Effects of Mud Supply and Hydrodynamic Conditions on the Sedimentary Distribution of Estuaries: Insights from Sediment Dynamic Numerical Simulation
Abstract
1. Introduction
2. Method and Parameters
2.1. Numerical Simulation Method
2.2. Numerical Simulation Parameters
3. Results
3.1. Effect of Mud Concentration on the Sedimentary Characteristics
3.2. Effects of Mud Transport Properties on the Tidal Bar Characteristics
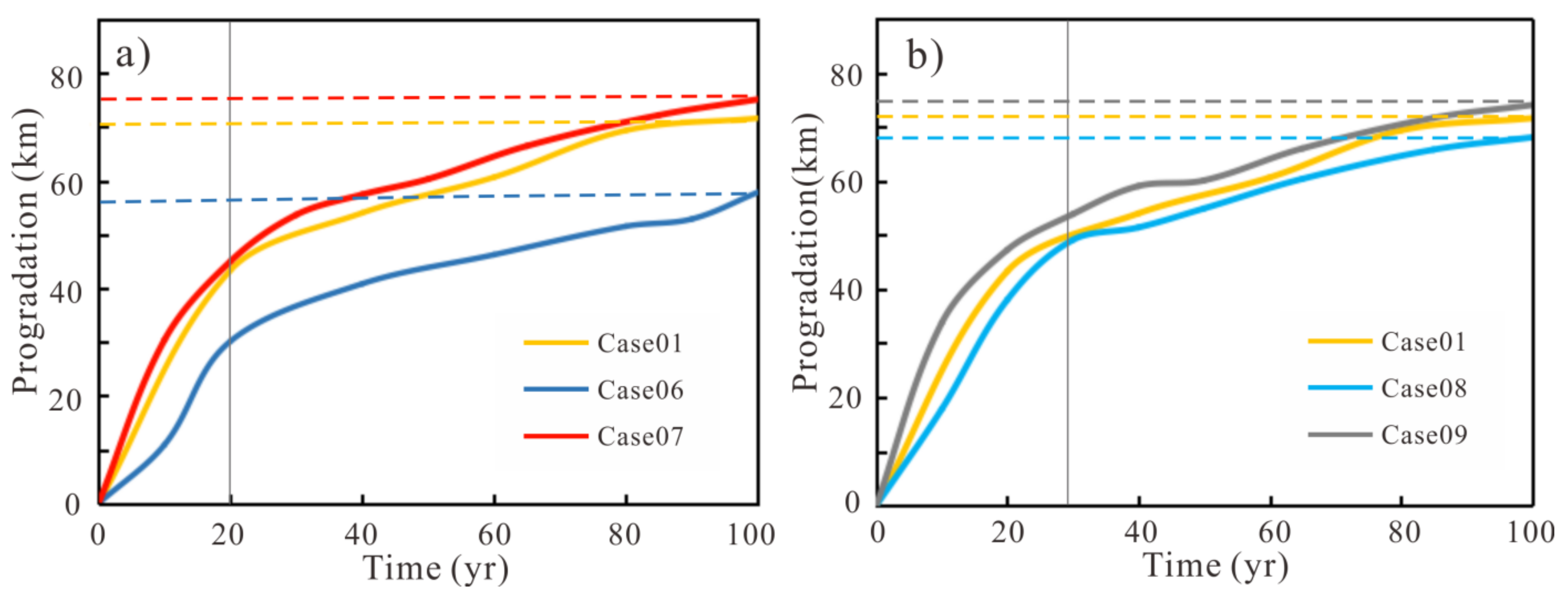
3.3. Effects of Hydrodynamic Conditions on the Sedimentary Distribution in Estuaries
4. Discussion
4.1. Comparison with Modern Sedimentation
4.2. Distribution of the Mud Deposits
5. Conclusions
Supplementary Materials
Author Contributions
Funding
Conflicts of Interest
References
- Galloway, W.E. Process Framework for Describing the Morphologic and Stratigraphic Evolution of Deltaic Depositional Systems; Houston Geological Society: Houston, TX, USA, 1975; pp. 87–98. [Google Scholar]
- Dalrymple, R.W.; Zaitlin, B.A.; Boyd, R. Estuarine Facies Models: Conceptual Basis and Stratigraphic Implications. J. Sediment. Res. 1992, 62, 1130–1146. [Google Scholar] [CrossRef]
- Dalrymple, R.W.; Choi, K. Morphologic and facies trends through the fluvial–marine transition in tide-dominated depositional systems: A schematic framework for environmental and sequence-stratigraphic interpretation. Earth-Sci. Rev. 2007, 81, 135–174. [Google Scholar] [CrossRef]
- Gugliotta, M.; Saito, Y.; Van Lap, N.; Thi Kim Oanh, T.; Nakashima, R.; Tamura, T.; Uehara, K.; Katsuki, K.; Yamamoto, S. Process regime, salinity, morphological, and sedimentary trends along the fluvial to marine transition zone of the mixed-energy Mekong River delta, Vietnam. Cont. Shelf Res. 2017, 147, 7–26. [Google Scholar] [CrossRef]
- Van der Wegen, M.; Wang, Z.B.; Savenije, H.H.G.; Roelvink, J.A. Long-term morphodynamic evolution and energy dissipation in a coastal plain, tidal embayment. J. Geophys. Res-Earth Surf. 2008, 113, F03001. [Google Scholar] [CrossRef]
- Gugliotta, M.; Saito, Y.; Nguyen, V.L.; Ta, T.K.O.; Tamura, T. Sediment distribution and depositional processes along the fluvial to marine transition zone of the Mekong River delta, Vietnam. Sedimentology 2019, 66, 146–164. [Google Scholar] [CrossRef]
- Dalman, R.; Weltje, G.J.; Karamitopoulos, P. High-resolution sequence stratigraphy of fluvio-deltaic systems: Prospects of system-wide chronostratigraphic correlation. Earth Planet. Sci. Lett. 2015, 412, 10–17. [Google Scholar] [CrossRef]
- Van Ledden, M.V.; Kesteren, W.; Winterwerp, J.C. A conceptual framework for the erosion behaviour of sand–mud mixtures. Cont. Shelf Res. 2004, 24, 1–11. [Google Scholar] [CrossRef]
- Le Hir, P.; Cayocca, F.; Waeles, B. Dynamics of sand and mud mixtures: A multiprocess-based modelling strategy. Cont. Shelf Res. 2011, 31, S135–S149. [Google Scholar] [CrossRef]
- Schuurman, F.; Shimizu, Y.; Iwasaki, T.; Kleinhans, M.G. Dynamic meandering in response to upstream perturbations and floodplain formation. Geomorphology 2016, 253, 94–109. [Google Scholar] [CrossRef]
- Dalrymple, R.W.; Baker, E.K.; Harris, P.T.; Hughes, M.G. Sedimentology and Stratigraphy of a Tide-Dominated, Foreland-Basin Delta (Fly River, Papua New Guinea). In Tropical Deltas of Southeast Asia; SEPM (Society for Sedimentary Geology): Tulsa, OK, USA, 2003; pp. 143–173. [Google Scholar]
- Fenies, H.; Tastet, J.P. Facies and architecture of an estuarine tidal bar (the Trompeloup bar, Gironde Estuary, SW France). Mar. Geol. 1998, 150, 149–169. [Google Scholar] [CrossRef]
- Van de Lageweg, W.I.; Braat, L.; Parsons, D.R.; Kleinhans, M.G. Controls on mud distribution and architecture along the fluvial-to-marine transition. Geology 2018, 46, 971–974. [Google Scholar] [CrossRef]
- Van de Lageweg, W.I.; Feldman, H. Process-based modelling of morphodynamics and bar architecture in confined basins with fluvial and tidal currents. Mar. Geol. 2018, 398, 35–47. [Google Scholar] [CrossRef]
- Winterwerp, J.C. Fine sediment transport by tidal asymmetry in the high-concentrated Ems River: Indications for a regime shift in response to channel deepening. Ocean Dyn. 2011, 61, 203–215. [Google Scholar] [CrossRef]
- Verlaan, P. Marine vs Fluvial Bottom Mud in the Scheldt Estuary. Estuar. Coast. Shelf Sci. 2000, 50, 627–638. [Google Scholar] [CrossRef]
- Cleveringa, J.; Dam, G. Slib in de Sedimentbalans van de Westerschelde; Eindrapport G-3, 1630/U12376/C/GD; Vlaams Nederlandse Scheldecommissie: Bergen op Zoom, The Netherlands, 2013. [Google Scholar]
- Kleinhans, M.G. Sorting out river channel patterns. Prog. Phys. Geogr 2010, 34, 287–326. [Google Scholar] [CrossRef]
- Schramkowski, G.P.; Schuttelaars, H.M.; de Swart, H.E. The Effect of Geometry and Bottom Friction on Local Bed Forms in a Tidal Embayment. Cont. Shelf Res. 2002, 22, 182–1833. [Google Scholar] [CrossRef]
- Toffolon, M.; Crosato, A. Developing Macroscale Indicators for Estuarine Morphology: The Case of the Scheldt Estuary. J. Coast. Res. 2007, 231, 195–212. [Google Scholar] [CrossRef]
- Tessier, B. Stratigraphy of tide-dominated estuaries. In Principles of Tidal Sedimentology; Davis, R.A., Jr., Dalrymple, R.W., Eds.; Springer: Dordrecht, The Netherlands, 2012; pp. 109–128. [Google Scholar]
- Sprovieri, M.; Bonanno, A.; Mazzola, S.; Patti, B. Cyclostratigraphy: A methodological approach. Riv. Ital. Paleontol. Stratigr. 2002, 108, 179–182. [Google Scholar] [CrossRef]
- Die Moran, A.D.; Abderrezzak, K.E.K.; Mosselman, E.; Habersack, H.; Lebert, F.; Aelbrecht, D.; Laperrousaz, E. Physical model experiments for sediment supply to the old Rhine through induced bank erosion. Int. J. Sediment. Res. 2013, 28, 431–447. [Google Scholar] [CrossRef]
- Leuven, J.R.; Braat, L.; van Dijk, W.M.; de Haas, T.; Van Onselen, E.; Ruessink, B.; Kleinhans, M.G. Growing forced bars determine nonideal estuary planform. J. Geophys. Res. Earth Surf. 2018, 123, 2971–2992. [Google Scholar] [CrossRef]
- Peng, Y.; Olariu, C.; Steel, R.J. Recognizing tide-and wave-dominated compound deltaic clinothems in the rock record. Geology 2020, 48, 1149–1153. [Google Scholar] [CrossRef]
- Alshammari, B.; Mountney, N.P.; Colombera, L.; Al-Masrahy, M.A. Sedimentology and stratigraphic architecture of a fluvial to shallow-marine succession: The Jurassic Dhruma Formation, Saudi Arabia. J. Sediment. Res. 2021, 91, 773–794. [Google Scholar] [CrossRef]
- Liu, X.; Lu, S.; Mingming, T.; Sun, D.; Tang, J.; Zhang, K.; He, T.; Qi, N.; Lu, M. Numerical Simulation of Sedimentary Dynamics to Estuarine Bar under the Coupled Fluvial-Tidal Control. Diqiu Kexue-Zhongguo Dizhi Daxue Xuebao/Earth Sci.-J. China Univ. Geosci 2020, 46, 2944–2957. [Google Scholar] [CrossRef]
- Tang, M.; Lu, S.; Zhang, K.; Yin, X.; Ma, H.; Shi, X.; Liu, X.; Chu, C. A three dimensional high-resolution reservoir model of Napo Formation in Oriente Basin, Ecuador, integrating sediment dynamic simulation and geostatistics. Mar. Pet. Geol. 2019, 110, 240–253. [Google Scholar] [CrossRef]
- Weisscher, S.A.H.; Shimizu, Y.; Kleinhans, M.G. Upstream perturbation and floodplain formation effects on chute-cutoff-dominated meandering river pattern and dynamics. Earth Surf. Process. Landf. 2019, 44, 2156–2169. [Google Scholar] [CrossRef]
- Edmonds, D.A.; Slingerland, R.L. Mechanics of river mouth bar formation: Implications for the morphodynamics of delta distributary networks. J. Geophys. Res.-Earth Surf. 2007, 112, F02034. [Google Scholar] [CrossRef]
- Burpee, A.P.; Slingerland, R.L.; Edmonds, D.A.; Parsons, D.; Best, J.; Cederberg, J.; McGuffin, A.; Caldwell, R.; Nijhuis, A.; Royce, J. Grain–size controls on the morphology and internal geometry of river-dominated deltas. J. Sediment. Res. 2015, 85, 699–714. [Google Scholar] [CrossRef]
- Van Ledden, M.; Wang, Z.B.; Winterwerp, H.; de Vriend, H. Sand-mud morphodynamics in a short tidal basin. Ocean. Dyn. 2004, 54, 385–391. [Google Scholar] [CrossRef]
- Lesser, G.R.; Roelvink, J.A.; van Kester, J.; Stelling, G.S. Development and validation of a three-dimensional morphological model. Coast. Eng 2004, 51, 883–915. [Google Scholar] [CrossRef]
- Guo, L.; van der Wegen, M.; Wang, Z.B.; Roelvink, D.; He, Q. Exploring the impacts of multiple tidal constituents and varying river flow on long-term, large-scale estuarine morphodynamics by means of a 1-D model. J. Geophys. Res.-Earth Surf. 2016, 121, 1000–1022. [Google Scholar] [CrossRef]
- Vona, I.; Palinkas, C.M.; Nardin, W. Sediment Exchange Between the Created Saltmarshes of Living Shorelines and Adjacent Submersed Aquatic Vegetation in the Chesapeake Bay. Front. Mar. Sci. 2021, 8, 727080. [Google Scholar] [CrossRef]
- Zhu, Q.; Wiberg, P.L.; Reidenbach, M.A. Quantifying Seasonal Seagrass Effects on Flow and Sediment Dynamics in a Back-Barrier Bay. J. Geophys. Res.-Oceans 2021, 126, e2020JC016547. [Google Scholar] [CrossRef]
- Caldwell, R.L.; Edmonds, D.A. The effects of sediment properties on deltaic processes and morphologies: A numerical modeling study. J. Geophys. Res.-Earth Surf. 2014, 119, 961–982. [Google Scholar] [CrossRef]
- Partheniades, E. Erosion and Deposition of Cohesive Soils. Am. Soc. Civ. Eng. 1965, 91, 105–139. [Google Scholar] [CrossRef]
- Engelund, F.A.; Hansen, E. A Monograph on Sediment Transport in Alluvial Streams. Hydrotechnical Construction; Tekniskforlag: Copenhagen, Denmark, 1967. [Google Scholar]
- Davies, G.; Woodroffe, C.D. Tidal estuary width convergence: Theory and form in North Australian estuaries. Earth Surf. Process. Landf. 2010, 35, 737–749. [Google Scholar] [CrossRef]
- Dam, G.; van der Wegen, M.; Labeur, R.J.; Roelvink, D. Modeling centuries of estuarine morphodynamics in the Western Scheldt estuary. Geophys. Res. Lett. 2016, 43, 3839–3847. [Google Scholar] [CrossRef]
- Guo, L.; van der Wegen, M.; Roelvink, D.; He, Q. Exploration of the impact of seasonal river discharge variations on long-term estuarine morphodynamic behavior. Coast. Eng. 2015, 95, 105–116. [Google Scholar] [CrossRef]
- Khojasteh, D.; Glamore, W.; Heimhuber, V.; Felder, S. Sea level rise impacts on estuarine dynamics: A review. Sci. Total Environ 2021, 780, 146470. [Google Scholar] [CrossRef]
- Roelvink, J.A. Coastal morphodynamic evolution techniques. Coast. Eng. 2006, 53, 277–287. [Google Scholar] [CrossRef]
- Braat, L.; van Kessel, T.; Leuven, J.R.F.W.; Kleinhans, M.G. Effects of mud supply on large-scale estuary morphology and development over centuries to millennia. Earth Surf. Dyn. 2017, 5, 617–652. [Google Scholar] [CrossRef]
- Ribberink, J.S.; Blom, A.; van der Scheer, P.; van Straalen, M.P. Multi-fraction techniques for sediment transport and morphological modeling in sand-gravel rivers. River Flow 2002, 2002, 731–739. [Google Scholar]
- Geleynse, N.; Storms, J.E.A.; Walstra, D.-J.R.; Jagers, H.R.A.; Wang, Z.B.; Stive, M.J.F. Controls on river delta formation; insights from numerical modelling. Earth Planet. Sci. Lett 2011, 302, 217–226. [Google Scholar] [CrossRef]
- Van der Vegt, H.; Storms, J.E.A.; Walstra, D.J.R.; Howes, N.C. Can bed load transport drive varying depositional behaviour in river delta environments? Sediment. Geol. 2016, 345, 19–32. [Google Scholar] [CrossRef]
- Gugliotta, M.; Saito, Y. Matching trends in channel width, sinuosity, and depth along the fluvial to marine transition zone of tide-dominated river deltas: The need for a revision of depositional and hydraulic models. Earth-Sci. Rev. 2019, 191, 93–113. [Google Scholar] [CrossRef]
- Van Kessel, T.; Vanlede, J.; de Kok, J. Development of a mud transport model for the Scheldt estuary. Cont. Shelf Res. 2011, 31, S165–S181. [Google Scholar] [CrossRef]
- Gugliotta, M.; Saito, Y.; Nguyen, V.L.; Ta, T.K.O.; Tamura, T.; Fukuda, S. Tide-and river-generated mud pebbles from the fluvial to marine transition zone of the Mekong River Delta, Vietnam. J. Sediment. Res. 2018, 88, 981–990. [Google Scholar] [CrossRef]
- Feldman, H.; Demko, T. Recognition and prediction of petroleum reservoirs in the fluvial/tidal transition—ScienceDirect. Dev. Sedimentol. 2015, 68, 483–528. [Google Scholar] [CrossRef]
- Boyd, R. Classification of clastic coastal depositional environments. Sediment. Geol. 1992, 80, 139–150. [Google Scholar] [CrossRef]
- Hibma, A.; de Vrient, H.J.; Stive, M.J.F. Numerical modelling of shoal pattern formation in well-mixed elongated estuaries. Estuar. Coast. Shelf Sci. 2003, 57, 981–991. [Google Scholar] [CrossRef]
- Leuven, J.R.F.W.; Kleinhans, M.G.; Weisscher, S.A.H.; van der Vegt, M. Tidal sand bar dimensions and shapes in estuaries. Earth-Sci. Rev. 2016, 161, 204–223. [Google Scholar] [CrossRef]
- Yang, J.; Zhang, K.; Chen, H.; Lu, S.; Wan, X.; Tang, M.; Xiao, D.; Zhang, C. Genesis of mudstone dikes and their impact on oil accumulations in D-F oilfield of Oriente Basin, Ecuador. Oil Gas Geol. 2017, 38, 1156–1164. [Google Scholar] [CrossRef]










| Parameter | Symbol | Unit | Value | Range |
|---|---|---|---|---|
| Initial water depth | - | m | 28 | - |
| Discharge | - | m3s−1 | 3000 | 1500–4500 |
| Tidal amplitude | - | m | 6.7 | 3.4–7.2 |
| Time step | dt | min | 0.5 | 0–999 |
| Threshold sediment thickness | - | m | 0.05 | 0.005–10 |
| Threshold depth | - | m | 0.1 | 0–10 |
| Min water depth for bed level change | SedThr | m | 0.1 | 0.1–10 |
| Morphological scale factor | H | - | 100 | 1–400 |
| Number of under layers | MxNULyr | - | 400 | - |
| Thickness of each under layer | ThUnLyr | m | 0.1 | - |
| Thickness of the transport layer | ThTrLyr | m | 0.2 | - |
| Erosion of adjacent dry cells | - | - | 0.5 | 0–1 |
| Sediment Component | Type | Median Sediment Diameter (μm) | Setting Velocity (mms−1) | Critical Bed Shear Stress for Sedimentation (Nm−2) | Critical Bed Shear Stress for Erosion (Nm−2) |
|---|---|---|---|---|---|
| Sand1 (S1) | NonCohesive | 125 | - | - | - |
| Sand2 (S2) | NonCohesive | 80 | - | - | - |
| Mud1 (M1) | Cohesive | - | 0.86 | 1000 | 0.3 |
| Mud2 (M2) | Cohesive | - | 0.25 | 1000 | 0.5 |
| Mud3 (M3) | Cohesive | - | 0.16 | 1000 | 0.6 |
| Model Scenario | Type | Case ID | Fluvial Mud (kgm−3) | Sediment Class | Tidal Amplitude (m) | Discharge (m3s−1) | Note |
|---|---|---|---|---|---|---|---|
| Base model | default | 01 | 1.75 | S1 S2 M2 | 6.7 | 3000 | Fluvial mud input |
| Mud supply | mud concentration | 02 | 3.5 | S1 S2 M2 | 6.7 | 3000 | Higher fluvial mud |
| 03 | 0 | S1 S2 | 6.7 | 3000 | No mud, only sand | ||
| mud transport properties | 04 | 1.75 | S1 S2 M1 | 6.7 | 3000 | Higher mud cohesive | |
| 05 | 1.75 | S1 S2 M3 | 6.7 | 3000 | Lower mud cohesive | ||
| Hydrodynamic condition | tidal amplitude | 06 | 1.75 | S1 S2 M2 | 3.4 | 3000 | Lower tide |
| 07 | 1.75 | S1 S2 M2 | 7.2 | 3000 | Higher tide | ||
| fluvial discharge | 08 | 1.75 | S1 S2 M2 | 6.7 | 1500 | Lower discharge | |
| 09 | 1.75 | S1 S2 M2 | 6.7 | 4500 | Higher discharge |
| Case ID | Average Sediment Progradation (km) | Length of Mud Interlayer (km) | Thickness of Mud Interlayer (m) | Distribution Frequency (Pieces) |
|---|---|---|---|---|
| 01 | 67.3 | 4.93 | 0.47 | 1.23 |
| 02 | 60.8 | 5.41 | 0.52 | 0.98 |
| 03 | 70.1 | - | - | - |
| 04 | 58.8 | 5.59 | 0.50 | 0.92 |
| 05 | 62.0 | 7.03 | 0.32 | 1.20 |
| 06 | 57.5 | 2.47 | 0.28 | 0.48 |
| 07 | 75.4 | 7.19 | 0.39 | 0.57 |
| 08 | 65.3 | 3.89 | 0.41 | 0.68 |
| 09 | 69.6 | 5.43 | 0.72 | 1.05 |
Disclaimer/Publisher’s Note: The statements, opinions and data contained in all publications are solely those of the individual author(s) and contributor(s) and not of MDPI and/or the editor(s). MDPI and/or the editor(s) disclaim responsibility for any injury to people or property resulting from any ideas, methods, instructions or products referred to in the content. |
© 2023 by the authors. Licensee MDPI, Basel, Switzerland. This article is an open access article distributed under the terms and conditions of the Creative Commons Attribution (CC BY) license (https://creativecommons.org/licenses/by/4.0/).
Share and Cite
Zhang, Q.; Tang, M.; Lu, S.; Liu, X.; Xiong, S. Effects of Mud Supply and Hydrodynamic Conditions on the Sedimentary Distribution of Estuaries: Insights from Sediment Dynamic Numerical Simulation. J. Mar. Sci. Eng. 2023, 11, 174. https://doi.org/10.3390/jmse11010174
Zhang Q, Tang M, Lu S, Liu X, Xiong S. Effects of Mud Supply and Hydrodynamic Conditions on the Sedimentary Distribution of Estuaries: Insights from Sediment Dynamic Numerical Simulation. Journal of Marine Science and Engineering. 2023; 11(1):174. https://doi.org/10.3390/jmse11010174
Chicago/Turabian StyleZhang, Qian, Mingming Tang, Shuangfang Lu, Xueping Liu, and Sichen Xiong. 2023. "Effects of Mud Supply and Hydrodynamic Conditions on the Sedimentary Distribution of Estuaries: Insights from Sediment Dynamic Numerical Simulation" Journal of Marine Science and Engineering 11, no. 1: 174. https://doi.org/10.3390/jmse11010174
APA StyleZhang, Q., Tang, M., Lu, S., Liu, X., & Xiong, S. (2023). Effects of Mud Supply and Hydrodynamic Conditions on the Sedimentary Distribution of Estuaries: Insights from Sediment Dynamic Numerical Simulation. Journal of Marine Science and Engineering, 11(1), 174. https://doi.org/10.3390/jmse11010174

