Experimental Investigation of Wave-Induced Forces on a Large Quasi-Elliptical Cylinder during Extreme Events
Abstract
:1. Introduction
2. Materials and Methods
2.1. Facilities and Instrumentation
2.2. Test Model, Test Cases and Test Procedure
2.3. Validation of Regular Wave Train in the Flume
3. Results
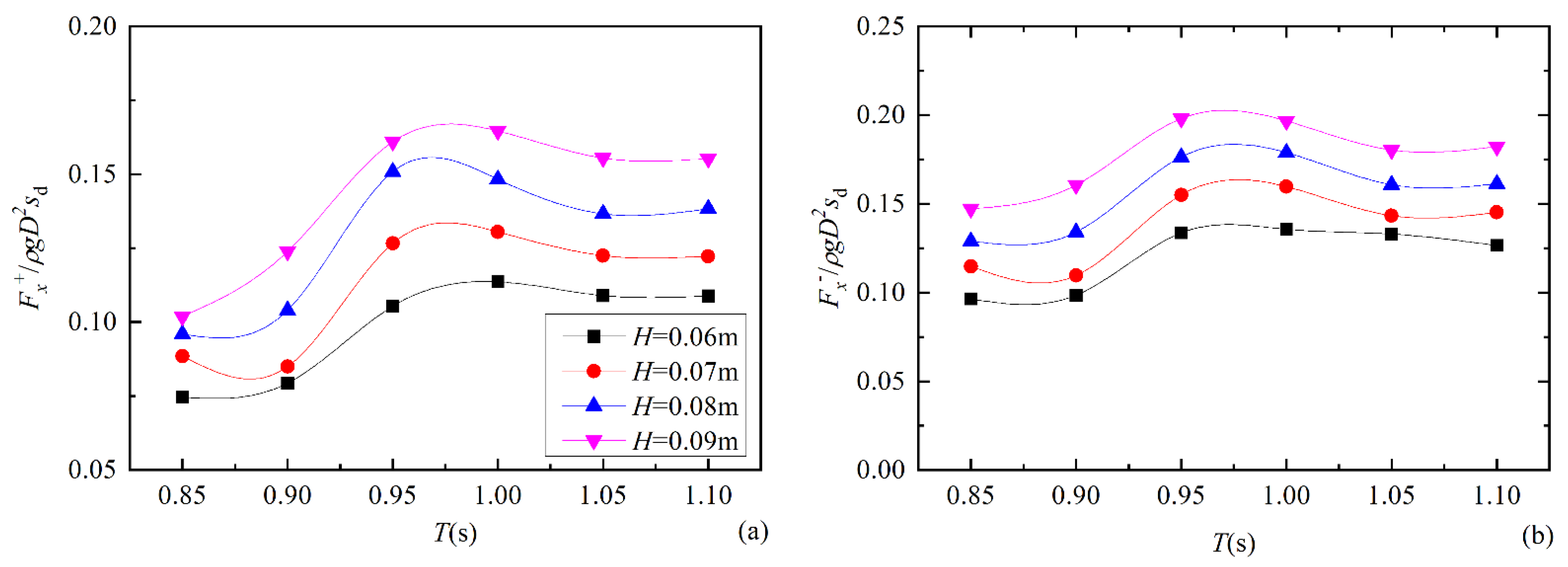
3.1. Effect of Wave Characteristics
3.2. Effect of Incident Wave Direction on Logitudinal Wave Force
3.3. Effect of Incident Wave Direction on Transversal Wave Force
4. Conclusions
Author Contributions
Funding
Institutional Review Board Statement
Informed Consent Statement
Data Availability Statement
Conflicts of Interest
References
- Xu, G.; Chen, Q.; Chen, J. Prediction of solitary wave forces on coastal bridge decks using artificial neural networks. J. Bridge Eng. 2018, 23, 04018023. [Google Scholar] [CrossRef]
- Yuan, P.; Zhu, D.; Dong, Y.; Xu, G. Response-based bridge deck limit state considering component-level failure under extreme wave. Mar. Struct. 2022, 83, 103184. [Google Scholar] [CrossRef]
- Huang, B.; Yang, Z.; Zhu, B.; Zhang, J.; Kang, A.; Pan, L. Vulnerability assessment of coastal bridge superstructure with box girder under solitary wave forces through experimental study. Ocean. Eng. 2019, 189, 106337. [Google Scholar] [CrossRef]
- Huang, B.; Liao, L.; Ren, Q.; Cui, X.; Zhang, J.; Zhu, B. Fragility analysis of the box-girder coastal bridge with different connections subjected to extreme random waves. Ocean. Eng. 2022, 245, 110580. [Google Scholar] [CrossRef]
- Huang, B.; Luo, W.; Ren, Q.; Cui, X.; Zhang, J.; Zhu, B. Random wave forces on the submerged box-girder superstructure of coastal bridges based on potential flow theory. Ocean. Eng. 2022, 248, 110739. [Google Scholar] [CrossRef]
- Istrati, D.; Buckle, I.G. Effect of fluid-structure interaction on connection forces in bridges due to tsunami loads. In Proceedings of the 30th US-Japan Bridge Engineering Workshop, Washington, DC, USA, 21–23 October 2014; pp. 21–23. [Google Scholar]
- Istrati, D. Large-Scale Experiments of Tsunami Inundation of Bridges Including Fluid-STRUCTURE-interaction. Doctoral Dissertation, Civil and Environmental Engineering, University of Nevada, Reno, Reno, NV, USA, 2017. [Google Scholar]
- Istrati, D.; Buckle, I.G.; Lomonaco, P.; Yim, S. Deciphering tsunami wave impact and associated connection forces in open-girder coastal bridges. J. Mar. Sci. Eng. 2018, 6, 148. [Google Scholar] [CrossRef] [Green Version]
- Istrati, D.; Buckle, I. Role of trapped air on the tsunami-induced transient loads and response of coastal bridges. Geosciences 2019, 9, 191. [Google Scholar] [CrossRef] [Green Version]
- Qu, K.; Sun, W.Y.; Ren, X.Y.; Kraatz, S.; Jiang, C.B. Numerical investigation on the hydrodynamic characteristics of coastal bridge decks under the impact of extreme waves. J. Coast. Res. 2021, 37, 442–455. [Google Scholar] [CrossRef]
- Bao, P.; Cui, X.; Ding, H.; Yin, Y.; Du, Z.; Yang, Z. Influences of friction self-excited vibration characteristics of various types of high-speed trains on rail corrugations in braking sections. Eng. Fail. Anal. 2022, 134, 106087. [Google Scholar] [CrossRef]
- Yang, Z.; Huang, B.; Zhu, B.; Zhang, J.; Kang, A. Comparative study of tsunami-like wave-induced forces on medium-scale models of box girder and T-girder bridges. J. Bridge Eng. 2021, 26, 04020125. [Google Scholar] [CrossRef]
- Luo, W.; Huang, B.; Tang, Y.; Ding, H.; Li, K.; Cheng, L.; Ren, Q. Numerical Simulation of Dynamic Response of Submerged Floating Tunnel under Regular Wave Conditions. Shock. Vib. 2022, 2022, 4940091. [Google Scholar] [CrossRef]
- Yang, J.; Xia, J.; Zhang, Z.; Zou, Y.; Wang, Z.; Zhou, J. Experimental and numerical investigations on the mechanical behavior of reinforced concrete arches strengthened with UHPC subjected to asymmetric load. In Structures; Elsevier: Amsterdam, The Netherlands, 2022; Volume 39, pp. 1158–1175. [Google Scholar]
- Tang, Q.; Xin, J.; Jiang, Y.; Zhou, J.; Li, S.; Chen, Z. Novel identification technique of moving loads using the random response power spectral density and deep transfer learning. Measurement 2022, 111120. [Google Scholar] [CrossRef]
- Morison, J.R.; Johnson, J.W.; Schaaf, S.A. The force exerted by surface waves on piles. J. Pet. Technol. 1950, 2, 149–154. [Google Scholar] [CrossRef]
- Havelock, T.H. The pressure of water waves upon a fixed obstacle. Proc. R. Soc. Lond. Ser. A Math. Phys. Sci. 1940, 175, 409–421. [Google Scholar]
- MacCamy, R.C.; Fuchs, R.A. Wave Forces on Piles: A Diffraction Theory (No. 69); US Beach Erosion Board: Washington, DC, USA, 1954; pp. 1–17. [Google Scholar]
- Jen, Y. Wave Forces on Circular Cylindrical Piles Used in Coastal Structures; Rep. No. HEL9-11; University of California, Berkeley: Berkeley, CA, USA, 1967; 98p. [Google Scholar]
- Mogridge, G.R.; Jamieson, W.W. Wave forces on a circular caisson: Theory and experiment. Can. J. Civ. Eng. 1975, 2, 540–548. [Google Scholar] [CrossRef]
- Neelamani, S.; Sundar, V.; Vendhan, C.P. Dynamic pressure distribution on a cylinder due to wave diffraction. Ocean. Eng. 1989, 16, 343–353. [Google Scholar] [CrossRef]
- Sundar, V.; Neelamani, S.; Vendhan, C.P. Diffracted wave field and dynamic pressures around a vertical cylinder. Ocean. Eng. 1990, 17, 125–154. [Google Scholar] [CrossRef]
- Wang, Y.; Ren, X.; Wang, G. Numerical simulation of nonlinear wave force on a quasi-ellipse caisson. J. Mar. Sci. Appl. 2011, 10, 265. [Google Scholar] [CrossRef]
- Wang, Y.X.; Ren, X.Z.; Dong, P.; Wang, G.Y. Three-dimensional numerical simulation of wave interaction with perforated quasi-ellipse caisson. Water Sci. Eng. 2011, 4, 46–60. [Google Scholar]
- Ren, X.; Ma, Y. Numerical simulations for nonlinear waves interaction with multiple perforated quasi-ellipse caissons. Math. Probl. Eng. 2015, 2015, 1–14. [Google Scholar] [CrossRef]
- Ren, X.; Zhang, P.; Ma, Y.; Meng, Y. An experimental study of irregular wave forces on multiple quasi-ellipse caissons. J. Mar. Sci. Appl. 2014, 13, 265–273. [Google Scholar] [CrossRef]
- Wei, C.; Zhou, D.; Ou, J. Wave and wave-current actions on a bridge tower: An experimental study. Adv. Struct. Eng. 2019, 22, 1467–1478. [Google Scholar] [CrossRef]
- Liu, J.; Guo, A.; Li, H. Analytical solution for the linear wave diffraction by a uniform vertical cylinder with an arbitrary smooth cross-section. Ocean. Eng. 2016, 126, 163–175. [Google Scholar] [CrossRef]
- Liu, J.; Guo, A.; Fang, Q.; Li, H.; Hu, H.; Liu, P. Investigation of linear wave action around a truncated cylinder with non-circular cross section. J. Mar. Sci. Technol. 2018, 23, 866–876. [Google Scholar] [CrossRef]
- Wei, C.; Zhou, D.; Ou, J. Calculation method of wave forces on large quasi-elliptical caisson foundation. J. Shanghai Jiaotong Univ. (Sci.) 2019, 24, 184–189. [Google Scholar] [CrossRef]
- Motley, M.R.; Wong, H.K.; Qin, X.; Winter, A.O.; Eberhard, M.O. Tsunami-induced forces on skewed bridges. J. Waterw. Port Coast. Ocean. Eng. 2016, 142, 04015025. [Google Scholar] [CrossRef]
- Istrati, D.; Buckle, I.G. Tsunami Loads on Straight and Skewed Bridges–Part 1: Experimental Investigation and Design Recommendations; No. FHWA-OR-RD-21-12; Oregon Department of Transportation, Research Section: Reno, NV, USA, 2021.
- Li, Y.C.; Liu, H.J.; Teng, B.; Sun, D.P. Reflection of oblique incident waves by breakwaters with partially perforated wall. China Ocean. Eng. 2002, 16, 329–342. [Google Scholar]
- Suh, K.D.; Park, J.K.; Park, W.S. Wave reflection from partially perforated-wall caisson breakwater. Ocean. Eng. 2006, 33, 264–280. [Google Scholar] [CrossRef] [Green Version]
- Ding, H.; Huang, B.; Cheng, L.; Li, K.; Ren, Q. Wave forces and wave run-up on a truncated rectangular column based on the hydrodynamic experiment. Ocean. Eng. 2022, 246, 110607. [Google Scholar] [CrossRef]
- JTS 145-2015; Code of Hydrology for Harbour and Waterway (China). China Communications Press: Beijing, China, 2015.














| Wave Height H (m) | Wave Period T (s) | Wave Height H (m) | Wave Period T (s) |
|---|---|---|---|
| 0.06 | 0.85 | 0.06 | 1.00 |
| 0.07 | 0.85 | 0.07 | 1.00 |
| 0.08 | 0.85 | 0.08 | 1.00 |
| 0.09 | 0.85 | 0.09 | 1.00 |
| 0.06 | 0.90 | 0.06 | 1.05 |
| 0.07 | 0.90 | 0.07 | 1.05 |
| 0.08 | 0.90 | 0.08 | 1.05 |
| 0.09 | 0.90 | 0.09 | 1.05 |
| 0.06 | 0.95 | 0.06 | 1.10 |
| 0.07 | 0.95 | 0.07 | 1.10 |
| 0.08 | 0.95 | 0.08 | 1.10 |
| 0.09 | 0.95 | 0.09 | 1.10 |
Publisher’s Note: MDPI stays neutral with regard to jurisdictional claims in published maps and institutional affiliations. |
© 2022 by the authors. Licensee MDPI, Basel, Switzerland. This article is an open access article distributed under the terms and conditions of the Creative Commons Attribution (CC BY) license (https://creativecommons.org/licenses/by/4.0/).
Share and Cite
Yang, Z.; Ding, H.; Li, K.; Cheng, L.; Huang, B.; Ren, Q. Experimental Investigation of Wave-Induced Forces on a Large Quasi-Elliptical Cylinder during Extreme Events. J. Mar. Sci. Eng. 2022, 10, 540. https://doi.org/10.3390/jmse10040540
Yang Z, Ding H, Li K, Cheng L, Huang B, Ren Q. Experimental Investigation of Wave-Induced Forces on a Large Quasi-Elliptical Cylinder during Extreme Events. Journal of Marine Science and Engineering. 2022; 10(4):540. https://doi.org/10.3390/jmse10040540
Chicago/Turabian StyleYang, Zhiying, Hao Ding, Ke Li, Liang Cheng, Bo Huang, and Qingyang Ren. 2022. "Experimental Investigation of Wave-Induced Forces on a Large Quasi-Elliptical Cylinder during Extreme Events" Journal of Marine Science and Engineering 10, no. 4: 540. https://doi.org/10.3390/jmse10040540
APA StyleYang, Z., Ding, H., Li, K., Cheng, L., Huang, B., & Ren, Q. (2022). Experimental Investigation of Wave-Induced Forces on a Large Quasi-Elliptical Cylinder during Extreme Events. Journal of Marine Science and Engineering, 10(4), 540. https://doi.org/10.3390/jmse10040540

