High-Resolution Wheat and Barley Yield Forecasting Using Multi-Temporal Satellite Time Series and Machine Learning
Abstract
1. Introduction
2. Materials and Methods
2.1. Site of Study
2.2. Yield Data Acquisition
2.3. Satellite Data
2.4. Experimental Design
2.4.1. Modeling Dataset Building
2.4.2. Data Analysis
2.4.3. Machine Learning Algorithms
2.4.4. Model Training and Performance Evaluation
2.5. Software
3. Results
3.1. Study of Correlation
3.2. Models Evaluation
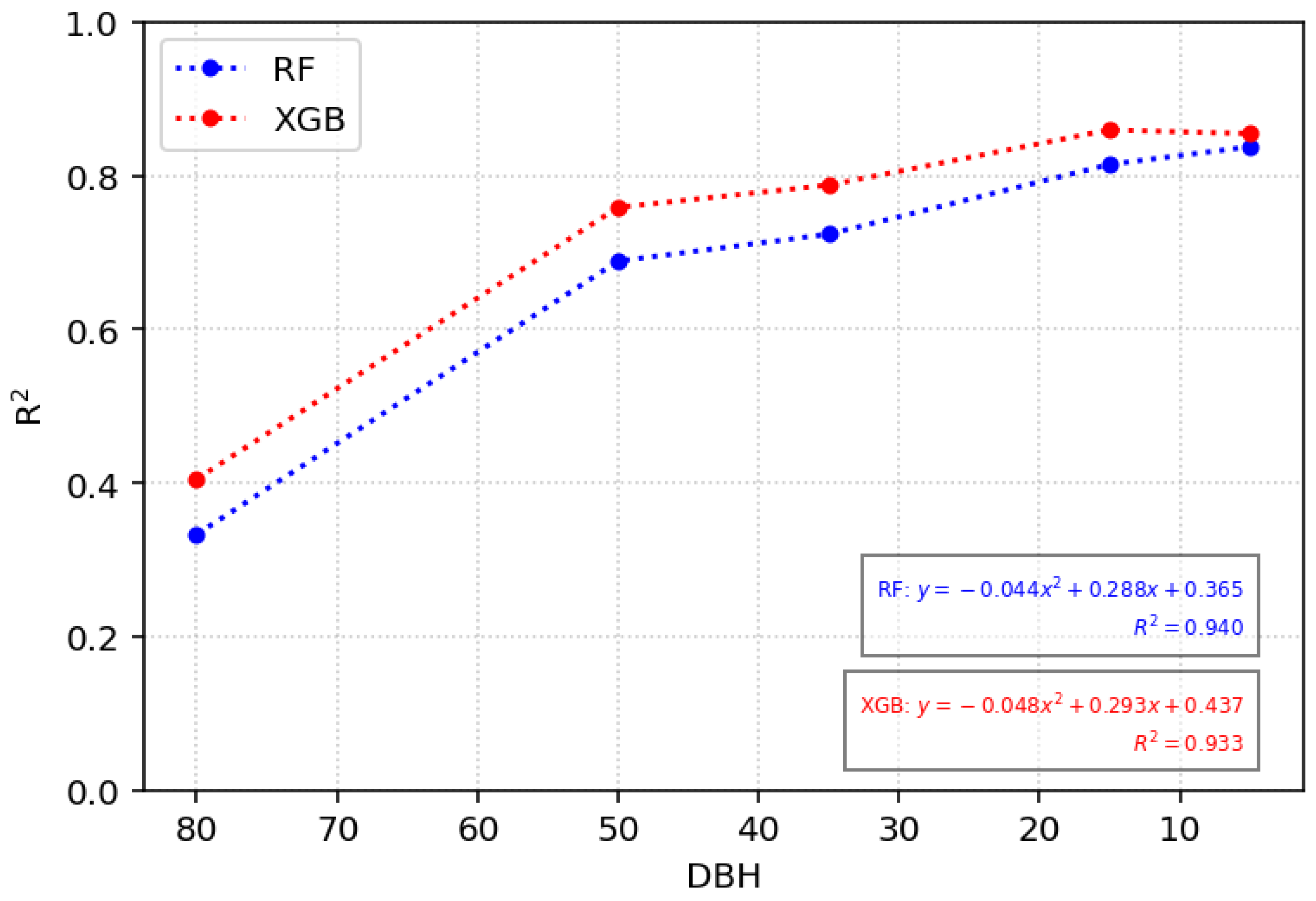
3.2.1. Yield Prediction Models of Wheat
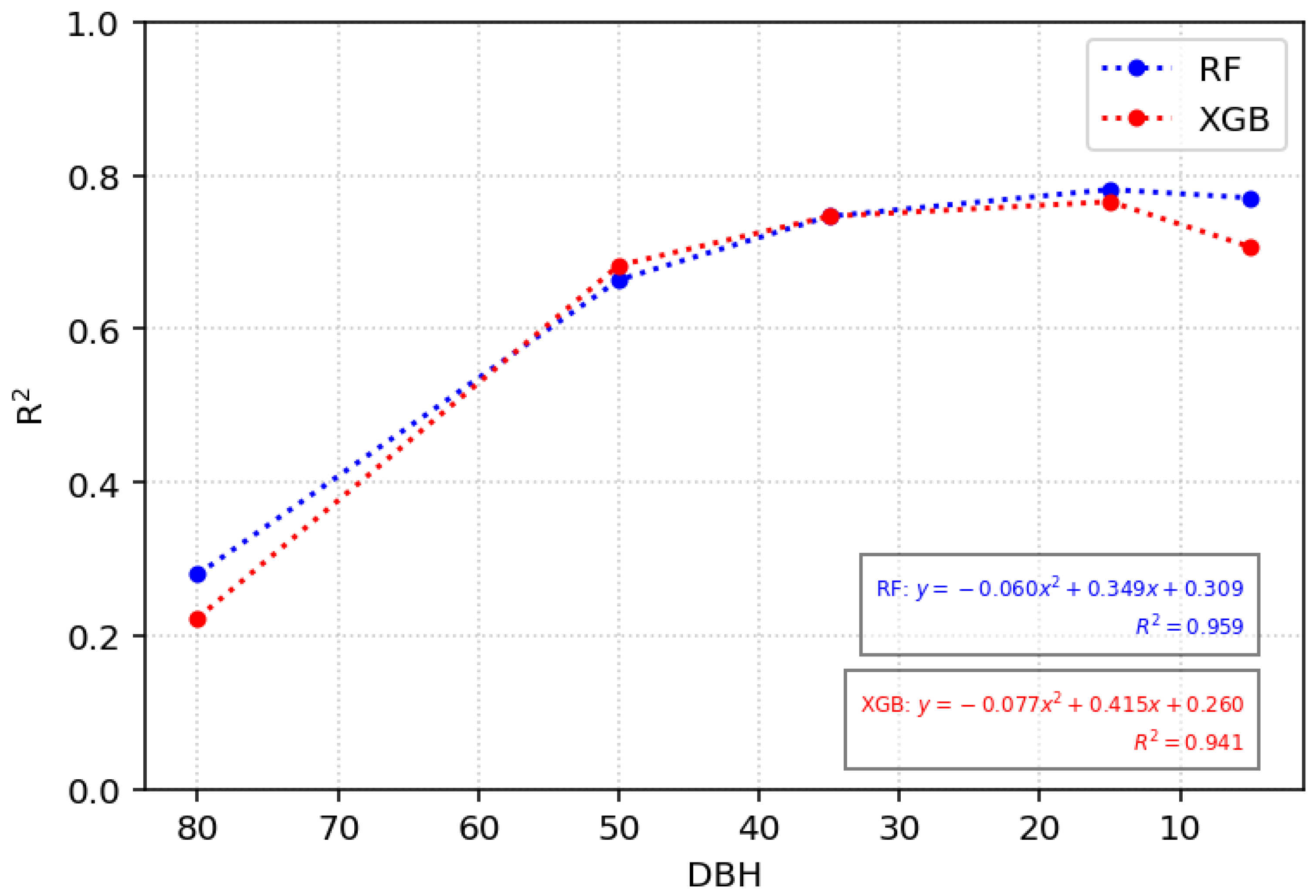
3.2.2. Yield Prediction Models of Barley
3.3. Model Analysis
3.3.1. Wheat Model Interpretability
3.3.2. Barley Model Interpretability
4. Discussion
5. Conclusions
Author Contributions
Funding
Data Availability Statement
Acknowledgments
Conflicts of Interest
Abbreviations
| MLR | Multiple Linear Regression |
| ML | Maching Learning |
| PA | Precision Agriculture |
| RF | Random Forest |
| SVM | Support Vector Machines |
| GB | Gradient Boosting |
| XGB | Extreme Gradient Boosting |
| VIs | Vegetation Indices |
| NDVI | Normalized Vegetation Index |
| EVI | Enhanced Vegetation Index |
| GDVI | Green Difference Vegetation Index |
| KCC | Köppen Climate Classification |
| EU | European Union |
| DBH | Days Before Harvest |
| PPS | Principal Phenological Stage |
| MSI | Multi-Spectral Instrument |
| ESA | European Space Agency |
| BOA | Bottom of Atmosphere |
| VI | Vegetacion Index |
| NDRE | Normalized Difference Red-Edge Index |
| RVI | Ratio Vegetation Index |
| CV | Cross-Validation |
| MAE | Mean Absolute Error |
| MAPE | Mean Absolute Percentage Error |
| RMSE | Root Mean Square Error |
| NIR | Near Infrared |
| SWIR | Short-Wave Infrared |
| RE | Red–Edge |
| RGB_Visible | Bands B2, B3, and B4 |
| CI | Confidence Intervals |
| V. Dataset | Validation datasets |
| FI | Feature Importance |
| UAV | Unmanned Aerial Vehicle |
| MODIS | Moderate Resolution Imaging Spectroradiometer |
Appendix A
| Cropping Area | Year | Wheat | Barley | ||
|---|---|---|---|---|---|
| N Fields | Surface (ha) | N Fields | Surface (ha) | ||
| Burgos | 2020 | 6 | 0.6 | 6 | 3.5 |
| 2021 | 43 | 115.0 | 43 | 90.8 | |
| 2022 | 36 | 124.2 | 44 | 49.0 | |
| 2023 | 25 | 84.6 | 58 | 117.3 | |
| 2024 | 31 | 48.4 | 49 | 151.6 | |
| Córdoba | 2021 | 8 | 63.0 | 2 | 19.6 |
| 2022 | 2 | 21.2 | 1 | 2.7 | |
| 2023 | 13 | 122.3 | 1 | 23.7 | |
| 2024 | 1 | 15.9 | – | – | |
| León | 2023 | 27 | 44.2 | – | – |
| 2024 | 32 | 36.5 | – | – | |
| Sevilla | 2020 | 1 | 11.3 | – | – |
| Soria | 2021 | 88 | 389.9 | 84 | 213.7 |
| 2023 | 3 | 4.1 | 120 | 118.1 | |
| 2024 | 4 | 14.8 | 76 | 107.8 | |
| Palencia | 2020 | 38 | 111.9 | 59 | 177.1 |
| 2021 | 40 | 119.4 | 52 | 155.0 | |
| 2022 | 31 | 88.3 | 53 | 140.0 | |
| 2023 | 44 | 96.0 | 83 | 236.4 | |
| 2024 | 30 | 71.4 | 39 | 117.8 | |
| Valladolid | 2020 | 23 | 204.8 | 12 | 231.7 |
| 2021 | 26 | 280.0 | 53 | 399.9 | |
| 2022 | 39 | 284.7 | – | – | |
| 2023 | 52 | 348.5 | 58 | 410.5 | |
| Total | 643 | 2700.4 | 893 | 2765.9 | |
| Cropping Area | Elevation (m) | Elevation Difference (m) | ||||||
|---|---|---|---|---|---|---|---|---|
| Max | Min | Mean | Median | Max | Min | Mean | Median | |
| Burgos | 929.0 | 765.4 | 829.7 | 827.3 | 157.7 | 0.0 | 26.5 | 14.4 |
| Córdoba | 297.1 | 164.4 | 230.6 | 235.4 | 101.2 | 0.0 | 31.4 | 31.7 |
| León | 990.7 | 765.6 | 931.9 | 946.2 | 162.8 | 0.0 | 19.1 | 11.8 |
| Sevilla | 803.0 | 181.8 | 466.2 | 465.4 | 102.7 | 0.0 | 12.1 | 9.2 |
| Soria | 1110.9 | 801.0 | 945.6 | 952.2 | 103.9 | 0.0 | 8.2 | 5.3 |
| Palencia | 1002.7 | 765.6 | 878.7 | 871.7 | 176.3 | 0.0 | 28.9 | 18.6 |
| Valladolid | 803.0 | 675.5 | 746.8 | 747.3 | 111.2 | 0.0 | 28.6 | 23.7 |
References
- Hossain, A.; Farhad, M.; Aonti, A.J.; Kabir, M.P.; Hossain, M.M.; Ahmed, B.; Haq, M.I.; Azim, J. Cereals production under changing climate. In Challenges and Solutions of Climate Impact on Agriculture; Elsevier: Amsterdam, The Netherlands, 2025; pp. 63–83. [Google Scholar] [CrossRef]
- Neupane, D.; Adhikari, P.; Bhattarai, D.; Rana, B.; Ahmed, Z.; Sharma, U.; Adhikari, D. Does climate change affect the yield of the top three cereals and food security in the world? Earth 2022, 3, 45–71. [Google Scholar] [CrossRef]
- Zhao, Y.; Potgieter, A.B.; Zhang, M.; Wu, B.; Hammer, G.L. Predicting wheat yield at the field scale by combining high-resolution Sentinel-2 satellite imagery and crop modelling. Remote Sens. 2020, 12, 1024. [Google Scholar] [CrossRef]
- Okupska, E.; Gozdowski, D.; Pudełko, R.; Wójcik-Gront, E. Cereal and Rapeseed Yield Forecast in Poland at Regional Level Using Machine Learning and Classical Statistical Models. Agriculture 2025, 15, 984. [Google Scholar] [CrossRef]
- Jeong, J.H.; Resop, J.P.; Mueller, N.D.; Fleisher, D.H.; Yun, K.; Butler, E.E.; Timlin, D.J.; Shim, K.M.; Gerber, J.S.; Reddy, V.R.; et al. Random forests for global and regional crop yield predictions. PLoS ONE 2016, 11, e0156571. [Google Scholar] [CrossRef]
- Newlands, N.K.; Zamar, D.S.; Kouadio, L.A.; Zhang, Y.; Chipanshi, A.; Potgieter, A.; Toure, S.; Hill, H.S. An integrated, probabilistic model for improved seasonal forecasting of agricultural crop yield under environmental uncertainty. Front. Environ. Sci. 2014, 2, 17. [Google Scholar] [CrossRef]
- Sadenova, M.; Beisekenov, N.; Varbanov, P.S.; Pan, T. Application of machine learning and neural networks to predict the yield of cereals, legumes, oilseeds and forage crops in Kazakhstan. Agriculture 2023, 13, 1195. [Google Scholar] [CrossRef]
- Li, F.; Miao, Y.; Chen, X.; Sun, Z.; Stueve, K.; Yuan, F. In-season prediction of corn grain yield through PlanetScope and Sentinel-2 images. Agronomy 2022, 12, 3176. [Google Scholar] [CrossRef]
- Kešelj, K.; Stamenković, Z.; Kostić, M.; Aćin, V.; Tekić, D.; Novaković, T.; Ivanišević, M.; Ivezić, A.; Magazin, N. Machine learning (AutoML)-driven wheat yield prediction for European varieties: Enhanced accuracy using multispectral UAV data. Agriculture 2025, 15, 1534. [Google Scholar] [CrossRef]
- Filippi, P.; Jones, E.J.; Wimalathunge, N.S.; Somarathna, P.D.; Pozza, L.E.; Ugbaje, S.U.; Jephcott, T.G.; Paterson, S.E.; Whelan, B.M.; Bishop, T.F. An approach to forecast grain crop yield using multi-layered, multi-farm data sets and machine learning. Precis. Agric. 2019, 20, 1015–1029. [Google Scholar] [CrossRef]
- Al-Shammari, D.; Whelan, B.M.; Wang, C.; Bramley, R.G.; Bishop, T.F. Assessment of red-edge based vegetation indices for crop yield prediction at the field scale across large regions in Australia. Eur. J. Agron. 2025, 164, 127479. [Google Scholar] [CrossRef]
- Ministerio de Agricultura, Pesca y Alimentación. Anuario de Estadística 2023. Capítulo 7: Cereales. 2023. Available online: https://www.mapa.gob.es/es/estadistica/temas/publicaciones/anuario-de-estadistica/2023?parte=3&capitulo=7&grupo=1&seccion=3 (accessed on 26 January 2026).
- López-Bellido, L. Cereales, Cultivos Herbáceos. Esc. Técnica Super. Ing. Agrónomos. Univ. Córdoba 1991, 1, 539. [Google Scholar]
- López-Bellido, R.J.; López-Bellido, L.; Benítez-Vega, J.; López-Bellido, F.J. Tillage system, preceding crop, and nitrogen fertilizer in wheat crop: II. Water utilization. Agron. J. 2007, 99, 66–72. [Google Scholar] [CrossRef]
- IGME. IGME. 2023. Available online: https://igme.maps.arcgis.com/home/webmap/viewer.html?useExisting=1 (accessed on 26 September 2025).
- Bento, V.A.; Ribeiro, A.F.; Russo, A.; Gouveia, C.M.; Cardoso, R.M.; Soares, P.M. The impact of climate change in wheat and barley yields in the Iberian Peninsula. Sci. Rep. 2021, 11, 15484. [Google Scholar] [CrossRef] [PubMed]
- Cossani, C.M.; Slafer, G.A.; Savin, R. Nitrogen and water use efficiencies of wheat and barley under a Mediterranean environment in Catalonia. Field Crop. Res. 2012, 128, 109–118. [Google Scholar] [CrossRef]
- Acreche, M.M.; Briceño-Félix, G.; Sánchez, J.A.M.; Slafer, G.A. Physiological bases of genetic gains in Mediterranean bread wheat yield in Spain. Eur. J. Agron. 2008, 28, 162–170. [Google Scholar] [CrossRef]
- de Lima, V.J.; Gracia-Romero, A.; Rezzouk, F.Z.; Diez-Fraile, M.C.; Araus-Gonzalez, I.; Kamphorst, S.H.; do Amaral Júnior, A.T.; Kefauver, S.C.; Aparicio, N.; Araus, J.L. Comparative performance of high-yielding European wheat cultivars under contrasting Mediterranean conditions. Front. Plant Sci. 2021, 12, 687622. [Google Scholar] [CrossRef]
- Nasrallah, A.; Baghdadi, N.; El Hajj, M.; Darwish, T.; Belhouchette, H.; Faour, G.; Darwich, S.; Mhawej, M. Sentinel-1 data for winter wheat phenology monitoring and mapping. Remote Sens. 2019, 11, 2228. [Google Scholar] [CrossRef]
- Yang, C.; Fraga, H.; van Ieperen, W.; Trindade, H.; Santos, J.A. Effects of climate change and adaptation options on winter wheat yield under rainfed Mediterranean conditions in southern Portugal. Clim. Change 2019, 154, 159–178. [Google Scholar] [CrossRef]
- Arizo-García, P.; Castiñeira-Ibáñez, S.; Cruzado-Campos, E.; Ricarte, B.; Rubio, C.; San Bautista, A. A Standardized Framework for Cleaning Non-Normal Yield Data from Wheat and Barley Crops, and Validation Using Machine Learning Models for Satellite Imagery. Agronomy 2026, 16, 386. [Google Scholar] [CrossRef]
- European Space Agency. Sentinel-2 User Handbook; Technical Report; ESA Standard Document; ESA: Paris, France, 2015. [Google Scholar]
- Kriegler, F.J. Preprocessing transformations and their effects on multspectral recognition. In Proceedings of the Sixth International Symposium on Remote Sesning of Environment, Ann Arbor, MI, USA, 13–16 October 1969; pp. 97–131. [Google Scholar]
- Barnes, E.; Clarke, T.; Richards, S.; Colaizzi, P.; Haberland, J.; Kostrzewski, M.; Waller, P.; Choi, C.; Riley, E.; Thompson, T.; et al. Coincident detection of crop water stress, nitrogen status and canopy density using ground based multispectral data. In Proceedings of the Fifth International Conference on Precision Agriculture, Bloomington, MN, USA, 16–19 July 2000; Volume 1619. [Google Scholar]
- Jordan, C.F. Derivation of leaf-area index from quality of light on the forest floor. Ecology 1969, 50, 663–666. [Google Scholar] [CrossRef]
- Huete, A.; Warrick, A. Assessment of vegetation and soil water regimes in partial canopies with optical remotely sensed data. Remote Sens. Environ. 1990, 32, 155–167. [Google Scholar] [CrossRef]
- Pullanagari, R.; Kereszturi, G.; Yule, I. Mapping of macro and micro nutrients of mixed pastures using airborne AisaFENIX hyperspectral imagery. ISPRS J. Photogramm. Remote Sens. 2016, 117, 1–10. [Google Scholar] [CrossRef]
- Breiman, L. Random forests. Mach. Learn. 2001, 45, 5–32. [Google Scholar] [CrossRef]
- Chen, T.; Guestrin, C. XGBoost: A Scalable Tree Boosting System. In Proceedings of the 22nd ACM SIGKDD International Conference on Knowledge Discovery and Data Mining, San Francisco, CA, USA, 13–17 August 2016; pp. 785–794. [Google Scholar] [CrossRef]
- Bami, Z.; Behnampour, A.; Doosti, H. A New Flexible Train-Test Split Algorithm, an approach for choosing among the Hold-out, K-fold cross-validation, and Hold-out iteration. arXiv 2025, arXiv:2501.06492. [Google Scholar]
- Hatfield, J.L.; Gitelson, A.A.; Schepers, J.S.; Walthall, C.L. Application of spectral remote sensing for agronomic decisions. Agron. J. 2008, 100, S-117–S-131. [Google Scholar] [CrossRef]
- Jacques, D.C.; Kergoat, L.; Hiernaux, P.; Mougin, E.; Defourny, P. Monitoring dry vegetation masses in semi-arid areas with MODIS SWIR bands. Remote Sens. Environ. 2014, 153, 40–49. [Google Scholar] [CrossRef]
- Fita, D.; Rubio, C.; Uris, A.; Castiñeira-Ibáñez, S.; Franch, B.; Tarrazó-Serrano, D.; San Bautista, A. Remote Sensor Images and Vegetation Indices to Optimize Rice Yield Analysis for Specific Growth Stages Within Extensive Data. Appl. Sci. 2025, 15, 3870. [Google Scholar] [CrossRef]
- Arizo-García, P.; Castiñeira-Ibáñez, S.; Tarrazó-Serrano, D.; Franch, B.; Rubio, C.; San Bautista, A. Use of Sentinel-2 Images to Elaborate a VRT Sensor-Based and Map-Based Nitrogen Fertilization in Wheat and Barley Crops. Appl. Sci. 2025, 15, 11646. [Google Scholar] [CrossRef]
- Koparde, S.; Behare, A.; Kasare, S.; Patil, J.; Nadar, K. Crop Yield Prediction for Cereals using Machine Learning. In Advancements in Communication and Systems; Soft Computing Research Society: New Delhi, India, 2024; pp. 407–418. [Google Scholar] [CrossRef]
- Meroni, M.; Waldner, F.; Seguini, L.; Kerdiles, H.; Rembold, F. Yield forecasting with machine learning and small data: What gains for grains? Agric. For. Meteorol. 2021, 308, 108555. [Google Scholar] [CrossRef]
- Morales, A.; Villalobos, F.J. Using machine learning for crop yield prediction in the past or the future. Front. Plant Sci. 2023, 14, 1128388. [Google Scholar] [CrossRef]
- Lobell, D.B.; Thau, D.; Seifert, C.; Engle, E.; Little, B. A scalable satellite-based crop yield mapper. Remote Sens. Environ. 2015, 164, 324–333. [Google Scholar] [CrossRef]
- Hollinger, D.L. Crop Condition and Yield Prediction at the Field Scale with Geospatial and Artificial Neural Network Applications. PhD Thesis, Kent State University, Kent, OH, USA, 2011. [Google Scholar]
- Son, N.T.; Chen, C.F.; Cheng, Y.S.; Toscano, P.; Chen, C.R.; Chen, S.L.; Tseng, K.H.; Syu, C.H.; Guo, H.Y.; Zhang, Y.T. Field-scale rice yield prediction from Sentinel-2 monthly image composites using machine learning algorithms. Ecol. Inform. 2022, 69, 101618. [Google Scholar] [CrossRef]
- Camenzind, M.P.; Yu, K. Multi temporal multispectral UAV remote sensing allows for yield assessment across European wheat varieties already before flowering. Front. Plant Sci. 2024, 14, 1214931. [Google Scholar] [CrossRef]
- Barzin, R.; Pathak, R.; Lotfi, H.; Varco, J.; Bora, G.C. Use of UAS multispectral imagery at different physiological stages for yield prediction and input resource optimization in corn. Remote Sens. 2020, 12, 2392. [Google Scholar] [CrossRef]
- Medar, R.; Rajpurohit, V.S.; Rashmi, B. Impact of training and testing data splits on accuracy of time series forecasting in machine learning. In Proceedings of the 2017 International Conference on Computing, Communication, Control and Automation (ICCUBEA), Pune, India, 17–18 August 2017; pp. 1–6. [Google Scholar] [CrossRef]
- Marshall, M.; Belgiu, M.; Boschetti, M.; Pepe, M.; Stein, A.; Nelson, A. Field-level crop yield estimation with PRISMA and Sentinel-2. ISPRS J. Photogramm. Remote Sens. 2022, 187, 191–210. [Google Scholar] [CrossRef]









| Sentinel-2 Band | Central Wavelength (nm) | Spatial Resolution (m) |
|---|---|---|
| B02—Blue | 450 | 10 |
| B03—Green | 560 | 10 |
| B04—Red | 665 | 10 |
| B05—Vegetation Red-Edge | 705 | 20 |
| B06—Vegetation Red-Edge | 740 | 20 |
| B07—Vegetation Red-Edge | 783 | 20 |
| B08—Near-Infrared (NIR) | 842 | 10 |
| B8A—Narrow NIR | 865 | 20 |
| B11—SWIR | 1610 | 20 |
| B12—SWIR | 2190 | 20 |
| Location | Year | DBH | |||||||
|---|---|---|---|---|---|---|---|---|---|
| 110 | 95 | 80 | 65 | 50 | 35 | 15 | 5 | ||
| Burgos | 2020 | 2/26 | – | 3/27 | – | – | 5/21 | 6/5 | 6/20 |
| 2021 | – | 3/27 | 4/6 | 4/16 | 5/6 | – | 6/15 | 6/25 | |
| 2022 | – | – | – | 4/16 | – | 5/11 | – | 6/15 | |
| 2023 | – | – | 3/27 | 4/6 | 5/1 | – | – | 6/15 | |
| 2024 | – | – | 4/15 | – | 5/10 | 6/4 | 6/24 | 7/4 | |
| Córdoba | 2021 | – | 2/15 | 3/2 | 3/12 | 4/1 | – | 5/1 | 5/16 |
| 2022 | 2/15 | 3/2 | – | – | 4/16 | 5/1 | 5/26 | 5/31 | |
| 2023 | – | 3/2 | 3/22 | 4/3 | 4/18 | 5/1 | – | 6/5 | |
| 2024 | 1/21 | 2/2 | 2/20 | 3/6 | – | – | – | 5/10 | |
| León | 2023 | – | 3/27 | 4/6 | 4/16 | 5/6 | 5/16 | – | 6/25 |
| 2024 | – | 4/10 | 4/20 | 4/20 | 5/10 | 5/25 | 6/24 | 7/4 | |
| Sevilla | 2020 | 2/3 | 2/16 | 2/28 | 3/12 | 4/1 | – | 5/6 | 5/21 |
| Soria | 2021 | - | 3/24 | 4/8 | 4/8 | 5/8 | 5/8 | 6/12 | 6/12 |
| 2023 | 3/4 | – | 4/3 | 4/18 | – | 5/18 | – | 6/27 | |
| 2024 | – | – | 4/12 | 4/22 | – | – | – | 7/1 | |
| Palencia | 2020 | 2/26 | – | 3/27 | – | – | 5/21 | 6/5 | 6/20 |
| 2021 | – | 3/27 | 4/6 | 4/16 | 5/6 | – | 6/15 | 6/25 | |
| 2022 | – | – | – | 4/6 | – | 5/11 | 5/26 | 6/15 | |
| 2023 | – | – | 3/27 | – | 5/1 | – | – | 6/15 | |
| 2024 | – | 4/15 | 4/15 | 5/10 | 5/10 | 6/4 | 6/24 | 7/4 | |
| Valladolid | 2020 | 2/21 | – | – | – | – | 5/6 | 5/21 | 6/5 |
| 2021 | – | 3/7 | 3/17 | 4/6 | 4/16 | 5/6 | – | 5/31 | |
| 2023 | 3/12 | 3/27 | 4/6 | – | 5/1 | – | – | 6/25 | |
| Crop | 2020 | 2021 | 2022 | 2023 | 2024 | Total | |
|---|---|---|---|---|---|---|---|
| Records | Records | Records | Records | Records | Records | N (×106) | |
| Wheat | 32,847 | 96,711 | 51,828 | 69,947 | 18,703 | 270,036 | 30.2 |
| Barley | 41,230 | 87,889 | 19,160 | 90,590 | 37,721 | 273,590 | 30.9 |
| Algorithms | Hyperparameter | Range Values | Best HP | |
|---|---|---|---|---|
| Wheat | Barley | |||
| RF | n_estimators | [200, 400, 600, 800, 1000] | 600 | 1000 |
| max_depth | [None, 4, 6, 8, 10, 12] | None | None | |
| min_samples_split | [2, 3, 5, 8, 10] | 8 | 10 | |
| min_samples_leaf | [1, 2, 3, 4, 5] | 5 | 5 | |
| max_features | [“sqrt”, “log2”, 0.3, 0.5, 0.7] | 0.3 | 0.5 | |
| bootstrap | [True, False] | False | True | |
| random_state | – | 42 | 42 | |
| n_jobs | – | −1 | −1 | |
| XGB | n_estimators | [300, 500, 700, 900, 1200] | 900 | 900 |
| learning_rate | [0.01, 0.03, 0.05, 0.08, 0.1, 0.15] | 0.15 | 0.15 | |
| max_depth | [3, 4, 5, 6, 7, 8, 9, 10] | 10 | 10 | |
| subsample | [0.6, 0.7, 0.8, 0.9, 1.0] | 1.0 | 1.0 | |
| colsample_bytree | [0.6, 0.7, 0.8, 0.9, 1.0] | 0.9 | 0.9 | |
| gamma | [0, 0.05, 0.1, 0.2, 0.3] | 0.2 | 0.2 | |
| reg_alpha | [0, 0.1, 0.3, 0.5, 0.8] | 0.1 | 0.1 | |
| reg_lambda | [0.1, 0.3, 0.5, 1.0, 2.0] | 0.5 | 0.5 | |
| random_state | – | 42 | 42 | |
| n_jobs | – | −1 | −1 | |
| Software/Library | Version | Developer/Organization | Official URL |
|---|---|---|---|
| Platforms | |||
| Google Earth Engine | – | https://earthengine.google.com (accessed on 12 January 2025) | |
| QGIS | 3.34.6 | QGIS Development Team | https://qgis.org (accessed on 21 June 2025) |
| Visual Studio Code | 1.101.2 | Microsoft | https://code.visualstudio.com (accessed on 20 October 2025) |
| Languages | |||
| Python | 3.11.7 | Python Software Foundation | https://www.python.org (accessed on 5 January 2025) |
| Python Libraries | |||
| pandas | 2.2.3 | NumFOCUS / Wes McKinney | https://pandas.pydata.org (accessed on 5 March 2025) |
| geopandas | 1.0.1 | GeoPandas contributors | https://geopandas.org (accessed on 21 October 2025) |
| numpy | 2.2.6 | NumPy Developers | https://numpy.org (accessed on 21 October 2025) |
| scikit-learn | 1.6.1 | scikit-learn Developers | https://scikit-learn.org (accessed on 21 October 2025) |
| xgboost | 3.0.5 | XGBoost Developers | https://xgboost.ai (accessed on 21 October 2025) |
| matplotlib | 3.10.3 | Matplotlib Development Team | https://matplotlib.org (accessed on 21 October 2025) |
| seaborn | 0.13.2 | Michael Waskom / PyData | https://seaborn.pydata.org (accessed on 21 October 2025) |
| DBH | V. Dataset | RF | |||
|---|---|---|---|---|---|
| R2 | MAPE | MAE | RMSE | ||
| % | kg·ha−1 | ||||
| 80 | 2020–2023 | 0.876 ± 0.004 | 26.4 ± 5.4 | 403.4 ± 4.5 | 635.6 ± 8.8 |
| 2024 | 0.280 ± 0.016 | 47.7 ± 1.7 | 875.6 ± 13.0 | 1236.5 ± 16.4 | |
| 50 | 2020–2023 | 0.908 ± 0.003 | 19.2 ± 5.6 | 318.8 ± 3.7 | 546.5 ± 9.0 |
| 2024 | 0.664 ± 0.009 | 29.2 ± 0.9 | 627.8 ± 8.1 | 844.7 ± 11.2 | |
| 35 | 2020–2023 | 0.932 ± 0.002 | 16.8 ± 4.0 | 278.0 ± 3.3 | 471.3 ± 8.4 |
| 2024 | 0.747 ± 0.008 | 24.9 ± 0.7 | 559.3 ± 7.5 | 732.5 ± 9.6 | |
| 15 | 2020–2023 | 0.935 ± 0.002 | 16.1 ± 3.8 | 238.5 ± 3.4 | 460.2 ± 7.9 |
| 2024 | 0.782 ± 0.007 | 20.0 ± 0.4 | 519.3 ± 6.7 | 680.1 ± 9.7 | |
| 5 | 2020–2023 | 0.940 ± 0.002 | 15.5 ± 3.8 | 252.4 ± 3.0 | 441.5 ± 8.3 |
| 2024 | 0.771 ± 0.009 | 19.3 ± 0.5 | 515.9 ± 7.6 | 697.2 ± 10.8 | |
| DBH | V. Dataset | XGB | |||
|---|---|---|---|---|---|
| R2 | MAPE | MAE | RMSE | ||
| % | kg·ha−1 | ||||
| 80 | 2020–2023 | 0.886 ± 0.003 | 24.9 ± 4.8 | 392.7 ± 4.4 | 610.2 ± 8.6 |
| 2024 | 0.223 ± 0.016 | 49.5 ± 1.6 | 933.2 ± 12.5 | 1284.9 ± 16.6 | |
| 50 | 2020–2023 | 0.914 ± 0.003 | 18.9 ± 5.3 | 315.4 ± 3.8 | 530.1 ± 8.9 |
| 2024 | 0.683 ± 0.009 | 27.4 ± 0.9 | 621.3 ± 8.0 | 820.9 ± 11.2 | |
| 35 | 2020–2023 | 0.932 ± 0.002 | 17.1 ± 4.0 | 281.9 ± 3.4 | 472.5 ± 8.4 |
| 2024 | 0.747 ± 0.008 | 20.8 ± 0.5 | 555.0 ± 6.7 | 732.5 ± 9.8 | |
| 15 | 2020–2023 | 0.934 ± 0.003 | 16.2 ± 3.8 | 274.3 ± 3.3 | 464.0 ± 9.1 |
| 2024 | 0.766 ± 0.008 | 19.2 ± 0.4 | 520.8 ± 6.9 | 704.8 ± 10.8 | |
| 5 | 2020–2023 | 0.938 ± 0.002 | 15.4 ± 4.1 | 261.4 ± 3.1 | 450.1 ± 8.7 |
| 2024 | 0.707 ± 0.009 | 25.3 ± 0.6 | 588.2 ± 8.1 | 789.3 ± 11.5 | |
| DBH | V. Dataset | RF | |||
|---|---|---|---|---|---|
| R2 | MAPE | MAE | RMSE | ||
| % | kg·ha−1 | ||||
| 80 | 2020–2023 | 0.892 ± 0.003 | 15.3 ± 0.2 | 349.0 ± 3.1 | 497.0 ± 5.5 |
| 2024 | 0.333 ± 0.006 | 92.0 ± 1.3 | 1487.0 ± 9.9 | 1795.7 ± 10.1 | |
| 50 | 2020–2023 | 0.927 ± 0.002 | 11.6 ± 0.1 | 277.1 ± 2.7 | 409.6 ± 5.2 |
| 2024 | 0.689 ± 0.006 | 46.2 ± 0.8 | 924.0 ± 8.6 | 1225.4 ± 11.6 | |
| 35 | 2020–2023 | 0.946 ± 0.002 | 10.1 ± 0.1 | 238.8 ± 2.3 | 351.1 ± 4.9 |
| 2024 | 0.724 ± 0.005 | 37.4 ± 0.7 | 837.7 ± 8.4 | 1154.4 ± 11.0 | |
| 15 | 2020–2023 | 0.955 ± 0.001 | 9.5 ± 0.1 | 230.0 ± 2.2 | 338.8 ± 4.2 |
| 2024 | 0.815 ± 0.004 | 32.3 ± 0.6 | 666.1 ± 7.1 | 945.2 ± 10.3 | |
| 5 | 2020–2023 | 0.955 ± 0.001 | 9.3 ± 0.1 | 216.3 ± 2.1 | 332.0 ± 4.5 |
| 2024 | 0.838 ± 0.003 | 33.0 ± 0.7 | 631.0 ± 6.4 | 886.0 ± 9.7 | |
| DBH | V. Dataset | XGB | |||
|---|---|---|---|---|---|
| R2 | MAPE | MAE | RMSE | ||
| % | kg·ha−1 | ||||
| 80 | 2020–2023 | 0.910 ± 0.002 | 13.6 ± 0.2 | 316.0 ± 3.0 | 452.5 ± 5.2 |
| 2024 | 0.405 ± 0.007 | 83.6 ± 1.2 | 1356.8 ± 10.2 | 1695.8 ± 10.7 | |
| 50 | 2020–2023 | 0.942 ± 0.002 | 10.2 ± 0.1 | 250.2 ± 2.4 | 365.5 ± 4.6 |
| 2024 | 0.759 ± 0.005 | 38.2 ± 0.7 | 798.2 ± 7.2 | 1079.4 ± 10.5 | |
| 35 | 2020–2023 | 0.955 ± 0.001 | 9.0 ± 0.1 | 219.6 ± 2.2 | 321.5 ± 4.3 |
| 2024 | 0.788 ± 0.004 | 32.9 ± 0.6 | 742.4 ± 6.7 | 1013.6 ± 9.8 | |
| 15 | 2020–2023 | 0.958 ± 0.001 | 8.8 ± 0.1 | 212.9 ± 2.1 | 311.2 ± 4.1 |
| 2024 | 0.860 ± 0.003 | 26.6 ± 0.5 | 586.3 ± 5.8 | 822.3 ± 9.7 | |
| 5 | 2020–2023 | 0.961 ± 0.001 | 8.4 ± 0.1 | 203.1 ± 2.0 | 299.1 ± 3.6 |
| 2024 | 0.855 ± 0.003 | 26.0 ± 0.4 | 529.3 ± 5.4 | 744.2 ± 8.8 | |
Disclaimer/Publisher’s Note: The statements, opinions and data contained in all publications are solely those of the individual author(s) and contributor(s) and not of MDPI and/or the editor(s). MDPI and/or the editor(s) disclaim responsibility for any injury to people or property resulting from any ideas, methods, instructions or products referred to in the content. |
© 2026 by the authors. Licensee MDPI, Basel, Switzerland. This article is an open access article distributed under the terms and conditions of the Creative Commons Attribution (CC BY) license.
Share and Cite
Arizo-García, P.; Castiñeira-Ibáñez, S.; Cruzado-Campos, E.; San Bautista, A.; Rubio, C. High-Resolution Wheat and Barley Yield Forecasting Using Multi-Temporal Satellite Time Series and Machine Learning. Agriculture 2026, 16, 516. https://doi.org/10.3390/agriculture16050516
Arizo-García P, Castiñeira-Ibáñez S, Cruzado-Campos E, San Bautista A, Rubio C. High-Resolution Wheat and Barley Yield Forecasting Using Multi-Temporal Satellite Time Series and Machine Learning. Agriculture. 2026; 16(5):516. https://doi.org/10.3390/agriculture16050516
Chicago/Turabian StyleArizo-García, Patricia, Sergio Castiñeira-Ibáñez, Enric Cruzado-Campos, Alberto San Bautista, and Constanza Rubio. 2026. "High-Resolution Wheat and Barley Yield Forecasting Using Multi-Temporal Satellite Time Series and Machine Learning" Agriculture 16, no. 5: 516. https://doi.org/10.3390/agriculture16050516
APA StyleArizo-García, P., Castiñeira-Ibáñez, S., Cruzado-Campos, E., San Bautista, A., & Rubio, C. (2026). High-Resolution Wheat and Barley Yield Forecasting Using Multi-Temporal Satellite Time Series and Machine Learning. Agriculture, 16(5), 516. https://doi.org/10.3390/agriculture16050516

