Numerical Study on the Influence of Tropical Cyclone Characteristics on the Sea State and Sea Surface Roughness inside the Tropical Cyclones
Abstract
:1. Introduction
2. Model Configurations
3. Results
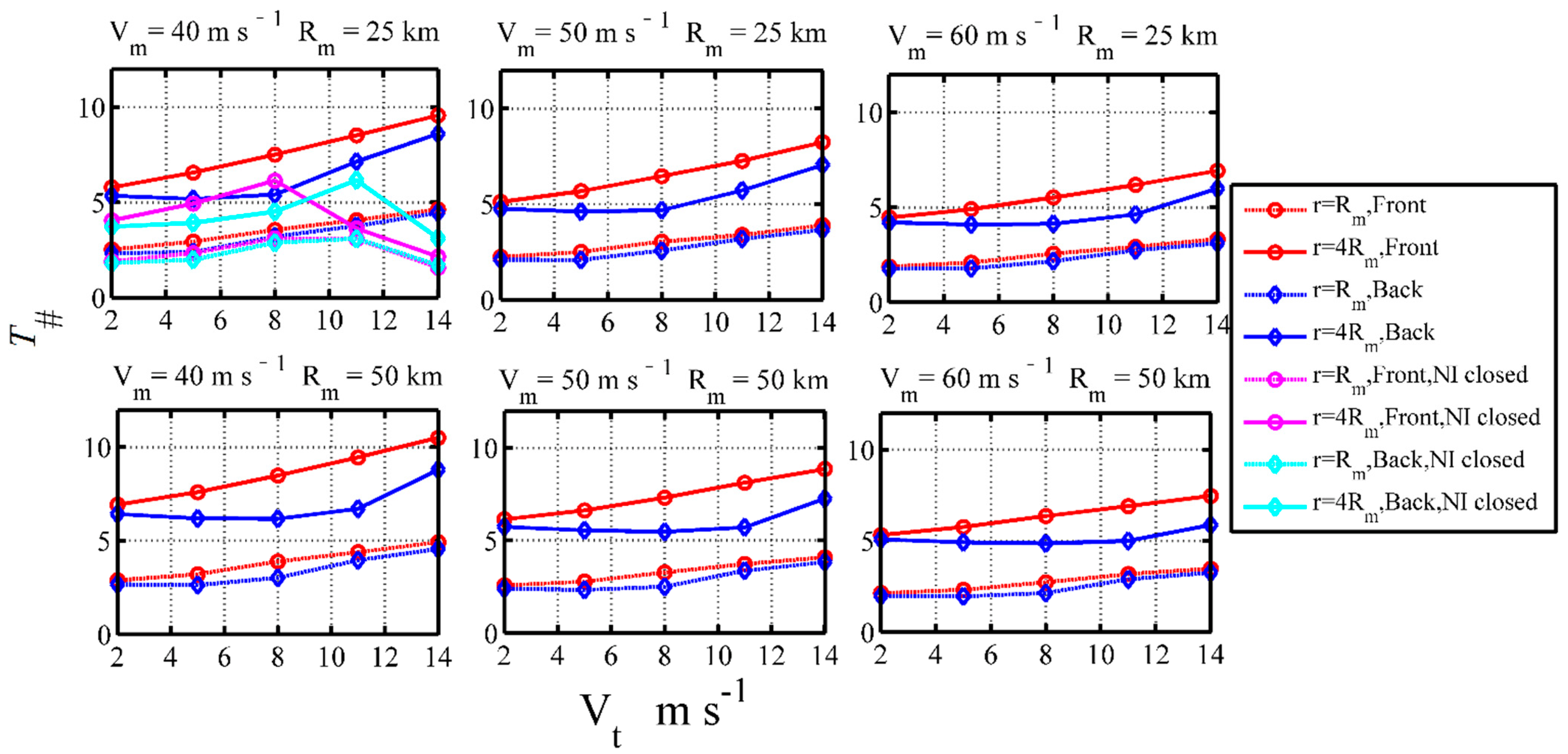
3.1. Spatial Variation of the Sea State
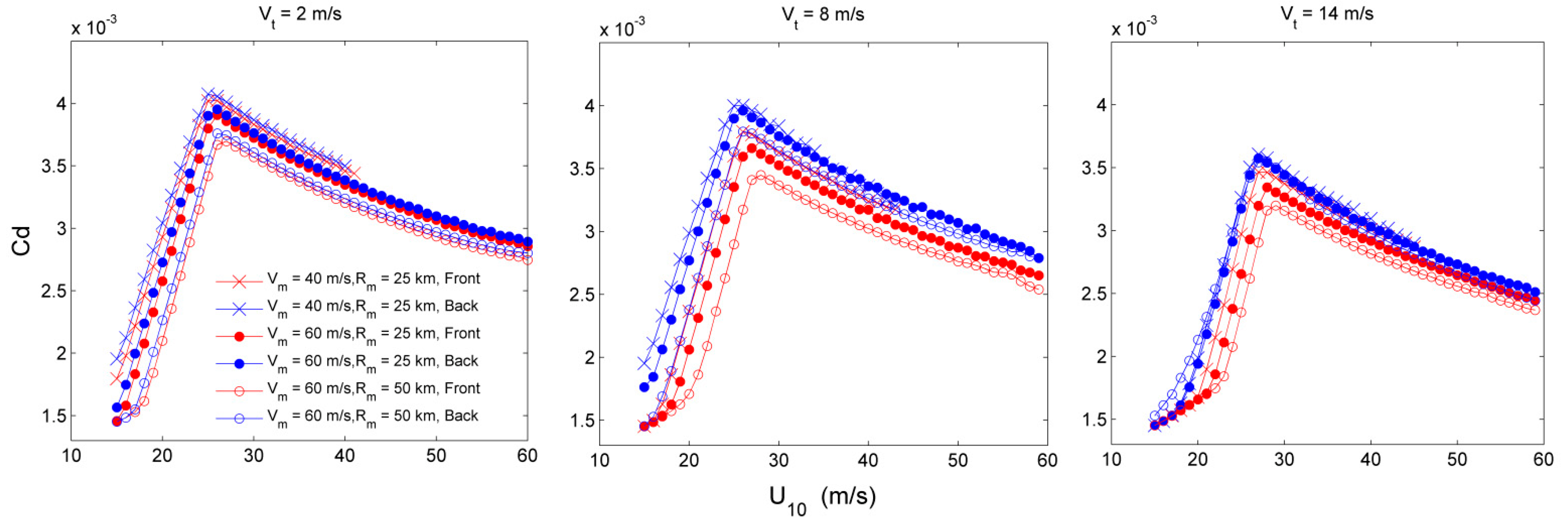
3.2. Implication on the Sea Surface Roughness
4. Discussion
5. Summary
Author Contributions
Funding
Institutional Review Board Statement
Informed Consent Statement
Data Availability Statement
Acknowledgments
Conflicts of Interest
References
- Moon, I.J.; Ginis, I. Effect of surface waves on Charnock coefficient under tropical cyclones. Geophys. Res. Lett. 2004, 31, L20302. [Google Scholar] [CrossRef] [Green Version]
- Takagaki, N.; Komori, S. Strong correlation between the drag coefficient and the shape of the wind sea spectrum over a broad range of wind speeds. Geophys. Res. Lett. 2012, 39, L23604. [Google Scholar] [CrossRef] [Green Version]
- Holthuijsen, L.; Powell, M. Wind and waves in extreme hurricanes. J. Geophys. Res. 2012, 117, 9003. [Google Scholar] [CrossRef] [Green Version]
- Hsu, J.Y.; Lien, R.C. Scaling of Drag Coefficients Under Five Tropical Cyclones. Geophys. Res. Lett. 2019, 46, 3349–3358. [Google Scholar] [CrossRef]
- Emanuel, K.A. Sensitivity of Tropical Cyclones to Surface Exchange Coefficients and a Revised Steady-State Model Incorporating Eye Dynamics. J. Atmos. Sci. 1995, 52, 3969–3976. [Google Scholar] [CrossRef] [Green Version]
- Emanuel, K.A. Similarity hypothesis for air-sea exchange at extreme wind speeds. J. Atmos. Sci. 2003, 60, 1420–1428. [Google Scholar] [CrossRef]
- Fan, Y.L.; Ginis, I. The Effect of Wind-Wave-Current Interaction on Air-Sea Momentum Fluxes and Ocean Response in Tropical Cyclones. J. Phys. Oceanogr. 2009, 39, 1019–1034. [Google Scholar] [CrossRef] [Green Version]
- Pineau-Guillou, L.; Bouin, M.N. Impact of wave-dependent stress on storm surge simulations in the North Sea: Ocean model evaluation against in situ and satellite observations. Ocean Model. 2020, 154, 101694. [Google Scholar] [CrossRef]
- King, D.B.; Shemdin, O.H. Radar Observation of Hurricane Wave Directions. In Proceedings of the 16th International Conference on Coastal Engineering, Hamburg, Germany, 27 August–3 September 1978. [Google Scholar]
- Bowyer, P.J.; MacAfee, A.W. The theory of trapped-fetch waves with tropical cyclones—An operational perspective. Weather Forecast. 2005, 20, 229–244. [Google Scholar] [CrossRef]
- Young, I.R. A review of the sea state generated by hurricanes. Mar. Struct. 2003, 16, 201–218. [Google Scholar] [CrossRef]
- Young, I.R. Directional spectra of hurricane wind waves. J. Geophys. Res. Ocean. 2006, 111, C08020. [Google Scholar] [CrossRef]
- Moon, I.J.; Ginis, I. Numerical simulation of sea surface directional wave spectra under hurricane wind forcing. J. Phys. Oceanogr. 2003, 33, 1680–1706. [Google Scholar] [CrossRef] [Green Version]
- Liu, H.Q.; Xie, L. Sensitivity of wind waves to hurricane wind characteristics. Ocean. Model. 2007, 18, 37–52. [Google Scholar] [CrossRef]
- Zhang, L.; Oey, L. An Observational Analysis of Ocean Surface Waves in Tropical Cyclones in the Western North Pacific Ocean. J. Geophys. Res.-Ocean. 2019, 124, 184–195. [Google Scholar] [CrossRef]
- Young, I. Parametric Hurricane Wave Prediction Model. J. Waterw. Port Coast. Ocean Eng. Asce 1988, 114, 637–652. [Google Scholar] [CrossRef]
- Young, I.R.; Vinoth, J. An “extended fetch” model for the spatial distribution of tropical cyclone wind-waves as observed by altimeter. Ocean. Eng. 2013, 70, 14–24. [Google Scholar] [CrossRef]
- Walsh, E.; Wright, C.A. Hurricane Directional Wave Spectrum Spatial Variation at Landfall. J. Phys. Oceanogr. 1999, 32, 1667–1684. [Google Scholar] [CrossRef] [Green Version]
- Walsh, E.J.; Hancock, D.W. Directional wave spectra measured with the surface contour radar. J. Phys. Oceanogr. 1985, 15, 566–592. [Google Scholar] [CrossRef]
- Wright, C.W.; Walsh, E.J. Hurricane directional wave spectrum spatial variation in the open ocean. J. Phys. Oceanogr. 2001, 31, 2472–2488. [Google Scholar] [CrossRef]
- Black, P.G.; D'Asaro, E.A. Drennan, Air-sea exchange in hurricanes—Synthesis of observations from the coupled boundary layer air-sea transfer experiment. Bull. Am. Meteorol. Soc. 2007, 88, 357–374. [Google Scholar] [CrossRef] [Green Version]
- Hu, K.L.; Chen, Q. Directional spectra of hurricane-generated waves in the Gulf of Mexico. Geophys. Res. Lett. 2011, 38, L9608. [Google Scholar] [CrossRef]
- Esquivel-Trava, B.; Ocampo-Torres, F. Spatial structure of directional wave spectra in hurricanes. Ocean. Dyn. 2015, 65, 65–76. [Google Scholar] [CrossRef]
- Hwang, P.A.; Fan, Y.L. Effective Fetch and Duration of Tropical Cyclone Wind Fields Estimated from Simultaneous Wind and Wave Measurements: Surface Wave and Air-Sea Exchange Computation. J. Phys. Oceanogr. 2017, 47, 447–470. [Google Scholar] [CrossRef]
- Collins, C.O.; Potter, H. Directional Wave Spectra Observed During Intense Tropical Cyclones. J. Geophys. Res.-Ocean. 2018, 123, 773–793. [Google Scholar] [CrossRef]
- Tamizi, A.; Young, I.R. The Spatial Distribution of Ocean Waves in Tropical Cyclones. J. Phys. Oceanogr. 2020, 50, 2123–2139. [Google Scholar] [CrossRef]
- Hwang, P.A. Fetch- and Duration-Limited Nature of Surface Wave Growth inside Tropical Cyclones: With Applications to Air-Sea Exchange and Remote Sensing. J. Phys. Oceanogr. 2016, 46, 41–56. [Google Scholar] [CrossRef]
- Hwang, P.A.; Walsh, E.J. Azimuthal and Radial Variation of Wind-Generated Surface Waves inside Tropical Cyclones. J. Phys. Oceanogr. 2016, 46, 2605–2621. [Google Scholar] [CrossRef]
- Hasselmann, S.; Hasselmann, K. The Wam Model—A 3rd Generation Ocean Wave Prediction Model. J. Phys. Oceanogr. 1988, 18, 1775–1810. [Google Scholar]
- Fan, Y.L.; Ginis, I. Numerical Simulations and Observations of Surface Wave Fields under an Extreme Tropical Cyclone. J. Phys. Oceanogr. 2009, 39, 2097–2116. [Google Scholar] [CrossRef]
- Liu, Q.; Babanin, A. Numerical simulations of ocean surface waves under hurricane conditions: Assessment of existing model performance. Ocean Model. 2017, 118, 73–93. [Google Scholar] [CrossRef]
- Ardhuin, F.; Rogers, E. Semiempirical Dissipation Source Functions for Ocean Waves. Part I: Definition, Calibration, and Validation. J. Phys. Oceanogr. 2010, 40, 1917–1941. [Google Scholar] [CrossRef] [Green Version]
- Chawla, A.; Tolman, H.L. Obstruction grids for spectral wave models. Ocean. Model. 2008, 22, 12–25. [Google Scholar] [CrossRef]
- Jelesnianski, C. A numerical computation of storm tides by a tropical storm impinging on a continental shelf. Mon. Weather Rev. 1965, 93, 343–358. [Google Scholar] [CrossRef] [Green Version]
- Wang, K.; Hou, Y.J. A comparative study of storm surge and wave setup in the East China Sea between two severe weather events. Estuar. Coast. Shelf Sci. 2020, 235, 106583. [Google Scholar] [CrossRef]
- Hasselmann, K.; Barnett, T. Measurements of wind-wave growth and swell decay during the Joint North Sea Wave Project (JONSWAP). Deut. Hydrogr. Z. 1973, 8, 1–95. [Google Scholar]
- Komen, G.; Cavaleri, L. Dynamics and Modelling of Ocean Waves; Cambridge University Press: Cambridge, UK, 1994; p. 532. [Google Scholar]
- Young, I. Wind Generated Ocean Waves, 1st ed.; Elsevier: Amsterdam, The Netherlands, 1999; p. 288. [Google Scholar]
- Janssen, P. The Interaction of Ocean Waves and Wind; Cambridge University Press: Cambridge, UK, 2004; p. 308. [Google Scholar]
- Zakharov, V.E. Theoretical interpretation of fetch limited wind-driven sea observations. Nonlinear Processes Geophys. 2005, 12, 1011–1020. [Google Scholar] [CrossRef]
- Badulin, S.I.; Pushkarev, A.N. Self-similarity of wind-driven seas. Nonlinear Processes Geophys. 2005, 12, 891–945. [Google Scholar] [CrossRef] [Green Version]
- Gagnaire-Renou, E.; Benoit, M. On weakly turbulent scaling of wind sea in simulations of fetch-limited growth. J. Fluid Mech. 2011, 669, 178–213. [Google Scholar] [CrossRef]
- Hwang, P.A.; Fan, Y.L. Ocean Surface Wave Spectra inside Tropical Cyclones. J. Phys. Oceanogr. 2017, 47, 2393–2417. [Google Scholar] [CrossRef]
- Xu, Y.; He, H. Observations and Modeling of Typhoon Waves in the South China Sea. J. Phys. Oceanogr. 2017, 47, 1307–1324. [Google Scholar] [CrossRef]
- Yelland, M.; Taylor, P.K. Wind stress measurements from the open ocean. J. Phys. Oceanogr. 1996, 26, 541–558. [Google Scholar] [CrossRef]
- Drennan, W.M.; Graber, H.C. On the wave age dependence of wind stress over pure wind seas. J. Geophys. Res. Ocean. 2003, 108, L18306. [Google Scholar] [CrossRef]
- Liu, B.; Guan, C.; Xie, L. The wave state and sea spray related parameterization of wind stress applicable from low to extreme winds. J. Geophys. Res. 2012, 117, C00J22. [Google Scholar] [CrossRef] [Green Version]
- Jones, I.; Toba, Y. Wind Stress over the Ocean; Cambridge University Press: Cambridge, UK, 2001; p. 307. [Google Scholar]
- Makin, V.K. A note on the drag of the sea surface at hurricane winds. Bound. Layer Meteorol. 2005, 115, 169–176. [Google Scholar] [CrossRef]
- Toba, Y. Local balance in the air-sea boundary processes. J. Oceanogr. 1972, 28, 109–120. [Google Scholar] [CrossRef]
- Guan, C.L.; Xie, L. On the linear parameterization of drag coefficient over sea surface. J. Phys. Oceanogr. 2004, 34, 2847–2851. [Google Scholar] [CrossRef]
- Powell, M.D.; Vickery, P.J. Reinhold. Reduced drag coefficient for high wind speeds in tropical cyclones. Nature 2003, 422, 279–283. [Google Scholar] [CrossRef]
- Jarosz, E.; Mitchell, D.A. Bottom-up determination of air-sea momentum exchange under a major tropical cyclone. Science 2007, 315, 1707–1709. [Google Scholar] [CrossRef] [Green Version]
- Donelan, M.A.; Haus, B.K. On the limiting aerodynamic roughness of the ocean in very strong winds. Geophys. Res. Lett. 2004, 31, L8306. [Google Scholar] [CrossRef] [Green Version]








Publisher’s Note: MDPI stays neutral with regard to jurisdictional claims in published maps and institutional affiliations. |
© 2022 by the authors. Licensee MDPI, Basel, Switzerland. This article is an open access article distributed under the terms and conditions of the Creative Commons Attribution (CC BY) license (https://creativecommons.org/licenses/by/4.0/).
Share and Cite
Li, S.; Li, R.; Wang, Y.; Lu, J. Numerical Study on the Influence of Tropical Cyclone Characteristics on the Sea State and Sea Surface Roughness inside the Tropical Cyclones. J. Mar. Sci. Eng. 2022, 10, 609. https://doi.org/10.3390/jmse10050609
Li S, Li R, Wang Y, Lu J. Numerical Study on the Influence of Tropical Cyclone Characteristics on the Sea State and Sea Surface Roughness inside the Tropical Cyclones. Journal of Marine Science and Engineering. 2022; 10(5):609. https://doi.org/10.3390/jmse10050609
Chicago/Turabian StyleLi, Shuiqing, Rui Li, Yanjun Wang, and Jiuyou Lu. 2022. "Numerical Study on the Influence of Tropical Cyclone Characteristics on the Sea State and Sea Surface Roughness inside the Tropical Cyclones" Journal of Marine Science and Engineering 10, no. 5: 609. https://doi.org/10.3390/jmse10050609
APA StyleLi, S., Li, R., Wang, Y., & Lu, J. (2022). Numerical Study on the Influence of Tropical Cyclone Characteristics on the Sea State and Sea Surface Roughness inside the Tropical Cyclones. Journal of Marine Science and Engineering, 10(5), 609. https://doi.org/10.3390/jmse10050609

