Seasonal and Genotypic Variability in Wheat Antioxidant Response to Fusarium Infection Under Different Nitrogen Treatments
Abstract
1. Introduction
2. Materials and Methods
2.1. Field Trial
2.2. Inoculum Production, Inoculation and Sampling
2.3. Determination of Lipid Peroxidation Level
2.4. Antioxidant Response
2.4.1. Determination of Glutathione Concentration
2.4.2. Protein Extraction and Assays of Enzymes
2.5. Statistical Analysis
3. Results
3.1. Three-Way ANOVA of Antioxidant Responses to Genotype, Fusarium spp. and Nitrogen
3.2. Lipid Peroxidation
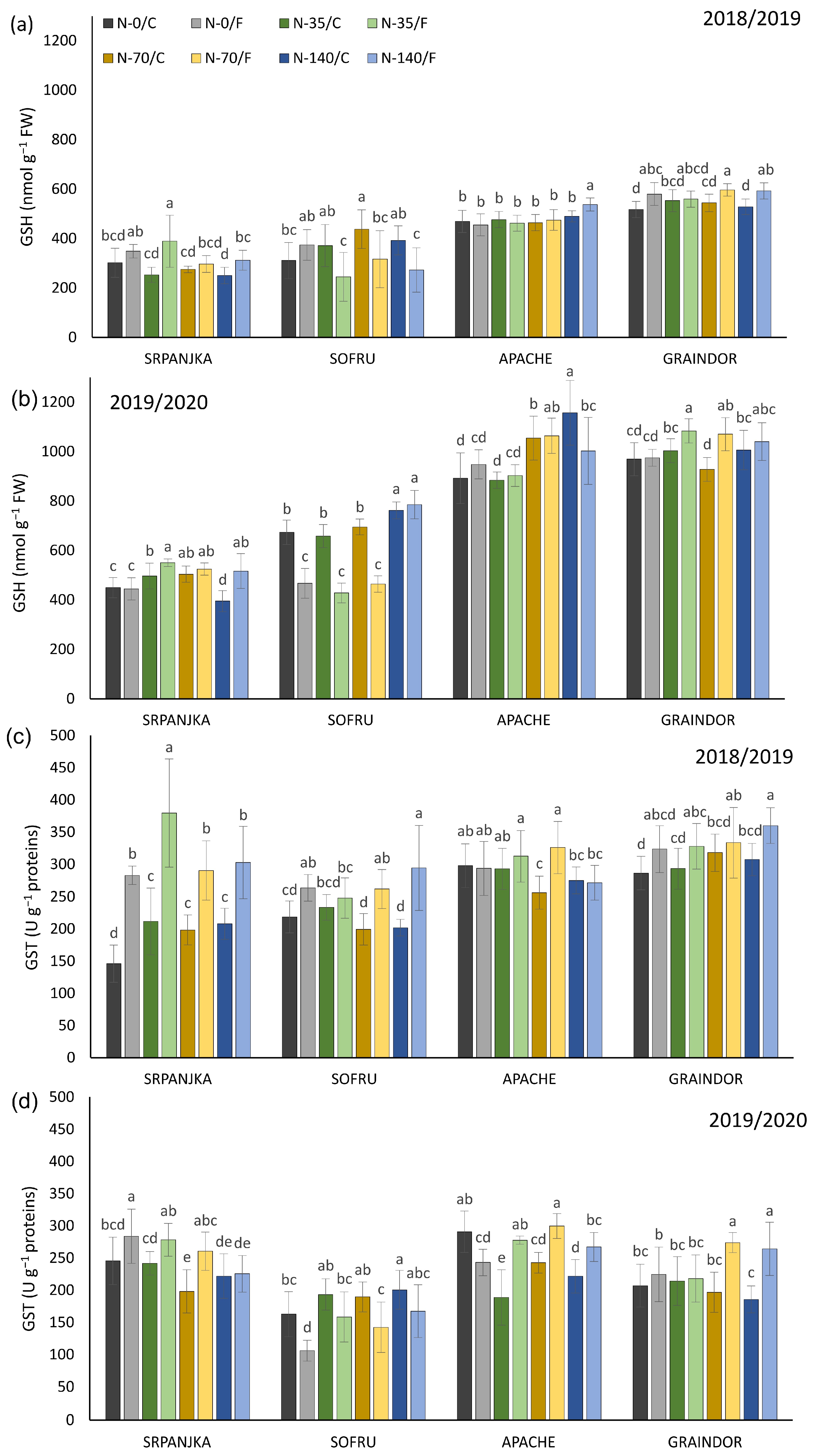
3.3. Glutathione Content
3.4. Glutathione S-Transferase Activity
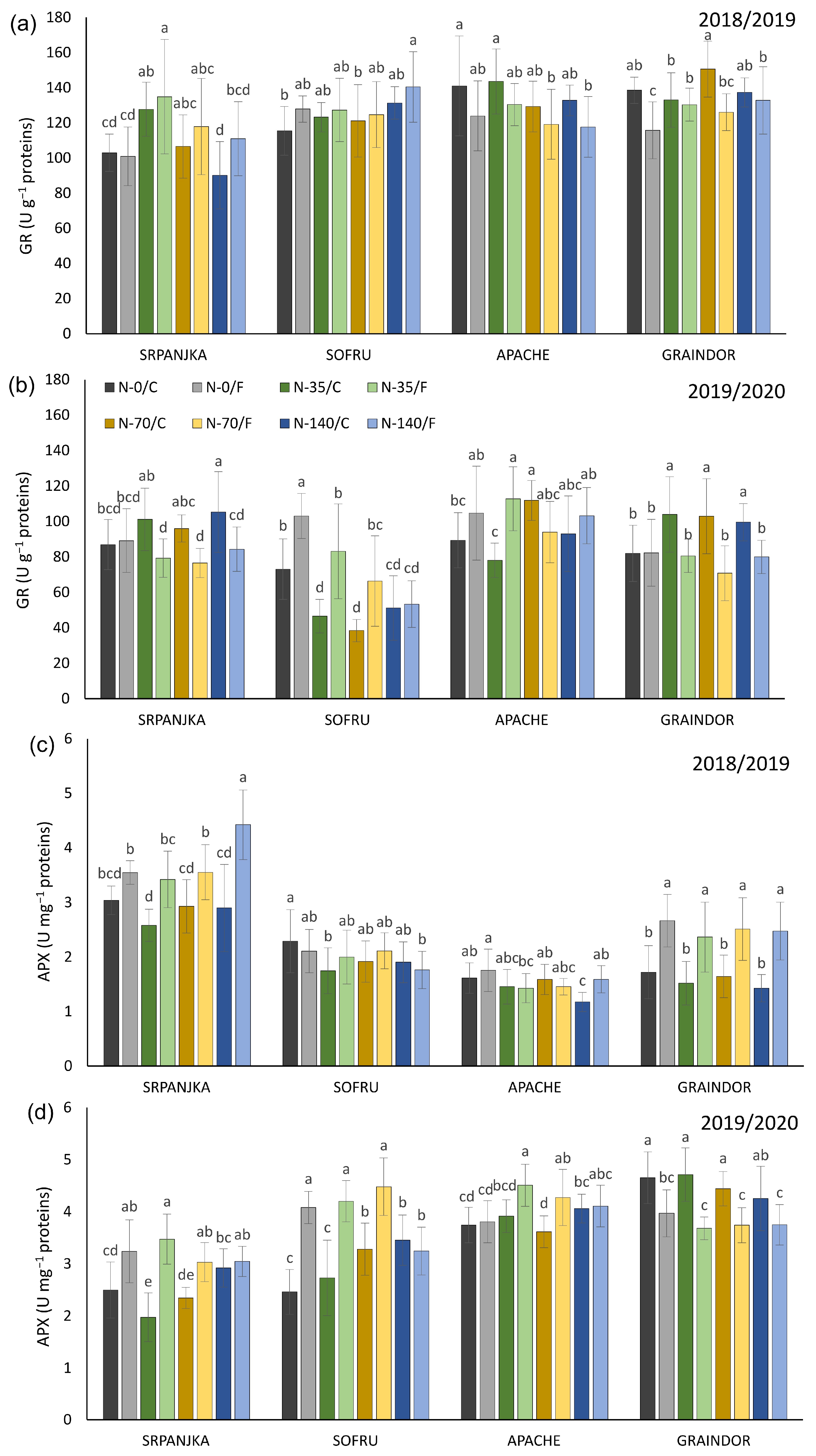
3.5. Glutathione Reductase Activity
3.6. Ascorbate Peroxidase Activity
3.7. Catalase Activity
3.8. Guaiacol Peroxidase Activity
3.9. Correlation Analysis
3.10. Principal Component Analysis
4. Discussion
5. Conclusions
Supplementary Materials
Author Contributions
Funding
Institutional Review Board Statement
Data Availability Statement
Acknowledgments
Conflicts of Interest
References
- Shahzadi, A.; Noreen, Z.; Alamery, S.; Zafar, F.; Haroon, A.; Rashid, M.; Aslam, M.; Younas, A.; Attia, K.A.; Mohammed, A.A.; et al. Effects of biochar on growth and yield of Wheat (Triticum aestivum L.) under salt stress. Sci. Rep. 2024, 14, 20024. [Google Scholar] [CrossRef]
- Afzal, F.; Chaudhari, S.K.; Gul, A.; Farooq, A.; Ali, H.; Nisar, S.; Sarfraz, B.; Shehzadi, K.J.; Mujeeb-kazi, A. Bread wheat (Triticum aestivum L.) under biotic and abiotic stresses: An overview. In Crop Production and Global Environmental Issues; Springer: Berlin/Heidelberg, Germany, 2015. [Google Scholar] [CrossRef]
- Alisaac, E.; Mahlein, A. Fusarium head blight on wheat: Biology, modern detection and diagnosis and integrated disease management. Toxins 2023, 15, 192. [Google Scholar] [CrossRef]
- Spanic, V.; Dvojkovic, K.; Babic, J.; Drezner, G.; Zdunic, Z. Fusarium Head Blight Infestation in Relation to Winter Wheat End-Use Quality—A Three-Year Study. Agronomy 2021, 11, 1648. [Google Scholar] [CrossRef]
- Pritsch, C.; Muehlbauer, G.J.; Bushnell, W.R.; Somers, D.A.; Vance, C.P. Fungal development and induction of defense response genes during early infection of wheat spikes by Fusarium graminearum. Mol. Plant-Microbe Interact. 2000, 13, 159–169. [Google Scholar] [CrossRef] [PubMed]
- Dweba, C.C.; Figlan, S.; Shimelis, H.A.; Motaung, T.E.; Sydenham, S.; Mwadzingeni, L.; Tsilo, T.J. Fusarium head blight of wheat: Pathogenesis and control strategies. Crop Prot. 2017, 91, 114–122. [Google Scholar] [CrossRef]
- Munkvold, G.P. Epidemiology of Fusarium diseases and their mycotoxins in maize ears. Eur. J. Plant Pathol. 2003, 109, 705–713. [Google Scholar] [CrossRef]
- Mawcha, K.T.; Yang, W.; Ndolo, D. Identification of sources of Fusarium head blight and deoxynivalenol resistance in Ethiopian wheat cultivars. J. Plant Pathol. 2026, 108, 661–676. [Google Scholar] [CrossRef]
- Buerstmayr, M.; Steiner, B.; Buerstmayr, H. Breeding for Fusarium head blight resistance in wheat—Progress and challenges. Plant Breed. 2020, 139, 429–454. [Google Scholar] [CrossRef]
- Bottalico, A.; Perrone, G. Toxigenic Fusarium species and mycotoxins associated with head blight in small-grain cereals in Europe. Eur. J. Plant Pathol. 2002, 108, 611–624. [Google Scholar] [CrossRef]
- Mesterhazy, A. What Is Fusarium head blight (FHB) resistance and what are its food safety risks in wheat? problems and solutions—A review. Toxins 2024, 16, 31. [Google Scholar] [CrossRef]
- Marzec-Schmidt, K.; Börjesson, T.; Suproniene, S.; Jędryczka, M.; Janavičienė, S.; Góral, T.; Karlsson, I.; Kochiieru, Y.; Ochodzki, P.; Mankevičienė, A.; et al. Modelling the effects of weather conditions on cereal grain contamination with deoxynivalenol in the Baltic sea region. Toxins 2021, 13, 737. [Google Scholar] [CrossRef]
- D’Angelo, D.L.; Bradley, C.A.; Ames, K.A.; Willyerd, K.T.; Madden, L.V.; Paul, P.A. Efficacy of Fungicide applications during and after anthesis against Fusarium head blight and deoxynivalenol in soft red winter wheat. Plant Dis. 2014, 98, 1387–1397. [Google Scholar] [CrossRef]
- Saleem, M.; Hussain, A.; Ali, K.; Ali, N.; Ullah, H.; Ali, S.; Wang, C.; Feng, M.; Gujar, A.; Sun, H.; et al. Saudi Journal of Biological Sciences Optimizing nitrogen supply promotes biomass, physiological characteristics and yield components of soybean (Glycine max L. Merr.). Saudi J. Biol. Sci. 2021, 28, 6209–6217. [Google Scholar] [CrossRef]
- Euring, D.; Bai, H.; Janz, D.; Polle, A. Nitrogen-driven stem elongation in poplar is linked with wood modification and gene clusters for stress, photosynthesis and cell wall formation. BMC Plant Biol. 2014, 14, 391. [Google Scholar] [CrossRef] [PubMed]
- Sun, Z.; Yang, R.; Wang, J.; Zhou, P.; Gong, Y.; Gao, F.; Wang, C. Effects of nutrient deficiency on crop yield and soil nutrients under winter wheat–Summer maize rotation system in the North China plain. Agronomy 2024, 14, 2690. [Google Scholar] [CrossRef]
- Wang, Q.; Li, S.; Li, J.; Huang, D. The utilization and roles of nitrogen in plants. Forests 2024, 15, 1191. [Google Scholar] [CrossRef]
- Ali, A.; Jabeen, N.; Farruhbek, R.; Chachar, Z.; Laghari, A.A.; Chachar, S.; Ahmed, N.; Ahmed, S.; Yang, Z. Enhancing nitrogen use efficiency in agriculture by integrating agronomic practices and genetic advances. Front. Plant Sci. 2025, 16, 1543714. [Google Scholar] [CrossRef]
- Mur, L.A.J.; Simpson, C.; Kumari, A.; Gupta, A.K.; Gupta, K.J. Moving nitrogen to the centre of plant defence against pathogens. Ann. Bot. 2016, 119, 703–709. [Google Scholar] [CrossRef]
- Bi, J.; Song, A.; Li, S.; Chen, M.; Wang, Y.; Wang, S.; Si, Z.; Wang, E.; Zhang, J.; Asante-Badu, B.; et al. Plant physiology, microbial community, and risks of multiple fungal diseases along a soil nitrogen gradient. Appl. Soil Ecol. 2022, 175, 104445. [Google Scholar] [CrossRef]
- Huber, D.M.; Watson, R.D. Nitrogen form and plant disease. Annu. Rev. Phytopathol. 1974, 12, 139–165. [Google Scholar] [CrossRef]
- Hoffland, E.; Jeger, M.J.; Van Beusichem, M.L. Effect of nitrogen supply rate on disease resistance in tomato depends on the pathogen. Plant Soil 2000, 218, 239–247. [Google Scholar] [CrossRef]
- Lemmens, M.; Buerstmayr, H.; Krska, R.; Schuhmacher, R.; Grausgruber, H.; Ruckenbauer, P. The effect of inoculation treatment and long-term application of moisture on Fusarium head blight symptoms and deoxynivalenol contamination in wheat grains. Eur. J. Plant Pathol. 2004, 110, 299–308. [Google Scholar] [CrossRef]
- Krnjaja, V.; Mandi, V.; Levi, J.; Obradovi, A. Influence of N-fertilization on Fusarium head blight and mycotoxin levels in winter wheat. Crop. Prot. 2015, 67, 251–256. [Google Scholar] [CrossRef]
- Vrandečić, K.; Jug, D.; Ćosić, J.; Ilić, J.; Jug, I. The impact of different conservation soil tillage and nitrogen fertilization on wheat grain infection with Fusarium sp. Poljoprivreda 2019, 25, 26–31. [Google Scholar] [CrossRef]
- Chai, X.; Zhou, T.; Liu, Y. Effects of nitrogen deficiency induced by straw decomposition after incorporation into soil on the autophagy and pathogenicity of Fusarium graminearum based on an off-line simulation. J. Phytopathol. 2021, 169, 239–246. [Google Scholar] [CrossRef]
- Maširević, S.; Radujkov, D.; Jevtić, R.; Stajković, N. Occurence of Fusarium head blight on some wheat varieties in different plant population and nitrogen fertilisation during 2011 in Serbia. Res. J. Agric. Sci. 2013, 45, 181–187. [Google Scholar]
- Matić, M.; Vuković, R.; Vrandečić, K.; Štolfa Čamagajevac, I.; Ćosić, J.; Vuković, A.; Sabljić, K.; Sabo, N.; Dvojković, K.; Novoselović, D. Oxidative status and antioxidative response to Fusarium attack and different nitrogen levels in winter wheat varieties. Plants 2021, 10, 611. [Google Scholar] [CrossRef]
- Mengesha, G.G.; Abebe, S.M.; Tsakamo, Y.T.; Issa, B.T.; Lera, Z.T.; Shertore, M.M.; Fedilu, K.B.; Tadesse, Y.B.; Mekonnen, A.A.; Esho, A.G.; et al. Genotype by environment interaction analysis for Fusarium head blight response and yield performance of bread wheat (Triticum aestivum L.) in southern Ethiopia. Phytopathol. Res. 2022, 4, 45. [Google Scholar] [CrossRef]
- Scala, V.; Aureli, G.; Cesarano, G.; Incerti, G.; Fanelli, C.; Scala, F.; Reverberi, M.; Bonanomi, G. Climate, soil management, and cultivar affect Fusarium head blight incidence and deoxynivalenol accumulation in durum wheat of Southern Italy. Front. Microbiol. 2016, 7, 1014. [Google Scholar] [CrossRef] [PubMed]
- Ding, S.; Shao, X.; Li, J.; Jalal, G.; Yao, Y.; Ding, J.; Hu, Z.; Yu, J.; Shi, K. Nitrogen forms and metabolism affect plant defence to foliar and root pathogens in tomato. Plant Cell Environ. 2021, 44, 1596–1610. [Google Scholar] [CrossRef]
- Liu, Z.; Wang, J.; Yue, Z.; Wang, J.; Dou, T.; Chen, T.; Li, J.; Dai, H.; Yu, J. Study of cabbage antioxidant system response on early infection stage of Xanthomonas campestris pv. campestris. BMC Plant Biol. 2024, 24, 324. [Google Scholar] [CrossRef]
- Núñez, M.E.; Hall, D.B.; Barton, J.K. Long-range oxidative damage to DNA: Effects of distance and sequence. Chem. Biol. 1999, 6, 85–97. [Google Scholar] [CrossRef]
- Reznick, A.Z.; Packer, L. Oxidative damage to proteins: Spectrophotometric method for carbonyl assay. Methods Enzymol. 1994, 233, 357–363. [Google Scholar] [CrossRef] [PubMed]
- Hasanuzzaman, M.; Bhuyan, M.H.M.; Zulfiqar, F.; Raza, A.; Mohsin, S.; Mahmud, J.; Fujita, M.; Fotopoulos, V. Reactive oxygen species and antioxidant defense in plants under abiotic stress: Revisiting the crucial role of a universal defense regulator. Antioxidants 2020, 9, 681. [Google Scholar] [CrossRef]
- Matić, M.; Vuković, R.; Vrandečić, K.; Štolfa Čamagajevac, I.; Ćosić, J.; Vuković, A.; Dvojković, K.; Novoselović, D. Defense response to Fusarium infection in winter wheat varieties, varying in FHB susceptibility, grown under different nitrogen levels. Agronomy 2022, 12, 1746. [Google Scholar] [CrossRef]
- Snijders, C.H.A.; Van Eeuwijk, F.A. Genotype x strain interactions for resistance to Fusarium head blight caused by Fusarium culmorum in winter wheat. Theor. Appl. Genet. 1991, 81, 239–244. [Google Scholar] [CrossRef]
- Verma, S.; Dubey, R.S. Lead toxicity induces lipid peroxidation and alters the activities of antioxidant enzymes in growing rice plants. Plant Sci. 2003, 164, 645–655. [Google Scholar] [CrossRef]
- Akerboom, T.P.M.; Sies, H. [48] Assay of glutathione, glutathione disulfide, and glutathione mixed disulfides in biological samples. Methods Enzymol. 1981, 77, 373–382. [Google Scholar] [CrossRef] [PubMed]
- Bradford, M.M. A rapid and sensitive method for the quantitation of microgram quantities of protein utilizing the principle of protein-dye binding. Anal. Biochem. 1976, 72, 248–254. [Google Scholar] [CrossRef] [PubMed]
- Habig, W.H.; Pabst, M.J.; Jakoby, W.B. Glutathione S-transferases. The first enzymatic step in mercapturic acid formation. J. Biol. Chem. 1974, 249, 7130–7139. [Google Scholar] [CrossRef]
- Racker, E. Glutathione reductase from bakers’ yeast and beef liver. J. Biol. Chem. 1955, 217, 855–865. [Google Scholar] [CrossRef]
- Nakano, Y.; Asada, K. Hydrogen peroxide is scavenged by ascorbate-specific peroxidase in spinach chloroplasts. Plant Cell Physiol. 1981, 22, 867–880. [Google Scholar] [CrossRef]
- Aebi, H. [13] Catalase in vitro. Methods Enzymol. 1984, 105, 121–126. [Google Scholar] [CrossRef]
- Siegel, B.Z.; Galston, A.W. The Isoperoxidases of Pisum sativum. Plant Physiol. 1967, 42, 221–226. [Google Scholar] [CrossRef] [PubMed]
- Zheng, Y.; Zhang, J.; Guo, Y.; Lv, J.; Dong, Y. Intercropping and appropriate nitrogen application control faba bean Fusarium wilt by improving physiological and biochemical resistance and protein expression of faba bean. Plant Pathol. 2024, 73, 613–629. [Google Scholar] [CrossRef]
- Gill, S.S.; Tuteja, N. Reactive oxygen species and antioxidant machinery in abiotic stress tolerance in crop plants. Plant Physiol. Biochem. 2010, 48, 909–930. [Google Scholar] [CrossRef] [PubMed]
- Khaledi, N.; Taheri, P.; Falahati-rastegar, M. Reactive oxygen species and antioxidant system responses in wheat cultivars during interaction with Fusarium species. Australas. Plant Pathol. 2016, 45, 653–670. [Google Scholar] [CrossRef]
- Sharma, P.; Jha, A.B.; Dubey, R.S.; Pessarakli, M. Reactive oxygen species, oxidative damage, and antioxidative defense mechanism in plants under stressful conditions. J. Bot. 2012, 2012, 217037. [Google Scholar] [CrossRef]
- Heath, R.L.; Packer, L. Photoperoxidation in isolated chloroplasts: I. Kinetics and stoichiometry of fatty acid peroxidation. Arch. Biochem. Biophys. 1968, 125, 189–198. [Google Scholar] [CrossRef]
- Foyer, C.H.; Noctor, G. Redox homeostasis and antioxidant signaling: A metabolic interface between stress perception and physiological responses. Plant Cell 2005, 17, 1866–1875. [Google Scholar] [CrossRef]
- Spanic, V.; Viljevac Vuletic, M.; Horvat, D.; Sarkanj, B.; Drezner, G.; Zdunic, Z. Changes in antioxidant system during grain development of wheat (Triticum aestivum L.) and relationship with protein composition under FHB stress. Pathogens 2019, 9, 17. [Google Scholar] [CrossRef]
- Sorahinobar, M.; Niknam, V.; Ebrahimzadeh, H.; Soltanloo, H.; Moradi, B.; Bahram, M. Lack of association between Fusarium graminearum resistance in spike and crude extract tolerance in seedling of wheat. Eur. J. Plant Pathol. 2016, 144, 525–538. [Google Scholar] [CrossRef]
- Marček, T.; Vuletić, M.V.; Španić, V. Biochemical changes in ears of wheat genotypes subjected to Fusarium spp. attack. Acta Biol. Hung. 2018, 69, 493–504. [Google Scholar] [CrossRef]
- Hernández Estévez, I.; Rodríguez Hernández, M. Plant glutathione S-transferases: An overview. Plant Gene 2020, 23, 100233. [Google Scholar] [CrossRef]
- Spanic, V.; Viljevac Vuletic, M.; Abicic, I.; Marcek, T. Early response of wheat antioxidant system with special reference to Fusarium head blight stress. Plant Physiol. Biochem. 2017, 115, 34–43. [Google Scholar] [CrossRef]
- Sairam, R.K.; Srivastava, G.C. Induction of oxidative stress and antioxidant activity by hydrogen peroxide treatment in tolerant and susceptible wheat genotypes. Biol. Plant. 2000, 43, 381–386. [Google Scholar] [CrossRef]
- Dordas, C. Role of nutrients in controlling plant diseases in sustainable agriculture. A review. Agron. Sustain. Dev. 2008, 28, 33–46. [Google Scholar] [CrossRef]
- Kong, L.; Xie, Y.; Hu, L.; Si, J.; Wang, Z. Excessive nitrogen application dampens antioxidant capacity and grain filling in wheat as revealed by metabolic and physiological analyses. Sci. Rep. 2017, 7, 43363. [Google Scholar] [CrossRef]
- Foyer, C.H.; Noctor, G. Ascorbate and glutathione: The heart of the redox hub. Plant Physiol. 2011, 155, 2–18. [Google Scholar] [CrossRef]
- Zhao, Y.; Vlasselaer, L.; Ribeiro, B.; Terzoudis, K.; Van den Ende, W.; Hertog, M.; Nicolaï, B.; De Coninck, B. Constitutive defense mechanisms have a major role in the resistance of woodland strawberry leaves against Botrytis cinerea. Front. Plant Sci. 2022, 13, 912667. [Google Scholar] [CrossRef] [PubMed]
- Dixon, D.P.; Lapthorn, A.; Edwards, R. Plant glutathione transferases. Genome Biol. 2002, 3, 3004. [Google Scholar] [CrossRef]
- Gullner, G.; Komives, T.; Király, L.; Schröder, P. Glutathione S-transferase enzymes in plant-pathogen interactions. Front. Plant Sci. 2018, 9, 1836. [Google Scholar] [CrossRef]
- Wang, R.; Ma, J.; Zhang, Q.; Wu, C.; Zhao, H.; Wu, Y.; Yang, G.; He, G. Genome-wide identification and expression profiling of glutathione transferase gene family under multiple stresses and hormone treatments in wheat (Triticum aestivum L.). BMC Genom. 2019, 20, 986. [Google Scholar] [CrossRef]
- Hayes, J.D.; McLellan, L.I. Glutathione and glutathione-dependent enzymes represent a co-ordinately regulated defence against oxidative stress. Free Radic. Res. 1999, 31, 273–300. [Google Scholar] [CrossRef] [PubMed]
- Gallé, Á.; Pelsőczi, A.; Benyó, D.; Podmaniczki, A.; Szabó-Hevér, Á.; Poór, P.; Tóth, B.; Horváth, E.; Erdei, L.; Csiszár, J. Systemic response to Fusarium graminearum and culmorum inoculations: Changes in detoxification of flag leaves in wheat. Cereal Res. Commun. 2022, 50, 1055–1063. [Google Scholar] [CrossRef]
- Sunic, K.; Brkljacic, L.; Vukovic, R.; Katanic, Z.; Salopek-Sondi, B.; Spanic, V. Fusarium head blight infection induced responses of six winter wheat varieties in ascorbate–glutathione pathway, photosynthetic efficiency and stress hormones. Plants 2023, 12, 3720. [Google Scholar] [CrossRef]
- Mittler, R. Oxidative stress, antioxidants and stress tolerance. Trends Plant Sci. 2002, 7, 405–410. [Google Scholar] [CrossRef]
- Asada, K. Ascorbate peroxidase—A hydrogen peroxide-scavenging enzyme in plants. Physiol. Plant. 1992, 85, 235–241. [Google Scholar] [CrossRef]
- Li, S. Novel insight into functions of ascorbate peroxidase in higher plants: More than a simple antioxidant enzyme. Redox Biol. 2023, 64, 102789. [Google Scholar] [CrossRef] [PubMed]
- Zondo, S.N.N.; Mafa, M.S. Peroxidase and β-1,3-glucanase synergistic functions strengthen plant cell wall and protect wheat against Diuraphis noxia infestation. Planta 2025, 262, 41. [Google Scholar] [CrossRef]
- Lionetti, V.; Giancaspro, A.; Fabri, E.; Giove, S.L.; Reem, N.; Zabotina, O.A.; Blanco, A.; Gadaleta, A.; Bellincampi, D. Cell wall traits as potential resources to improve resistance of durum wheat against Fusarium graminearum. BMC Plant Biol. 2015, 15, 6. [Google Scholar] [CrossRef]
- Passardi, F.; PenelL, C.; Dunand, C. Performing the paradoxical: How plant peroxidases modify the cell wall. Trends Plant Sci. 2004, 9, 534–540. [Google Scholar] [CrossRef]
- Gechev, T.S.; Van Breusegem, F.; Stone, J.M.; Denev, I.; Laloi, C. Reactive oxygen species as signals that modulate plant stress responses and programmed cell death. BioEssays 2006, 28, 1091–1101. [Google Scholar] [CrossRef]
- Anjum, N.A.; Sharma, P.; Gill, S.S.; Hasanuzzaman, M.; Devi, G.D.; Vasudhevan, P.; Sofo, A.; Khan, N.A.; Misra, A.N.; Lukatkin, A.S. Catalase and ascorbate peroxidase—Representative H2O2-detoxifying heme enzymes in plants. Environ. Sci. Pollut. Res. 2016, 23, 19002–19029. [Google Scholar] [CrossRef]
- Mhamdi, A.; Queval, G.; Chaouch, S.; Vanderauwera, S.; Van Breusegem, F.; Noctor, G. Catalase function in plants: A focus on Arabidopsis mutants as stress-mimic models. J. Exp. Bot. 2010, 61, 4197–4220. [Google Scholar] [CrossRef]
- Gherbawy, Y.; El-Tayeb, M.; Maghraby, T.; Shebany, Y.; El-Deeb, B. Response of antioxidant enzymes and some metabolic activities in wheat to Fusarium spp. Infections. Acta Agron. Hung. 2012, 60, 319–333. [Google Scholar] [CrossRef]
- Hernández, J.A.; Gullner, G.; Clemente-Moreno, M.J.; Künstler, A.; Juhász, C.; Díaz-Vivancos, P.; Király, L. Oxidative stress and antioxidative responses in plant–virus interactions. Physiol. Mol. Plant Pathol. 2016, 94, 134–148. [Google Scholar] [CrossRef]
- Yao, Y.; Kan, W.; Su, P.; Zhu, Y.; Zhong, W.; Xi, J.; Wang, D.; Tang, C.; Wu, L. Hydrogen sulphide alleviates Fusarium head blight in wheat seedlings. PeerJ 2022, 10, e13078. [Google Scholar] [CrossRef]
- van der Burgt, G.J.H.M.; Timmermans, B.G.H.; Scholberg, J.M.S.; Osman, A.M. Fusarium head blight and deoxynivalenol contamination in wheat as affected by nitrogen fertilization. NJAS Wagening. J. Life Sci. 2011, 58, 123–129. [Google Scholar] [CrossRef]
- El Chami, E.; El Chami, J.; Tarnawa, A.; Kassai, K.M.; Kende, Z.; Jolánkai, M. Influence of growing season, nitrogen fertilisation and wheat variety on Fusarium infection and mycotoxin production in wheat kernel. Acta Aliment. 2022, 51, 282–289. [Google Scholar] [CrossRef]
- Lemmens, M.; Haim, K.; Lew, H.; Ruckenbauer, P. The effect of nitrogen fertilization on Fusarium head blight development and deoxynivalenol contamination in wheat. J. Phytopathol. 2004, 152, 1–8. [Google Scholar] [CrossRef]
- Parry, D.W.; Jenkinson, P.; McLeod, L. Fusarium ear blight (scab) in small grain cereals—A review. Plant Pathol. 1995, 44, 207–238. [Google Scholar] [CrossRef]
- Nadeem, H.; Khan, A.; Gupta, R.; Hashem, M.; Alamri, S.; Siddiqui, M.A.; Ahmad, F. Stress combination: When two negatives may become antagonistic, synergistic or additive for plants? Pedosphere 2023, 33, 287–300. [Google Scholar] [CrossRef]
- Pandey, P.; Ramegowda, V.; Senthil-Kumar, M. Shared and unique responses of plants to multiple individual stresses and stress combinations: Physiological and molecular mechanisms. Front. Plant Sci. 2015, 6, 723. [Google Scholar] [CrossRef] [PubMed]
- Chojak-Koźniewska, J.; Kuźniak, E.; Zimny, J. The effects of combined abiotic and pathogen stress in plants: Insights from salinity and Pseudomonas syringae pv lachrymans interaction in cucumber. Front. Plant Sci. 2018, 9, 1691. [Google Scholar] [CrossRef] [PubMed]







| Mean Sum of Squares | ||||||||
|---|---|---|---|---|---|---|---|---|
| Source of Variation | df | LPO | GSH | GR | GST | APX | CAT | GPOD |
| Genotype (G) | 3 | 247.80 *** | 911,488 *** | 5790 *** | 82,935 *** | 37.60 *** | 12,356 *** | 19.95 *** |
| Fusarium (F) | 1 | 1.20 ns | 7798 ns | 474 ns | 215,087 *** | 14.93 *** | 15,113 *** | 43.68 *** |
| Nitrogen (N) | 3 | 2.28 ns | 1609 ns | 1242 ** | 5975 *** | 0.83 ** | 469 * | 0.79 *** |
| G × F | 3 | 27.47 *** | 63,553 *** | 2603 *** | 33,028 ** | 3.74 *** | 4543 *** | 2.27 * |
| G × N | 9 | 15.34 *** | 10,034 ** | 1200 *** | 6051 *** | 0.44 * | 375 * | 0.41 ns |
| F × N | 3 | 4.10 ns | 7147 ns | 303 ns | 133 ns | 0.42 ns | 781 ** | 1.39 *** |
| G × F × N | 9 | 6.53 ns | 14,426 *** | 235 ns | 5051 *** | 0.29 ns | 297 ns | 0.78 *** |
| Mean Sum of Squares | ||||||||
|---|---|---|---|---|---|---|---|---|
| Source of Variation | df | LPO | GSH | GR | GST | APX | CAT | GPOD |
| Genotype (G) | 3 | 135.41 *** | 446,7271 *** | 13,549 *** | 101,682 *** | 23.29 *** | 1904 *** | 5.17 *** |
| Fusarium (F) | 1 | 34.35 * | 16,793 ns | 5 ns | 20,905 *** | 7.75 *** | 6147 *** | 54.20 *** |
| Nitrogen (N) | 3 | 21.27 * | 136,608 *** | 531 ns | 471 ns | 0.13 ns | 1478 ** | 0.51 ** |
| G × F | 3 | 90.39 *** | 169,245 *** | 6775 *** | 26,829 *** | 9.53 *** | 2417 *** | 0.67 ** |
| G × N | 9 | 29.84 *** | 75,434 *** | 1565 *** | 6896 *** | 0.73 *** | 453 ns | 0.45 *** |
| F × N | 3 | 35.85 *** | 5109 ns | 1831 *** | 7191 *** | 1.79 *** | 1657 ** | 0.47 * |
| G × F × N | 9 | 31.84 *** | 38,931 *** | 754 ** | 5190 *** | 0.97 *** | 1171 *** | 0.35 ** |
| Growing Season 2018/2019 | ||||||||||||||||
|---|---|---|---|---|---|---|---|---|---|---|---|---|---|---|---|---|
| Srpanjka | Sofru | Apache | Graindor | |||||||||||||
| Treatment | N-0 | N-35 | N-70 | N-140 | N-0 | N-35 | N-70 | N-140 | N-0 | N-35 | N-70 | N-140 | N-0 | N-35 | N-70 | N-140 |
| LPO | - | - | - | - | - | - | - | - | - | - | - | - | - | - | - | - |
| GSH | - | ↑ | - | ↑ | - | ↓ | ↓ | ↓ | - | - | - | ↑ | ↑ | - | ↑ | ↑ |
| APX | - | ↑ | ↑ | ↑ | - | - | - | - | - | - | - | ↑ | ↑ | ↑ | ↑ | ↑ |
| GPOD | - | ↑ | ↑ | ↑ | - | ↑ | - | - | - | ↑ | ↑ | ↑ | ↑ | ↑ | ↑ | ↑ |
| CAT | ↑ | - | - | ↑ | ↑ | ↑ | ↑ | ↑ | - | - | - | - | ↑ | - | - | - |
| GR | - | - | - | - | - | - | - | - | - | - | - | - | ↓ | - | ↓ | - |
| GST | ↑ | ↑ | ↑ | ↑ | ↑ | - | ↑ | ↑ | - | - | ↑ | - | - | - | - | ↑ |
| Growing season 2019/2020 | ||||||||||||||||
| Srpanjka | Sofru | Apache | Graindor | |||||||||||||
| Treatment | N-0 | N-35 | N-70 | N-140 | N-0 | N-35 | N-70 | N-140 | N-0 | N-35 | N-70 | N-140 | N-0 | N-35 | N-70 | N-140 |
| LPO | ↓ | ↓ | ↓ | - | ↑ | - | ↑ | - | ↑ | - | - | ↓ | - | - | - | - |
| GSH | - | ↑ | - | ↑ | ↓ | ↓ | ↓ | - | - | - | - | ↓ | - | ↑ | ↑ | - |
| APX | ↑ | ↑ | ↑ | - | ↑ | ↑ | ↑ | - | - | ↑ | ↑ | - | ↓ | ↓ | ↓ | ↓ |
| GPOD | ↑ | ↑ | ↑ | ↑ | ↑ | ↑ | ↑ | ↑ | ↑ | ↑ | ↑ | ↑ | ↑ | ↑ | ↑ | ↑ |
| CAT | - | - | ↑ | - | - | ↑ | ↑ | ↑ | - | - | - | - | - | - | - | - |
| GR | - | ↓ | ↓ | ↓ | ↑ | ↑ | ↑ | - | - | ↑ | - | - | - | ↓ | ↓ | ↓ |
| GST | ↑ | ↑ | ↑ | - | ↓ | - | ↓ | - | ↓ | ↑ | ↑ | ↑ | - | - | ↑ | ↑ |
| Season 2018/2019 | Season 2019/2020 | |||
|---|---|---|---|---|
| Variable | PC1 | PC2 | PC1 | PC2 |
| LPO | −0.45 | 0.09 | 0.39 | −0.30 |
| GSH | −0.41 | −0.17 | 0.48 | −0.27 |
| GR | −0.41 | 0.02 | 0.42 | 0.09 |
| GST | −0.30 | −0.58 | 0.21 | 0.41 |
| APX | 0.38 | −0.45 | 0.52 | −0.15 |
| CAT | −0.35 | −0.41 | 0.06 | 0.66 |
| GPOD | 0.32 | −0.52 | 0.36 | 0.45 |
Disclaimer/Publisher’s Note: The statements, opinions and data contained in all publications are solely those of the individual author(s) and contributor(s) and not of MDPI and/or the editor(s). MDPI and/or the editor(s) disclaim responsibility for any injury to people or property resulting from any ideas, methods, instructions or products referred to in the content. |
© 2026 by the authors. Licensee MDPI, Basel, Switzerland. This article is an open access article distributed under the terms and conditions of the Creative Commons Attribution (CC BY) license.
Share and Cite
Vuković, R.; Vuković Popović, A.; Matić, M.; Vrandečić, K.; Štolfa Čamagajevac, I.; Ćosić, J.; Horvatović, M.; Dvojković, K.; Novoselović, D. Seasonal and Genotypic Variability in Wheat Antioxidant Response to Fusarium Infection Under Different Nitrogen Treatments. Agriculture 2026, 16, 865. https://doi.org/10.3390/agriculture16080865
Vuković R, Vuković Popović A, Matić M, Vrandečić K, Štolfa Čamagajevac I, Ćosić J, Horvatović M, Dvojković K, Novoselović D. Seasonal and Genotypic Variability in Wheat Antioxidant Response to Fusarium Infection Under Different Nitrogen Treatments. Agriculture. 2026; 16(8):865. https://doi.org/10.3390/agriculture16080865
Chicago/Turabian StyleVuković, Rosemary, Ana Vuković Popović, Magdalena Matić, Karolina Vrandečić, Ivna Štolfa Čamagajevac, Jasenka Ćosić, Matej Horvatović, Krešimir Dvojković, and Dario Novoselović. 2026. "Seasonal and Genotypic Variability in Wheat Antioxidant Response to Fusarium Infection Under Different Nitrogen Treatments" Agriculture 16, no. 8: 865. https://doi.org/10.3390/agriculture16080865
APA StyleVuković, R., Vuković Popović, A., Matić, M., Vrandečić, K., Štolfa Čamagajevac, I., Ćosić, J., Horvatović, M., Dvojković, K., & Novoselović, D. (2026). Seasonal and Genotypic Variability in Wheat Antioxidant Response to Fusarium Infection Under Different Nitrogen Treatments. Agriculture, 16(8), 865. https://doi.org/10.3390/agriculture16080865

