An Evaluation of the Performance of Sea Ice Thickness Forecasts to Support Arctic Marine Transport
Abstract
1. Introduction
2. Materials and Methods
2.1. Observational Data

2.2. Model Data
2.2.1. neXtSIM-F
2.2.2. TOPAZ4
2.2.3. CPLDA
2.2.4. ECMWF
2.3. Performance Metrics
3. Results
3.1. Case Study at Mooring Location M3
3.2. Analysis of Correlation and Residuals
3.2.1. Model Analysis Fields
3.2.2. Model Forecast Fields
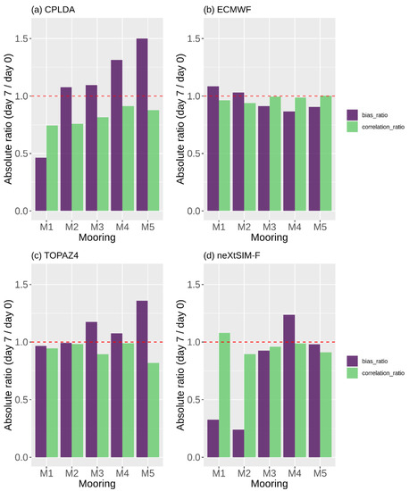
3.3. Forecast Accuracy
3.4. Analysis Field Variability
4. Discussion
Author Contributions
Funding
Institutional Review Board Statement
Data Availability Statement
Acknowledgments
Conflicts of Interest
Appendix A



References
- IMO Polar Code Operational Requirements. Available online: https://rules.dnv.com/docs/pdf/DNV/CG/2020-07/DNVGL-CG-0308.pdf (accessed on 1 September 2021).
- Steidl, C.; Daniel, L.; Yildiran, C. Shipbuilding market developments, Q2 2018. Organ. Econ. Co-Oper. Dev. 2018, 15, 23. [Google Scholar]
- Wagner, P.M.; Hughes, N.; Bourbonnais, P.; Stroeve, J.; Rabenstein, L.; Bhatt, U.; Little, J.; Wiggins, H.; Fleming, A. Sea-Ice Information and Forecast Needs for Industry Maritime Stakeholders. Polar Geogr. 2020, 43, 2–3. [Google Scholar] [CrossRef]
- Notz, D.; Community, S.I.M.I.P. Arctic Sea Ice in CMIP6. Geophys. Res. Lett. 2020, 47, e2019GL086749. [Google Scholar] [CrossRef]
- Wei, T.; Yan, Q.; Qi, W.; Ding, M.; Wang, C. Projections of Arctic Sea Ice Conditions and Shipping Routes in the Twenty-First Century Using CMIP6 Forcing Scenarios. Environ. Res. Lett. 2020, 15, 104079. [Google Scholar] [CrossRef]
- Jung, T.; Gordon, N.D.; Bauer, P.; Bromwich, D.H.; Chevallier, M.; Day, J.J.; Dawson, J.; Doblas-Reyes, F.; Fairall, C.; Goessling, H.F.; et al. Advancing Polar Prediction Capabilities on Daily to Seasonal Time Scales. Bull. Am. Meteorol. Soc. 2016, 97, 1631–1647. [Google Scholar] [CrossRef]
- Tietsche, S.; Mueller, M.; Bertino, L.; Garric, G.; Goessling, H.; Pedersen, L.T.; Wagner, P.; Lavergne, T. Recommendations for more user-relevant sea-ice forecasts (1.0). Zenodo 2020, 33. [Google Scholar] [CrossRef]
- Koenigk, T.; Mikolajewicz, U. Seasonal to Interannual Climate Predictability in Mid and High Northern Latitudes in a Global Coupled Model. Clim. Dyn. 2009, 32, 783–798. [Google Scholar] [CrossRef][Green Version]
- Blanchard-Wrigglesworth, E.; Armour, K.C.; Bitz, C.M.; Deweaver, E. Persistence and Inherent Predictability of Arctic Sea Ice in a GCM Ensemble and Observations. J. Clim. 2011, 24, 231–250. [Google Scholar] [CrossRef]
- Tietsche, S.; Day, J.J.; Guemas, V.; Hurlin, W.J.; Keeley, S.P.E.; Matei, D.; Msadek, R.; Collins, M.; Hawkins, E. Seasonal to Interannual Arctic Sea Ice Predictability in Current Global Climate Models. Geophys. Res. 2014, 41, 1035–1043. [Google Scholar] [CrossRef]
- Andersson, T.R.; Hosking, J.S.; Pérez-Ortiz, M.; Paige, B.; Elliott, A.; Russell, C.; Law, S.; Jones, D.C.; Wilkinson, J.; Phillips, T.; et al. Seasonal Arctic Sea Ice Forecasting with Probabilistic Deep Learning. Nat. Commun. 2021, 12, 5124. [Google Scholar] [CrossRef]
- Batté, L.; Välisuo, I.; Chevallier, M.; Acosta Navarro, J.C.; Ortega, P.; Smith, D. Summer Predictions of Arctic Sea Ice Edge in Multi-Model Seasonal Re-Forecasts. Clim. Dyn. 2020, 54, 5013–5029. [Google Scholar] [CrossRef]
- Dirkson, A.; Denis, B.; Merryfield, W.J. A Multimodel Approach for Improving Seasonal Probabilistic Forecasts of Regional Arctic Sea Ice. Geophys. Res. Lett. 2019, 46, 10844–10853. [Google Scholar] [CrossRef]
- Melia, N.; Haines, K.; Hawkins, E.; Day, J.J. Towards Seasonal Arctic Shipping Route Predictions. Environ. Res. Lett. 2017, 12, 084005. [Google Scholar] [CrossRef]
- Zampieri, L.; Goessling, H.F.; Jung, T. Bright Prospects for Arctic Sea Ice Prediction on Subseasonal Time Scales. Geophys. Res. Lett. 2018, 45, 9731–9738. [Google Scholar] [CrossRef]
- Melsom, A.; Palerme, C.; Müller, M. Validation Metrics for Ice Edge Position Forecasts. Ocean. Sci. 2019, 15, 615–630. [Google Scholar] [CrossRef]
- Smith, G.C.; Roy, F.; Reszka, M.; Surcel Colan, D.; He, Z.; Deacu, D.; Belanger, J.M.; Skachko, S.; Liu, Y.; Dupont, F.; et al. Sea Ice Forecast Verification in the Canadian Global Ice Ocean Prediction System. Q. J. R. Meteorol. Soc. 2016, 142, 659–671. [Google Scholar] [CrossRef]
- Lemieux, J.F.; Beaudoin, C.; Dupont, F.; Roy, F.; Smith, G.C.; Shlyaeva, A.; Buehner, M.; Caya, A.; Chen, J.; Carrieres, T.; et al. The Regional Ice Prediction System (RIPS): Verification of Forecast Sea Ice Concentration. Q. J. R. Meteorol. Soc. 2016, 142, 632–643. [Google Scholar] [CrossRef]
- Posey, P.G.; Metzger, E.J.; Wallcraft, A.J.; Hebert, D.A.; Allard, R.A.; Smedstad, O.M.; Phelps, M.W.; Fetterer, F.; Stewart, J.S.; Meier, W.N.; et al. Improving Arctic Sea Ice Edge Forecasts by Assimilating High Horizontal Resolution Sea Ice Concentration Data into the US Navy’s Ice Forecast Systems. Cryosphere 2015, 9, 1735–1745. [Google Scholar] [CrossRef]
- Thorndike, A.S.; Rothrock, D.A.; Maykut, G.A.; Colony, R. The Thickness Distribution of Sea Ice. J. Geophys. Res. 1975, 80, 4501–4513. [Google Scholar] [CrossRef]
- Rothrock, D.A.; Zhang, J.; Yu, Y. The Arctic Ice Thickness Anomaly of the 1990s: A Consistent View from Observations and Models. J. Geophys. Res. Ocean. 2003, 108, 3083. [Google Scholar] [CrossRef]
- Giles, K.A.; Laxon, S.W.; Wingham, D.J.; Wallis, D.W.; Krabill, W.B.; Leuschen, C.J.; McAdoo, D.; Manizade, S.S.; Raney, R.K. Combined Airborne Laser and Radar Altimeter Measurements over the Fram Strait in May 2002. Remote Sens. Environ. 2007, 111, 182–194. [Google Scholar] [CrossRef]
- Ricker, R.; Hendricks, S.; Perovich, D.K.; Helm, V.; Gerdes, R. Impact of Snow Accumulation on CryoSat-2 Range Retrievals over Arctic Sea Ice: An Observational Approach with Buoy Data. Geophys. Res. Lett. 2015, 42, 4447–4455. [Google Scholar] [CrossRef]
- Hume-Wright, L.; Fiedler, E.; Fournier, N.; Mendes, J.; Blockley, E.; Martin, M.; Eik, K. Sea Ice Thickness Forecast Performance in the Barents Sea. In Proceedings of the International Conference on Offshore Mechanics and Arctic Engineering, Virtual, Online, 3–7 August 2020. [Google Scholar] [CrossRef]
- Hunke, E.C.; Dukowicz, J.K. The Elastic-Viscous-Plastic Sea Ice Dynamics Model in General Orthogonal Curvilinear Coordinates on a Sphere-Incorporation of Metric Terms. Mon. Weather Rev. 2002, 130, 1848–1865. [Google Scholar] [CrossRef]
- Hibler, W.D. A Dynamic Thermodynamic Sea Ice Model. J. Phys. Oceanogr. 1979, 9, 815–846. [Google Scholar] [CrossRef]
- Williams, T.; Korosov, A.; Rampal, P.; Ólason, E. Presentation and Evaluation of the Arctic Sea Ice Forecasting System NeXtSIM-F. Cryosphere 2021, 15, 3207–3227. [Google Scholar] [CrossRef]
- Semtner, A.J. A Model for the Thermodynamic Growth of Sea Ice in Numerical Investigations of Climate. J. Phys. Oceanogr. 1976, 6, 379–389. [Google Scholar] [CrossRef]
- Rampal, P.; Dansereau, V.; Olason, E.; Bouillon, S.; Williams, T.; Korosov, A.; Samaké, A. On the Multi-Fractal Scaling Properties of Sea Ice Deformation. Cryosphere 2019, 13, 2457–2474. [Google Scholar] [CrossRef]
- Rampal, P.; Bouillon, S.; Ólason, E.; Morlighem, M. NeXtSIM: A New Lagrangian Sea Ice Model. Cryosphere 2016, 10, 1055–1073. [Google Scholar] [CrossRef]
- Ricker, R.; Hendricks, S.; Kaleschke, L.; Tian-Kunze, X.; King, J.; Haas, C. A Weekly Arctic Sea-Ice Thickness Data Record from Merged CryoSat-2 and SMOS Satellite Data. Cryosphere 2017, 11, 1607–1623. [Google Scholar] [CrossRef]
- Drange, H.; Simonsen, K. Formulation of Air-Sea Fluxes in the ESOP2 Version of MICOM; NERSC Tech. Rep. 125; Nansen Environmental and Remote Sensing Center: Bergen, Norway, 1996; pp. 1–23. [Google Scholar]
- Sakov, P.; Counillon, F.; Bertino, L.; Lister, K.A.; Oke, P.R.; Korablev, A. TOPAZ4: An Ocean-Sea Ice Data Assimilation System for the North Atlantic and Arctic. Ocean. Sci. 2012, 8, 633–656. [Google Scholar] [CrossRef]
- Guiavarc’H, C.; Roberts-Jones, J.; Harris, C.; Lea, D.J.; Ryan, A.; Ascione, I. Assessment of Ocean Analysis and Forecast from an Atmosphere-Ocean Coupled Data Assimilation Operational System. Ocean. Sci. 2019, 15, 1307–1326. [Google Scholar] [CrossRef]
- Johnson, M.; Proshutinsky, A.; Aksenov, Y.; Nguyen, A.T.; Lindsay, R.; Haas, C.; Zhang, J.; Diansky, N.; Kwok, R.; Maslowski, W.; et al. Evaluation of Arctic Sea Ice Thickness Simulated by Arctic Ocean Model Intercomparison Project Models. J. Geophys. Res. Ocean. 2012, 117, C00D13. [Google Scholar] [CrossRef]
- Ice Service Charts. Available online: https://cryo.met.no/en/latest-ice-charts (accessed on 11 July 2021).
- Wang, Z.; Lu, Y.; Wright, D.G.; Dupont, F. Sea Ice Sensitivity to the Parameterisation of Open Water Area. J. Oper. Oceanogr. 2010, 3, 3–9. [Google Scholar] [CrossRef]
- Xie, J.; Bertino, L.; Knut, L.; Sakov, P. Quality Assessment of the TOPAZ4 Reanalysis in the Arctic over the Period 1991–2013. Ocean. Sci. 2017, 13, 123–144. [Google Scholar] [CrossRef]
- Uotila, P.; Goosse, H.; Haines, K.; Chevallier, M.; Barthélemy, A.; Bricaud, C.; Carton, J.; Fučkar, N.; Garric, G.; Iovino, D.; et al. An Assessment of Ten Ocean Reanalyses in the Polar Regions. Clim. Dyn. 2019, 52, 1613–1650. [Google Scholar] [CrossRef]
















| Forecasting system | Seasonal multi-system | ENS-extended | CPLDA (GLO-CPL) | GLO-HR | TOPAZ4 (ARC-MFC TOPAZ) | neXtSIM-F (ARC-MFS neXtSIM-F) | BAL-MFC |
| Provider | C3S | ECMWF | CMS (UK Met Office) | CMS (MERCATOR) | CMS (MET Norway) | CMS (NERSC) | CMS (DMI/BSH) 2 |
| Forecast range | 6 months (LR) | 7 weeks (ER) | 10 days (SMR) | 10 days (SMR) | 10 days (SMR) | 7 days (SMR) | 6 days (SMR) |
| Components | Sea ice, ocean and atmosphere | Sea ice, ocean and atmosphere | Sea ice, ocean and atmosphere | Sea ice and ocean | Sea ice and ocean | Sea ice | Sea ice and ocean |
| Spatial coverage | Global | Global | Global | Global | Arctic | Arctic | Baltic |
| Update frequency | Monthly | Twice-weekly | Daily | Daily | Daily | Daily | Twice-daily |
| Spatial resolution | 1° 1 | 36 km | 1/4° | 1/12° | 12.5 km | 3 km | 2 km |
| Model system | CPLDA | Ensemble hindcast (Cycle 46R1) | TOPAZ4 | neXtSIM-F |
| Institution | UK Met Office | ECMWF | Met Norway | NERSC |
| Atmosphere | Coupled to Unified Model (UM) atmosphere | Coupled to the Integrated Forecast System (IFS) | ECMWF atmospheric forcing | ECMWF atmospheric forcing |
| Ocean | Coupled to Nucleus for European Modelling of the Ocean (NEMO) 3.4 | Coupled to NEMO 3.4 | Coupled to Hybrid Coordinate Ocean Model (HYCOM) ocean | TOPAZ ocean forcing |
| Ice resolution | ~13 km | ~13 km | 12.5 km | 7.5 km 1 |
| Ice assimilation | Sea ice concentration (SIC) from Special Sensor Microwave Imager/Sounder (SSMIS) | Univariate three-dimensional variational data assimilation—first guess at appropriate time (3DVAR-FGAT) of SIC | SSMIS SIC and Soil Moisture and Ocean Salinity (SMOS) satellite derived sea ice thickness (SIT) assimilated using the ensemble Kalman filter | SIC from SSMIS and Advanced Microwave Scanning Radiometer 2 (AMSR2) |
| Ice dynamics | Elastic Viscous Plastic (EVP) [25] | Viscous Plastic (VP) [26] | EVP [25] | Brittle Bingham–Maxwell (BBM) [27] |
| Thermodynamics | Zero-layer model [28] | Three-layer [28] | Three-layer [28] | Three category model [29] |
| Time period of data used | December 2016–July 2019 | March 2016–July 2019 | March 2016–July 2019 | November 2018–July 2019 |
| Model parameter h0 | 0.5 m | 0.6 m | 0.1 m | 0.05 m |
Publisher’s Note: MDPI stays neutral with regard to jurisdictional claims in published maps and institutional affiliations. |
© 2022 by the authors. Licensee MDPI, Basel, Switzerland. This article is an open access article distributed under the terms and conditions of the Creative Commons Attribution (CC BY) license (https://creativecommons.org/licenses/by/4.0/).
Share and Cite
Bilge, T.A.; Fournier, N.; Mignac, D.; Hume-Wright, L.; Bertino, L.; Williams, T.; Tietsche, S. An Evaluation of the Performance of Sea Ice Thickness Forecasts to Support Arctic Marine Transport. J. Mar. Sci. Eng. 2022, 10, 265. https://doi.org/10.3390/jmse10020265
Bilge TA, Fournier N, Mignac D, Hume-Wright L, Bertino L, Williams T, Tietsche S. An Evaluation of the Performance of Sea Ice Thickness Forecasts to Support Arctic Marine Transport. Journal of Marine Science and Engineering. 2022; 10(2):265. https://doi.org/10.3390/jmse10020265
Chicago/Turabian StyleBilge, Tarkan Aslan, Nicolas Fournier, Davi Mignac, Laura Hume-Wright, Laurent Bertino, Timothy Williams, and Steffen Tietsche. 2022. "An Evaluation of the Performance of Sea Ice Thickness Forecasts to Support Arctic Marine Transport" Journal of Marine Science and Engineering 10, no. 2: 265. https://doi.org/10.3390/jmse10020265
APA StyleBilge, T. A., Fournier, N., Mignac, D., Hume-Wright, L., Bertino, L., Williams, T., & Tietsche, S. (2022). An Evaluation of the Performance of Sea Ice Thickness Forecasts to Support Arctic Marine Transport. Journal of Marine Science and Engineering, 10(2), 265. https://doi.org/10.3390/jmse10020265

