Impacts of an Altimetric Wave Data Assimilation Scheme and Currents-Wave Coupling in an Operational Wave System: The New Copernicus Marine IBI Wave Forecast Service
Abstract
:1. Introduction
- To assess and quantify the potential added value, in terms of accuracy gain, that the assimilation of altimetric significant wave height satellite observation has on the IBI wave model solution.
- To analyse the impacts in the IBI wave model solution related to the use of surface current–wave coupling, evaluating the contribution of surface ocean currents in the wave energy balance.
2. Methodology and Sensitivity Tests for Copernicus Marine IBI-MFC Wave System
2.1. The IBI Area and IBI-MFC Wave Model
2.2. Model Sensitivity Test: The Proposed IBI Wave Model Upgrades
- (i)
- The lack of IBI wave analyses to initialize IBI forecast cycles
- (ii)
- The absence of any coupling of the IBI wave model data with ocean currents.
2.2.1. The Altimetric Wave DA Scheme Proposed for IBI
2.2.2. Wave–Current Coupling Proposed for IBI
2.2.3. Assessment of Model Runs: Evaluation Criteria against In-Situ and Altimeter Data
3. Results
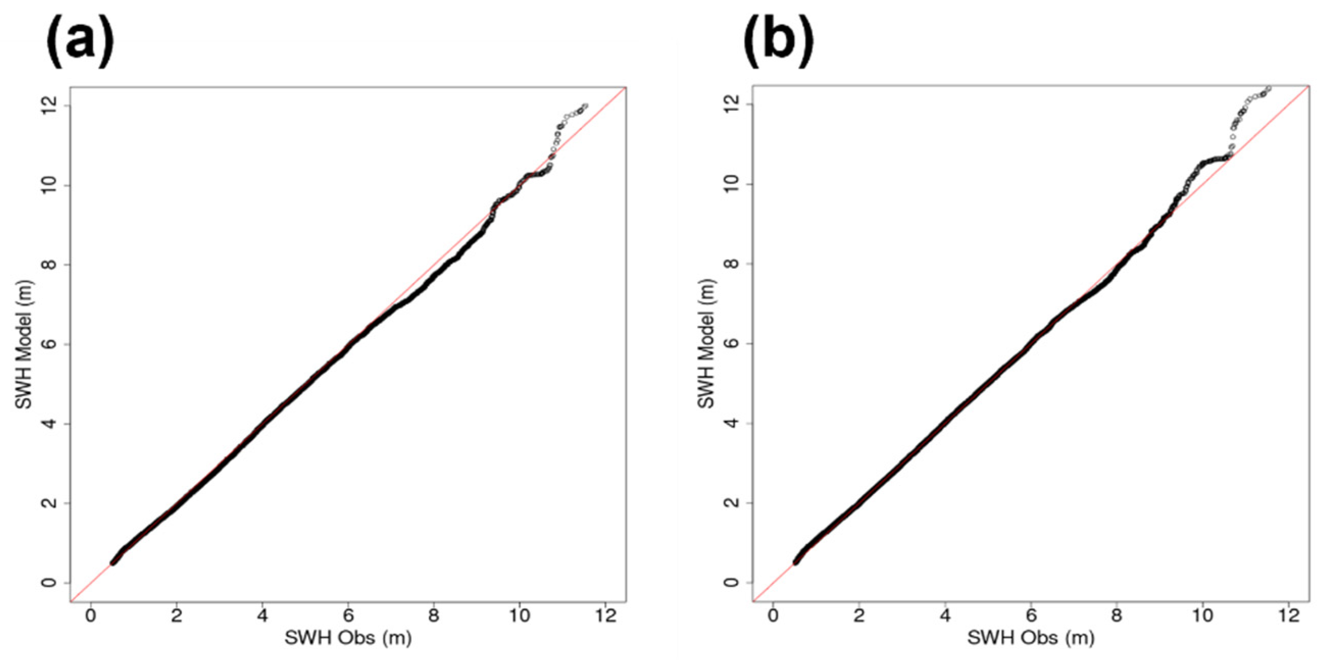
3.1. Impacts in the IBI Wave Solution Related to the Use of Surface Current–Wave Coupling
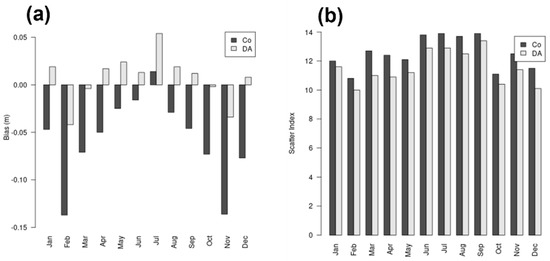
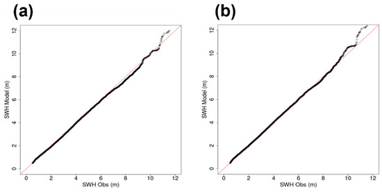
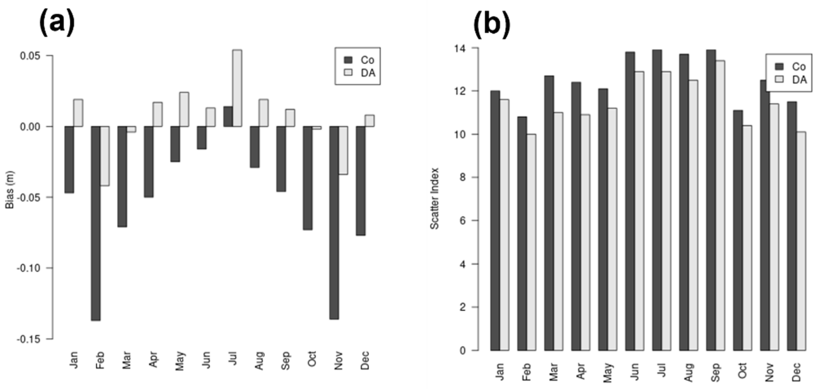
3.2. Evaluation of Data Assimilation Performance: Validation of New IBI Wave Analysis
4. Discussion
5. Conclusions
- Currently, the IBI-MFC is in the process of enhancing the coupling, in both directions, between waves and ocean dynamics. In the December 2020 release, the upgraded IBI wave system included improved computations of coupling parameters, such as the surface stress, and wave-breaking-induced turbulence in the ocean mixed layer. These parameters are used to drive a coupling run with the IBI MFC ocean forecast run, based on a NEMO model application. The sensitivity coupling tests of using the Stokes–Coriolis forcing, the sea-state-dependent stress momentum fluxes and including wave-breaking energy flux in the vertical mixing, are all validated and the impact on improving the forecast is addressed by [8,53,54].
- With respect to data assimilation, directional wave spectra data assimilation based on the optimal interpolation method, applied to mean wave parameters (total energy and wave number components) of each wave train composing the wave spectrum [55], will be implemented, in order to increase the impact of assimilation [7]. Likewise, assimilation of wave data from swath altimetry is expected to be tested in the future.
Author Contributions
Funding
Institutional Review Board Statement
Informed Consent Statement
Data Availability Statement
Acknowledgments
Conflicts of Interest
References
- Cavaleri, L.; Fox-Kemper, B.; Hemer, M. Wind waves in the climate coupled system. Bull. Am. Meteorol. Soc. 2012, 93, 1651–1661. [Google Scholar] [CrossRef]
- Janssen, P.A.E.M.; Aouf, L.; Behrens, O.; Breivik, A.; Korres, G.; Cavalieri, L.; Christiensen, K. Final Report of Work-Package I of 7th Framework Program Mywave Project; European Commission: Brussels, Belgium, 2014. [Google Scholar]
- Capet, A.; Fernández, V.; She, J.; Dabrowski, T.; Umgiesser, G.; Staneva, J.; Mészáros, L.; Campuzano, F.; Ursella, L.; Nolan, G.; et al. Operational modeling capacity in European Seas—An EuroGOOS perspective and recommendations for improvement. Front. Mar. Sci. 2020, 7, 129. [Google Scholar] [CrossRef] [Green Version]
- The WAMDI group. The Wam model–A third generation ocean wave prediction model. J. Phys. Ocenography 1988, 18, 1775–1810. [Google Scholar] [CrossRef] [Green Version]
- Booij, N.; Holthuijsen, L.H.; Ris, R.C. The SWAN wave model for shallow water. In Proceedings of the 25th International Conference on Coastal Engineering, Orlando, FL, USA, 2–6 September 1996; pp. 668–676. [Google Scholar] [CrossRef]
- Tolman, H.L. User manual and system documentation of WAVEWATCH III TM version 3.14. Tech. Note MMAB Contrib. 2009, 276, 220. [Google Scholar]
- Aouf, L.; Lefèvre, J.-M. On the impact of the assimilation of SARAL/AltiKa wave data in the operational wave model MFWAM. Mar. Geodesy 2015, 38, 381–395. [Google Scholar] [CrossRef]
- Breivik, Ø.; Mogensen, K.; Bidlot, J.; Balmaseda, M.A.; Janssen, P.A.E.M. Surface wave effects in the NEMO ocean model: Forced and coupled experiments. J. Geophys. Res. Oceans 2015, 120, 2973–2992. [Google Scholar] [CrossRef] [Green Version]
- Fan, Y.; Griffies, S.M. Impacts of parameterized Langmuir turbulence and nonbreaking wave mixing in global cli-mate simulations. J. Clim. 2014, 27, 4752–4775. [Google Scholar] [CrossRef]
- Babanin, A.V.; Ganopolski, A.; Phillips, W.R.C. Wave-induced upper-ocean mixing in a climate model of intermediate complexity. Ocean. Model. 2009, 29, 189–197. [Google Scholar] [CrossRef]
- Janssen, P.A.E.M. Ocean wave effects on the daily cycle in SST. J. Geophys. Res. Earth Surf. 2012, 117, C11. [Google Scholar] [CrossRef] [Green Version]
- Thévenot, O.; Bouin, M.-N.; Ducrocq, V.; Brossier, C.L.; Nuissier, O.; Pianezze, J.; Duffourg, F. Influence of the sea state on Mediterranean heavy precipitation: A case-study from HyMeX SOP1. Q. J. R. Meteorol. Soc. 2016, 142, 377–389. [Google Scholar] [CrossRef] [Green Version]
- Ginis, I. Atmophere-Ocean coupling in tropical cyclone. In Proceedings of the ECMWF Workshop on Ocean-Atmosphere Interactions, Reading, UK, 10–12 November 2008. [Google Scholar]
- Liu, C.; Qi, Y.; Liang, J. The effect of sea waves on the typhoon Imodu. In Proceedings of the High Resolution Modelling CAWCR Workshop, Melbourne, Australia, 25–28 November 2008. [Google Scholar]
- Bruciaferri, D.; Tonani, M.; Lewis, H.W.; Siddorn, J.R.; Saulter, A.; Sanchez, J.M.C.; Valiente, N.G.; Conley, D.; Sykes, P.; Ascione, I.; et al. The impact of Ocean-Wave coupling on the upper Ocean circulation during storm events. J. Geophys. Res. Oceans 2021, 126, e2021017343. [Google Scholar] [CrossRef]
- Holthuijsen, L.H. Waves in Oceanic and Coastal Waters; Cambridge University Press (CUP): Cambridge, UK, 2007. [Google Scholar]
- Viitak, M.; Maljutenko, I.; Alari, V.; Suursaar, Ü.; Rikka, S.; Lagemaa, P. The impact of surface currents and sea level on the wave field evolution during St. Jude storm in the eastern Baltic Sea. Oceanologia 2016, 58, 176–186. [Google Scholar] [CrossRef] [Green Version]
- Echevarria, E.R.; Hemer, M.A.; Holbrook, N.J. Global implications of surface current modulation of the wind-wave field. Ocean. Model. 2021, 161, 101792. [Google Scholar] [CrossRef]
- Law-Chune, S.; Aouf, L.; Dalphinet, A.; Levier, B.; Drillet, Y.; Drevillon, M. WAVERYS: A CMEMS global wave reanalysis during the altimetry period. Ocean. Dyn. 2021, 71, 357–378. [Google Scholar] [CrossRef]
- Le Traon, P.Y.; Reppucci, A.; Fanjul, E.A.; Aouf, L.; Behrens, A.; Belmonte, M.; Bentamy, A.; Bertino, L.; Brando, V.E.; Kreiner, M.B.; et al. From observation to information and users: The Copernicus marine service perspective. Front. Mar. Sci. 2019, 6, 234. [Google Scholar] [CrossRef] [Green Version]
- Von Schuckmann, K.; Le Traon, P.-Y.; Smith, N.; Pascual, A.; Brasseur, P.; Fennel, K.; Djavidnia, S.; Aaboe, S.; Fanjul, E.A.; Autret, E.; et al. Copernicus marine service ocean state report. J. Oper. Oceanogr. 2018, 11, S1–S142. [Google Scholar] [CrossRef] [Green Version]
- Sarvia, F.; De Petris, S.; Borgogno-Mondino, E. Mapping ecological focus areas within the EU CAP controls framework by Copernicus Sentinel-2 data. Agronomy 2022, 12, 406. [Google Scholar] [CrossRef]
- Aschbacher, J. ESA’s earth observation strategy and Copernicus. In Satellite Earth Observations and Their Impact on Society and Policy; Springer: Singapore, 2017; pp. 81–86. [Google Scholar]
- CMEMS Scientific and Technical Advisory Committee (STAC). Copernicus Marine Environment Monitoring Service (CMEMS) Service Evolution Strategy: R&D Priorities. Version 4. 2018. Available online: https://marine.copernicus.eu/sites/default/files/CMEMS-Service_evolution_strategy_RD_priorities_V4.pdf (accessed on 13 January 2022).
- Sotillo, M.G.; Aznar, R.; Gutknecht, E.; Levier, B.; Reffray, G.; Lorente, P.; Barrera, E.; Dabrowski, T.; Aouf, L. The CMEMS IBI-MFC along Copernicus-1): Evolution & achievements. Included in the special issue: The Copernicus Marine Service from 2015 to 2021: Six years of achievements by LeTraon et al. Spec. Issue Mercator Océan J. 2021, 57, 147–154. [Google Scholar] [CrossRef]
- Lefèvre, J.M.; Aouf, L.; Bataille, C. Apport d’un nouveau modèle de vagues de 3ème génération à Météo-France. In Proceedings of the Actes de Conférence des Ateliers de Modélisation de l’Atmosphère; 2009; pp. 27–29. [Google Scholar]
- ECMWF. PartVII: ECMWF wave model. IFS Doc CY41R1 2015, 1–83. [Google Scholar]
- Ardhuin, F.; Rogers, E.; Babanin, A.V.; Filipot, J.-F.; Magne, R.; Roland, A.; Van Der Westhuysen, A.; Queffeulou, P.; Lefevre, J.-M.; Aouf, L.; et al. Semiempirical dissipation source functions for Ocean Waves. Part I: Definition, calibration, and validation. J. Phys. Oceanogr. 2010, 40, 1917–1941. [Google Scholar] [CrossRef] [Green Version]
- Cavaleri, L.; Abdalla, S.; Benetazzo, A.; Bertotti, L.; Bidlot, J.R.; Breivik, Ø.; Carniel, S.; Jensen, R.E.; Portilla-Yandun, J.; Rogers, W.E.; et al. Wave modelling in coastal and inner seas. Prog. Oceanogr. 2020, 167, 164–233. [Google Scholar] [CrossRef]
- Gerling, T.W. Partitioning sequences and arrays of directional ocean wave spectra into component wave systems. J. Atmos. Ocean. Technol. 1992, 9, 444–458. [Google Scholar] [CrossRef] [Green Version]
- Toledano, C.; Dalphinet, A.; Lorente, P.; Alfonso, M.; Ghantous, M.; Aouf, L.; Sotillo, M.G. Quality Information Document for Atlantic—Iberian Biscay Irish—Wave Analysis and Forecast Product. 2021, pp. 1–49. Available online: https://catalogue.marine.copernicus.eu/documents/QUID/CMEMS-IBI-QUID-005-005.pdf (accessed on 7 January 2021). [CrossRef]
- NOAA National Geophysical Data Center. ETOPO1 1 Arc-Minute Global Relief Model. NOAA Natl. Cent. Environ. Inf. 2009. [Google Scholar] [CrossRef]
- Haiden, T.; Janousek, M.; Bidlot, J.; Buizza, R.; Ferranti, L.; Prates, F.; Vitart, F. Evaluation of ECMWF Forecasts, including the 2018 Upgrade; European Centre for Medium Range Weather Forecasts: Reading, UK, 2018. [Google Scholar]
- Aouf, L. Quality Information Document for Global Ocean Wave Analysis and Forecast Product. 2021, pp. 1–21. Available online: https://catalogue.marine.copernicus.eu/documents/QUID/CMEMS-GLO-QUID-001-027.pdf (accessed on 11 January 2021). [CrossRef]
- Lionello, P.; Günther, H.; Janssen, P.A.E.M. Assimilation of altimeter data in a global third-generation wave model. J. Geophys. Res. Earth Surf. 1992, 97, 14453–14474. [Google Scholar] [CrossRef]
- Dalphinet, A.; MeteoFrance, Tolouse, France; Aouf, L.; MeteoFrance, Tolouse, France. Personal Communication, 2020.
- Tolman, H.L. The influence of unsteady depths and currents of tides on wind-wave propagation in shelf seas. J. Phys. Oceanogr. 1990, 20, 1166–1174. [Google Scholar] [CrossRef] [Green Version]
- Wehde, H.; Schuckmann, K.V.; Pouliquen, S.; Grouazel, A.; Bartolome, T.; Tintore, J.; De Alfonso, M.; Carval, T.; Racapé, V.; The INSTAC Team. Quality Information Document for Near Real Time In Situ Products. 2021, pp. 1–36. Available online: https://catalogue.marine.copernicus.eu/documents/QUID/CMEMS-INS-QUID-013-030-036.pdf (accessed on 7 January 2021). [CrossRef]
- Wang, J.; Aouf, L.; Jia, Y.; Zhang, Y. Validation and calibration of significant wave height and wind speed retrievals from HY2B altimeter based on deep learning. Remote Sens. 2020, 12, 2858. [Google Scholar] [CrossRef]
- Mentaschi, L.; Besio, G.; Cassola, F.; Mazzino, A. Problems in RMSE-based wave model validations. Ocean. Model. 2013, 72, 53–58. [Google Scholar] [CrossRef]
- Hanna, S.R.; Heinold, D.W. Development and Application of a Simple Method for Evaluating Air Quality Models; American Petroleum Institute: Washington, DC, USA, 1985. [Google Scholar]
- Liu, Q.; Babanin, A.V.; Guan, C.; Zieger, S.; Sun, J.; Jia, Y. Calibration and validation of HY-2 altimeter wave height. J. Atmos. Ocean. Technol. 2016, 33, 919–936. [Google Scholar] [CrossRef] [Green Version]
- Moon, I.-J. Impact of a coupled ocean wave–tide–circulation system on coastal modeling. Ocean. Model. 2005, 8, 203–236. [Google Scholar] [CrossRef]
- Jorda, G.; Bolaños, R.; Espino, M.; Sánchez-Arcilla, A. Assessment of the importance of the current-wave coupling in the shelf ocean forecasts. Ocean. Sci. 2007, 3, 345–362. [Google Scholar] [CrossRef] [Green Version]
- Ardhuin, F.; Roland, A.; Dumas, F.; Bennis, A.-C.; Sentchev, A.; Forget, P.; Wolf, J.; Girard, F.; Osuna, P.; Benoit, M. Numerical wave modeling in conditions with strong currents: Dissipation, refraction, and relative wind. J. Phys. Oceanogr. 2012, 42, 2101–2120. [Google Scholar] [CrossRef]
- Romero, L.; Lenain, L.; Melville, W.K. Observations of surface wave–current interaction. J. Phys. Oceanogr. 2017, 47, 615–632. [Google Scholar] [CrossRef]
- Ardhuin, F.; Gille, S.T.; Menemenlis, D.; Rocha, C.B.; Rascle, N.; Chapron, B.; Gula, J.; Molemaker, J. Small-scale open ocean currents have large effects on wind wave heights. J. Geophys. Res. Oceans 2017, 122, 4500–4517. [Google Scholar] [CrossRef] [Green Version]
- De León, S.P.; Soares, C.G. Extreme waves in the Agulhas current region inferred from SAR wave spectra and the SWAN model. J. Mar. Sci. Eng. 2021, 9, 153. [Google Scholar] [CrossRef]
- Mulero-Martínez, R.; Gómez-Enri, J.; Mañanes, R.; Bruno, M. Assessment of near-shore currents from CryoSat-2 satellite in the Gulf of Cádiz using HF radar-derived current observations. Remote Sens. Environ. 2021, 256, 112310. [Google Scholar] [CrossRef]
- Lorente, P.; Sotillo, M.G.; Amo-Baladrón, A.; Aznar, R.; LeVier, B.; Aouf, L.; Dabrowski, T.; De Pascual, Á.; Reffray, G.; Dalphinet, A.; et al. The NARVAL software toolbox in support of ocean models skill assessment at regional and coastal scales. In Computational Science—ICCS 2019, Proceedings of the International Conference on Computational Science, Las Vegas, NV, USA 5–7 December 2019; Springer Science and Business Media LLC: Cham, Switzerland, 2019; pp. 315–328. [Google Scholar]
- Lorente, P.; Piedracoba, S.; Sotillo, M.G.; Aznar, R.; Amo-Baladrón, A.; Pascual, Á.; Soto-Navarro, J.; Álvarez-Fanjul, E. Ocean model skill assessment in the NW Mediterranean using multi-sensor data. J. Oper. Oceanogr. 2016, 9, 75–92. [Google Scholar] [CrossRef]
- Derkani, M.H.; Alberello, A.; Nelli, F.; Bennetts, L.G.; Hessner, K.G.; MacHutchon, K.; Reichert, K.; Aouf, L.; Khan, S.; Toffoli, A. Wind, waves, and surface currents in the Southern Ocean: Observations from the Antarctic Circumnavigation Expedition. Earth Syst. Sci. Data 2021, 13, 1189–1209. [Google Scholar] [CrossRef]
- Chune, S.L.; Aouf, L. Wave effects in global ocean modeling: Parametrizations vs. forcing from a wave model. Ocean. Dyn. 2018, 68, 1739–1758. [Google Scholar] [CrossRef]
- Staneva, J.; Grayek, S.; Behrens, A.; Günther, H. GCOAST: Skill assessments of coupling wave and circulation models (NEMO-WAM). J. Phys. Conf. Ser. 2021, 1730, 012071. [Google Scholar] [CrossRef]
- Voorrips, A.C.; Makin, V.K.; Hasselmann, S. Assimilation of wave spectra from pitch-and-roll buoys in a North Sea wave model. J. Geophys. Res. Earth Surf. 1997, 102, 5829–5849. [Google Scholar] [CrossRef]









| IBI-Wave Model Scenarios | Currents Coupling | Data Assimilation |
|---|---|---|
| IBI CONTROL RUN (IBI-CO) | - | - |
| IBI Run with currents forcing on (IBI-CU) | x | - |
| IBI Run with Data Assimilation on (IBI-DA) | - | x |
| New IBI Operational Wave system (IBI-OP) | x | x |
| N | SWH | TM02 | ||||||||||||
|---|---|---|---|---|---|---|---|---|---|---|---|---|---|---|
| BIAS (m) | RMSD (m) | CCOR | BIAS (s) | RMSD (s) | CCOR | |||||||||
| CU | CO | CU | CO | CU | CO | CU | CO | CU | CO | CU | CO | |||
| IRISH | CB (2) | 13,784 | −0.22 | −0.24 | 0.45 | 0.45 | 0.97 | 0.97 | 0.23 | 0.23 | 0.59 | 0.58 | 0.93 | 0.93 |
| DB (4) | 20,758 | −0.02 | −0.05 | 0.32 | 0.33 | 0.97 | 0.96 | −0.27 | −0.33 | 0.57 | 0.61 | 0.92 | 0.92 | |
| ALL (6) | 34,542 | −0.09 | −0.11 | 0.36 | 0.37 | 0.97 | 0.97 | −0.10 | −0.15 | 0.58 | 0.60 | 0.92 | 0.92 | |
| ECHAN | CB (1) | 17,085 | 0.19 | 0.19 | 0.43 | 0.43 | 0.96 | 0.96 | - | - | - | - | - | - |
| DB (3) | 21,956 | 0.34 | 0.33 | 0.47 | 0.47 | 0.91 | 0.91 | - | - | - | - | - | - | |
| ALL (4) | 39,041 | 0.30 | 0.29 | 0.46 | 0.46 | 0.93 | 0.92 | - | - | - | - | - | - | |
| GOBIS | CB (8) | 95,441 | −0.01 | −0.01 | 0.37 | 0.37 | 0.96 | 0.96 | 0.34 | 0.45 | 1.03 | 1.11 | 0.89 | 0.89 |
| DB (12) | 111,202 | 0.03 | 0.04 | 0.36 | 0.35 | 0.97 | 0.96 | −0.45 | −0.33 | 1.12 | 1.20 | 0.88 | 0.87 | |
| ALL (20) | 206,643 | 0.01 | 0.02 | 0.37 | 0.36 | 0.96 | 0.96 | −0.13 | −0.02 | 1.09 | 1.16 | 0.88 | 0.88 | |
| NIBSH | CB (5) | 58,313 | −0.18 | −0.15 | 0.34 | 0.33 | 0.96 | 0.96 | 0.38 | 0.61 | 1.05 | 1.20 | 0.89 | 0.89 |
| DB (5) | 34,954 | −0.13 | −0.09 | 0.32 | 0.31 | 0.97 | 0.97 | 0.13 | 0.38 | 0.70 | 0.83 | 0.93 | 0.93 | |
| ALL (10) | 93,267 | −0.16 | −0.12 | 0.33 | 0.32 | 0.97 | 0.97 | 0.26 | 0.49 | 0.88 | 1.02 | 0.91 | 0.91 | |
| WIBSH | CB (1) | 5294 | −0.12 | −0.11 | 0.38 | 0.38 | 0.96 | 0.96 | −0.13 | −0.03 | 0.64 | 0.66 | 0.92 | 0.92 |
| DB (4) | 32,258 | −0.04 | −0.07 | 0.31 | 0.31 | 0.98 | 0.98 | 0.08 | 0.16 | 0.62 | 0.66 | 0.95 | 0.95 | |
| ALL (5) | 37,552 | −0.06 | −0.07 | 0.32 | 0.33 | 0.98 | 0.97 | 0.04 | 0.12 | 0.62 | 0.66 | 0.94 | 0.94 | |
| GIBST | CB (3) | 26,173 | 0.10 | 0.09 | 0.31 | 0.29 | 0.85 | 0.86 | 0.48 | 0.28 | 1.15 | 0.98 | 0.62 | 0.68 |
| DB (1) | 8126 | −0.03 | −0.04 | 0.23 | 0.23 | 0.95 | 0.95 | −0.07 | −0.09 | 0.47 | 0.47 | 0.84 | 0.85 | |
| ALL (4) | 34,299 | 0.07 | 0.06 | 0.29 | 0.28 | 0.88 | 0.89 | 0.34 | 0.18 | 0.98 | 0.85 | 0.68 | 0.72 | |
| CADIZ | CB (1) | 8743 | 0.32 | 0.27 | 0.51 | 0.47 | 0.77 | 0.79 | 1.05 | 0.65 | 1.76 | 1.45 | 0.58 | 0.61 |
| DB (2) | 14,159 | −0.04 | −0.10 | 0.25 | 0.27 | 0.96 | 0.96 | 0.15 | −0.00 | 0.72 | 0.68 | 0.91 | 0.92 | |
| ALL (3) | 22,902 | 0.08 | 0.02 | 0.34 | 0.33 | 0.90 | 0.90 | 0.45 | 0.21 | 1.07 | 0.93 | 0.80 | 0.81 | |
| WSMED | CB (4) | 56,832 | −0.06 | −0.06 | 0.21 | 0.21 | 0.90 | 0.90 | 0.04 | −0.03 | 0.75 | 0.70 | 0.71 | 0.74 |
| DB (7) | 33,184 | −0.13 | −0.14 | 0.29 | 0.29 | 0.93 | 0.93 | −0.21 | −0.24 | 0.59 | 0.58 | 0.83 | 0.84 | |
| ALL (11) | 90,016 | −0.11 | −0.11 | 0.26 | 0.26 | 0.92 | 0.92 | −0.12 | −0.16 | 0.65 | 0.63 | 0.78 | 0.80 | |
| ICANA | CB (1) | 6767 | −0.25 | −0.26 | 0.31 | 0.32 | 0.84 | 0.84 | −0.17 | −0.27 | 1.09 | 1.12 | 0.35 | 0.33 |
| DB (2) | 15,857 | −0.16 | −0.18 | 0.24 | 0.26 | 0.92 | 0.92 | 0.28 | 0.23 | 0.86 | 0.87 | 0.66 | 0.66 | |
| ALL (3) | 22,624 | −0.19 | −0.21 | 0.26 | 0.28 | 0.89 | 0.89 | 0.13 | 0.07 | 0.94 | 0.95 | 0.56 | 0.55 | |
| TOTAL | CB (18) | 186,928 | −0.05 | −0.05 | 0.34 | 0.34 | 0.93 | 0.93 | 0.24 | 0.27 | 0.93 | 0.95 | 0.81 | 0.81 |
| DB (31) | 228,392 | −0.03 | −0.03 | 0.32 | 0.32 | 0.95 | 0.95 | −0.29 | −0.27 | 0.87 | 0.90 | 0.86 | 0.86 | |
| ALL (49) | 422,451 | −0.03 | −0.04 | 0.33 | 0.33 | 0.94 | 0.94 | −0.10 | −0.07 | 0.89 | 0.92 | 0.84 | 0.84 | |
| SWH | |||||||||||
|---|---|---|---|---|---|---|---|---|---|---|---|
| N | BIAS (m) | RMSD (m) | CCOR | SI2 (%) | |||||||
| IBI-CU | IBI-CO | IBI-CU | IBI-CO | IBI-CU | IBI-CO | IBI-CU | IBI-CO | IBI-CU | IBI_CO | ||
| IRISH | CMEMS L3 | 11,265 | 11,206 | −0.10 | −0.11 | 0.34 | 0.35 | 0.98 | 0.98 | 12.27 | 11.43 |
| HY-2A | 2893 | 2890 | −0.05 | −0.07 | 0.42 | 0.43 | 0.96 | 0.96 | 15.27 | 15.41 | |
| ECHAN | CMEMS L3 | 8992 | 8996 | −0.14 | −0.14 | 0.35 | 0.36 | 0.93 | 0.93 | 19.64 | 19.91 |
| HY-2A | 2172 | 2167 | −0.08 | −0.09 | 0.38 | 0.39 | 0.92 | 0.92 | 22.01 | 22.18 | |
| GOBIS | CMEMS L3 | 36,110 | 36,074 | −0.07 | −0.08 | 0.30 | 0.31 | 0.98 | 0.98 | 11.30 | 11.48 |
| HY-2A | 9578 | 9574 | −0.00 | −0.01 | 0.32 | 0.33 | 0.98 | 0.98 | 12.37 | 12.50 | |
| NIBSH | CMEMS L3 | 5411 | 5411 | −0.10 | −0.08 | 0.29 | 0.28 | 0.98 | 0.98 | 11.39 | 11.47 |
| HY-2A | 1482 | 1482 | −0.02 | 0.00 | 0.30 | 0.30 | 0.98 | 0.98 | 12.84 | 12.91 | |
| WIBSH | CMEMS L3 | 9154 | 9151 | −0.07 | −0.09 | 0.30 | 0.32 | 0.98 | 0.97 | 10.81 | 11.15 |
| HY-2A | 2409 | 2409 | −0.02 | −0.04 | 0.31 | 0.32 | 0.98 | 0.97 | 11.52 | 11.75 | |
| GIBST | CMEMS L3 | 3051 | 3029 | −0.10 | −0.12 | 0.29 | 0.29 | 0.93 | 0.93 | 18.58 | 18.65 |
| HY-2A | 569 | 566 | −0.02 | −0.04 | 0.36 | 0.37 | 0.90 | 0.90 | 25.57 | 25.56 | |
| CADIZ | CMEMS L3 | 8288 | 8238 | −0.12 | −0.13 | 0.27 | 0.29 | 0.97 | 0.97 | 11.95 | 12.32 |
| HY-2A | 2004 | 1999 | −0.04 | −0.05 | 0.31 | 0.31 | 0.96 | 0.96 | 14.31 | 14.52 | |
| WSMED | CMEMS L3 | 14,073 | 14,047 | −0.20 | −0.20 | 0.33 | 0.33 | 0.94 | 0.94 | 18.38 | 18.31 |
| HY-2A | 3027 | 3024 | −0.13 | −0.13 | 0.35 | 0.35 | 0.93 | 0.93 | 21.67 | 21.64 | |
| ICANA | CMEMS L3 | 35,047 | 35,022 | −0.09 | −0.12 | 0.24 | 0.26 | 0.97 | 0.96 | 10.49 | 10.63 |
| HY-2A | 8557 | 8554 | −0.02 | −0.05 | 0.25 | 0.24 | 0.96 | 0.95 | 12.07 | 12.30 | |
| TOTAL | CMEMS L3 | 221,521 | 221,321 | −0.09 | −0.11 | 0.30 | 0.31 | 0.98 | 0.98 | 10.94 | 11.05 |
| HY-2A | 57,865 | 57,845 | −0.02 | −0.04 | 0.32 | 0.32 | 0.98 | 0.98 | 12.15 | 12.28 | |
| SWH | ||||||
|---|---|---|---|---|---|---|
| N | BIAS (m) | SI | ||||
| IBI-CO | IBI-DA | IBI-CO | IBI-DA | IBI-CO | IBI-DA | |
| TOTAL IBI (2018) | 58,972 | 59,027 | −0.05 | 0.02 | 12.2 | 11.2 |
| CADIZ (2018) | 7651 | 7656 | −0.04 | 0.03 | 11.9 | 10.1 |
| CADIZ (Storm Emma) | 212 | 212 | 0.21 | 0.23 | 8.92 | 7.99 |
| TOTAL IBI SWH | ||||
|---|---|---|---|---|
| IBI-CO | IBI-CU | IBI-DA | IBI-OP | |
| N | 57,845 | 57,865 | 57,899 | 57,921 |
| BIAS | −0.04 | −0.02 | 0.02 | 0.03 |
| CORR | 0.98 | 0.98 | 0.98 | 0.98 |
| RMSE | 0.32 | 0.32 | 0.29 | 0.29 |
| HH (%) | 10.95 | 10.72 | 9.73 | 9.67 |
| SI2 (%) | 12.28 | 12.15 | 11.13 | 11.14 |
Publisher’s Note: MDPI stays neutral with regard to jurisdictional claims in published maps and institutional affiliations. |
© 2022 by the authors. Licensee MDPI, Basel, Switzerland. This article is an open access article distributed under the terms and conditions of the Creative Commons Attribution (CC BY) license (https://creativecommons.org/licenses/by/4.0/).
Share and Cite
Toledano, C.; Ghantous, M.; Lorente, P.; Dalphinet, A.; Aouf, L.; Sotillo, M.G. Impacts of an Altimetric Wave Data Assimilation Scheme and Currents-Wave Coupling in an Operational Wave System: The New Copernicus Marine IBI Wave Forecast Service. J. Mar. Sci. Eng. 2022, 10, 457. https://doi.org/10.3390/jmse10040457
Toledano C, Ghantous M, Lorente P, Dalphinet A, Aouf L, Sotillo MG. Impacts of an Altimetric Wave Data Assimilation Scheme and Currents-Wave Coupling in an Operational Wave System: The New Copernicus Marine IBI Wave Forecast Service. Journal of Marine Science and Engineering. 2022; 10(4):457. https://doi.org/10.3390/jmse10040457
Chicago/Turabian StyleToledano, Cristina, Malek Ghantous, Pablo Lorente, Alice Dalphinet, Lotfi Aouf, and Marcos G. Sotillo. 2022. "Impacts of an Altimetric Wave Data Assimilation Scheme and Currents-Wave Coupling in an Operational Wave System: The New Copernicus Marine IBI Wave Forecast Service" Journal of Marine Science and Engineering 10, no. 4: 457. https://doi.org/10.3390/jmse10040457
APA StyleToledano, C., Ghantous, M., Lorente, P., Dalphinet, A., Aouf, L., & Sotillo, M. G. (2022). Impacts of an Altimetric Wave Data Assimilation Scheme and Currents-Wave Coupling in an Operational Wave System: The New Copernicus Marine IBI Wave Forecast Service. Journal of Marine Science and Engineering, 10(4), 457. https://doi.org/10.3390/jmse10040457

