineering. 2023; 11(5):897. https://doi.org/10.3390/jmse11050897
Chicago/Turabian StyleLi, Juan, Zhenyang Tian, Honghan Zhang, and Wenbo Li. 2023. "Robust Finite-Time Control of a Multi-AUV Formation Based on Prescribed Performance" Journal of Marine Science and Engineering 11, no. 5: 897. https://doi.org/10.3390/jmse11050897
APA StyleLi, J., Tian, Z., Zhang, H., & Li, W. (2023). Robust Finite-Time Control of a Multi-AUV Formation Based on Prescribed Performance. Journal of Marine Science and Engineering, 11(5), 897. https://doi.org/10.3390/jmse11050897

