Bioactive Compounds for Quorum Sensing Signal-Response Systems in Marine Phycosphere
Abstract
:1. Introduction
2. Diverse Substances Involved in QS Pathway
2.1. AHLs Type Signaling Molecules
2.2. Quinolones Type Signaling Molecules
2.3. AI-2 Type Signaling Molecules
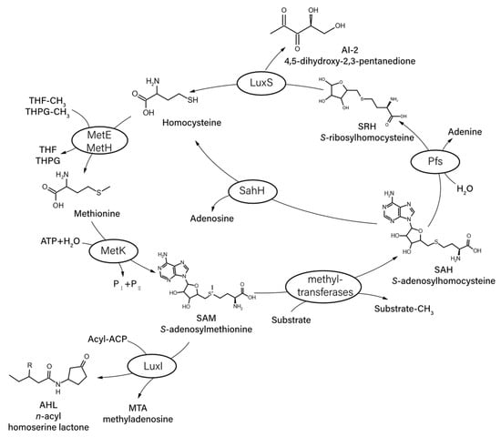
2.3.1. AI-2 in Marine Phycosphere
2.3.2. The Special Role of SAM
2.4. Other Types of Signaling Molecules
3. Functions in the Phycosphere
3.1. Modulating Microbial Colonization
3.2. Achieving Algae–Bacteria Mutualism and Competition in the Phycosphere
3.3. Contributing to Marine Biogeochemical Cycles
4. Methods in Study: Detection and Functional Evaluation
5. Potential Applications
5.1. Potential Applications in Controlling HABs
5.2. Potential Applications in Production of Biofuel
6. Conclusions and Perspectives
- 1.
- More research is needed to develop techniques for detection and isolation of signals. A large number of AHLs compounds have been discovered in the phycosphere, while other QS systems have been much less described. Omics techniques are promising for future study, especially the comparative proteomics and metabolomics, which may help to discover new signals. Moreover, it is difficult to detect and quantify the molecules in water directly due to their low concentration and chemical stability. A recent study mentions a progress in AHLs quantification from environmental samples. After flash freezing and solvent extraction, samples were analyzed with an ultra-high-performance liquid chromatography-high resolution mass spectrometry (UHPLC-HRMS) method; AHLs are quantified in high sensitivity. More research into identifying low-concentration QS signals in seawater could help us better understand the algae–bacteria interactions.
- 2.
- More model bacteria–algae systems are required for future study. Many laboratory model systems have confirmed functions regulated by QS signals so far. However, there are only a few strains that can be studied in the lab. Developing new co-culture systems could open up new avenues for research into the biological effects of QS.
- 3.
- Climate influences on QS pathway need to be further explored. Since preindustrial times, CO2 concentration in the atmosphere has increased from ~280 ppm to ~400 ppm today. According to the estimation, anthropogenic CO2 emissions will be projected to lower the pH of the ocean by 0.3 units by 2100. Since the structural integrity of AHLs is susceptible to pH, the fluctuations in pH may result in AHLs hydrolysis. It may have serious consequence among bacteria as well as marine algae. Zoospores of macroalga Ulva detect AHLs to identify bacterial biofilms for preferential settlement. AHLs triggers intracellular Ca2+ in zoospores cells, resulting in a decrease in swimming speed. QS signals are used by organisms as a part of their environmental sensing capacity; the changes in marine chemical factors may have profound consequences for both QS-bacterial and their associated algae.
Author Contributions
Funding
Institutional Review Board Statement
Informed Consent Statement
Conflicts of Interest
References
- Azam, F.; Malfatti, F. Microbial structuring of marine ecosystems. Nat. Rev. Microbiol. 2007, 5, 782–791. [Google Scholar] [CrossRef] [PubMed]
- Zhang, S.; Cai, Z.; Zhu, W.; Zeng, Y.; Zhou, J. Advances in extracellular polymeric substances in phycosphere environment. Weishengwu Xuebao 2020, 60, 1521–1533. [Google Scholar]
- Rolland, J.L.; Stien, D.; Sanchez-Ferandin, S.; Lami, R. Quorum Sensing and Quorum Quenching in the Phycosphere of Phytoplankton: A Case of Chemical Interactions in Ecology. J. Chem. Ecol. 2016, 42, 1201–1211. [Google Scholar] [CrossRef] [PubMed]
- Ramanan, R.; Kim, B.-H.; Cho, D.-H.; Oh, H.-M.; Kim, H.-S. Algae-bacteria interactions: Evolution, ecology and emerging applications. Biotechnol. Adv. 2016, 34, 14–29. [Google Scholar] [CrossRef] [PubMed] [Green Version]
- Demuth, D.R.; Lamont, R.J. Quorum Sensing and Cell-to-Cell Communication in the Dental Biofilm; Cambridge University Press: Cambridge, UK, 2006; pp. 175–197. [Google Scholar]
- Bachofen, R.; Schenk, A. Quorum sensing autoinducers: Do they play a role in natural microbial habitats? Microbiol. Res. 1998, 153, 61–63. [Google Scholar] [CrossRef]
- Wagner-Dobler, I.; Thiel, V.; Eberl, L.; Allgaier, M.; Bodor, A.; Meyer, S.; Ebner, S.; Hennig, A.; Pukall, R.; Schulz, S. Discovery of complex mixtures of novel long-chain quorum sensing signals in free-living and host-associated marine alphaproteobacteria. Chembiochem 2005, 6, 2195–2206. [Google Scholar] [CrossRef]
- Huang, X.; Zhu, J.; Cai, Z.; Lao, Y.; Jin, H.; Yu, K.; Zhang, B.; Zhou, J. Profiles of quorum sensing (QS)-related sequences in phycospheric microorganisms during a marine dinoflagellate bloom, as determined by a metagenomic approach. Microbiol. Res. 2018, 217, 1–13. [Google Scholar] [CrossRef]
- Wheeler, G.L.; Tait, K.; Taylor, A.; Brownlee, C.; Joint, I. Acyl-homoserine lactones modulate the settlement rate of zoospores of the marine alga Ulva intestinalis via a novel chemokinetic mechanism. Plant Cell Environ. 2006, 29, 608–618. [Google Scholar] [CrossRef]
- Brown, E.R.; Cepeda, M.R.; Mascuch, S.J.; Poulson-Ellestad, K.L.; Kubanek, J. Chemical ecology of the marine plankton. Nat. Prod. Rep. 2019, 36, 1093–1116. [Google Scholar] [CrossRef]
- Garrido, A.G.; Machado, L.F.; Zilberberg, C.; Leite, D.C.d.A. Insights into ‘Symbiodiniaceae phycosphere’ in a coral holobiont. Symbiosis 2021, 83, 25–39. [Google Scholar] [CrossRef]
- Hmelo, L.R.; Mincer, T.J.; Van Mooy, B.A.S. Possible influence of bacterial quorum sensing on the hydrolysis of sinking particulate organic carbon in marine environments. Environ. Microbiol. Rep. 2011, 3, 682–688. [Google Scholar] [CrossRef] [PubMed]
- Hmelo, L.R.; Annual, R. Quorum Sensing in Marine Microbial Environments. In Annual Review of Marine Science; Annual Review: Palo Alto, CA, USA, 2017; Volume 9, pp. 257–281. [Google Scholar]
- Papenfort, K.; Bassler, B.L. Quorum sensing signal-response systems in Gram-negative bacteria. Nat. Rev. Microbiol. 2016, 14, 576–588. [Google Scholar] [CrossRef] [PubMed]
- Hense, B.A.; Kuttler, C.; Mueller, J.; Rothballer, M.; Hartmann, A.; Kreft, J.-U. Opinion-Does efficiency sensing unify diffusion and quorum sensing? Nat. Rev. Microbiol. 2007, 5, 230–239. [Google Scholar] [CrossRef] [PubMed]
- Geng, H.; Belas, R. Expression of Tropodithietic Acid Biosynthesis Is Controlled by a Novel Autoinducer. J. Bacteriol. 2010, 192, 4377–4387. [Google Scholar] [CrossRef] [Green Version]
- Engebrecht, J.; Nealson, K.; Silverman, M. Bacterial Bioluminescence-Isolation and Genetic-Analysis of Functions from Vibrio Fischeri. Cell 1983, 32, 773–781. [Google Scholar] [CrossRef]
- Eberhard, A.; Burlingame, A.L.; Eberhard, C.; Kenyon, G.L.; Nealson, K.H.; Oppenheimer, N.J. Structural Identification of Autoinducer of Photobacterium-Fischeri Luciferase. Biochemistry 1981, 20, 2444–2449. [Google Scholar] [CrossRef]
- Galloway, W.R.J.D.; Hodgkinson, J.T.; Bowden, S.D.; Welch, M.; Spring, D.R. Quorum Sensing in Gram-Negative Bacteria: Small-Molecule Modulation of AHL and Al-2 Quorum Sensing Pathways. Chem. Rev. 2011, 111, 28–67. [Google Scholar] [CrossRef]
- Schaefer, A.L.; Greenberg, E.P.; Oliver, C.M.; Oda, Y.; Huang, J.J.; Bittan-Banin, G.; Peres, C.M.; Schmidt, S.; Juhaszova, K.; Sufrin, J.R.; et al. A new class of homoserine lactone quorum-sensing signals. Nature 2008, 454, 595–599. [Google Scholar] [CrossRef]
- Seyedsayamdost, M.R.; Case, R.J.; Kolter, R.; Clardy, J. The Jekyll-and-Hyde chemistry of Phaeobacter gallaeciensis. Nat. Chem. 2011, 3, 331–335. [Google Scholar] [CrossRef]
- Gardiner, M.; Fernandes, N.D.; Nowakowskil, D.; Raftery, M.; Kjelleberg, S.; Zhong, L.; Thomas, T.; Egan, S. VarR controls colonization and virulence in the marine macroalgal pathogen Nautella Italica R11. Front. Microbiol. 2015, 6, 1130. [Google Scholar] [CrossRef] [Green Version]
- Heeb, S.; Fletcher, M.P.; Chhabra, S.R.; Diggle, S.P.; Williams, P.; Camara, M. Quinolones: From antibiotics to autoinducers. FEMS Microbiol. Rev. 2011, 35, 247–274. [Google Scholar] [CrossRef] [PubMed] [Green Version]
- Jiang, X.-l.; Cui, Y.-b.; Cao, S.-h. Progress in research on quinolone antibacterials. Zhongguo Kangshengsu Zazhi 2011, 36, 255–263. [Google Scholar]
- Deziel, E.; Lepine, F.; Milot, S.; He, J.X.; Mindrinos, M.N.; Tompkins, R.G.; Rahme, L.G. Analysis of Pseudomonas aeruginosa 4-hydroxy-2-alkylquinolines (HAQs) reveals a role for 4-hydroxy-2-heptylquinoline in cell-to-cell communication. Proc. Natl. Acad. Sci. USA 2004, 101, 1339–1344. [Google Scholar] [CrossRef] [Green Version]
- Whalen, K.E.; Becker, J.W.; Schrecengost, A.M.; Gao, Y.; Giannetti, N.; Harvey, E.L. Bacterial alkylquinolone signaling contributes to structuring microbial communities in the ocean. Microbiome 2019, 7, 93. [Google Scholar] [CrossRef] [PubMed] [Green Version]
- Dow, L.; Stock, F.; Peltekis, A.; Szamosvari, D.; Prothiwa, M.; Lapointe, A.; Boettcher, T.; Bailleul, B.; Vyverman, W.; Kroth, P.G.; et al. The Multifaceted Inhibitory Effects of an Alkylquinolone on the Diatom Phaeodactylum tricornutum. Chembiochem 2020, 21, 1206–1216. [Google Scholar] [CrossRef]
- Bassler, B.L.; Wright, M.; Showalter, R.E.; Silverman, M.R. Intercellular Signaling in Vibrio-Harveyi-Sequence and Function of Genes Regulating Expression of Luminescence. Mol. Microbiol. 1993, 9, 773–786. [Google Scholar] [CrossRef]
- Pereira, C.S.; Thompson, J.A.; Xavier, K.B. AI-2-mediated signalling in bacteria. Fems Microbiol. Rev. 2013, 37, 156–181. [Google Scholar] [CrossRef] [Green Version]
- Schauder, S.; Shokat, K.; Surette, M.G.; Bassler, B.L. The LuxS family of bacterial autoinducers: Biosynthesis of a novel quorum-sensing signal molecule. Mol. Microbiol. 2001, 41, 463–476. [Google Scholar] [CrossRef]
- Chen, X.; Schauder, S.; Potier, N.; Van Dorsselaer, A.; Pelczer, I.; Bassler, B.L.; Hughson, F.M. Structural identification of a bacterial quorum-sensing signal containing boron. Nature 2002, 415, 545–549. [Google Scholar] [CrossRef]
- Winzer, K.; Hardie, K.R.; Burgess, N.; Doherty, N.; Kirke, D.; Holden, M.T.G.; Linforth, R.; Cornell, K.A.; Taylor, A.J.; Hill, P.J.; et al. LuxS: Its role in central metabolism and the in vitro synthesis of 4-hydroxy-5-methyl-3(2H)-furanone. Microbiol.-Sgm 2002, 148, 909–922. [Google Scholar] [CrossRef] [Green Version]
- Van Mooy, B.A.S.; Hmelo, L.R.; Sofen, L.E.; Campagna, S.R.; May, A.L.; Dyhrman, S.T.; Heithoff, A.; Webb, E.A.; Momper, L.; Mincer, T.J. Quorum sensing control of phosphorus acquisition in Trichodesmium consortia. ISME J. 2012, 6, 422–429. [Google Scholar] [CrossRef] [PubMed]
- Henriksen, N.; Lindqvist, L.L.; Wibowo, M.; Sonnenschein, E.C.; Bentzon-Tilia, M.; Gram, L. Role is in the eye of the beholder-the multiple functions of the antibacterial compound tropodithietic acid produced by marine Rhodobacteraceae. FEMS Microbiol. Rev. 2022, 46, fuac007. [Google Scholar] [CrossRef] [PubMed]
- Geng, H.F.; Belas, R. TdaA Regulates Tropodithietic Acid Synthesis by Binding to the tdaC Promoter Region. J. Bacteriol. 2011, 193, 4002–4005. [Google Scholar] [CrossRef] [PubMed] [Green Version]
- Amin, S.A.; Hmelo, L.R.; van Tol, H.M.; Durham, B.P.; Carlson, L.T.; Heal, K.R.; Morales, R.L.; Berthiaume, C.T.; Parker, M.S.; Djunaedi, B.; et al. Interaction and signalling between a cosmopolitan phytoplankton and associated bacteria. Nature 2015, 522, 98–101. [Google Scholar] [CrossRef] [PubMed]
- Ng, W.-L.; Bassler, B.L. Bacterial Quorum-Sensing Network Architectures. Annu. Rev. Genet. 2009, 43, 197–222. [Google Scholar] [CrossRef] [Green Version]
- Raina, J.B.; Fernandez, V.; Lambert, B.; Stocker, R.; Seymour, J.R. The role of microbial motility and chemotaxis in symbiosis. Nat. Rev. Microbiol. 2019, 17, 284–294. [Google Scholar] [CrossRef]
- Lux, R.; Shi, W.Y. Chemotaxis-guided movements in bacteria. Crit. Rev. Oral Biol. Med. 2004, 15, 207–220. [Google Scholar] [CrossRef] [Green Version]
- Smriga, S.; Fernandez, V.I.; Mitchell, J.G.; Stocker, R. Chemotaxis toward phytoplankton drives organic matter partitioning among marine bacteria. Proc. Natl. Acad. Sci. USA 2016, 113, 1576–1581. [Google Scholar] [CrossRef] [Green Version]
- Mayali, X.; Franks, P.J.S.; Burton, R.S. Temporal attachment dynamics by distinct bacterial taxa during a dinoflagellate bloom. Aquat. Microb. Ecol. 2011, 63, 111–122. [Google Scholar] [CrossRef] [Green Version]
- Samo, T.J.; Kimbrel, J.A.; Nilson, D.J.; Pett-Ridge, J.; Weber, P.K.; Mayali, X. Attachment between heterotrophic bacteria and microalgae influences symbiotic microscale interactions. Environ. Microbiol. 2018, 20, 4385–4400. [Google Scholar] [CrossRef]
- Fei, C.; Ochsenkuhn, M.A.; Shibl, A.A.; Isaac, A.; Wang, C.; Amin, S.A. Quorum sensing regulates ‘swim-or-stick’ lifestyle in the phycosphere. Environ. Microbiol. 2020, 22, 4761–4778. [Google Scholar] [CrossRef] [PubMed]
- Caruso, G. Microbial Colonization in Marine Environments: Overview of Current Knowledge and Emerging Research Topics. J. Mar. Sci. Eng. 2020, 8, 78. [Google Scholar] [CrossRef] [Green Version]
- Manefield, M.; Welch, M.; Givskov, M.; Salmond, G.P.C.; Kjelleberg, S. Halogenated furanones from the red alga, Delisea pulchra, inhibit carbapenem antibiotic synthesis and exoenzyme virulence factor production in the phytopathogen Erwinia carotovora. Fems Microbiol. Lett. 2001, 205, 131–138. [Google Scholar] [CrossRef] [PubMed]
- Xu, Y.; Curtis, T.; Dolfing, J.; Wu, Y.; Rittmann, B.E. N-acyl-homoserine-lactones signaling as a critical control point for phosphorus entrapment by multi-species microbial aggregates. Water Res. 2021, 204, 117627. [Google Scholar] [CrossRef]
- Vannini, A.; Volpari, C.; Gargioli, C.; Muraglia, E.; Cortese, R.; De Francesco, R.; Neddermann, P.; Di Marco, S. The crystal structure of the quorum sensing protein TraR bound to its autoinducer and target DNA. Embo J. 2002, 21, 4393–4401. [Google Scholar] [CrossRef]
- Majzoub, M.E.; McElroy, K.; Maczka, M.; Schulz, S.; Thomas, T.; Egan, S. Genomic Evolution of the Marine Bacterium Phaeobacter inhibens during Biofilm Growth. Appl. Environ. Microbiol. 2021, 87, e00769-21. [Google Scholar] [CrossRef]
- Wienhausen, G.; Noriega-Ortega, B.E.; Niggemann, J.; Dittmar, T.; Simon, M. The Exometabolome of Two Model Strains of the Roseobacter Group: A Marketplace of Microbial Metabolites. Front. Microbiol. 2017, 8, 1985. [Google Scholar] [CrossRef]
- Helliwell, K.E.; Wheeler, G.L.; Leptos, K.C.; Goldstein, R.E.; Smith, A.G. Insights into the Evolution of Vitamin B-12 Auxotrophy from Sequenced Algal Genomes. Mol. Biol. Evol. 2011, 28, 2921–2933. [Google Scholar] [CrossRef] [Green Version]
- Scott, A.I.; Roessner, C.A. Biosynthesis of cobalamin (vitamin B-12). Biochem. Soc. Trans. 2002, 30, 613–620. [Google Scholar] [CrossRef]
- Cooper, M.B.; Kazamia, E.; Helliwell, K.E.; Kudahl, U.J.; Sayer, A.; Wheeler, G.L.; Smith, A.G. Cross-exchange of B-vitamins underpins a mutualistic interaction between Ostreococcus tauri and Dinoroseobacter shibae. ISME J. 2019, 13, 334–345. [Google Scholar] [CrossRef] [Green Version]
- Seymour, J.R.; Amin, S.A.; Raina, J.-B.; Stocker, R. Zooming in on the phycosphere: The ecological interface for phytoplankton-bacteria relationships. Nat. Microbiol. 2017, 2, 17065. [Google Scholar] [CrossRef] [PubMed]
- Zhou, J.; Lyu, Y.; Richlen, M.L.; Anderson, D.M.; Cai, Z. Quorum Sensing Is a Language of Chemical Signals and Plays an Ecological Role in Algal-Bacterial Interactions. Crit. Rev. Plant Sci. 2016, 35, 81–105. [Google Scholar] [CrossRef] [PubMed]
- Shibl, A.A.; Isaac, A.; Ochsenkuhn, M.A.; Cardenas, A.; Fei, C.; Behringer, G.; Arnoux, M.; Drou, N.; Santos, M.P.; Gunsalus, K.C.; et al. Diatom modulation of select bacteria through use of two unique secondary metabolites. Proc. Natl. Acad. Sci. USA 2020, 117, 27445–27455. [Google Scholar] [CrossRef] [PubMed]
- Syrpas, M.; Ruysbergh, E.; Blommaert, L.; Vanelslander, B.; Sabbe, K.; Vyverman, W.; De Kimpe, N.; Mangelinckx, S. Haloperoxidase Mediated Quorum Quenching by Nitzschia cf pellucida: Study of the Metabolization of N-Acyl Homoserine Lactones by a Benthic Diatom. Mar. Drugs 2014, 12, 352–367. [Google Scholar] [CrossRef] [Green Version]
- Nakashima, T.; Miyazaki, Y.; Matsuyama, Y.; Muraoka, W.; Yamaguchi, K.; Oda, T. Producing mechanism of an algicidal compound against red tide phytoplankton in a marine bacterium gamma-proteobacterium. Appl. Microbiol. Biotechnol. 2006, 73, 684–690. [Google Scholar] [CrossRef]
- Paul, C.; Pohnert, G. Interactions of the Algicidal Bacterium Kordia algicida with Diatoms: Regulated Protease Excretion for Specific Algal Lysis. PLoS ONE 2011, 6, e21032. [Google Scholar] [CrossRef]
- Amin, S.A.; Parker, M.S.; Armbrust, E.V. Interactions between Diatoms and Bacteria. Microbiol. Mol. Biol. Rev. 2012, 76, 667. [Google Scholar] [CrossRef] [Green Version]
- Cirri, E.; Pohnert, G. Algae-bacteria interactions that balance the planktonic microbiome. New Phytol. 2019, 223, 100–106. [Google Scholar] [CrossRef] [Green Version]
- Geng, H.; Belas, R. Molecular mechanisms underlying roseobacter-phytoplankton symbioses. Curr. Opin. Biotechnol. 2010, 21, 332–338. [Google Scholar] [CrossRef]
- Zhang, Y.; Zheng, L.; Wang, S.; Zhao, Y.; Xu, X.; Han, B.; Hu, T. Quorum Sensing Bacteria in the Phycosphere of HAB Microalgae and Their Ecological Functions Related to Cross-Kingdom Interactions. Int. J. Environ. Res. Public Health 2022, 19, 163. [Google Scholar] [CrossRef]
- Saint-Macary, A.D.; Barr, N.; Armstrong, E.; Safi, K.; Marriner, A.; Gall, M.; McComb, K.; Dillingham, P.W.; Law, C.S. The Influence of Ocean Acidification and Warming on DMSP & DMS in New Zealand Coastal Water. Atmosphere 2021, 12, 181. [Google Scholar]
- Tan, W.-S.; Yunos, N.Y.M.; Tan, P.-W.; Mohamad, N.I.; Adrian, T.-G.-S.; Yin, W.-F.; Chan, K.-G. Characterisation of a Marine Bacterium Vibrio Brasiliensis T33 Producing N-acyl Homoserine Lactone Quorum Sensing Molecules. Sensors 2014, 14, 12104–12113. [Google Scholar] [CrossRef] [PubMed]
- Daly, G.; Perrin, E.; Viti, C.; Fondi, M.; Adessi, A. Scaling down the microbial loop: Data-driven modelling of growth interactions in a diatom-bacterium co-culture. Environ. Microbiol. Rep. 2021, 13, 945–954. [Google Scholar] [CrossRef] [PubMed]
- Zhu, J.; Chai, Y.R.; Zhong, Z.T.; Li, S.P.; Winans, S.C. Agrobacterium bioassay strain for ultrasensitive detection of N-acylhomoserine lactone-type quorum-sensing molecules: Detection of autoinducers in Mesorhizobium huakuii. Appl. Environ. Microbiol. 2003, 69, 6949–6953. [Google Scholar] [CrossRef] [Green Version]
- Zohdi, E.; Abbaspour, M. Harmful algal blooms (red tide): A review of causes, impacts and approaches to monitoring and prediction. Int. J. Environ. Sci. Technol. 2019, 16, 1789–1806. [Google Scholar] [CrossRef]
- Patel, S.S.; Lovko, V.J.; Lockey, R.F. Red Tide: Overview and Clinical Manifestations. J. Allergy Clin. Immunol. -Pract. 2020, 8, 1219–1223. [Google Scholar] [CrossRef]
- Lv, H.; Zhou, J.; Cai, Z. Dynamic variation of quorum sensing bacteria in a Scrippsiella trochoidea bloom. Ecol. Sci. 2016, 35, 23–30. [Google Scholar]
- Merlo, S.; Durany, X.G.; Tonon, A.P.; Rossi, S. Marine Microalgae Contribution to Sustainable Development. Water 2021, 13, 1373. [Google Scholar] [CrossRef]
- Milledge, J.J.; Smith, B.; Dyer, P.W.; Harvey, P. Macroalgae-Derived Biofuel: A Review of Methods of Energy Extraction from Seaweed Biomass. Energies 2014, 7, 7194–7222. [Google Scholar] [CrossRef]
- Maeda, Y.; Yoshino, T.; Matsunaga, T.; Matsumoto, M.; Tanaka, T. Marine microalgae for production of biofuels and chemicals. Curr. Opin. Biotechnol. 2018, 50, 111–120. [Google Scholar] [CrossRef]
- Sun, Y.; Wang, H.; Guo, G.; Pu, Y.; Yan, B. The isolation and antioxidant activity of polysaccharides from the marine microalgae Isochrysis galbana. Carbohydr. Polym. 2014, 113, 22–31. [Google Scholar] [CrossRef] [PubMed]
- Zhang, B.; Sun, W.; Su, Y.; Ren, Q.; Ji, Z.; Zhang, A. Utilization of N-Acyl Homoserine Lactone-Secreting Bacteria in Algal Environment to Increase Biomass Accumulation of Chlorella. Bioenergy Res. 2022, 5. [Google Scholar] [CrossRef]
- Stock, F.; Bilcke, G.; De Decker, S.; Osuna-Cruz, C.M.; Van den Berge, K.; Vancaester, E.; De Veylder, L.; Vandepoele, K.; Mangelinckx, S.; Vyverman, W. Distinctive Growth and Transcriptional Changes of the DiatomSeminavis robustain Response to Quorum Sensing Related Compounds. Front. Microbiol. 2020, 11, 1240. [Google Scholar] [CrossRef] [PubMed]


Publisher’s Note: MDPI stays neutral with regard to jurisdictional claims in published maps and institutional affiliations. |
© 2022 by the authors. Licensee MDPI, Basel, Switzerland. This article is an open access article distributed under the terms and conditions of the Creative Commons Attribution (CC BY) license (https://creativecommons.org/licenses/by/4.0/).
Share and Cite
Qiao, Z.; Li, J.; Qin, S. Bioactive Compounds for Quorum Sensing Signal-Response Systems in Marine Phycosphere. J. Mar. Sci. Eng. 2022, 10, 699. https://doi.org/10.3390/jmse10050699
Qiao Z, Li J, Qin S. Bioactive Compounds for Quorum Sensing Signal-Response Systems in Marine Phycosphere. Journal of Marine Science and Engineering. 2022; 10(5):699. https://doi.org/10.3390/jmse10050699
Chicago/Turabian StyleQiao, Zhen, Jialin Li, and Song Qin. 2022. "Bioactive Compounds for Quorum Sensing Signal-Response Systems in Marine Phycosphere" Journal of Marine Science and Engineering 10, no. 5: 699. https://doi.org/10.3390/jmse10050699
APA StyleQiao, Z., Li, J., & Qin, S. (2022). Bioactive Compounds for Quorum Sensing Signal-Response Systems in Marine Phycosphere. Journal of Marine Science and Engineering, 10(5), 699. https://doi.org/10.3390/jmse10050699

