Abstract
In Taiwan, the mushroom Antrodia camphorata (AC) is used for medicinal purposes, including cancer prevention and treatment. This study aimed to investigate the effect of AC-supplemented diets on the innate immunity and disease resistance of the orange-spotted grouper Epinephelus coioides against two bacterial infections—Vibrio alginolyticus and Streptococcus iniae. Orange-spotted groupers were fed AC-supplemented diets at 0 (control), 1.5, 3.0, 4.5, and 6.0 g kg−1 for 28 days and examined for innate immune responses and survival rates against V. alginolyticus and S. iniae. The results showed that the innate cellular and humoral immune parameters, including respiratory burst, phagocytic activity, and lysozyme activity of leukocytes, along with serum alternative complement activity (ACH50) and superoxide dismutase activity, as well as interleukin (IL)-4 and IL-6, were all significantly increased in groupers fed AC-supplemented diets. Groupers fed diets containing AC at doses higher than 3.0 g kg−1 had better survival rates than the control group 3–18 days after V. alginolyticus or S. iniae challenge. The enhanced disease resistance may be attributable to AC-induced innate immunity, suggesting that utilizing AC as a dietary supplement at 3.0 g kg−1 may enhance the disease resistance of orange-spotted groupers against Vibrio or Streptococcus infection.
1. Introduction
Groupers are abundant in tropical and warm waters worldwide and are particularly popular in the commercial mariculture industries of Asia-Pacific countries, including China, Indonesia, Malaysia, the Philippines, Singapore, Thailand, and Taiwan [1,2]. In recent years, intensive cultures of grouper species, such as orange-spotted grouper (Epinephelus coioides), Malabar grouper (E. malabaricus), giant grouper (E. lanceolatus), and hybridized E. fuscoguttatus × E. lanceolatus, have developed dramatically in Taiwan because Taiwan’s groupers are sold live and thus fetch higher prices. In particular, the orange-spotted grouper is still one of the most important and competitive aquaculture species in Taiwan, because it is easier to culture than other grouper species [3].
However, several diseases, including vibriosis caused by Vibrio alginolyticus and Vibrio carchariae, as well as viral diseases caused by nervous necrosis virus and grouper iridovirus (GIV), have been reported to cause major losses in grouper production that threaten the commercial grouper industry [4,5,6]. Furthermore, the pathogenic bacterium Streptococcus iniae has been reported to infect groupers [7].
The antiviral defense mechanisms of fish encompass innate and adaptive humoral and cell-mediated immunities [8,9,10]. The innate immune system is the first line of defense that provides immediate defense against bacterial infection, while the adaptive immune system provides long-lasting protection against reinfection. The major cellular components of innate immunity are natural killer cells, mast cells, eosinophils, basophils, and phagocytes, including macrophages, neutrophils, and dendritic cells, which identify and eliminate pathogens. Thus, innate immune responses, such as superoxide production, alternative complement activity, natural hemagglutinin level, respiratory burst activity, and lysozyme activities [11,12,13,14,15], have been used as immune parameters for the evaluation of disease resistance.
In previous studies, fish diets have been supplemented with several types of compounds to augment the non-specific immune system responses of fish against pathogens and microorganisms. In groupers, sodium alginate and κ-carrageenan enhance innate immunity and disease resistance against V. alginolyticus [16,17], Streptococcus sp., and GIV [18]. Traditional herbal medicines have recently been used as an alternative strategy for treating fish disease [19,20,21,22]. Antrodia camphorata (AC) is one of the most famous traditional medicines used in Taiwan [23], and AC extracts have been studied widely for disease treatment [24]. Geethangili and Tzeng (2011) reviewed the clinical applications and biological activities of AC crude extracts, including anticancer and immunomodulatory bioactivities [25]. Notably, triterpenoids and polysaccharides are the main bioactive compounds of AC, which show that AC extraction is beneficial for aquaculture [26]. Although the therapeutic potential of AC extract for disease treatment has been demonstrated, the actual antimicrobial ability of AC against vibriosis and streptococcosis of grouper culture is still unclear.
Thus, this study used an AC-supplemented diet to alleviate the disease symptoms of vibriosis and streptococcosis in orange-spotted groupers and to establish a potential application of AC in preventing aquatic diseases. In addition, innate cellular and humoral immune system parameters were examined to investigate the mechanisms underlying increased grouper disease resistance after administration of AC-supplemented diets.
2. Materials and Methods
2.1. Fish
Two experiments were conducted: the first assessed the disease resistance of groupers against bacterial infections after administration of AC-supplemented diets, and the second assessed the immune parameters of groupers after administration of AC-supplemented diets. A total of 1440 orange-spotted grouper E. coioides, weighting 85.5 ± 4.3 g were purchased from a private farm in Tainan, Taiwan, and acclimated indoors in a recirculating seawater system for 14 days before the experiments. The water was recirculated at a flow rate of 180 L min−1. The fish were then transferred to experimental tanks for the tests; the volume of the tank was 500 L. In the first experiment, 90 fish (6 replicates of 15 fish in each group) were used for each diet group (Table 1), and then a total of 11 groups (990 fish) were conducted. After a 28-day feeding experiment, the bacterial challenges were assessed. For the second experiment investigating non-specific immune response parameters of groupers (450 fish), 15 fish in 6 replicates were fed one of five different diets containing varied AC levels. For all tests, the fish were fed daily to satiation at 8:00 and 20:00.
Table 1.
Composition of the basal diet (g kg−1) for orange-spotted grouper (Epinephelus coioides).
The daily water temperature, dissolved oxygen (DO) concentration, pH, ammonia- nitrogen, and nitrite-nitrogen of the supplied seawater (salinity of 3.0–3.2 psu) were maintained at 30.3 ± 1.2 °C, 6.2 ± 0.05 mg/L, 8.1 ± 0.1, 0.06 ± 0.01 mg/L, and 0.01 ± 0.00 mg/L, respectively.
2.2. Diet Preparation
Antrodia camphorata (AC) fruiting bodies were purchased from a private farm in Nan-tour, Taiwan. The AC fruiting body was washed thrice, using sterile distilled water, and then freeze-dried. The lyophilized AC fruiting body was pulverized using a laboratory blender, and the dried powder, as a feed additive, was mixed with fish feed to achieve the desired experimental AC-supplemented diets.
Four diets containing varying levels of AC were prepared (Table 1). Proximate analysis of the basal diet revealed 47.9% crude protein, 8.6% crude lipid, 12.1% ash, and 9.5% moisture. AC was mixed added to the test diets at concentrations of 0 (control, A0), 1.5 (A1), 3.0 (A2), 4.5 (A3), and 6.0 (A4) g (kg diet)−1.
2.3. Pathogenic Bacteria
Vibrio alginolyticus (ATCC 17749) and Streptococcus iniae (ATCC 29178) obtained from Bioresources Collection and Research Center, Food Industry and Development Institute (Hsinchu, Taiwan) were used for this study. V. alginolyticus and S. iniae were cultured on tryptic soy agar (TSA; Difco, Sparks, MD, USA), supplemented with 3% and 1.5% NaCl at 28 °C, respectively [28,29]. The bacteria were transferred to 10 mL tryptic soy broth (TSB, Difco) supplemented with 3% NaCl at 28 °C as a stock culture for tests. The densities of V. alginolyticus and S. iniae were determined using optical density at 600 nm and 540 nm, respectively [28,29].
2.4. Effect of AC on the Resistance of Grouper to Bacterial Infections
After the 28-day feeding experiment, bacterial challenge tests were individually performed using 100 μL intraperitoneal injections of a bacterial suspension, resulting in 5.0 × 108 cfu fish−1. The fish that were fed the control diet and then received 100 μL saline served as the unchallenged control for the viral challenge trials. There were 11 experimental groups (total of 990 fish): unchallenged control and challenge tests of AC-supplemented diets for V. alginolyticus (A0v, A1v, A2v, A3v, and A4v) and S. iniae (A0s, A1s, A2s, A3s, and A4s). A total of 90 fish (6 replicates of 15 fish) were used for each treatment. The mortality rate was assessed, and fish were fed the control diet daily for the challenging duration of the experimental period (18 days).
2.5. Effect of AC on the Innate Immune Parameters of Grouper
Immune responses were analyzed in five groups (A0, A1, A2, A3, and A4), with varying levels of AC. A total of 90 fish (6 replicates of 15 fish) were used for each treatment. At the end of the 28-day feeding experiment (total of 450 fish), each replicate comprised one fish randomly sampled from a tank of groupers fed the AC-supplemented or control diets. Blood (1.0–1.5 mL) was sampled individually from the caudal vein using a heparinized 25-gauge syringe fitted with a needle. Plasma was obtained from blood samples by centrifugation at 400× g for 5 min.
2.5.1. Innate Cellular Responses
The parameters for grouper innate cellular responses included respiratory burst, superoxide dismutase (SOD) activity, and phagocytic activity of leukocytes, as previously described by Cheng et al. [16,17,28]. Leukocytes were obtained from head kidneys. The respiratory burst of fish leukocytes was quantified using the reduction of nitroblue tetrazolium (NBT) to formazan as a measure of superoxide anion (O2−) production, and DMSO/KOH alone served as a blank. The respiratory burst of grouper leukocytes was expressed as NBT reduction in 100 mL of leukocyte suspension. SOD activity was measured as the inhibition of superoxide radical-dependent reactions using the Ransod kit (Randox, Crumlin, UK) and expressed as units (mg protein)−1. The protein content of leukocytes was determined using the Bradford method, which is based on the binding of Coomassie Brilliant Blue G-250 to protein from 465 to 595 nm [30]. Leukocytes from fish head kidneys were suspended in phenol red-free Hank’s balanced salt solution, with 0.5 mM Mg2+ and 10 mM EGTA, and incubated with formalin-killed E. coli for 1 h at 17 °C. The leukocytes were then centrifuged at 300× g for 5 min, and the pellets were collected and smeared on slides. The slides were air-dried and stained with Giemsa solution (Sigma, St. Louis, MO, USA), and phagocytic activity was expressed as the number of phagocytic cells per 100 adherent cells.
2.5.2. Innate Humoral Responses
The parameters of grouper innate humoral responses included lysozyme activity, alternative complement activity (ACH50), and interleukin protein levels. Plasma lysozyme activity and ACH50 were analyzed as previously described [16,17,28]. Plasma lysozyme activity was defined as the amount of enzyme that decreased the absorbance by 0.001 min−1 mL−1 plasma. Plasma ACH50 was assayed based on the volume of plasma complement producing 50% hemolysis of the rabbit erythrocyte suspension (2 × 108 cells mL−1), and ACH50 was calculated from the degree of hemolysis as units mL−1.
2.5.3. Interleukins
Tissue lysates of grouper livers were prepared according to the method described by Choi et al. [31]. Hepatic interleukin (IL) proteins, IL-2 and IL-6, were measured using IL-2 (ab100706) and IL-6 (ab100712) kits (Abcam, Cambridge, UK) according to the manufacturer’s instructions.
2.6. Statistical Analysis
All data are expressed as mean ± standard error. Data were analyzed using a one-way analysis of variance to compare the differences among the groups fed on varying AC levels. A multiple comparison (Tukey) test using StatView software (version 5.0.1; SAS Institute Inc., Cary, NC, USA) was conducted to determine whether the differences among the treatments were significant. Percentage data (for the resistance study) were normalized using arcsine transformation before analysis. Statistical significance was set at p < 0.05.
3. Results
3.1. Effect of AC on the Resistance of Grouper to Bacterial Infections
Figure 1 shows the survival rates of the orange-spotted groupers after bacterial infection. In the V. alginolyticus-challenged groups, the survival rate was 100% for the unchallenged control after 18 days, whereas death began to occur after 2 days in all challenged groups. The survival rate of challenged fish fed AC-supplemented diets (A1v–A4v) was significantly higher than that of fish fed the control diet (A0v) after 3 days of the challenge. The survival rate of fish fed the diet without AC decreased to 20.0% after the 18-day V. alginolyticus challenge, and that of fish fed AC at doses higher than 1.5 g kg−1 diet was 41.1–74.4%. However, no difference was observed among groups fed higher than 3.0 g kg−1 (A2v–A4v) (Figure 1A).
Figure 1.
The curves of survival rate of Vibrio alginolyticus- (A) and Streptococcus iniae (B)-challenged orange-spotted grouper fed with diets containing different levels of Antrodia camphorata (AC). Data represent the mean of 6 replicates (15 fish in each replicate) with the standard error. Data at the same time with different lowercase letters significantly differ (p < 0.05) among treatments.
Similar trends of AC effects were observed in Streptococcus iniae-challenged groups: Death began to occur after 2 days in all challenged groups, and the survival rate of challenged fish fed AC-supplemented diets (A1s–A4s) was significantly higher than that of fish fed the control diet (A0s) at the end of the challenge. The survival rate of fish was higher in A2s–A4s groups (64.4–66.7%) than in A0s (11.1%) and A1s (13.3%) groups, indicating that the administration dose of AC should be higher than 3.0 g kg−1 diet for better prevention of S. iniae infection (Figure 1B).
3.2. Effect of AC on Grouper Innate Cellular Responses
The phagocytic activity (PA), respiratory burst, and SOD activity of orange-spotted grouper leukocytes were measured as innate cellular responses to different levels of AC (Figure 2). The average PA values in A0–A4 for 28-day feeding showed that the AC-supplemented treatments (A1–A4 groups) had significantly higher PA values than the control (A0) (Figure 2A).

Figure 2.
The innate cellular parameters of phagocytic activity (A), respiratory burst (B), and SOD activity (C) measured in E. coioides fed diets supplemented with Antrodia camphorata (AC) at 0 (A0), 1.5 (A1), 3.0 (A2), 4.5 (A3), and 6.0 (A4) g kg−1 after 28 days of supplementation. SOD, superoxide dismutase. Each bar represents the mean value from 6 replicates (15 fish in each replicate) with the standard error. Data with different lowercase letters significantly differ (p < 0.05) among treatments.
Similarly, significantly increased respiratory burst values were observed in the AC-fed groups (A2, A3, and A4), compared with those observed in the control group (Figure 2B).
The SOD activity values of fish were significantly increased in all AC-fed groups, compared with the control values after 28 days (Figure 2C).
Thus, orange-spotted groupers fed AC-containing diets (A1–A4) for 28 days had higher innate cellular responses than the control, and the responses showed a stable pattern at doses higher than 3.0 (A2–A4).
3.3. Effect of AC on Grouper Humoral Responses
The plasma ACH50 values of the AC-fed groups were significantly higher than those of the control group at 28 days (Figure 3A). Similarly, lysozyme activity values showed a significant increase in the AC-fed groups, compared with those in the control group (Figure 3B).
Figure 3.
The innate humoral parameters of ACH50 activity (A) and lysozyme activity (B) in E. coioides fed the control diet or diets containing Antrodia camphorata (AC) at 0 (A0), 1.5 (A1), 3.0 (A2), 4.5 (A3), and 6.0 (A4) g kg−1 after 28 days of supplementation. See Figure 2 for statistical information.
3.4. Effect of AC on Grouper Interleukin Expression
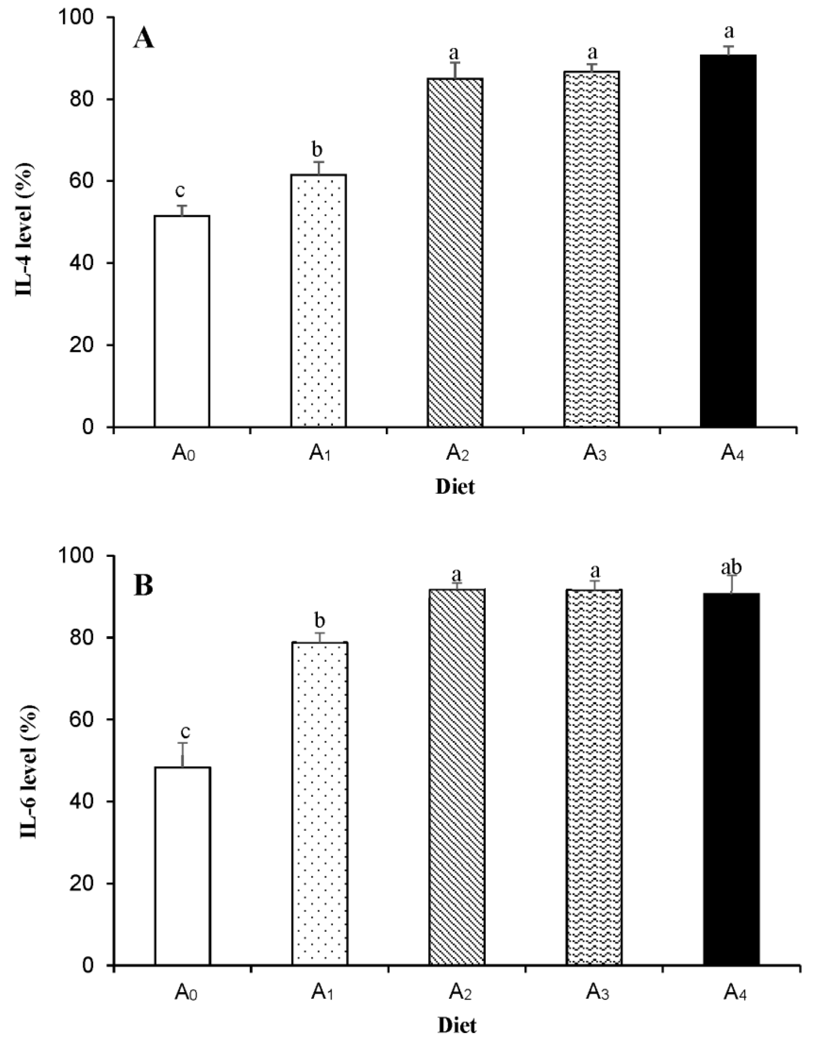
The expression of hepatic IL-4 and IL-6 increased in fish fed AC-supplemented diets (A1–A4), compared with that in the control group (Figure 4). For groups fed AC at doses higher than 3.0 g kg−1 diet, response patterns of the two ILs reached a stationary level.
Figure 4.
Expression level of hepatic IL-2 (A) and IL-6 (B) of E. coioides fed the control diet or diets containing Antrodia camphorata (AC) at 0 (A0), 1.5 (A1), 3.0 (A2), 4.5 (A3), and 6.0 (A4) g kg−1 after 28 days of supplementation. IL-2, interleukin-2; IL-6, interleukin-6. See Figure 2 for statistical information.
4. Discussion
All of the examined innate immune parameters were higher in the orange-spotted groupers fed the higher dose of AC-supplemented diets. The consistency between the survival rate and immune response suggests that the increased disease resistance observed after AC administration is associated with induced innate immune responses.
The ranking of the orange-spotted groupers fed AC-containing diets according to the survival rates after being challenged by V. alginolyticus was A4 (6.0 g kg−1) = A3 (4.5 g kg−1) = A2 (3.0 g kg−1) > A1 (1.5 g kg−1) > A0 (0 g kg−1), indicating that 3.0 g kg−1 is a suitable dose for improving the disease resistance of orange-spotted grouper, as it has similar survival rates to those of higher concentrations (A4 and A3). In addition, the orange-spotted grouper seems more sensitive to S. iniae; the survival rate decreased to 11.1% without AC supplementation, and there was no difference between the control (A0) and treatment groups at a low dose (A1). Significantly higher resistance of the grouper (64.4–66.7% survival rate) was observed at higher doses.
As innate immune responses play important roles in fish defense, many studies have investigated factors that can augment the non-specific immunity, including sodium alginate [16,17,18], Herba Epimedii extracts [22], and probiotics [1,32,33,34]. In these studies, innate immunity was typically induced after 1–2 weeks of stimulant supplementation. For example, the administration of dietary supplements for 1–2 weeks induced the innate immunity of gilthead seabream, tilapia [21,35,36,37], and grouper [16,17]. In the present study, enhanced disease resistance against bacteria was observed after 28-day feeding trials with dietary supplementation of AC, suggesting that AC increased the activated grouper immunity.
Furthermore, both innate cellular and humoral immune responses increased after the 28-day administration of AC-supplemented diets. Huang et al. [38] reported that the ethyl acetate fraction from ethanol extract of dried powder from AC-fruiting bodies contains triterpenoid-rich compounds, resulting in improved physical fatigue and exercise performance in mice. Chang et al. [26] reported that triterpenoids and polysaccharides are the main sources of AC’s health effects. Thus, polysaccharides and triterpenoids have become important quality control indicators of AC extraction. The higher innate immune response of groupers after AC supplementation might be attributed to the compounds contained in the AC. These results reveal the application potential of AC as a supplement in grouper culture feeds.
In particular, the triterpenoid-rich extract contains antcins (B, C, H, I, and K), dehydro-sulfurenic acid, and 15α-acetyl-dehydro-sulfurenic acid [38]. A high amount of terpenoids (63%) contained in the AC-fruiting bodies and triterpenes are implicated in immune system responses and have been described as antiviral, antimicrobial, and anticancer agents, as well as immunomodulator compounds [26]. Therefore, the enhanced immunity of groupers against bacteria after feeding on an AC-supplemented diet could be due to triterpenoids.
Martin et al. [39] reported that natural triterpenes modulate immune-inflammatory markers of experimental autoimmune encephalomyelitis and proposed that triterpenes represent a novel, helpful tool for the intervention of autoimmune and neurodegenerative diseases in mice. Mishra and Sree [40] indicated that the triterpenes from hexane and chloroform extracts of flowering plant Finlaysonia obovatas show antibacterial activity against fish pathogenic bacteria, using the disc assay method. Aminini et al. [41] used another triterpene source, Cumaside from the Far-Eastern edible sea cucumber, to treat mouse macrophages and found that Cumaside increased lysosomal activity and the resistance of mice against bacterial infections by various pathogens, as well as innate immune responses, including phagocytosis, ROS formation, and IL-6 and TNF-alpha production in lymphocytes. Similarly, in the present study, groupers that received AC exhibited higher immune parameters and increased resistance to both V. alginolyticus and S. iniae.
Hepatic IL-4 and IL-6 expression in groupers increased after AC administration. These interleukins can stimulate T-helper 2 cells to activate the humoral immune response [42]. IL-6 regulates the cytokines involved in defense upon exposure to pathogens [43]. Dietary administration of seaweeds Hizikia fusiformis glycoproteins and Pyropia yezoensis extract induced responses of hepatic IL-4 and IL-6 [31,44], and dietary P. yezoensis extract enhanced lysozyme activity, suggesting that it plays a role in the regulation of innate immune responses in orange-spotted groupers after AC administration. Therefore, bioactive compounds from AC can potentially be used to enhance immune responses via the upregulation of IL-4 and IL-6.
Several studies have reported that increased innate immunity is positively correlated with the disease resistance of groupers against bacterial infection [18,45,46,47], and many immunostimulants have been used to raise fish disease resistance by enhancing innate immunity in aquaculture [15,45,48,49]. Furthermore, the liquid culture of AC should be considered, as a new stage to reduce the cost because liquid culture technology for spawn production is obviously more advantageous, which is reflected in better quality, reduction in contamination and cost, and increased efficiency and production stability, compared with the traditional solid culture [50]. Thus, AC could potentially function as a useful oral immunomodulator in preventing vibriosis and streptococcosis. Taken together, these findings suggest that augmented immune response induced by immunomodulatory factors in AC is associated with disease resistance against bacterial infections.
5. Conclusions
The application of dietary A. camphorata fruiting bodies 3g kg−1 diet enhanced the disease resistance of orange-spotted groupers via improvement of innate cellular and humoral immunity. This study is the first to report the use of AC for protection against bacterial infections and presents a novel alternative treatment.
Author Contributions
Data curation and formal analysis, H.-C.C. and Y.-Z.S.; sample analysis and data curation, C.-M.C. and C.-Y.P.; data curation, formal analysis, writing—review and editing, A.-C.C. All authors have read and agreed to the published version of the manuscript.
Funding
This study was supported by the Fisheries Agency, Council of Agriculture, Executive Yuan, Taiwan in the grant number: 104AS-17.1.1-FA-F2.
Institutional Review Board Statement
The protocol used for animal experiments was approved by the Institutional Animal Care and Use Committee of the National Kaohsiung University of Science and Technology (Approval number: 0104-AAAP-002).
Informed Consent Statement
Not applicable.
Data Availability Statement
The data that support the findings of this study are available from the corresponding author upon reasonable request.
Acknowledgments
Thanks to the National Kaohsiung University of Science and Technology for supporting the project.
Conflicts of Interest
The authors declare that they have no conflicts of interest in this work.
References
- Harikrishnan, R.; Balasundaram, C.; Heo, M.S. Lactobacillus sakei BK19 Enriched Diet Enhances the Immunity Status and Disease Resistance to Streptococcosis Infection in Kelp Grouper, Epinephelus bruneus. Fish Shellfish Immunol. 2010, 29, 1037–1043. [Google Scholar] [CrossRef] [PubMed]
- Harikrishnan, R.; Kim, M.C.; Kim, J.S.; Han, Y.J.; Jang, I.S.; Balasundaram, C.; Heo, M.S. Immunomodulatory Effect of Sodium Alginate Enriched Diet in Kelp Grouper Epinephelus brneus against Streptococcus iniae. Fish Shellfish Immunol. 2011, 30, 543–549. [Google Scholar] [CrossRef] [PubMed]
- Xiao Joe, J.T.; Tseng, Y.C.; Wu, J.L.; Lu, M.W. The Alteration of Intestinal Microbiota Profile and Immune Response in Epinephelus coioides during Pathogen Infection. Life 2021, 11, 99. [Google Scholar] [CrossRef] [PubMed]
- Fukuda, Y.; Nguyen, H.D.; Furuhashi, M.; Nakai, T. Mass Mortality of Cultured Sevenband Grouper, Epinephelus septemfasciatus, Associated with Viral Nervous Necrosis. Fish Pathol. 1996, 31, 165–170. [Google Scholar] [CrossRef] [Green Version]
- Yambot, A.V.; Song, Y.L. Immunization of Grouper, Epinephelus coioides, Confers Protection against a Protozoan Parasite, Cryptocaryon irritans. Aquaculture 2006, 260, 1–9. [Google Scholar] [CrossRef]
- Yii, K.C.; Yang, T.I.; Lee, K.K. Isolation and Characterization of Vibrio carchariae, A Causative Agent of Gastroenteritis in the Groupers, Epinephelus coioides. Curr. Microbiol. 1997, 35, 109–115. [Google Scholar] [CrossRef]
- Arthur, R.; Ogawa, K. A brief Overview of Disease Problems in The Culture of Marine Finfishes in East and Southeast Asia. In Aquaculture Health Management Strategies for Marine Fishes; Main, K.L., Rosenfeld, C., Eds.; The Oceanic Institute: Makapu’u Point, HI, USA, 1996; pp. 9–31. [Google Scholar]
- Nakanishi, T.; Toda, H.; Shibasaki, Y.; Somamoto, T. Cytotoxic T Cells in Teleost Fish. Dev. Comp. Immunol. 2011, 35, 1317–1323. [Google Scholar] [CrossRef]
- Somamoto, T.; Nakanishi, T.; Okamoto, N. Specific CSell-Mediated Cytotoxicity against a Virus-Infected Syngeneic Cell Line in Isogeneic Ginbuna Crucian Carp. Dev. Comp. Immunol. 2000, 24, 633–640. [Google Scholar] [CrossRef]
- Somamoto, T.; Nakanishi, T.; Okamoto, N. Role of Specific Cell-Mediated Cytotoxicity in Protecting Fish from Viral Infections. Virology 2002, 297, 120–127. [Google Scholar] [CrossRef] [Green Version]
- Zhang, C.N.; Li, X.F.; Xu, W.N.; Jiang, G.Z.; Lu, K.L.; Wang, L.N.; Liu, W.B. Combined Effects of Dietary Fructooligosaccharide and Bacillus licheniformis on Innate Immunity, Antioxidant Capability and Disease Resistance of Triangular Bream (Megalobrama terminalis). Fish Shellfish Immunol. 2013, 35, 1380–1386. [Google Scholar] [CrossRef]
- Jiang, H.F.; Liu, X.L.; Chang, Y.Q.; Liu, M.T.; Wang, G.X. Effects of Dietary Supplementation of Probiotic Shewanella colwelliana WA64, Shewanella olleyana WA65 on the Innate Immunity and Disease Resistance of Abalone, Haliotis discus hannai Ino. Fish Shellfish Immunol. 2013, 35, 86–91. [Google Scholar] [CrossRef] [PubMed]
- Song, J.W.; Lim, S.J.; Lee, K.J. Effects of Dietary Supplementation of Inosine Monophosphate on Growth Performance, Innate Immunity and Disease Resistance of Olive Flounder (Paralichthys olivaceus). Fish Shellfish Immunol. 2012, 33, 1050–1054. [Google Scholar] [CrossRef] [PubMed]
- Kaleeswaran, B.; Ilavenil, S.; Ravikumar, S. Dietary Supplementation with Cynodon dactylon (L.) Enhances Innate Immunity and Disease Resistance of Indian Major Carp, Catla catla (Ham.). Fish Shellfish Immunol. 2011, 31, 953–962. [Google Scholar] [CrossRef] [PubMed]
- Kumari, J.; Sahoo, P.K. Dietary Beta-1,3 Glucan Potentiates Innate Immunity and Disease Resistance of Asian catfish, Clarias batrachus (L.). J. Fish Dis. 2006, 29, 95–101. [Google Scholar] [CrossRef] [PubMed]
- Cheng, A.C.; Chen, Y.Y.; Chen, J.C. Dietary Administration of Sodium Alginate and Kappa-Carrageenan Enhances the Innate Immune Response of Brown-Marbled Grouper Epinephelus fuscoguttatus and its Resistance against Vibrio alginolyticus. Vet. Immunol. Immunopathol. 2008, 121, 206–215. [Google Scholar] [CrossRef]
- Cheng, A.C.; Tu, C.W.; Chen, Y.Y.; Nan, F.H.; Chen, J.C. The Immunostimulatory Effects of Sodium Alginate and Iota-Carrageenan on Orange-Spotted Grouper Epinephelus coicoides and Its Resistance against Vibrio alginolyticus. Fish Shellfish Immunol. 2007, 22, 197–205. [Google Scholar] [CrossRef]
- Yeh, S.P.; Chang, C.A.; Chang, C.Y.; Liu, C.H.; Cheng, W. Dietary Sodium Alginate Administration Affects Fingerling Growth and Resistance to Streptococcus sp. and Iridovirus, and Juvenile Non-Specific Immune Responses of the Orange-Spotted Grouper, Epinephelus coioides. Fish Shellfish Immunol. 2008, 25, 19–27. [Google Scholar] [CrossRef]
- Jian, J.; Wu, Z. Influences of Traditional Chinese Medicine on Non-Specific Immunity of Jian Carp (Cyprinus carpio var. Jian). Fish Shellfish Immunol. 2004, 16, 185–191. [Google Scholar] [CrossRef]
- Joos, S. Review on Efficacy and Health Services Research Studies of Complementary and Alternative Medicine in Inflammatory Bowel Disease. Chin. J. Integr. Med. 2011, 17, 403–409. [Google Scholar] [CrossRef]
- Wu, Y.R.; Gong, Q.F.; Fang, H.; Liang, W.W.; Chen, M.; He, R.J. Effect of Sophora Flavescens on Non-Specific Immune Response of Tilapia (GIFT Oreochromis niloticus) and Disease Resistance against Streptococcus agalactiae. Fish Shellfish Immunol. 2013, 34, 220–227. [Google Scholar] [CrossRef]
- Zhang, Z.; Swain, T.; Bøgwald, J.; Dalmo, R.A.; Kumari, J. Bath Immunostimulation of Rainbow Trout (Oncorhynchus mykiss) Fry Induces Enhancement of Inflammatory Cytokine Transcripts, while Repeated Bath Induce No Changes. Fish Shellfish Immunol. 2009, 26, 677–684. [Google Scholar] [CrossRef] [PubMed]
- Wu, S.H.; Ryvarden, L.; Chang, T.T. Antrodia camphorata (‘‘niu-chang-chih’’), New Combination of a Medicinal Fungus in Taiwan. Bot. Bull. Acad. Sinica 1997, 38, 273–275. [Google Scholar]
- Peng, C.C.; Chen, K.C.; Peng, R.Y.; Chyau, C.C.; Su, C.H.; Hsieh-Li, H.M. Antrodia camphorata Extract Induces Replicative Senescence in Superficial TCC, and Inhibits the Absolute Migration Capability in Invasive Bladder Carcinoma Cells. J. Ethnopharmacol. 2007, 109, 93–103. [Google Scholar] [CrossRef] [PubMed]
- Geethangili, M.; Tzeng, Y.M. Review of Pharmacological Effects of Antrodia camphorata and Its Bioactive Compounds. Evid.-Based Complementary Altern. Med. 2011, 2011, 212641. [Google Scholar] [CrossRef] [Green Version]
- Chang, C.C.; Lu, Y.C.; Wang, C.C.; Ko, T.L.; Chen, J.R.; Wang, W.; Chen, Y.L.; Wang, Y.W.; Chang, T.H.; Hsu, H.F.; et al. Antrodia cinnamomea Extraction Waste Supplementation Promotes Thermal Stress Tolerance and Tissue Regeneration Ability of Zebrafish. Molecules 2020, 25, 4213. [Google Scholar] [CrossRef]
- Teng, S.K.; Chua, T.E.; Lim, P.E. Preliminary observation on the dietary protein requirement of estuary grouper, E. salmonids Maxiwell, cultured in floating netcages. Aquaculture 1978, 15, 257–271. [Google Scholar] [CrossRef]
- Cheng, A.C.; Cheng, S.A.; Chen, Y.Y.; Chen, J.C. Effects of Temperature Change on the Innate Cellular and Humoral Immune Responses of Orange-Spotted Grouper Epinephelus coioides and its Susceptibility to Vibrio alginolyticus. Fish Shellfish Immunol. 2009, 26, 768–772. [Google Scholar] [CrossRef]
- Guo, J.J.; Kuo, C.M.; Chuang, Y.C.; Hong, J.W.; Chou, R.L.; Chen, T.I. The Effects of Garlic-Supplemented Diets on Antibacterial Activity against Streptococcus iniae and on Growth in Orange-Spotted Grouper, Epinephelus coioides. Aquaculture 2012, 364–365, 33–38. [Google Scholar] [CrossRef]
- Bradford, M.M. A Rapid and Sensitive Method for the Quantitation of Microgram Quantities of Protein Utilizing the Principle of Protein-Dye Binding. Anal. Biochem. 1976, 72, 248–254. [Google Scholar] [CrossRef]
- Choi, Y.H.; Kim, K.W.; Han, H.S.; Nam, T.J.; Lee, B.J. Dietary Hizikia Fusiformis Glycoprotein-Induced IGF-I and IGFBP-3 Associated to Somatic Growth, Polyunsaturated Fatty Acid Metabolism, and Immunity in Juvenile Olive Flounder Paralichthys olivaceus. Comp. Biochem. Physiol. A Mol. Integr. Physiol. 2014, 167, 1–6. [Google Scholar] [CrossRef]
- Chiu, C.H.; Cheng, C.H.; Gua, W.R.; Guu, Y.K.; Cheng, W. Dietary Administration of the Probiotic, Saccharomyces cerevisiae P13, Enhanced the Growth, Innate Immune Responses, and Disease Resistance of the Grouper, Epinephelus coioides. Fish Shellfish Immunol. 2010, 29, 1053–1059. [Google Scholar] [CrossRef] [PubMed]
- Liu, C.H.; Chiu, C.H.; Wang, S.W.; Cheng, W. Dietary Administration of the Probiotic, Bacillus subtilis E20, Enhances the Growth, Innate Immune Responses, and Disease Resistance of the Grouper, Epinephelus coioides. Fish Shellfish Immunol. 2012, 33, 699–706. [Google Scholar] [CrossRef] [PubMed]
- Son, V.M.; Chang, C.C.; Wu, M.C.; Guu, Y.K.; Chiu, C.H.; Cheng, W. Dietary Administration of the Probiotic, Lactobacillus plantarum, Enhanced the Growth, Innate Immune Responses, and Disease Resistance of the Grouper Epinephelus coioides. Fish Shellfish Immunol. 2009, 26, 691–698. [Google Scholar] [CrossRef] [PubMed]
- Aly, S.M.; Ahmed, Y.A.G.; Ghareeb, A.A.A.; Mohamed, M.F. Studies on Bacillus subtilis and Lactobacillus acidophilus, as Potential Probiotics, on the Immune Response and Resistance of Tilapia nilotica (Oreochromis niloticus) to Challenge Infections. Fish Shellfish Immunol. 2008, 25, 128–136. [Google Scholar] [CrossRef] [PubMed]
- Chiu, K.H.; Liu, W.S. Dietary Administration of the Extract of Rhodobacter sphaeroides WL-APD911 Enhances the Growth Performance and Innate Immune Responses of Seawater Red Tilapia (Oreochromis mossambicusxa × Oreochromis niloticus). Aquaculture 2014, 418–419, 32–38. [Google Scholar] [CrossRef]
- Zhou, X.; Tian, Z.; Wang, Y.; Li, W. Effect of Treatment with Probiotics as Water Additives on Tilapia (Oreochromis niloticus) Growth Performance and Immune Response. Fish Physiol. Biochem. 2010, 36, 501–509. [Google Scholar] [CrossRef]
- Huang, C.C.; Hsu, M.C.; Huang, W.C.; Yang, H.R.; Hou, C.C. Triterpenoid-Rich Extract from Antrodia camphorata Improves Physical Fatigue and Exercise Performance in Mice. Evid.-Based Complementary Altern. Med. 2012, 2012, 364741. [Google Scholar] [CrossRef] [Green Version]
- Martin, R.; Hernandez, M.; Cordova, C.; Nieto, M.L. Natural triterpenes modulate immune-inflammatory markers of experimental autoimmune encephalomyelitis: Therapeutic implications for multiple sclerosis. Br. J. Pharmacol. 2012, 166, 1708–1723. [Google Scholar] [CrossRef] [Green Version]
- Mishra, P.M.; Sree, A. Chemical investigation of Finlaysonia obovata: Part I--a rare triterpene acid showing antibacterial activity against fish pathogens. Nat. Prod. Res. 2008, 22, 801–807. [Google Scholar] [CrossRef]
- Aminin, D.L.; Pinegin, B.V.; Pichugina, L.V.; Zaporozhets, T.S.; Agafonova, I.G.; Boguslavski, V.M.; Silchenko, A.S.; Avilov, S.A.; Stonik, V.A. Immunomodulatory properties of Cumaside. Int. Immunopharmacol. 2006, 6, 1070–1082. [Google Scholar] [CrossRef]
- Mosmann, T.R.; Bond, M.W.; Coffman, R.L.; Ohara, J.; Paul, W.E. T-cell and mast cell lines respond to B-cell stimulatory factor 1. Proc. Natl. Acad. Sci. USA 1986, 83, 5654–5658. [Google Scholar] [CrossRef] [PubMed] [Green Version]
- Varela, M.; Dios, S.; Novoa, B.; Figueras, A. Characterisation, Expression and Ontogeny of Interleukin-6 and Its Receptors in Zebrafish (Danio rerio). Dev. Comp. Immunol. 2012, 37, 97–106. [Google Scholar] [CrossRef] [PubMed] [Green Version]
- Choi, Y.H.; Lee, B.J.; Nam, T.J. Effect of Dietary Inclusion of Pyropia yezoensis Extract on Biochemical and Immune Responses of Olive Flounder Paralichthys olivaceus. Aquaculture 2015, 435, 347–353. [Google Scholar] [CrossRef]
- Harikrishnan, R.; Balasundaram, C.; Heo, M.S. Diet Enriched with Mushroom Phellinus linteus Extract Enhances the Growth, Innate Immune Response, and Disease Resistance of Kelp Grouper, Epinephelus bruneus against Vibriosis. Fish Shellfish Immunol. 2011, 30, 128–134. [Google Scholar] [CrossRef]
- Harikrishnan, R.; Kim, M.C.; Kim, J.S.; Balasundaram, C.; Heo, M.S. Effect of Coriolus versicolor Supplemented Diet on Innate Immune Response and Disease Resistance in Kelp Grouper Epinephelus bruneus against Listonella anguillarum. Fish Shellfish Immunol. 2012, 32, 339–344. [Google Scholar] [CrossRef]
- Kim, J.S.; Harikrishnan, R.; Kim, M.C.; Jang, I.S.; Kim, D.H.; Hong, S.H.; Balasundaram, C.; Heo, M.S. Enhancement of Eriobotrya japonica Extracts on Non-Specific Immune Response and Disease Resistance in Kelp Grouper Epinephelus bruneus against Vibrio carchariae. Fish Shellfish Immunol. 2011, 31, 1193–1200. [Google Scholar] [CrossRef]
- Rodríguez, I.; Chamorro, R.; Novoa, B.; Figueras, A. Beta-Glucan Administration Enhances Disease Resistance and Some Innate Immune Responses in Zebrafish (Danio rerio). Fish Shellfish Immunol. 2009, 27, 369–373. [Google Scholar] [CrossRef] [Green Version]
- Tukmechi, A.; Andani, H.R.R.; Manaffar, R.; Sheikhzadeh, N. Dietary Administration of Beta-Mercapto-Ethanol Treated Saccharomyces Cerevisiae Enhanced the Growth, Innate Immune Response and Disease Resistance of the Rainbow Trout, Oncorhynchus mykiss. Fish Shellfish Immunol. 2011, 30, 923–928. [Google Scholar] [CrossRef]
- Zhou, X.W.; Su, K.Q.; Zhang, Y.M. Applied Modern Biotechnology for Cultivation of Ganoderma and Development of Their Products. Appl. Microbiol. Biotechnol. 2012, 93, 941–963. [Google Scholar] [CrossRef]
Publisher’s Note: MDPI stays neutral with regard to jurisdictional claims in published maps and institutional affiliations. |
© 2022 by the authors. Licensee MDPI, Basel, Switzerland. This article is an open access article distributed under the terms and conditions of the Creative Commons Attribution (CC BY) license (https://creativecommons.org/licenses/by/4.0/).




