Abstract
A pre-swirl fin (PSF), pre-swirl duct (PSD) and wake-equalizing duct (WED) energy-saving devices (ESD) are designed for the Duisburg Test Case (DTC). To this aim, a simulation-based design optimization method, combining RANSE analyses (ship resistance) with BEM calculations (unsteady propeller performances) in a simplified optimization process realized through a parametric description of ESD geometries, was employed. Fully resolved RANSE analyses were used to validate the outcomes of this affordable design process, which identifies devices capable of saving energy in the delivered power for this type of challenging test case by up to 2.6%. Comparisons with model-scale calculations, furthermore, permit us to discuss the influence of each appendage in different flowfields (model- and full-scale, as well as under the action of the simplified or the resolved propeller) and the reliability of the full-scale extrapolation methods recently proposed for these types of devices.
1. Introduction
Energy-saving devices play a crucial role in the decarbonization process of waterborne transportation. Mainly used for the refitting of existing vessels, they indeed represent a valid and relatively cheap solution to complying with the recent IMO efficiency indices [1,2,3] since they have been proved to realize substantial savings when selected for and tailored to the specific characteristics and function of the corresponding ship. Several concepts have been exploited in recent years to recover the energy losses of the hull, of the propeller and of their combined functioning. Wake-equalizing ducts [4] and pre-swirl fins [5] have been developed to control the flow to the propeller by homogenizing or by swirling it, with the aim of producing an additional thrust of the WED or of the propeller, respectively, at zero cost. Propeller boss cap fins [6] or post-swirl fins and twisted rudders [7], on the contrary, work to recover the energy losses of the propeller slipstream, reducing the hub vortex and its associated drag (PBCF) or producing an additional thrust (post-swirl).
Experimental and numerical results collected over the years have confirmed these energy-saving actions and the functioning principles of these devices [8]. For fully blocked slow-speed vessels, wake-equalizing ducts were successfully designed [5,9,10], with promising decreases in the delivered power up to 6% based on numerical calculations. In the framework of the EU project GRIP [11,12,13,14], pre-swirl stators reached energy savings of 6%, which in the particular case of a twin-screw passenger vessel with hull shapes and functioning conditions usually not optimal for this type of application, were still close to 4%. Koushan et al. [15] developed pre-swirl stators for a chemical tanker, and their numerical results (a power savings of 2.5%) were confirmed during a dedicated model-scale experimental campaign. Bakika et al. [16], while studying the structural response of a pre-swirl fins system designed for the KVLCC test case, confirmed energy savings for this type of device of up to 4.5% by using both fully resolved RANSE calculations and simplified actuator disk models. The use of flapped and “controllable” fins in front of the propeller was proposed to cope with non-constant operative conditions (slow steaming, fouling, weather, change in draft) and to ensure the highest possible energy saving, which reached a shaft power reduction of 4% in the case of a bulk carrier [17] tested in the framework of the Blue INNOShip Initiative supported by the Danish government (http://www.blaainno.dk, accessed on 10 March 2023). In the case of high-speed ships, however, solutions such as post-swirl fins [18,19] were preferred, with the aim of reducing the total drag of the ship by realizing a cost-free thrust thanks to the accelerated slipstream of the propeller. Energy savings, in these cases, were limited to 2%, but at the cost of very simple modifications to the hull. Propeller boss cap fins, which are one of the first devices developed for improving the efficiency of the propulsors [6], extensively proved their effectiveness in the case of highly (root) loaded propellers thanks to thousands of full-scale installations and extensive numerical and experimental activities [20,21,22]. Combinations of devices, such as the Becker system [23], the pre-swirl duct (PSD), the asymmetric configurations, such as the WAFon and the WAFon-D studied by Kim et al. [11] or the fan-shaped ducts proposed by Chang et al. [24], have also been proposed. The addition of a duct to the pre-swirl fins, reducing the fins’ tip losses, counteracting the retardation effect of the flow to the propeller caused by the presence of the fins upstream of the blades and equalizing it, turned out to be a valid way of contributing to a more efficient functioning of the propeller.
All these studies and applications, in any case, have pointed out some unavoidable needs in the analysis and in the design process of any energy-saving devices. Often, indeed, improvements observed at the model scale were not completely confirmed in full-scale, suggesting the need to account for Reynolds effects in the very preliminary phase of the process to exploit possible additional savings. Systematic analyses of several ESD concepts [25] have evidenced the strict connection of the hull shape (and relative flowfield) to the ESD geometry and its capability to provide positive effects on the propulsion system. Self-propulsion modeling, in a similar way in this context, appeared as the most appropriate framework for the evaluation (and the exploitation, during the design process) of the ESD–propeller–hull interactions and to account for the most suitable “key performance indicators” driving the design of the device. Additionally, a “system” approach, encompassing the complexity of the interactions and of the design objectives and constraints, emerged as a crucial need for a consistent design process.
In this context, and for the type of phenomena involved, design methods based on the inviscid assumptions, such as the well-established lifting line/lifting surface (as well as BEM) methodologies for propeller design, are completely out of scope except for very preliminary investigations on trends or on devices’ main dimensions, as shown by the methods proposed in [12,26,27]. These methods evidenced several limitations in the description of the function and in the design of these devices (pre-swirl fins in particular) that are often required to operate under very high angles of attack and in heavily non-uniform inflows, which are clearly out of the assumptions of inviscid/potential methods. Simulation-based design optimization (SBDO) approaches, on the contrary, represent a valid and solid design alternative to be exploited, similar to what has already been already proposed for unconventional propulsors’ [28,29] and hulls’ design [30].
Designing an ESD means embracing conflicting objectives (for instance, in the case of pre-swirl fins, a balance between the energy-saving effect and the additional resistance of the fins needed to induce the swirling) and phenomena (hull resistance, flowfield to the propeller, propeller functioning under these modified conditions) which reliable, but efficient, characterization may require different tools. SBDO represents a flexible framework for the efficient integration of all these requirements and models towards a reliable design method. The angle of attack of swirling devices, for instance, can be increased only until the saving effects induced on the propeller by the apparent rotation of the flow are higher than the additional resistance required to induce this swirl. Any design criteria not accounting for this, and not including in the analyses the mutual interactions of the ESD with the propeller (such as most of the potential-based methods for the design of fins using ideal/equivalent angle of attack concepts), would reasonably fail in the choice of an optimal geometry. Similarly, in the case of wake-equalizing ducts, the maximization of the nozzle thrust has to account for the influence on a propeller not specifically designed, in the case of refitting only, for the resulting accelerated inflow. This presupposes the need to use several, specific tools, and reliable analysis methods capable of accounting for the flow around the hull and the related propeller performances, that may be arranged as a design approach only under the paradigm of optimization. The feasibility of this optimization-based design approach, in the present paper, is demonstrated in the case of the Duisburg Test Case [31]. Since the choice (or the opportunity) of the most appropriate energy-saving device (pre- or post-swirl fins, as discussed above, based on blockage and ship speed), as well as its tailored geometry, is specific for each hull and functioning condition, consequently, the DTC hull represents a very challenging test case. The DTC, indeed, has been designed to be a modern Post-Panamax container vessel. With a block coefficient of only 0.661 and a design ship speed of 25 knots, she is not the ideal candidate for WEDs or pre-swirl fins’ installation. However, exactly for these reasons this test case is excellent for proving the flexibility of the optimization-based design method, as well as the feasibility of different energy-saving devices.
In this respect, the current study addresses the design of pre-swirl fins (PSFs), pre-swirl ducts (PSDs) and wake-equalizing ducts (WEDs) for the reduction in the delivered power of the vessel by using the design method and criteria developed in [18,32]. The SBDO is realized thanks to a combination of RANSE and BEM analyses, respectively, for the prediction of the hull resistance and flow (RANSE) and the characterization of the unsteady propeller functioning in the effective wake altered by the presence of the ESD (BEM). This realizes a simplified self-propulsion estimation method based on a weak coupling of the two solvers [33,34] that, regardless of the approximations introduced for the evaluation of self-induced velocities, has proven to be a reliable and efficient way to account for the mutual interactions (and the related influence on performances) between the propeller, the hull and the pre- or post-devices, at least for design purposes. This permits avoiding the simplified and less reliable design criteria (i.e., equivalent angle of attack), unavoidable when vortex-based design approaches are employed [27], and realizing a flexible and efficient design method capable of a wider exploration of the design space towards unconventional (and usually more efficient) configurations thanks to the higher level of confidence of the adopted tools.
The results of this design process are finally verified, using RANSE analyses with the propeller dynamics fully resolved, for a two-fold objective: validate, in the absence of dedicated experiments, the design process, and discuss scaling effects. The recurring use of these devices promoted the development of simplified extrapolation methods starting from model-scale experiments with and without the energy-saving device installed. The International Towing Tank Conference, over the years, has proposed several amendments to the original wake-scaling method of ships equipped with ESDs. The scaling approach of ITTC’99 [35] was derived from the original ITTC 1978 formulation [36], as an adaption of the Takekuma method [37] to account for the tangential velocities from the stator blades that, being potential in nature, are not subjected to viscous effects. The latest formulation introduced by the “Specialist Committee on Energy Saving Method” of the 29th ITTC [38] included additional CFD-based modifications to assess for the relative importance of axial and tangential flow which, however, are still worth of investigation due to their recent introduction. The availability of three different ESDs, specifically designed for the same functioning condition of the ship, represents, then, a valuable opportunity to compare the scaling methods to each other and to full-scale calculations. To this end, the optimized devices designed for the full-scale DTC hull are analyzed, using the same methods (i.e., the coupled RANSE/BEM and the RANSE with fully resolved propeller) also in model scale, to collect all the data needed for the extrapolation to full-scale. The outcomes of these analyses, moreover, allow for discussing the role of scaling also from the design point of view, by comparing the performances of each devices, calculated with both methodologies, in two very different flowfield conditions, and identify possible sources of uncertainties in the simplified RANSE/BEM method employed in the design process.
After introducing the test case (Section 2), the design method and criteria are briefly summarized in Section 3. The most relevant results are discussed and compared to the model-scale calculations of Section 4, where the comparison with ITTC scaling rules is also proposed. The conclusions of Section 5 summarize the most important results in terms of improved performance, applicability, and limitations of the proposed methodology.
2. Test Case: The DTC Hull
The Duisburg Test Case [31] is a hull design of a typical 14000 TEU container ship, developed at the Institute of Ship Technology, Ocean Engineering and Transport Systems (ISMT) of the University of Duisburg-Essen for the benchmarking and validation of numerical methods. This design addresses the need to have a modern container vessel model for benchmarking compared to the S175, the Kriso Container Ship (KCS) and the Hamburg Test Case (HTC). The ship is a single-screw vessel with a bulbous bow, large bow flares, large stern overhang and a transom. The propeller is a five-bladed, right-handed fixed-pitch propeller while the rudder is a twisted NACA0018 (5.0° of rotation around the shaft axis) equipped with a Costa bulb. The ship is equipped also with bilge keels but since their influence on resistance and self-propulsion is deemed negligible (they have influence on the roll decay tests of the benchmark), they have been omitted in current numerical analyses. Hull and propeller geometries are shown in Figure 1. Their main particulars are given in Table 1.
Figure 1.
Perspective view of the DTC hull and propeller. (a) DTC hull. (b) DTC propeller.
Table 1.
Main particulars of hull and propeller. Full-scale data (geometric scale of 59.407).
The availability of several model test experiments provides the opportunity for some preliminary verification and validation activities of the numerical models employed for the self-propulsion prediction and then, for the design by optimization process. In the absence of dedicated experiments of the designed ESDs, these preliminary analyses represent a numerical baseline for comparisons of the optimal geometries devised by the design process. Both BEM and RANSE were employed for the open-water propeller performances, RANSE only for the prediction of ship resistance and self-propulsion coefficients. For both cases, RANSE calculations were carried out using the finite volume solver StarCCM+ [39] on hexa-dominant grids (hull resistance and self-propulsion) or polyhedral cells (open-water propeller performances) solved with a second-order in space and first-order in time segregated approach using the realizable k-ε turbulence model and the “two-layer” wall functions of Rodi [40] to also improve the applicability of the turbulence model in the viscous sublayer and in the buffer layer, regardless of the low- or high-Reynolds nature of the mesh at walls. The Volume of Fluid approach has been used for free surface calculations while sliding meshes and overset meshes were employed to account for the propeller rotation (self-propulsion) or the ship dynamic trim and sinkage (resistance test).
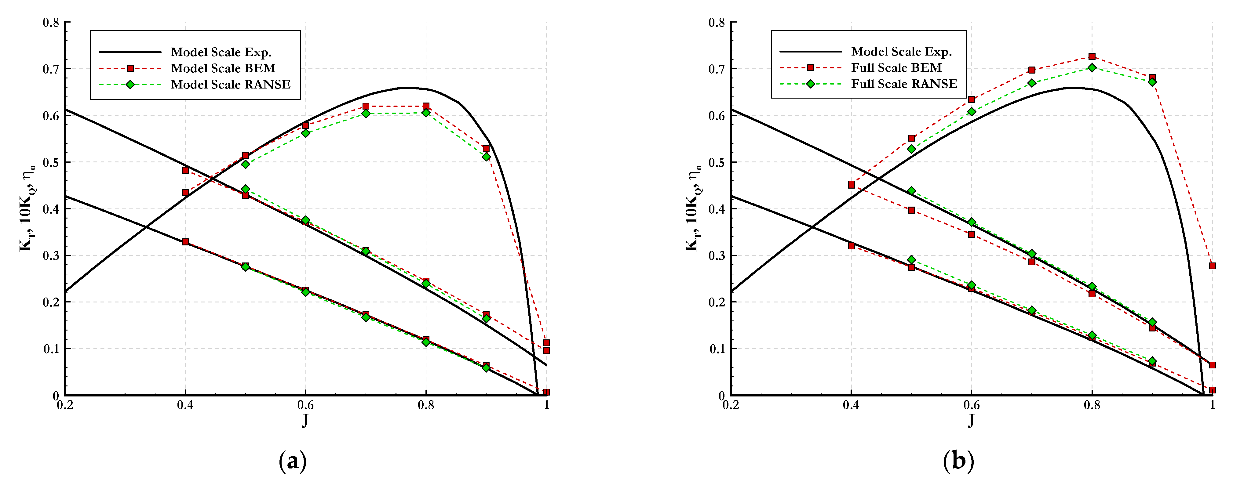
The analysis of the propeller performances was carried out using well-established arrangements of grids, already extensively verified for the calculations in open-water conditions, then without a dedicated grid-sensitivity study to assess numerical uncertainties associated with the proposed results, neither for RANSE, nor for BEM calculations. For model-scale analyses, the grid is composed of about 1.2 million cells per blade passage, since a moving reference frame (MRF) with suitable periodic boundary conditions was used for calculations. Full-scale analyses used a slightly denser grid of about 1.5 million cells as a consequence of finer prism layers ensuring reasonable values of the non-dimensional wall distance (Y+ 15 and 60, respectively, in model- and full-scale) for a reliable application of wall-functions. Meshes for BEM consist of 1250 panels per blade, clustered at LE, TE and blade tip, with the trailing vortical wake aligned with the flow. The results and comparisons with model-scale experiments are given in Figure 2 and Figure 3.
Figure 2.
Surface mesh and grid arrangement with pressure distributions on suction and pressure side for J = 0.7. (a) Surface Mesh (BEM). (b) Pressure distribution, suction side (BEM). (c) Pressure distribution, pressure side (BEM). (d) Surface Mesh (RANSE). (e) Pressure distribution, suction side (RANSE). (f) Pressure distribution, pressure side (RANSE).
Figure 3.
Open water propeller performances in model- and full-scale. (a) Model scale performances. (b) Full-scale performances.
The agreement with the available data is good and comparable to similar calculations available in the literature. Close to the design advance coefficient (model-scale calculations, propeller RPM set to 1000), in the range of J = 0.5–0.6, numerical calculations with both methods predict very well the delivered thrust with differences (underestimation) of less than 1.5%. Torque is slightly overestimated, resulting in a clear difference for what concerns the predicted efficiency. This resembles the usual behavior of numerical calculations of propeller performances with the typical deviation from measurements at very low and very high advance coefficients. Full-scale predictions (propeller RPM equal to 100) account for Reynolds effects: a slight increase in the thrust and a, sometime substantial, decrease in torque that result in a consistent increase (7–9%) in efficiency are observable in calculations. Nevertheless, the very basic corrections account for the viscous effects only by means of a local friction coefficient; in addition, calculations with the Boundary Element Method foresee reasonable scale effects, very close to RANSE in terms of thrust and slightly underestimated in terms of torque.
Calculations of the ship’s performances encompassed the prediction of ship resistance and self-propulsion coefficients in model- and in full-scale since these are the baseline data for assessing the reliability of the simplified self-propulsion method used in the design process and, consequently, the effectiveness of the proposed ESDs. For these analyses, a preliminary grid sensitivity study is proposed only for the towing tank test of the ship in model scale. For these types of calculations, grids of a hexa-dominant type were preferred to provide a better description of the free surface through local anisotropic refinements. The reference grid for the model-scale prediction of hull resistance consists of about 1.3 million cells organized in the local refinements of Figure 4. The corresponding prism layer is realized for an averaged non-dimensional wall distance of about 30 (160 in full-scale). Four additional grids were derived by uniform scaling (with the exception of the prism layer cells, which were selected according to the full-scale Reynolds number) of the reference mesh, realizing configurations from 500 k to 6.3 million elements (half hull) to be used for the grid sensitivity study. The resulting convergence trend, calculated using the method proposed by Eça and Hoekstra [41], is shown in Figure 5.
Figure 4.
Grid arrangement (reference G3) and wave height at the design speed. Model scale analysis.
Figure 5.
Grid sensitivity analysis and numerical uncertainty of the reference grid as a function of the relative step-size Model scale calculation of the hull resistance.
The convergence trend of the calculated ship resistance is good, close to second-order. In addition, the associated numerical uncertainty is small, being slightly higher than 2% for the reference grid. The resistance predicted when using the reference mesh (33.95 N) is very close to the extrapolated value (33.91 for hi/h1 tending to 0) with a difference compared to the measurements slightly higher than 6% (Table 2).
Table 2.
Grid sensitivity and full-scale prediction (CFD) and extrapolation (experiments using ITTC).
With the predicted values of sinkage and trim in model scale (0.0056 m and 0.0185° trim by the stern in model scale), calculations were repeated in full-scale. Qualitatively, the mesh remained the same with the exception of the prism layers, whose number and total thickness grew to 0.75 m (from 0.02 m) and to 14 (from 10), respectively, to comply with the Reynolds effect and the range of validity of wall functions. The results, of the reference grid only, are compared with standard ITTC extrapolations starting from the model-scale experimental data with a form factor k of 0.094 [31] and without corrections for surface roughness (not accounted for in numerical calculations) and correlation allowance factors. Compared to traditional extrapolations, numerical calculations overestimate the ship resistance by about 4%, which is a more than acceptable result in light of the proposed design method.
Grid G3 also represents the reference mesh for self-propulsion predictions in both model- and full-scale. This type of calculation was arranged using fully resolved RANSE analyses, then by including the propeller by means of a separated computational domain (rigidly rotating) coupled with the background mesh through sliding interfaces. An example of the computational grid and of the calculations is given in Figure 6.
Figure 6.
Local grid arrangements for fully resolved propeller calculations using RANSE (a) and inner/outer domain arrangement (b).
Exactly as in the case of the simplified self-propulsion predictions of the optimization process, self-propulsion calculations using the fully resolved propeller are addressed with the “double model” assumption, i.e., neglecting the influence of the free surface. The assumption is that the wave pattern generated by the hull has a small influence on the propeller performance (or on the ESDs function during the design process), hence negligible at least in the preliminary design phase. This allows the total ship resistance to be calculated by following the simplified approach proposed in [15,33]. A “constant” wave resistance contribution, independent of the propeller working condition and the presence of any ESDs, can be computed by subtracting the double model drag to the total hull resistance predicted in towing conditions with the free surface. This value includes the pure wave resistance and all the double-model approximations, such as the variation in the hull wetted surface. By adding it to the current resistance of the double model, a reasonable estimation of the total hull drag is possible, allowing for cost-effective self-propulsion predictions.
The results of the self-propulsion calculations in model scale, described by the self-propulsion coefficients of Table 3, support the feasibility of this simplification. Calculations predict very well the propulsive point of the ship with relatively small differences (3–5%) in wake fraction (1-w) and thrust deduction (1-t), confirming the reliability of the selected computational grid for the purposes of this study. Full-scale data, that represent the reference for the optimization activity, highlight clear scale effects that will be discussed in the next section.
Table 3.
Self-propulsion coefficients. Comparison with experiments in model scale.
3. Energy-Saving Devices Design
3.1. Simplified Self-Propulsion Estimation for SBDO
As discussed in the introduction, the design of ESDs through optimization requires an efficient solver, a parametric description of geometries and an optimization framework to guide the “try-and-error” process towards convergence. Since the ESDs under investigations work to alter the flow to the propeller, by homogenization or swirling, a method capable of accounting for the influence of these flow modifications on the propeller performances is mandatory. To this aim, the simplified coupled BEM/RANSE method for self-propulsion assessment developed in [32] was employed for the current design activities. The need, indeed, is to employ a computationally efficient method, since the optimization process requires the evaluation of thousands of different configurations, at the same time capable of providing the most appropriate “key performance indicators” (KPI) for the design process. In the case of ESDs and their complex interactions with the flowfield, the propeller and the hull, indeed there are no simple design criteria (i.e., alignment with the flowfield for fins, maximization of flow contraction for ducts) suitable for fast but reliable preliminary design applications. The most appropriate design criterion that comprehensively accounts for the performance of the entire system is the minimization of the delivered power. Its reduction inherently includes the effect of the increase in resistance that has to be spent for swirling the flow, or the degradation in the propeller performances when operating in an accelerated wake due to the production of the additional thrust by wake-equalizing ducts. A direct assessment of the propeller performances with a method capable of accounting for these local (tangential) wake variations is consequently needed and the proposed method, compared to even simplified actuator disk approaches or more complex unsteady/non-homogeneous body forces representation of the propeller action, has proved to be adequate and accurate enough for these design purposes.
The self-propulsion estimation procedure is based on a coupling between the BEM and the RANSE solvers. This coupling is realized through body forces’ distributions to account for the presence of the propeller in RANSE analyses and the effective wake concept to characterize the propeller performances and its delivered power. The method is composed of three main steps described as follows:
- RANSE is used to characterize the velocity and the pressure fields at the stern of the ship by employing an actuator disk (i.e., sources of momentum) in place of the propeller. Momentum sources are proportional to the radial distributions of circumferentially constant axial and tangential loads that are obtained by preliminary steady BEM calculations of the propeller working in the circumferentially averaged nominal wake of the ship; calculations are iteratively updated until the thrust provided by the actuator disk is balanced by the total ship resistance under the influence of the actuator disk itself. The thrust deduction factor is derived comparing current resistance to that of the towing condition.
- The total wake on the propeller plane due to the presence of the actuator disk is elaborated to derive the effective wake for the unsteady propeller functioning prediction. The same actuator disk used for self-propulsion (i.e., the same radial distributions of axial and tangential loads), when delivering the same thrust in a uniform flow with velocity equal to the averaged nominal wake measured during towing tests, provides a radially varying and circumferentially averaged velocity field that satisfactorily represents the propeller self-induced velocities. By subtracting these self-induced velocities from the total wake, the effective wake to the propeller is obtained.
- Unsteady BEM calculations in this effective wake are used to iteratively adjust the propeller rate of revolution to achieve the time-averaged thrust balancing the ship resistance under the action of the actuator disk. The delivered power is finally obtained.
Compared to more sophisticated BEM/RANSE coupling algorithms [33], this method realizes a coupling between the solvers that can be defined as “weak” for several reasons. It relies on an approximated effective wake that is evaluated from the ship’s nominal one and that does not account for the unsteady and spatial non-uniform nature of the interactions. The self-induced velocities under the effective wake are approximated as those produced by the propeller under the nominal wake and they do not change iteration per iteration since it is assumed that the simplified actuator disk is equivalent to the unsteady propeller in terms of both (averaged) self-induced velocities and delivered forces [42]. However, with the propellers (the actuator disks) under both wakes (self-propulsion with the actuator disk behind the ship and the equivalent “open water” analysis using the opportune undisturbed flow velocity) delivering the same thrust using the same spatial distribution of load, this approximation seems plausible in the context of simplified and efficient calculations.
3.2. Parametric Description of ESDs
Any SBDO design method requires a parametric description of the geometry by which it automatically handles each variation towards the (Pareto) convergence on the basis of the KPI of the previous designs. In the case of the ESDs under investigation, the parametric description is rather simple and takes inspiration from similar previous design activities [18,32]. Pre-swirl ducts are the most complex geometries under consideration, and the parameters for the PSFs and the WEDs designs are derived from their parametric description (Figure 7).

Figure 7.
Parameters for ESDs design. (a) PSD. (b) PSF. (c) WED.
Pre-swirl ducts (and pre-swirl fins) have been designed considering a fixed number of fins equal to three. Each fin is separately handled with its angular position (θ1,2,3), the swirl around its axis through a linear distribution of pitch angle controlled at root (αroot 1,2,3) and at the tip (αtip 1,2,3), and the maximum sectional camber (fmax 1,2,3) of a NACA 4-digit hydrofoil having a maximum thickness to chord ratio of 10%. These parameters were selected because each fin works in a completely different flowfield and requires a custom alignment to the local characteristics of the flow. The span (Ds) of the fins as well as their chord (cfin) are other design parameters. They are considered identical for all the fins. Their values are related to the diameter (DWED) and the chord (cWED) of the duct to avoid fins shorter or longer than the WED. Moreover, the shape of the duct is defined by the angle of attack (αWED) and the maximum camber (fWED) of a NACA 4-digit hydrofoil having a maximum thickness to chord ratio of 15%. The relative position between the ESD and the propeller is fixed since only a marginal influence on propeller performances has been observed in similar design processes at least when the reasonable and relatively close positioning was considered. This description results in an 18-dimensions/free parameters design space.
Pre-swirl fins inherit the parameters of the fins, then reduce to 14 the number of design parameters for the optimization process. The wake-equalizing duct is the simplest case, since its geometry is parametrized using only four quantities (diameter, chord, angle of attack and maximum sectional camber) capable of describing only the circular axisymmetric duct and not the complex, non-symmetric, shapes devised in [10,24].
3.3. Results: Pre-Swirl Duct, Pre-Swirl Fins and Wake-Equalizing Duct
The results of the design-by-optimization processes of the three ESDs under investigation are collected in the optimization histories in Figure 8. Each SBDO has been configured starting from an initial sampling of the design space that included, respectively, for the PSD (or the PSS) and the WED, 160 and 70 configurations distributed using Uniform Latin Hypercube. Each initial population was allowed to evolve 10 times using a Genetic Algorithm [43] for a total of 1600 and 700 geometries analyzed by the simplified self-propulsion estimation method described in Section 3.1. The optimal geometries (PSD ID-1607, PSF ID-2380, WED ID-669) are those minimizing the delivered power of the propeller.
Figure 8.
Optimization histories of the SBDO process for PSD, PSF and WED. (a) Optimization history of PSD. (b) Optimization history of PSF. (c) Optimization history of WED.
The optimization histories have already provided some interesting results. For this type of ship, having a relatively uniform and “fast” wake, the opportunity of consistent energy savings using only wake-equalizing ducts are unrealistic. This awareness, for instance, was one of the reasons that suggested the use of a wide sampling (wider than usual, considering the small number of the WED parameters) of the design space to enrich the exploration phase of the optimization process towards less conventional configurations. With the simplified method, the expected reduction in the delivered power is less than 0.5% when only the WED is considered, proving the unfeasibility of these devices for this type of hull.
Predicted power reductions are more interesting when pre-swirl fins are added to the device. In both cases (with and without the duct), the simplified self-propulsion method predicts a reduction in the order of 4%, which is a non-negligible improvement if compared to the amount of power required for the propulsion of the ship. The convergence trend of the optimization is quite fast. For the PSD, some interesting results, providing savings very close to that of the selected optimal geometry, are already observable from the second genetic generation. This is probably due to the nature of the genetic algorithm that always includes a certain randomicity in the generation of new configurations to maximize the exploration of the design space and avoid the risk of local minima. In the case of the PSFs, the convergence is slower and results are less clustered, suggesting the need for some more iterations to confirm the optimization trend.
The detailed results of the optimal designs identified by the SBDO are provided in Table 4 and Table 5, while comparison of nominal/effective wakes (from BEM/RANSE) and pressure fields on the devices are shown in Figure 9 and Figure 10. In addition to the combined BEM/RANSE, all the optimized geometries were tested using the fully resolved RANSE to extensively compare and discuss the results of the design based on higher-fidelity calculations. Moreover, since one of the outcomes of the combined BEM/RANSE is the effective wake, the influence of the ESDs on the propeller performances can be also investigated from this point of view.
Table 4.
Self-propulsion coefficients. Full-scale using the combined BEM/RANSE. The effective wake fraction is estimated both using the propeller open-water thrust equivalence and the direct integration (*) of the effective velocity field (Figure 9) provided by the BEM/RANSE combined method. Open-water propeller performances for effective wake from full-scale BEM.
Table 5.
Self-propulsion coefficients. Full-scale using the fully resolved RANSE. Open-water propeller performances for effective wake from full-scale RANSE.
Figure 9.
Nominal (top) and effective (bottom) full-scale hull wakes. Effective wakes from the combined BEM/RANSE self-propulsion estimation method. (a) Reference. (b) PSD ID-1607. (c) PSF ID-2380. (d) WED ID-669.
Figure 10.
Pressure coefficient distributions (based on ship velocity) over the optimal energy-saving devices. Full-scale calculations using the simplified BEM/RANSE (top) and the fully resolved propeller (bottom). (a) PSD ID-1607. (b) PSF ID-2380. (c) WED ID-669.
The self-propulsion estimations carried out with the simplified approach (and similarly those with the fully resolved propeller) confirm the functioning principles of these kind of devices, as discussed in several examples in the literature [13,44]. The presence of pre-swirl fins, in both the studied configurations, determines a substantial increment of the propeller-delivered thrust that turns into a reduced requested rate of rotation and then into a reduction in the required power. This increment of thrust is due to the unbalancing (port/starboard) of the tangential component of the incoming flow (a sort of “effective tangential wake” observable in Figure 9 and computed in Table 4) as a consequence of the swirling effect that contributes to the loading of the propeller blades in the range 180–270° (for a right-handed propeller) usually unloaded due to the negative combination of the vertical component of the incoming flow with the propeller rotation. This can also be observed by comparing the effective wakes; those computed using the thrust identity with those computed using the integration of the local axial flow on the propeller disc:
The effective wake fraction w from local velocities is substantially lower than that from the thrust identity since when using the thrust identity approach with the open-water propeller performances the wake fraction arbitrary represents the reduction in the axial flow only to match the delivered thrust, regardless of the way (in this case, the presence of unbalanced tangential flow) this thrust is generated. Qualitatively, this can also be observed in Figure 9 where the velocities (nominal and effective) are compared. The overall increase in the flow velocity in the propeller disc, due to the action of the propeller itself, is clearly observable and coherent with the values of the effective wakes directly from the velocity averaging. In addition, the presence of massive and non-symmetric port/starboard, tangential flow is clear. Under the action of the propeller (effective wakes) the contraction of the propeller-induced stream-tube is visible through the radial positions of the fins’ tip vortices (PSD and, especially, PSS cases, Figure 9b,c) which contribute most to the loading of the propeller.
In the case of the WED, the functioning principle is different and the approximated self-propulsion coefficients from the simplified BEM/RANSE method can evidence this too. Despite the marginal improvements granted by this device, it is worth noting that its contribution is towards a reduction in the total ship resistance through the cost-free additional thrust provided by the accelerating shape of the nozzle. Since the device is considered as a part of the hull for calculations of forces and propulsive coefficients, this turns into a (slight) reduction in the thrust deduction factor t, foreseen by the BEM/RANSE as well as by the fully resolved RANSE calculations.
Fully resolved RANSE analyses mainly confirm the results of the simplified self-propulsion estimations, at least in terms of the ranking of the different solutions. With the exception of the effective wake, that when using full RANSE can be computed only by following the open-water thrust identity concept (but in the end is a matter only of a different combination of hull efficiency ηH and equivalent open-water efficiency ηo in the propulsive chain), all the other coefficients are somewhat similarly predicted. Thrust deduction is comparable, and accounts for the different propeller/hull interaction already observed in [32,33]. The actuator disk model, indeed, tends to underestimate the interaction between the suction on the back of the propeller blades and the stern of the ship, resulting in lower values of t when calculated with the simplified method. This also explains the differences in the propeller rate of revolution at equilibrium, since in the full RANSE the propulsor has to provide a higher thrust. Combined with the discrepancy between BEM and RANSE already observed in open-water calculations (higher torque by the RANSE), this is the reason for the higher values of delivered power predicted by the method.
In any case, a substantial reduction in delivered power, when PSDs or PSFs are considered, can also be appreciated from these analyses. Fully resolved RANSE calculations foresee a certain reduction in the delivered power, up to 2.6% in the case of the pre-swirl fins alone. The presence of the wake-equalizing nozzle, that, when using the simplified method, was almost uninfluential on the total energy savings (PSD and PSF were, indeed, practically identical), instead, either worsens the performance of the device (only 1.5% of saving with the PSD) or is completely ineffective (1.2% more delivered power) when it is used alone. Since the fins of both configurations are very similar in terms of angular positions, pitches and camber, this difference between PSD and PSF, and then the design trend based on this inconsistency, seems again due to the different interaction of the WED with the propulsor when the latter is modeled using momentum sources or when its geometry is fully resolved in the simulations. If, from the pressure fields on the devices under the action of the different propeller models (Figure 10), only a few indications can be drawn and their behavior seems almost identical, on looking at the results in Table 6 the reasons for these differences are evident.
Table 6.
Contribution to resistance (or thrust) of ESD components. Comparison between resistance and self-propulsion tests using the combined BEM/RANSE or the fully resolved propeller model in full-scale.
Normalized with respect to the ship resistance (including the relative ESD) of the towing tank test, Table 6 collects the values of the additional resistance (or thrust, in case of a negative sign) caused by the presence of each fin or duct of the ESDs. In towing conditions, all the devices, as expected, cause additional resistance that is always worsened (for the fins) in self-propulsion (both models), with these appendages being subjected to the accelerated flow by the propeller and then, to higher frictions and the propeller suction effect. Only the wake-equalizing duct changes its function from towing to self-propulsion, and this is exactly the functioning principle of this ESD. Under the action of the accelerated flow by the propeller, the wake-equalizing duct produces a net thrust. When the simplified self-propulsion model is considered, this additional thrust is substantial: up to 3.5% when the WED is employed together with the fins; close to 2% when it is used alone. On the contrary, when the fully resolved propeller is considered, the performances of the WED drop. In the PSD configuration it still provides a certain additional thrust, but reduced only to 1.7%. In the WED configuration it even increases the ship resistance, determining the higher delivered power seen in Table 5. The two nozzle geometries are rather similar in terms of diameter and chord. What changes is their angle of attack, that is the 3° (PSD) increases up to 6° (WED). Under the action of the actuator disk model, which is circumferentially uniform and steady in time, the design process tends to maximize the accelerating nature (i.e., the delivered thrust) of the nozzle. When tested with a more realistic propeller model (i.e., unsteady and spatially non uniform inflow) providing more realistic induced velocities and pressure field upstream of the propeller where the WED is placed; these angles of attack are excessively high for the resulting flow, leading to separation and additional resistance rather than thrust. The moderate value of the angle in the case of the PSD nozzle mitigates this side effect and permits a decent functioning of the device when it is also tested with a more consistent propeller model. However, the presence of the nozzle in the PSD homogenizes the flow and reduces the amount of net tangential velocities in the wake (Table 4) with respect to which fully resolved propeller analyses are more sensitive. Without the consistent additional thrust of the simplified calculations, in this specific case the presence of the nozzle is detrimental to the ESD performances; thus, the energy savings granted by the PSD are lower than those from the PSF maximizing the swirling effect to the propeller.
4. Scale Effects of ESDs
The optimal ESDs designed for the full-scale DTC hull were also used to investigate the scale effects of these devices and to assess the recent amendments to the ITTC extrapolation procedures. To this end, the PSD, the PSF and the WED performances were calculated in model scale, using both the methodologies (combined BEM/RANSE and fully resolved propeller using RANSE) already adopted for full-scale design and validation.
The results of model-scale analyses are summarized in Table 7 and Table 8 while the nominal and effective wakes (the latter available, as usual, only for the combined BEM/RANSE) are compared in Figure 11. Pressure distributions over the devices are compared in Figure 12. Scale effects due to the Reynolds number on nominal wakes are obvious, well-known and have consequences on the functioning of energy-saving devices designed to comply with the full-scale flow. The relative merits of the devices, discussed in the full-scale comparisons of the previous section, are also maintained when model-scale performances are addressed; however, together with the results of Table 9, some differences can be pointed out. Additionally, in model scale, for instance, only PSDs and PSFs grant reasonable energy savings, with a more evident importance of the swirling action compared to the homogenization effect of the WED. Both methods (while in full-scale this was true only for the fully resolved propeller) predict a negligible increase in performance with the addition of the WED to the system of stator fins. The energy saving is reduced to 2.4% (PSF case) from the 5.8% when predicted with the combined BEM/RANSE; meanwhile, the improvement in the PSD is negligible when higher-fidelity self-propulsion calculations are employed. Similar to full-scale results, reasons can be identified in the excessive interaction of the WED with the flowfield when the simplified actuator disk is employed. Additionally, the completely different inflow of the model scale (compared to that of full-scale considered for the design) and, in general, the lower reliability of BEM calculations of unsteady propeller performances when excessively non-homogeneous wakes such as those of Figure 11 are considered [45] can explain these differences. In model scale, even the simplified BEM/RANSE evidences the “bad” functioning of the WED that always increases the total resistance rather than producing an additional, even if small, thrust. In addition, when applied to the PSD, the WED, whose shape is not adequate for the model-scale inflow, is marginal in delivering an additional thrust, nullifying the performances of this device.
Table 7.
Self-propulsion coefficients. Model scale using the combined BEM/RANSE. The effective wake fraction is estimated both using the propeller open-water thrust equivalence and the direct integration (*) of the effective velocity field (Figure 11) provided by the BEM/RANSE combined method. Open water propeller performances for effective wake from model-scale BEM.
Table 8.
Self-propulsion coefficients. Model scale using the fully resolved RANSE. Open-water propeller performances for effective wake from model-scale RANSE.
Figure 11.
Nominal (top) and effective (bottom) model-scale hull wakes. Effective wakes from the combined RANSE/BEM self-propulsion estimation method. (a) Reference. (b) PSD ID-1607. (c) PSF ID-2380. (d) WED ID-669.

Figure 12.
Pressure coefficient distributions (based on ship velocity) over the optimal energy-saving devices. Model-scale calculations using the simplified BEM/RANSE (top) and the fully resolved propeller (bottom). (a) PSD ID-1607. (b) PSF ID-2380. (c) WED ID-669.
Table 9.
Contribution to resistance (or thrust) of ESD components. Comparison between resistance and self-propulsion tests using the combined BEM/RANSE or the fully resolved propeller model in model-scale.
Another relevant aspect that can be observed from the comparison of the model and full-scale data is the effects of the scale on the unbalance of tangential velocities. This difference is already clear from the nominal wakes of pure resistance tests that are unaffected by the uncertainties and the simplifications introduced by the combined BEM/RANSE method in the calculation of the effective flowfield to the propeller. The PSF determines a higher net tangential component compared to the PSD and this reveals the homogenizing effect of the WED, also seen in full-scale, that by accelerating the hull wake, also influences the in-plane components of the velocity. What is observed from model- to full-scale is that the tangential disturbance of full-scale calculations induced by the swirling action of the ESDs are sufficiently higher than those observed in model-scale. This can be ascribed to the contraction effect of the hull boundary layer in full-scale that, in a “Sasajima/Tanaka”-like manner, includes “faster” axial and tangential velocities in the propeller disk, which are worthy of consideration for full-scale extrapolations.
In this respect, the available calculations allow for comparisons of the several extrapolation methods proposed by ITTC [35,36,38] and available in the literature [46] to address the scaling issues of ESDs. In particular, attention is focused on the recently proposed procedure [38], based on the work of Kim et al. [47], to account for the “potential” (and, then, not subjected to scaling) nature of the swirling flow induced by stator fins in front of the propeller by using dedicated CFD calculations. Based on the results of the tangential disturbance modifications from model- to full-scale just observed, this seems a crucial aspect to be addressed.
For comparison purposes, the full-scale calculations in the case of current PSD, PSF and WED are compared to extrapolations using the ITTC’78 procedure, the modifications introduced by the ITTC’99 committee and the most recent ITTC’21 proposal.
The ITTC’78 method for full-scale effective wake extrapolation, using the ITTC nomenclature, is shown in Equation (2) for the hull without ESD (wS) and (3) when energy-saving devices are included (wSS):
where wS is the full-scale effective wake (without ESD); wMO is the model-scale effective wake (without ESD); tMO the thrust deduction factor from model-scale tests without ESD; CFM and CFS the frictional coefficients in model- and full-scale; k the form factor and ΔCF the roughness allowance:
where wSS is the full-scale effective wake with the ESD; tMS the thrust deduction factor from model-scale tests including the ESD and CA the correlation allowance (always neglected in current calculations).
When the ITTC’99 procedure is adopted, the extrapolation method is changed as per Equation (4) where wMS is the model-scale effective wake with the ESD:
The introduction of the latest amendments of ITTC’21 leads to the proposal by Kim et al. (2017):
being Fx and Ft two weighting coefficients accounting for the importance of the axial and tangential components of the velocity field (i.e., on the functioning principle/main disturbance action of the energy-saving devices).
The results of Table 10 show a generally good agreement of extrapolation methods compared to full-scale RANSE data and some consequences of the adoption of the latest methodology. For the reference ship without ESD, the ITTC’78 extrapolation formula is very close to the calculations while the same methodology modified to include ESD substantially underestimates the decelerating action of the devices since the proposed values of wSS are extremely close to wS and far from the full-scale calculations.
Table 10.
Full-scale effective wake fractions w using several extrapolation methods compared to full-scale RANSE analyses. ITTC’ 21 is applied using the suggested values of axial and tangential coefficients (0.8/0.2 for PSD, 0.3/0.7 for PSF, pure axial for WED).
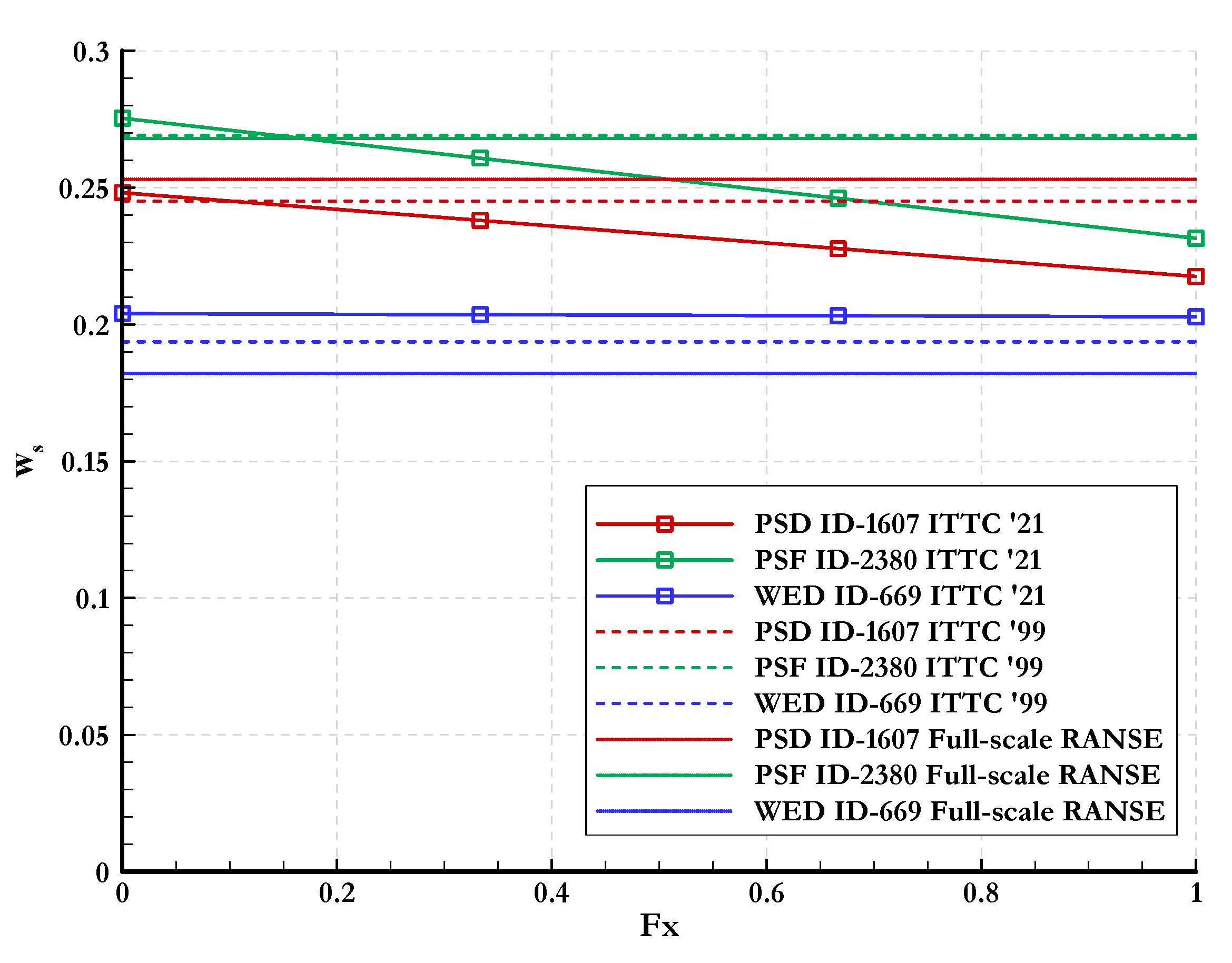
Extrapolations using ITTC’99 and ITTC’21 are closer to each other and similar to full-scale RANSE. ITTC’99, for these particular devices and hull, predicts the closest values of full-scale effective wake fractions which are less than 1% different from RANSE with only the WED wake slightly overestimated (average velocity slower than RANSE calculations). The ITTC’21 values, computed using the suggested values of axial and tangential coefficients, are between those of ITTC’78 and ITTC’99 for PSD and PSF and almost identical to ITTC’78 for the WED. Since the weights for axial and tangential components are based on few preliminary calculations of two ESDs for KCS and KVLCC ships only [47], Figure 13 collects the predicted full-scale wakes as functions of the axial coefficient (the tangential is 1—Fx).
Figure 13.
Full-scale effective wake fractions using several extrapolation methods compared to full-scale RANSE calculations. Influence of axial/tangential coefficients of the ITTC’21 procedure.
The extrapolation of the PSF closely resembles the assumptions of [47] and, consequently, those of the ITTC’21 procedure. As the PSF is purely a swirling device, a good correlation with full-scale data is found with a relatively small contribution of the axial component, that in the current case corresponds to a value of 0.18, close to the suggested coefficient of 0.3. The extrapolation of the PSD, which in principle is a device that should realize an axial flow acceleration due to the duct, on the contrary, shows the best agreement with full-scale RANSE when the axial contribution (Fx) to the scaling method is nullified. The effective wake fractions from the averaging of the flowfield on the propeller disc of BEM/RANSE calculations, essentially representative of the axial component of the wake, have indeed shown a negligible acceleration due to the presence of the nozzle in the PSD; in addition, the tangential disturbance was not very different from the PSF case, suggesting the pre-eminent contribution of the swirling flow also in the case of the current PSD.
5. Conclusions
A simulation-based design optimization method is employed to design different types of energy-saving devices for the DTC hull test case. In the specific, pre-swirl ducts, pre-swirl fins and wake-equalizing ducts are considered to investigate the potentialities of such configurations and of a design-by-optimization method in a very challenging test case since the DTC hull lines and the operative design speed of the vessel are far from those (fully blocked, slow steaming) usually considered suitable for the application of this type of device. The design is carried out by analyzing thousands of different geometries, handled by a parametric model, a genetic algorithm to widely explore the design space and a computationally efficient method for self-propulsion assessment since the most appropriate key performance indicator of the design was identified in the delivered power of the propeller operating in the modified effective wake of the ESD in self-propulsion conditions. To this aim, only a method capable of accounting for the propeller performances in an axial and tangential spatially varying velocity field, such as the proposed coupled BEM/RANSE, results in being appropriate for building an optimization-based design approach.
The SBDO process was successful in a two-fold way. On the one hand, the systematic exploration and exploitation of the design space identified some optimal geometries capable, in the case of PSD and PSF, of an appreciable reduction in the delivered power of up to 4% (simplified self-propulsion calculations using the BEM/RANSE), which is significative considering the type of ship and functioning conditions under investigation. This exploration/exploitation process was carried out in a reasonable computational time, which is a crucial aspect for any simulation-based design method, thanks to the adoption of the simplified self-propulsion estimation method. On the other hand, since none of the hundreds of geometries tested was able to provide a decent (and confirmed by higher fidelity analyses) energy-saving performance, the unfeasibility of other solutions such as the wake-equalizing ducts for this specific application was demonstrated; consequently, this is evidence of the flexibility of the proposed design method in handling complex and very different devices based on different working principles when appropriate key performance indicators are employed to drive the iterative design process. Moreover, its reliability was verified thanks to dedicated higher-fidelity calculations. If, from an absolute point of view, the predictions of delivered power using RANSE calculations with the fully resolved propeller model were slightly different from the simplified method as a result of several small discrepancies (full-scale propeller characteristics as well as hull/propeller interactions), from a relative point of view these calculations confirmed the outcomes of the optimization process, identifying in the PSF the most suitable device for energy saving. The improvement in performance was confirmed close to 3%, which is far from the 6–8% of similar design processes in the case of fully blocked ships but is still valuable given the required power and the application type.
Model scale calculations were also included in the investigation with the aim of identifying possible scaling issues and verifying the recently proposed extrapolation methodologies for the estimation of the effective full-scale wake in the presence of energy-saving devices. The systematic comparison of model- and full-scale data evidenced, in terms of predictions of performance (and then, of trends of the design-by-optimization), a possible limitation in the actuator disk model when interacting with wake-equalizing ducts. An overestimation of the thrust obtainable by the WED in the case of BEM/RANSE calculations is, indeed, the reason for most of the differences with respect to the fully resolved propeller model. At the same time, it evidenced the importance of a design process in the real, full-scale, functioning conditions of the device that is heavily affected by the local characteristics of the flowfield. In terms of effective wake extrapolation, most recent ITTC formulations seem reliable in accounting for the presence of energy-saving devices. ITTC’99, in particular, provided the closest results to full-scale RANSE. The latest ITTC’21 procedure seems flexible enough, if fed with appropriate calibration data, to account for differences in the scaling of retarded and swirled flow even if its application in the case of the current pre-swirl duct did not confirm the importance of the axial component of the wake observed instead in other applications.
Author Contributions
Conceptualization, S.G.; methodology, S.G., G.N. and D.V.; software, S.G., G.N. and D.V.; validation, S.G. and G.N.; formal analysis, G.N. and S.G.; investigation, S.G. and G.N.; data curation, G.N.; writing—original draft preparation, S.G.; writing—review and editing, S.G.; visualization, G.N.; supervision, S.G. All authors have read and agreed to the published version of the manuscript.
Funding
This research received no external funding.
Data Availability Statement
The data presented in this study are available on request from the corresponding author.
Conflicts of Interest
The authors declare no conflict of interest.
References
- International Maritime Organization. Part a (IMO) Interim Guidelines for Voluntary Verification of the Energy Efficiency Design Index; MEPC.1/Circ.682; IMO: London, UK, 2009. [Google Scholar]
- International Maritime Organization. Part b (IMO) Guidelines for Voluntary Use of the Ship Energy Efficiency Operational Indicator; MEPC.1/Circ. 684; IMO: London, UK, 2009. [Google Scholar]
- International Maritime Organization. Guidelines on the Method of Calculation of the Attained Energy Efficiency Design Index (EEDI) for New Ships; Annex 5, Resolution MEPC.245(66); International Maritime Organization: London, UK, 2014. [Google Scholar]
- Lammeren, W.V. Enkele Constructies ter Verbetering van het Rendement van de Voortstuwing. Nederlands Scheepsbouwkundig Proefstation, Wageningen; Report No. 77; Publicatie in: Schip en Werf, No. 7; Wyt: Rotterdam, The Netherlands, 1949. [Google Scholar]
- Kim, M.C.; Chun, H.H.; Kang, Y.D. Design and Experimental Study on a New Concept of Preswirl Stator as an Efficient Energy-Saving Device for Slow Speed Full Body Ship. In Proceedings of the SNAME Annual Meeting, Washington, DC, USA, 21–23 October 2004. [Google Scholar]
- Ouchi, K.; Ogura, M. A Research and Development of PBCF (Propeller Boss Cap Fins), improvement of flow from propeller boss. J. Soc. Nav. Arch. Jpn. 1988, 163, 66–78. (In Japanese) [Google Scholar] [CrossRef]
- Kim, J.H.; Choi, J.E.; Choi, B.J.; Chung, S.H. Twisted rudder for reducing fuel-oil consumption. Int. J. Nav. Archit. Ocean Eng. 2014, 6, 715–722. [Google Scholar] [CrossRef]
- Sakamoto, N.; Kume, K.; Kawanami, Y.; Kamiirisa, H.; Mokuo, K.; Tamashima, M. Evaluation of hydrodynamic performance of pre-swirl and post-swirl ESDs for merchant ships by numerical towing tank procedure. Ocean Eng. 2019, 178, 104–133. [Google Scholar] [CrossRef]
- Mewis, F. A novel power-saving device for full-form vessels. In Proceedings of the First International Symposium on Marine Propulsors, Trondheim, Norway, 22–24 June 2009. [Google Scholar]
- Furcas, F.; Vernengo, G.; Villa, D.; Gaggero, S. Design of Wake Equalizing Ducts using RANSE-based SBDO. Appl. Ocean Res. 2020, 97, 102087. [Google Scholar] [CrossRef]
- Kim, J.-H.; Choi, J.-E.; Choi, B.-J.; Chung, S.-H.; Seo, H.-W. Development of energy-saving devices for a full slow-speed ship through improving propulsion performance. Int. J. Nav. Arch. Ocean Eng. 2015, 7, 390–398. [Google Scholar] [CrossRef]
- Streckwall, H.; Xing-Kaeding, Y. On the working principle of pre-swirl stators and on their application benefit and design targets. Int. Shipbuild. Prog. 2017, 63, 87–107. [Google Scholar] [CrossRef]
- Schuiling, B.; van Terwisga, T. Hydrodynamic working principle of energy saving devices in ship propulsion system. Int. Shipbuild. Prog. 2017, 63, 255–290. [Google Scholar] [CrossRef]
- Prins, H.; Flikkema, M.; Schuiling, B.; Xing-Kaeding, Y.; Voermans, A.; Müller, M.; Coache, S.; Hasselaar, T.; Paboeuf, S. Green Retrofitting through Optimisation of Hull-propulsion Interaction—GRIP. Transp. Res. Procedia 2016, 14, 1591–1600. [Google Scholar] [CrossRef]
- Koushan, K.; Krasilnikov, V.; Nataletti, M.; Sileo, L.; Spence, S. Experimental and Numerical Study of Pre-Swirl Stators PSS. J. Mar. Sci. Eng. 2020, 8, 47. [Google Scholar] [CrossRef]
- Bakica, A.; Vladimir, N.; Jasak, H.; Kim, E.S. Numerical simulations of hydrodynamic loads and structural responses of a Pre-Swirl Stator. Int. J. Nav. Arch. Ocean Eng. 2021, 13, 804–816. [Google Scholar] [CrossRef]
- Nielsen, J.R.; Jin, W. Pre-swirl fins adapted to different operation conditions. In Proceedings of the 6th International Symposium on Marine Propulsors, Rome, Italy, 26–30 May 2019. [Google Scholar]
- Gaggero, S.; Martinelli, M. Pre- and post-swirl fins design for improved propulsive performances. Ship Technol. Res. 2022, 69, 31–49. [Google Scholar] [CrossRef]
- Hai-Long, S.; Obwogi, E.O.; Yu-Min, S. Scale effects for rudder bulb and rudder thrust fin on propulsive efficiency based on computational fluid dynamics. Ocean Eng. 2016, 117, 199–209. [Google Scholar] [CrossRef]
- Mizzi, K.; Demirel, Y.K.; Banks, C.; Turan, O.; Kaklis, P.; Atlar, M. Design optimisation of Propeller Boss Cap Fins for enhanced propeller performance. Appl. Ocean Res. 2017, 62, 210–222. [Google Scholar] [CrossRef]
- Gaggero, S. Design of PBCF energy saving devices using optimization strategies: A step towards a complete viscous design approach. Ocean Eng. 2018, 159, 517–538. [Google Scholar] [CrossRef]
- Seo, J.; Lee, S.J.; Han, B.; Rhee, S.H. Influence of Design Parameter Variations for Propeller-Boss-Cap-Fins on Hub Vortex Reduction. J. Ship Res. 2016, 60, 203–218. [Google Scholar] [CrossRef]
- Guiard, T.; Leonard, S. The Becker Mewis Duct®-Challenges in Full-Scale Design and new Developments for Fast Ships. In Proceedings of the 3rd International Symposium on Marine Propulsors, Launceston, TAS, Australia, 5–8 May 2013. [Google Scholar]
- Nowruzi, H.; Najafi, A. An experimental and CFD study on the effects of different pre-swirl ducts on propulsion performance of series 60 ship. Ocean Eng. 2019, 173, 491–509. [Google Scholar] [CrossRef]
- Chang, X.; Sun, S.; Zhi, Y.; Yuan, Y. Investigation of the effects of a fan-shaped Mewis duct before a propeller on propulsion performance. J. Mar. Sci. Technol. 2019, 24, 46–59. [Google Scholar] [CrossRef]
- Zondervan, G.; Holtrop, J.; Windt, J.; Van Terwisga, T. On the design and analysis of pre-swirl stators for single and twin screw ships. In Proceedings of the Second International Symposium on Marine Propulsors, Hamburg, Germany, 15–17 June 2011. [Google Scholar]
- Kang, J.-G.; Kim, M.-C.; Shin, Y.-J. Study on Compact Pre-Swirl Duct for Slender Aft-Body Crude Oil Carrier. J. Mar. Sci. Eng. 2022, 10, 396. [Google Scholar] [CrossRef]
- Gaggero, S. Numerical design of a RIM-driven thruster using a RANS-based optimization approach. Appl. Ocean Res. 2020, 94, 101941. [Google Scholar] [CrossRef]
- Gaggero, S.; Martinelli, M. Design and analysis of pumpjet propulsors using CFD-based optimization. Ocean Eng. 2023, 277, 114304. [Google Scholar] [CrossRef]
- Villa, D.; Gaggero, S.; Coppede, A.; Vernengo, G. Parametric hull shape variations by Reduced Order Model based geometric transformation. Ocean Eng. 2020, 216, 107826. [Google Scholar] [CrossRef]
- El Moctar, O.; Shigunov, V.; Zorn, T. Duisburg Test Case: Post-Panamax Container Ship for Benchmarking. Ship Technol. Res. 2012, 59, 50–64. [Google Scholar] [CrossRef]
- Furcas, F.; Gaggero, S. Pre-swirl stators design using a coupled BEM-RANSE approach. Ocean Eng. 2021, 222, 108579. [Google Scholar] [CrossRef]
- Gaggero, S.; Villa, D.; Viviani, M. An extensive analysis of numerical ship self-propulsion prediction via a coupled BEM/RANS approach. Appl. Ocean Res. 2017, 66, 55–78. [Google Scholar] [CrossRef]
- Villa, D.; Gaggero, S.; Gaggero, T.; Tani, G.; Vernengo, G.; Viviani, M. An efficient and robust approach to predict ship self-propulsion coefficients. Appl. Ocean Res. 2019, 92, 101862. [Google Scholar] [CrossRef]
- ITTC. Final report of the specialist committee on unconventional propulsors. In Proceedings of the 22nd International Towing Tank Conference, Shanghai, China, 5–11 September 1999. [Google Scholar]
- ITTC. ITTC 1978 Performance Prediction Method. ITTC Recommended Procedures and Guidelines; Section 7.5-02-03-01.4; Effective date: 2014, Rev. 03; ITTC: Zurich, Switzerland, 2014. [Google Scholar]
- Takekuma, K. Evaluation of various types of nozzle propellers and reaction fin as a device for the improvement of propulsive performance of high-block coefficient ship. In Proceedings of the SNAME Shipboard Energy Conservation Symposium, New York, NY, USA, 22–23 September 1980; pp. 74–84. [Google Scholar]
- ITTC. Scaling Method for Ship Wake Fraction with Pre-swirl Devices. In ITTC Recommended Procedures and Guidelines; Section 7.5-02-03-01.8, Effective date: 2021, Rev. 00; ITTC: Zurich, Switzerland, 2021. [Google Scholar]
- Siemens PLM. StarCCM+ Users’ Manual, Version 16.04; Siemens PLM: Plano, TX, USA, 2021.
- Rodi, W. Experience with Two-Layer Models Combining the k-ε Model with a One-Equation Model Near the Wall. In Proceedings of the 29th Aerospace Sciences Meeting, Reno, NV, USA, 7–10 January 1991. AIAA 91-0216. [Google Scholar]
- Eça, L.; Hoekstra, M. A procedure for the estimation of the numerical uncertainty of CFD calculations based on grid refinement studies. J. Comput. Phys. 2014, 262, 104–130. [Google Scholar] [CrossRef]
- Villa, D.; Viviani, M.; Tani, G.; Gaggero, S.; Bruzzone, D.; Podenzana, C.B. Numerical Evaluation of Rudder Performance Behind a Propeller in Bollard Pull Condition. J. Mar. Sci. Appl. 2018, 17, 153–164. [Google Scholar] [CrossRef]
- Esteco. modeFRONTIER Users’ Manual; Esteco: Trieste, Italy, 2017. [Google Scholar]
- Dang, J.; Dong, G.; Chen, H. An Exploratory Study on the Working Principles of Energy Saving Devices (ESDs): PIV, CFD Investigations and ESD Design Guidelines. In Proceedings of the International Conference on Offshore Mechanics and Arctic Engineering, Rio de Janeiro, Brazil, 14–15 November 2012; American Society of Mechanical Engineers: New York, NY, USA, 2012; Volume 44922, pp. 25–34. [Google Scholar] [CrossRef]
- Gaggero, S.; Villa, D.; Viviani, M. An Investigation on the Discrepancies Between RANSE and BEM Approaches for the Prediction of Marine Propeller Unsteady Performances in Strongly Non-Homogeneous Wakes. In Proceedings of the International Conference on Offshore Mechanics and Arctic Engineering, San Francisco, CA, USA, 8–13 June 2014; American Society of Mechanical Engineers: New York, NY, USA, 2014. [Google Scholar] [CrossRef]
- Park, S.; Oh, G.; Rhee, S.H.; Koo, B.-Y.; Lee, H. Full scale wake prediction of an energy saving device by using computational fluid dynamics. Ocean Eng. 2015, 101, 254–263. [Google Scholar] [CrossRef]
- Kim, M.C.; Shin, Y.J.; Lee, W.J.; Lee, J.H. Study on extrapolation method for self-propulsion test with pre-swirl device. In Proceedings of the International Symposium on Marine Propulsion (SMP’17), Espoo, Finland, 12–15 June 2017; pp. 12–15. [Google Scholar]
Disclaimer/Publisher’s Note: The statements, opinions and data contained in all publications are solely those of the individual author(s) and contributor(s) and not of MDPI and/or the editor(s). MDPI and/or the editor(s) disclaim responsibility for any injury to people or property resulting from any ideas, methods, instructions or products referred to in the content. |
© 2023 by the authors. Licensee MDPI, Basel, Switzerland. This article is an open access article distributed under the terms and conditions of the Creative Commons Attribution (CC BY) license (https://creativecommons.org/licenses/by/4.0/).