Analysis of Vibration Characteristics of Podded Propulsor Shafting Based on Analytical Method
Abstract
1. Introduction
2. Materials and Methods
2.1. Model of the Podded Propulsor Shafting System
2.2. Motion Equations of Shafting System
2.3. Continuity Conditions and Boundary Conditions
2.4. Force Excitation
3. Results and Discussion
3.1. Calculation Model
3.2. Method Verification
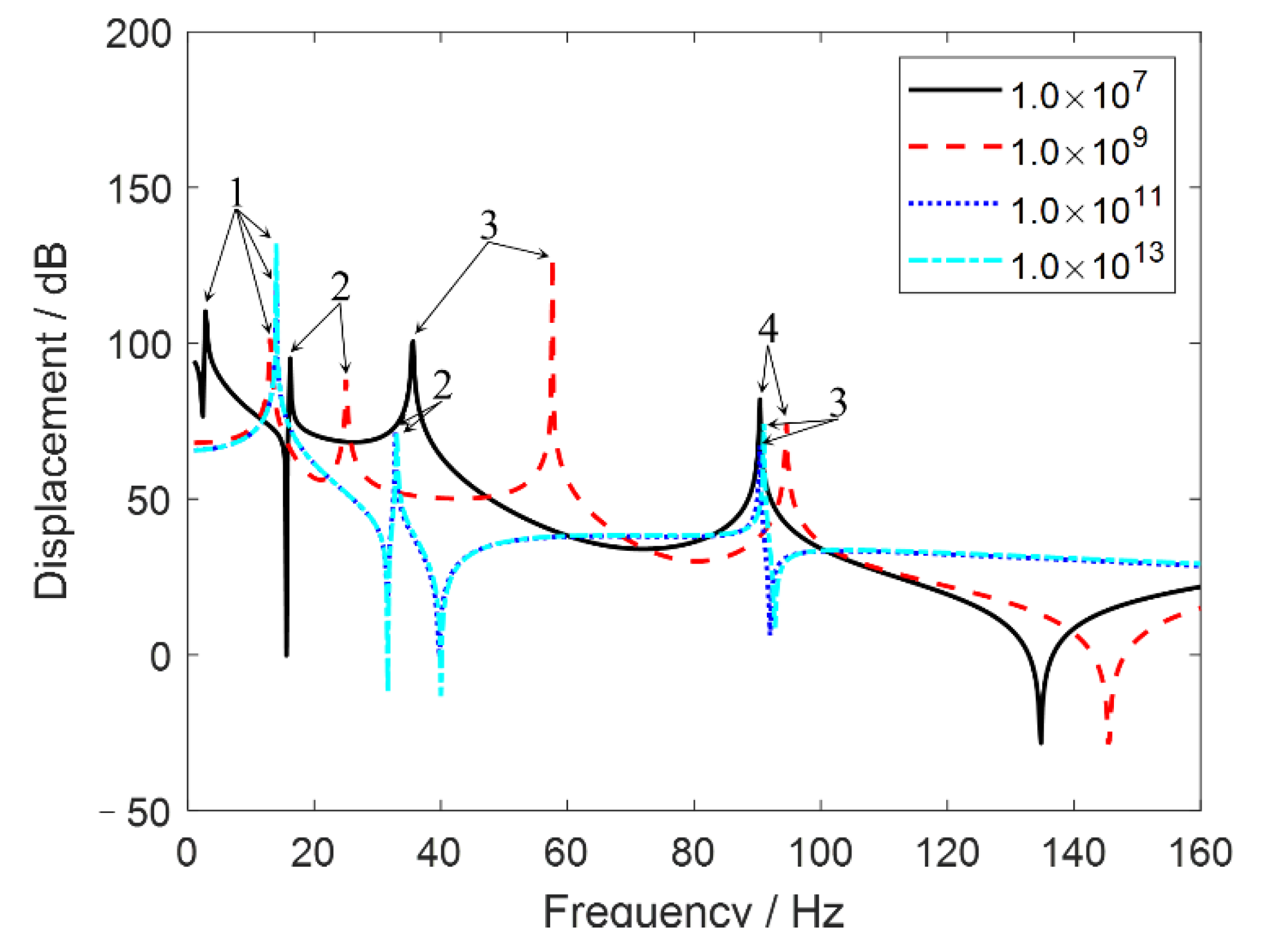
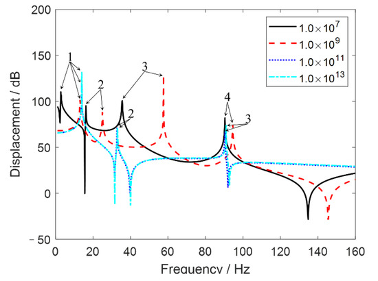
3.3. Influence of Bearing Stiffness on Vibration Characteristics
3.4. Influence of Bearing Locations on Vibration Characteristics
3.5. Influence of Excitation Location on Vibration Characteristics
4. Conclusions
- There is an area where resonance frequencies of shafting are very sensitive to the change of bearings stiffness. According to this analysis, the resonance frequencies of the shafting system can be adjusted to the proper range by changing the bearing stiffness in the sensitive area.
- Since the axial stiffness of the podded propulsor shafting system is relatively large, the longitudinal vibration has less resonance peaks in the low-frequency range than transverse vibration. Thus, the transverse vibration of the shafting system is more obvious than the longitudinal vibration in the low-frequency range.
- When the span of the bearing supports increase, the stiffness of the shafting and the frequencies of low-order transverse resonance decrease. As a result, the frequency of the first few transverse resonances may reduce to the range of the propeller blade frequency, which seriously endangers the operating safety of the podded propulsor.
- Under the radial excitations, the low vibration always occurs at the hybrid bearing, motor shafting, or propeller end. For the case under excitation of propeller (), the lowest vibration is at the hybrid bearing, as it is far from the excitation and has high stiffness. However, for the case under excitation at hybrid bearing (), the lowest vibration occurs at the propeller end (due to the propeller mass) and the motor shafting (due to its great mass and stiffness). For the case under excitation at radial bearing (), as the excitation is at the middle part, all these three parts have similar low vibrations.
Author Contributions
Funding
Institutional Review Board Statement
Informed Consent Statement
Data Availability Statement
Conflicts of Interest
References
- Islam, M.F. Modeling techniques of puller podded propulsor in extreme conditions. J. Ship Res. 2017, 61, 230–255. [Google Scholar] [CrossRef]
- Pakaste, R.; Laukia, K.; Wilhelmson, M.J. Azipod propulsion systems for marine vessels. Electro-Technology 2000, 3, 40–43. [Google Scholar]
- Goujard, B.; Sakout, A.; Valeau, V. Acoustic comfort on board ships: An evaluation based on a questionnaire. Appl. Acoust. 2005, 66, 1063–1073. [Google Scholar] [CrossRef]
- Ebrahimi, A.; Razaghian, A.H.; Seif, M.; Zahedi, F.; Nouri-Borujerdi, A. A comprehensive study on noise reduction methods of marine propellers and design procedures. Appl. Acoust. 2019, 150, 55–60. [Google Scholar] [CrossRef]
- Wang, W.; Zhao, D.; Guo, C.Y.; Pang, Y.J. Analysis of Hydrodynamic Performance of L-Type Podded Propulsion with Oblique Flow Angle. J. Mar. Sci. Eng. 2019, 7, 51. [Google Scholar] [CrossRef]
- Reza, S.; Hassan, G. Numerical investigation of yaw angle effects on propulsive characteristics of podded propulsors. Int. J. Nav. Arch. Ocean 2013, 5, 287–301. [Google Scholar]
- Shamsi, R.; Ghassemi, H. Hydrodynamic analysis of puller and pusher of azimuthing podded drive at various yaw angles. Proc. Inst. Mech. Eng. Part M J. Eng. Marit. Environ. 2014, 228, 55–69. [Google Scholar] [CrossRef]
- Shamsi, R.; Ghassemi, H.; Molyneux, D.; Liu, P. Numerical hydrodynamic evaluation of propeller (with hub taper) and podded drive in azimuthing conditions. Ocean Eng. 2014, 76, 121–135. [Google Scholar] [CrossRef]
- Kyu, C.J.; Gil, P.H.; Tae, K.H. A numerical study of scale effects on performance of a tractor type podded propeller. Int. J. Nav. Arch. Ocean 2014, 6, 380–391. [Google Scholar]
- Hu, J.; Zhao, W.; Chen, C.G.; Cuo, C.Y. Numerical simulation on the hydrodynamic performance of an azimuthing pushing podded propulsor in reverse flow and rotation. Appl. Ocean Res. 2020, 104, 102338. [Google Scholar] [CrossRef]
- Zhao, D.; Guo, C.; Wu, T.; Wang, W.; Yin, X. Hydrodynamic Interactions between Bracket and Propeller of Podded Propulsor Based on Particle Image Velocimetry Test. Water 2019, 11, 1142. [Google Scholar] [CrossRef]
- Zhao, D.; Guo, C.; Lin, J. Prediction of Self-Propulsion Performance of Ship Model with Double L-Type Podded Propulsors and Conversion Method for Full-Scale Ship. J. Mar. Sci. Eng. 2019, 7, 162. [Google Scholar] [CrossRef]
- Lee, S.; Rhee, K.P.; Choi, J.W. Design of the roll stabilization controller, using fin stabilizers and pod propellers. Appl. Ocean Res. 2011, 33, 229–239. [Google Scholar] [CrossRef]
- Ghani, M.P.; Yaakob, O.; Ismail, N.; Kader, A.S.; Sabki, A.F.; Singaraveloo, P. Experimental analysis of podded propulsor on naval vessel. TransNav Int. J. Mar. Navig. Saf. Od Sea Transp. 2014, 8, 239–242. [Google Scholar]
- Islam, M.F.; Veitch, B.; Akinturk, A.; Bose, N.; Liu, P. Performance study of podded propulsor in static azimuthing conditions. Int. Shipbuild. Prog. 2009, 56, 135–157. [Google Scholar]
- Akinturk, A.; Islam, M.F.; Veitch, B.; Liu, P. Performance of dynamic azimuthing podded propulsor. Int. Shipbuild. Prog. 2012, 59, 83–106. [Google Scholar]
- Park, H.G.; Choi, J.K.; Kim, H.T. An estimation method of full scale performance for pulling type podded propellers. Int. J. Nav. Arch. Ocean 2015, 6, 965–980. [Google Scholar] [CrossRef]
- Prohl, M. A method for calculating vibration frequency and stress of a banded group of turbine buckets. Trans. ASME 1958, 80, 169. [Google Scholar] [CrossRef]
- Li, C.; Huang, X.; Hua, H. Dynamic modeling and analysis of axial vibration of a coupled propeller and shafting system. J. Mech. Sci. Technol. 2016, 30, 2953–2960. [Google Scholar] [CrossRef]
- Dylejko, P.G.; Kessissoglou, N.J.; Yan, T.; Norwood, C.J. Optimisation of a resonance changer to minimise the vibration transmission in marine vessels. J. Sound Vib. 2007, 300, 101–116. [Google Scholar] [CrossRef]
- Abdul, H.A.; Khalaf, A.J. Study of effective parameters in stability and vibration of marine propulsion shafting systems. J. Phys. Conf. Ser. 2021, 1973, 012032. [Google Scholar]
- Zou, D.; Zhang, J.; Ta, N.; Rao, Z. Study on the axial exciting force characteristics of marine propellers considered the effect of the shafting and blade elasticity. Appl. Ocean Res. 2019, 89, 141–153. [Google Scholar] [CrossRef]
- Huang, Q.; Zhang, C.; Jin, Y.; Yuan, C.; Yan, X. Vibration analysis of marine propulsion shafting by the coupled finite element method. J. Vibroeng. 2015, 17, 3392–3403. [Google Scholar]
- Song, M.H.; Nam, T.K.; Lee, J. Self-excited torsional vibration in the flexible coupling of a marine propulsion shafting system employing cardan shaftings. J. Mar. Sci. Eng. 2020, 8, 348. [Google Scholar] [CrossRef]
- Sun, J.S.; Han, T.M.; Lee, K.K.; Kim, U.K. A study on the measurement and analysis of whirling vibration behavior of marine propulsion shafting system using gap-sensors. J. Korean Soc. Mar. Eng. 2015, 39, 130–135. [Google Scholar] [CrossRef]
- Xu, X.T.; Yang, R.; Wang, C.X.; Chen, L.J. Analysis on the Effect of Support Structure Deformation on the Vibration Characteristics of Drive Shaft. In Proceedings of the INTER—NOISE and NOISE—CON Congress and Conference Proceedings, Madrid, Spain, 30 September 2019; Institute of Noise Control Engineering: Reston, VA, USA, 2019. [Google Scholar]
- Zhang, C.; Tian, Z.; Yan, X. Analytical analysis of the vibration of propulsion shafting under hull deformation excitations. J. Vibroeng. 2016, 18, 44–55. [Google Scholar]
- Clough, R.W.; Penzien, J.; Griffin, D.S. Dynamics of Structures; Computers and Structures: New York, NY, USA, 1995; pp. 377–395. [Google Scholar]
- Xing, J.T.; Tian, Z.; Yan, X.P. The dynamics of ship propulsion unit-large hull–water interactions. Ocean Eng. 2016, 124, 349–362. [Google Scholar] [CrossRef]









Publisher’s Note: MDPI stays neutral with regard to jurisdictional claims in published maps and institutional affiliations. |
© 2022 by the authors. Licensee MDPI, Basel, Switzerland. This article is an open access article distributed under the terms and conditions of the Creative Commons Attribution (CC BY) license (https://creativecommons.org/licenses/by/4.0/).
Share and Cite
Tian, Y.; Zhang, C.; Yang, L.; Ouyang, W.; Zhou, X. Analysis of Vibration Characteristics of Podded Propulsor Shafting Based on Analytical Method. J. Mar. Sci. Eng. 2022, 10, 169. https://doi.org/10.3390/jmse10020169
Tian Y, Zhang C, Yang L, Ouyang W, Zhou X. Analysis of Vibration Characteristics of Podded Propulsor Shafting Based on Analytical Method. Journal of Marine Science and Engineering. 2022; 10(2):169. https://doi.org/10.3390/jmse10020169
Chicago/Turabian StyleTian, Yaqi, Cong Zhang, Lei Yang, Wu Ouyang, and Xincong Zhou. 2022. "Analysis of Vibration Characteristics of Podded Propulsor Shafting Based on Analytical Method" Journal of Marine Science and Engineering 10, no. 2: 169. https://doi.org/10.3390/jmse10020169
APA StyleTian, Y., Zhang, C., Yang, L., Ouyang, W., & Zhou, X. (2022). Analysis of Vibration Characteristics of Podded Propulsor Shafting Based on Analytical Method. Journal of Marine Science and Engineering, 10(2), 169. https://doi.org/10.3390/jmse10020169
