Next Article in Journal
Diversity of Phenological Characteristics and Fruit Quality of the Chinese Honeyberry (Lonicera caerulea L.) Collection
Previous Article in Journal
Design and Experimentation of High-Throughput Granular Fertilizer Detection and Real-Time Precision Regulation System
Previous Article in Special Issue
Biofortification of Baby Leaf Lettuce with Iron and Zinc: Agronomic and Nutritional Impacts
 
 
Font Type:
Arial Georgia Verdana
Font Size:
Aa Aa Aa
Line Spacing:
Column Width:
Background:
Article

Industrial Hemp Finola Variety Microgreens: A Sustainable Source of Selenium Biofortified Functional Foods

by
Boris Ravnjak
1,
Ivana Varga
1,*,
Manda Antunović
1,
Josipa Jović
2,
Monika Tkalec Kojić
1,
Mariana Casari Parreira
3 and
Antonela Markulj Kulundžić
4
1
Department of Plant Production and Biotechnology, Faculty of Agrobiotechnical Sciences Osijek, Josip Juraj Strossmayer University of Osijek, Vladimira Preloga 1, 31000 Osijek, Croatia
2
Central Agrobiotechnical Analytical Unit—CAAJ, Faculty of Agrobiotechnical Sciences Osijek, Josip Juraj Strossmayer University of Osijek, Vladimira Preloga 1, 31000 Osijek, Croatia
3
Faculty of Agricultural and Environmental Sciences (FCAA), Institute of Research in Agricultural and Environmental Technologies (IITAA), Rua Capitão João D’Ávila, São Pedro, 9700-042 Angra do Heroísmo, Azores, Portugal
4
Department of Industrial Plants Breeding and Genetics, Agricultural Institute Osijek, 31000 Osijek, Croatia
*
Author to whom correspondence should be addressed.
Agriculture 2026, 16(3), 292; https://doi.org/10.3390/agriculture16030292
Submission received: 30 November 2025 / Revised: 4 January 2026 / Accepted: 22 January 2026 / Published: 23 January 2026
(This article belongs to the Special Issue Greens—Biofortification for Improved Nutritional Quality)

Abstract

The aim of this study was to evaluate the effects of selenium (Se) biofortification on growth, biomass accumulation, and micronutrient composition of industrial hemp (Cannabis sativa L., cv. Finola) microgreens, with emphasis on Se uptake and its distribution among leaves, stems, and roots. Microgreens were subjected to four Se treatments (Se_0, Se_2, Se_4, and Se_6 µmol Se/L), and changes in morphological traits, micronutrient status (Mn, Fe, Cu, Zn), and Se accumulation were assessed. Selenium biofortification had a marked impact on plant morphology and biomass. Stem length decreased by 12–18% under Se treatments compared with the control, whereas root length increased slightly, particularly at Se_2 and Se_4 (up to +6%). Fresh industrial hemp microgreens biomass responded strongly to Se supply, with the highest stem, root, and total fresh mass recorded at Se_4—representing an increase of 15–22% relative to control plants. At the highest Se level (Se_6), biomass declined by approximately 10–14%, indicating potential growth inhibition at excessive Se concentrations. Micronutrient concentrations were significantly affected by Se. Leaf Mn increased from 152 mg kg−1 at Se_0 to 175 mg kg−1 at Se_6 (+15%), while leaf Zn decreased by 20–25% at higher Se exposure. Stems and roots showed similar antagonistic interactions, with Fe and Zn decreasing by up to 30% at elevated Se levels. Conversely, Mn in stems and roots increased with Se up to Se_4, reaching 400 mg kg−1 in roots. Selenium accumulation exhibited a strong linear response to biofortification, with high coefficients of determination (R2 = 0.9685–0.9943), confirming predictable and efficient Se uptake. Correlation analysis revealed strong positive associations among biomass-related traits and distinct interactions among micronutrients, especially the near-perfect correlation between Se and Cu in roots (r ≈ 0.99). Overall, industrial hemp microgreens demonstrate potential for selenium biofortification, provided that selenium application levels remain within safe dietary limits.

1. Introduction

The production of safe food, free from contaminants and rich in essential nutrients, is critical not only for human health but also for the stability of food systems and the overall well-being of future generations. Although microgreens are not a new concept, their importance has increased substantially over the past decade. This trend has been driven in part by global population growth [1,2], which has intensified food insecurity in certain regions, while in urban environments, it has contributed to a rise in diet-related health issues [3,4,5]. Increasing public awareness of nutrition has also encouraged the acceptance of alternative plant-production methods. As a practical solution for healthier diets and accessible, safe food that can be produced without soil, large cultivation areas, or long growing cycles, microgreens have gained growing attention as a promising component of sustainable diets. Another advantage is growing without pesticides and large nutrient inputs [6,7]. Microgreens have gained considerable attention among both consumers and growers. Given their rich nutritional profile and high concentrations of bioactive compounds and phytochemicals, microgreens are considered a form of “superfood” that, beyond their nutritional value, may exert beneficial effects on human health [8].
Moreover, microgreens can be produced locally, year-round, and with minimal resource input, making them suitable for urban and controlled-environment agriculture. Microgreens are young seedlings of edible plants, typically harvested between 7 and 25 days after sowing. Compared to sprouts, microgreens are nutritionally richer, containing higher levels of vitamins, minerals, and dietary fiber due to their more developed tissue structure [9]. These young, edible seedlings of vegetables and herbs contain exceptionally high concentrations of vitamins, minerals, antioxidants, and phytochemicals compared to their mature counterparts. Their rich composition of bioactive compounds—such as polyphenols, carotenoids, and glucosinolates—has been associated with numerous health-promoting effects, including antioxidant, anti-inflammatory, and anticancer activities [9,10]. They also exhibit a longer post-harvest shelf life [11,12]. Microgreens are grown on various substrates such as soil, cellulose, hemp fibers, or coconut coir, with soil or horticultural substrate being the most commonly used medium. They grow under sunlight or artificial lighting (growth lamps), which enables them to develop true leaves and synthesize chlorophyll. This distinguishes them from sprouts, which grow in darkness under controlled temperature and humidity, without light exposure.
Microelements are key components of plant nutrition, necessary for optimal growth and physiological functioning, despite their low concentrations in plants (ranging from ppm to even lower levels in dry matter). For this reason, it is necessary to understand the dynamics of intake, transport, assimilation, and biological interactions of microelements to ensure the highest possible crop productivity [13]. Microgreens are a rich source of numerous important micro- and macronutrients. Their nutritional composition can differ significantly among species. The most common microelements present in microgreens plants are iron (Fe), manganese (Mn), zinc (Zn), copper (Cu), boron (B), molybdenum (Mo), chlorine (Cl), and nickel (Ni) [3]. All of them have a disproportionate importance in numerous biochemical processes. They participate as enzyme cofactors in electron transfer, chlorophyll synthesis, oxidation–reduction reactions, the regulation of osmoregulation, and cell signaling.
Selenium (Se) is an essential trace element required for numerous biochemical and physiological functions in the human body, including antioxidant defense, thyroid hormone metabolism, immune regulation, and cellular protection [14,15]. The recommended daily intake ranges between 55 and 70 μg, whereas chronic intake below 40 μg per day leads to deficiency associated with cardiomyopathies, impaired immune function, oxidative damage, and increased cancer [16,17]. Worldwide, selenium deficiency is common due to generally low concentrations of Se in soils, and it is estimated that more than one billion people cannot meet the recommended intake with diet alone [18,19].
Biofortification of crops has emerged as one of the most effective strategies to increase the dietary intake of micronutrients and improve human health [20,21]. Agronomic biofortification, based on the application of inorganic selenium forms such as selenate and selenite, has shown particular potential for short-cycle crops due to their rapid nutrient uptake and controlled cultivation conditions [22,23,24].
Ranogajec et al. [25] stated that industrial hemp (Cannabis sativa L.) is a highly versatile crop grown across diverse agro-ecological regions and used to produce fibers, paper, biofuels, bioplastics, animal feed, and medicinal products. Its seeds, leaves, shoots, and flowers have been consumed for millennia as foods or food ingredients, valued for their pleasant nutty flavor and occasional mild bitterness. There is limited data about using industrial hemp as microgreens. In a recent study, Pannico et al. [26] analyzed six industrial hemp cultivars grown as microgreens, which showed big varietal differences in organic acids, amino acids, polyphenols, and cannabinoid composition, with ‘Silvana’ exhibiting the highest levels of amino acids and cannflavins, and ‘Finola’ the greatest total polyphenol content and lowest Δ9-THC concentration. Across all cultivars, hemp microgreens remained safely below Δ9-THC limits, highlighting their potential as a novel functional food.
Despite growing interest in microgreens as nutrient-dense functional foods, research on mineral biofortification with selenium (Se) remains limited. Although Se plays important roles in human health, including antioxidant defense and thyroid hormone regulation, its concentration in edible plant tissues is highly variable and strongly influenced by environmental conditions and nutrient availability. Most studies have examined Se uptake in mature plants, whereas information on Se accumulation and its distribution within microgreens is still insufficiently researched. Furthermore, interactions between Se and essential micronutrients such as Mn, Fe, Cu, and Zn during early plant development are not yet fully understood, especially in emerging microgreen species such as industrial hemp. Therefore, the aim of this study was to evaluate selenium (Se) uptake in industrial hemp microgreens following Se biofortification treatment. In addition, the objective was to analyze how different plant tissues of industrial hemp microgreens accumulate Se. Besides Se, the concentrations of other essential microelements were also examined in order to obtain a more comprehensive understanding of the nutritional profile and potential physiological responses of the plants to biofortification.

2. Materials and Methods

2.1. Microgreens Cultivation Under Controlled Environment

The experiment was carried out to evaluate the growth and selenium biofortification potential of Cannabis sativa L. (industrial hemp, cv. Finola) microgreens. The experiment was set up at the Faculty of Agrobiotechnical Sciences Osijek (Croatia) in July and August 2025.
Plastic trays were disinfected with 70% ethanol prior to use. Seeds of industrial hemp were surface sterilized by immersion in a 1% (v/v) sodium hypochlorite (NaOCl) solution for 10 min, followed by thorough rinsing with distilled water to remove any residual disinfectant.
The soil-less growing medium used in this study was Klasmann Potgrond H, a peat-based propagation substrate composed of frozen black sphagnum peat and fine white sphagnum peat, with added GreenFibre® for improved water distribution and structural stability. The substrate had a pH (H2O) of 6 and a nutrient starter fertilization of 1.5 g/L. The Potgrond H substrate contains the following nutrient composition: S—150 mg/L, N—210 mg/L, P2O5—150 mg/L, K2O—270 mg/L, and Mg—100 mg/L. The nutrient concentrations provided for the substrate (P2O5 and K2O) are expressed as oxide forms, following standard fertilizer labeling conventions, and not as elemental phosphorus (P) or potassium (K). Reported physical properties include an electrical conductivity of ~0.45 dS/m, dry bulk density of ~160 kg/m3, and total porosity of approx. 85% (v/v). These values reflect a typical commercial horticultural substrate certified under RHP quality standards. Prior to use, the substrate was sterilized in an autoclave (Tuttnauer) to eliminate potential microbial contamination.
For hemp microgreens, 11 g of seeds per tray were sown. The experiment included eight replicates per treatment.
After sowing, trays were kept in darkness for 72 h to promote uniform germination, and then transferred to a controlled growth chamber set to a 16 h light/8 h dark photoperiod at 24 ± 1 °C, with trays arranged in a randomized block design.

2.2. Microgreens Biofortification Treatment

Irrigation was carried out manually in a dose of 30 mL per tray daily with distilled water to maintain consistent substrate moisture up to the fifth day of the experiment.
After this period, surface irrigation was discontinued once the roots reached the lower substrate layer. From that point onward, irrigation was applied from below, by adding water or nutrient solution to containers placed beneath the trays, allowing uptake through the root zone.
Selenium biofortification was therefore conducted via root absorption. Aqueous solutions of sodium selenate (Na2SeO4) were supplied through the bottom irrigation system in equal volumes for all treatments. For the biofortification Se treatment, Na2SeO4 solution was used instead of plain water, in the concentrations: Se_0 (control, distilled water), Se_2 with 2 µmol Se L−1, Se_4 with 4 µmol Se L−1, and Se_6 with 6 µmol Se L−1. Each treatment contained eight replicates.
The biofortification treatment was applied from day five until day nine after sowing, after which the industrial hemp microgreens were harvested and morphological parameters were determined. No commercial liquid fertilizer containing selenium was used in this study. Selenium was supplied exclusively through controlled application of sodium selenate solutions.

2.3. Microgreens Harvest

After nine days from sowing, the microgreens were harvested. The plants were gently washed with tap water to remove any adhering substrate particles and then separated into roots, stems, and leaves for individual measurements.
The root and stem lengths were measured manually using a ruler, and the fresh weight of each plant part was recorded immediately. Morphological characteristics and biomass measurements were determined on ten plants per replicate, with four replicates used for these analyses. The remaining plants and four replicates were used for elemental analysis. In all samples, roots, stems, and leaves were separated, dried at 70 °C until constant weight, ground into a fine powder, and stored in a dry environment until analysis of microelements and selenium content in each plant organ.

2.4. Microelements Determination

The content of microelements was determined using Inductively Coupled Plasma Optical Emission Spectrometry (ICP-OES) (Perkin Elmer, Optima 2100 DV, Shelton, CT, USA). Analyses were performed separately for each plant organ—root, stem, and leaf. Before analysis, the dried and homogenized plant material was digested with concentrated nitric acid (HNO3) using a microwave digestion system. The following elements were quantified: manganese (Mn), iron (Fe), copper (Cu), and zinc (Zn), with concentrations expressed in mg kg−1, and selenium (Se), expressed in μg kg−1.

2.5. Biometric Approach

Data were analyzed using SAS Enterprise Guide 7.1. One-way ANOVA was conducted to analyze the influence of Se biofortification on morphological parameters. For the post hoc test, Fisher’s test was used at a probability level of 0.05 to determine differences between the means. The GLM model (general linear model) was used for two-way ANOVA analysis for nutrient status of different microgreens plant tissues, as well as their interaction. Bonferroni was used as an adjustment method for comparison. Post hoc Pairwise t-test was used as a comparison, with the level of significance of p ≤ 0.05. Regression analysis was performed to analyze the relationship between Se biofortification and accumulation in different microgreens plant tissues. Additionally, a Heat map was created using Chi plot [27] programmer to determine the Pairwise correlation between morphological parameters and nutrient status in industrial hemp microgreens.

2.6. Contribution to Selenium Dietary Intake

The estimated dietary intake (EDI, mg·day−1) of selenium resulting from the consumption of Se-enriched microgreens was calculated according to the following equation:
EDI   =   CSe   ×   ( P 1000 )
where
CSe is the selenium concentration in the fresh plant material (mg·kg−1 FW), and P represents the assumed portion size of microgreens. In this study, a serving of 20 g FW was considered, consistent with typical consumption quantities reported for microgreens products [28].

3. Results

3.1. Analysis of Variance

The ANOVA of morphological parameters (Table 1), showed that all evaluated morphological parameters, except for total plant length, were significantly affected by the treatments (p < 0.05). The most pronounced differences were observed in the fresh mass of roots, stems, and leaves, indicating that the treatments had a strong influence on biomass accumulation. Although root length exhibited a lower level of significance (p = 0.0027), it was still statistically different among treatments. The root-to-shoot ratio was also significantly affected, suggesting alterations in biomass allocation between belowground and aboveground plant parts.
Based on ANOVA results, all micronutrient statuses in industrial hemp microgreens were very significantly influenced by Se biofortification treatment and microgreen plant tissue (Table 2), with the plant tissue effect being dominant but modulated by Se treatment. The analysis of variance revealed that both Se biofortification and microgreen tissue type, as well as their interaction, had a highly significant effect (p < 0.0001) on the concentrations of all analyzed elements (Mn, Fe, Cu, Zn, and Se). The microgreen tissue factor showed the largest mean square values, indicating that elemental concentrations varied most strongly between different plant tissues. However, the significant Se biofortification × tissue interaction suggests that the response to Se treatment depended on the specific tissue type.

3.2. Industrial Hemp Microgreens Morphology

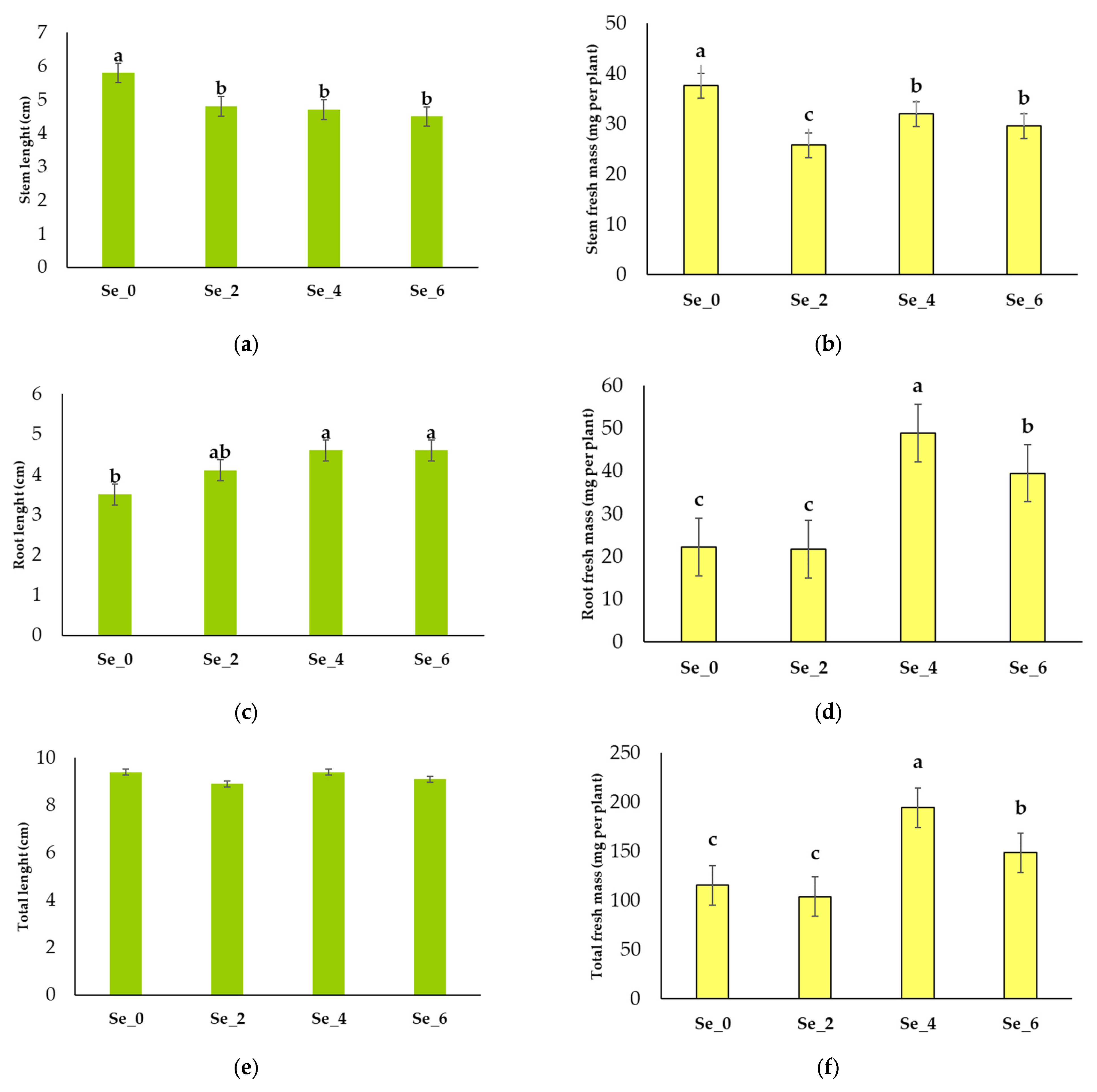
Selenium biofortification had a notable effect on the growth and biomass accumulation of industrial hemp microgreens. Stem length significantly decreased under Se treatments compared with the control (Figure 1a), while root length (Figure 1c) showed a slight increase, particularly at moderate Se levels (Se_2–Se_4). Although total plant length (Figure 1e) remained unaffected, fresh mass parameters responded strongly to Se supply (Figure 1b,d,f). The highest stem, root, and total fresh mass were recorded at Se_4, indicating a stimulatory effect of moderate Se concentration on biomass production (Figure 1b,d,f). At higher Se levels (Se_6) for fresh mass of different industrial hemp microgreens, a decline was observed, suggesting potential growth inhibition due to excessive Se accumulation. Although a reduction in biomass was observed at the highest selenium level (Se6), no visible symptoms of phytotoxicity such as chlorosis, necrosis, or growth deformation were observed in any of the treatments.

3.3. Industrial Hemp Microgreens Micronutrient Status Regarding Se Biofortification Treatments

3.3.1. Leaf Status

Increasing Se biofortification levels (Se_0, Se_2, Se_4, Se_6) have different effects on the concentrations of manganese (Mn), iron (Fe), copper (Cu), and zinc (Zn) in the leaves of industrial hemp microgreens (Figure 2).
Selenium supplementation significantly influenced the accumulation of Mn, since the concentration increased progressively with higher Se treatments (Figure 2a), showing the lowest value at Se_0 (152 mg kg−1), and the highest at Se_6 (175.10 mg kg−1). This indicates a positive relationship between Se application and Mn accumulation, possibly due to improved uptake or enhanced Mn transport to leaf tissues under Se enrichment.
The Fe concentration in industrial hemp microgreens leaves exhibited a declining trend at moderate Se levels (Se_2 and Se_4) (Figure 2b). This suggests a complex interaction between Se and Fe, where excessive Se might initially inhibit Fe uptake but stimulate it again at higher concentrations.
The Cu levels fluctuated slightly, with significantly higher concentrations at Se_0 and Se_4 compared to Se_2 and Se_6 (Figure 2c). The results imply that Se biofortification has a modest but variable effect on Cu accumulation, likely depending on the balance between Se-induced stress and the plant’s physiological adjustments. The Zn content remained relatively stable at lower Se levels but showed a notable decrease at Se_6 (Figure 2d), suggesting that higher Se concentrations may inhibit Zn absorption or translocation to leaf tissues.

3.3.2. Stem Status

The effect of different Se biofortification levels (Se_0, Se_2, Se_4, Se_6) on the concentration of selected micronutrients (Mn, Fe, Cu, and Zn) in industrial hemp microgreen stems is presented in Figure 3. Selenium treatments had a significant influence on the accumulation of all analyzed micronutrients (p ≤ 0.05). The concentration patterns varied among elements, indicating that Se biofortification affected micronutrient uptake and translocation differently. The Mn content was on average 163 mg kg−1 in leaves, 400.91 mg kg−1 in the root, and 108.80 mg kg−1 in the industrial hemp microgreens stem. Stems Mn content increased with increasing Se in all treatments (Figure 3a). This suggests that moderate to high Se supplementation may enhance Mn accumulation or uptake efficiency in hemp microgreens.
The average Fe content in industrial hemp was 151.29 mg kg−1 in leaves, 315.20 mg kg−1 in the root, and 148.54 mg kg−1 in microgreens stems. The Fe concentration decreased significantly with increasing Se levels. The highest Fe content was recorded in the control (Se_0), while the lowest values were observed at Se_4 and Se_6 (Figure 3b), indicating a possible antagonistic interaction between Se and Fe absorption or translocation.
The average Cu content of industrial hemp was 12.00 mg kg−1 in leaves, 16.01 mg kg−1 in the root, and 7.49 mg kg−1 in microgreens stems. The Cu content exhibited a slight decreasing trend with Se enrichment up to Se_4, followed by a mild increase at Se_6 (Figure 3c). Although the changes were modest, this pattern suggests that Cu uptake might be moderately suppressed at intermediate Se levels.
The average Zn content of industrial hemp was 89.29 mg kg−1 in leaves, 364.64 mg kg−1 in the root, and 111.36 mg kg−1 in microgreens stems. Similarly, to Fe, Zn concentration declined significantly as Se levels increased (Figure 3d), with the lowest value at Se_4, followed by a partial recovery at Se_6. This reduction indicates potential competitive interactions between Se and Zn in nutrient uptake or transport pathways.

3.3.3. Root Status

Figure 4 presents the influence of selenium (Se) biofortification levels (Se_0, Se_2, Se_4, Se_6) on the concentration of manganese (Mn), iron (Fe), copper (Cu), and zinc (Zn) in the root of industrial hemp microgreens.
Micronutrient status in industrial hemp microgreens roots resulted in Mn concentration increased with Se biofortification up to Se_4 (Figure 4a), reaching its maximum at this treatment, followed by a decrease at Se_6. This indicates that moderate Se levels enhance Mn uptake, while excessive Se may inhibit its accumulation in roots. The Fe content decreases from Se_0 to Se_4 but increases again at Se_6 in the microgreens root (Figure 4b). This suggests that low to moderate Se concentrations might suppress Fe uptake, whereas higher Se availability may stimulate Fe accumulation or retention in roots.
The Cu concentration showed a steady decline with increasing Se levels, indicating a negative correlation between Se enrichment and Cu accumulation (Figure 4c). This suggests possible competition or antagonism between Se and Cu during uptake or transport processes.
For Zn levels in industrial hemp microgreens root, it was found that Zn decreased progressively with Se treatments, with the highest concentration at Se_0 and the lowest at Se_6 (Figure 4d). This pattern indicates that Se biofortification reduces Zn accumulation in roots, likely due to competition for uptake sites or altered metabolic demand.

3.4. Selenium Content of Industrial Hemp Microgreens and Daily Intake

The distribution of biomass among plant parts was influenced by selenium bio-fortification (Figure 5). With increasing Se concentration, the relative share of roots decreased, while the proportion of leaves increased, indicating a shift in assimilate allocation toward photosynthetic tissues. The stem fraction remained relatively stable across treatments. This suggests that moderate Se supply promoted leaf development and potentially enhanced the photosynthetic capacity of hemp microgreens, while reducing investment in root biomass.
A clear positive relationship between selenium (Se) treatment levels and Se accumulation in all plant tissues of industrial hemp microgreens was determined (Figure 6). As the selenium concentration increases from Se_0 to Se_6, the Se content in roots, stems, and leaves rises significantly, demonstrating the effectiveness of biofortification.
The linear regression equations confirm a strong correlation between Se treatment and Se content for all parts, as indicated by the high R2 values (0.9685 for roots, 0.9943 for stems, and 0.9746 for leaves; all significant at p ≤ 0.01). These high coefficients of determination indicate consistent and predictable uptake patterns across the treatments.

3.5. Correlation Analysis

A correlation analysis showed a significant relationship between nutrient status as well as between morphological parameters (Figure 7). The correlation analysis among plant growth parameters and elemental concentrations revealed several significant relationships.
Strong positive correlations were observed between root length, stem length, and total plant length, indicating that plants with longer roots tend to have taller stems and greater overall length. Similarly, stem mass, leaf mass, and total plant mass showed strong positive correlations, suggesting that biomass accumulation in different plant parts is closely related. The root-to-shoot ratio was negatively correlated with most aboveground traits, indicating that plants investing more in shoot growth allocate proportionally less biomass to roots.
Micronutrient concentrations in leaves (Mn, Fe, Cu, Zn, and Se) showed several strong correlations. For example, Cu and Zn were highly positively correlated, suggesting shared physiological or uptake mechanisms. Conversely, Mn showed negative correlations with Fe and Cu, implying possible antagonistic interactions in nutrient absorption or allocation.
In stems, the metals Fe, Cu, and Zn exhibited very strong positive correlations with each other (r > 0.8), indicating a coordinated accumulation pattern. In contrast, Se in the stem was negatively correlated with these metals, suggesting that higher Se levels may be associated with reduced accumulation of Fe, Cu, and Zn.
A similar trend was observed in roots, where Cu, Zn, and Se were strongly correlated, particularly the extremely high positive correlation between Se and Cu (r ≈ 0.99), reflecting a strong association in root tissue accumulation.
Generally, plant size traits (lengths and masses) were weakly or moderately correlated with element concentrations, suggesting that nutrient accumulation patterns are somewhat independent of plant biomass. However, root mass and Se concentration in tissues showed moderate positive correlations, implying that larger root systems may enhance selenium uptake efficiency.

3.6. Dietary Selenium (Se) Intake

The estimated dietary intake (EDI) of selenium showed a clear and progressive increase with rising Se biofortification levels. In the control treatment (Se_0), the EDI was very low, reaching only 0.40 μg day−1, indicating a negligible contribution to daily selenium requirements (Table 3). The application of 2 μM sodium selenate (Se_2) increased the EDI to 8.00 μg day−1, corresponding to approximately 11–15% of the adult recommended daily intake (55–70 μg day−1). A further increase in Se concentration resulted in substantially higher selenium intake. At 4 μM (Se_4), the EDI reached 23.25 μg day−1, while the highest fortification level (6 μM; Se_6) produced the greatest value of 30.54 μg day−1. This corresponds to roughly 33–55% of the recommended daily intake, depending on the reference value considered. Overall, the results demonstrate that selenium biofortification effectively enhances the amount of selenium supplied by a 20 g serving of microgreens, with the 4 μM and 6 μM treatments providing the most substantial contribution while remaining well within safe intake limits. All estimated selenium intake values remained below the tolerable upper intake level for adults (400 µg day−1), as defined by WHO/FAO, indicating that the applied biofortification levels were nutritionally safe [28].

4. Discussion

In recent years, microgreens have gained considerable attention as highly nutritious functional foods. Microgreens, harvested 7–21 days after germination, contain elevated levels of vitamins, minerals, pigments, and bioactive compounds [29,30,31]. With their short growth cycle, high metabolic activity, and suitability for controlled environments, microgreens represent an ideal system for selenium biofortification studies [32]. Several studies reveal a biofortification treatment for microgreens. Previous research has also investigated selenium biofortification in microgreens, demonstrating that selenium treatments can increase Se content and influence physiological traits in edible microgreen tissues [33]. Based on the results of the present study, industrial hemp microgreens were able to absorb Se from the solution; thus, Se biofortification treatments were successful. Even though there are not many published studies with industrial hemp microgreens, the data of another microgreen’s species with Se biofortification are available. Thus, a similar trend of Se increment with biofortification through watering with Se solutions was recorded by Viltres-Portales et al. [34] in kale (Brassica oleracea L. var. sabellica L.), kohlrabi (Brassica oleracea L. var. gongylodes L.), and wheat (Triticum aestivum L. cv. Bancal) microgreens. Mezeyová et al. [35] found a significant increment of Se in mizuna (Brassica rapa L.), arugula (Eruca vesicaria (L.) Cav., Green Basil (Ocimum basilicum L.), and cress (Lepidium sativum L.) and radish (Raphanus sativus L.) microgreens.
Except for the microgreens, Se biofortification resulted in significant increases in Se in the seedlings of other species as basil (Ocimum basilicum L.), lettuce (Lactuca sativa L.) [36], cucumber (Cucumis Sativus L.), and tomato (Solanum Lycopersicum L. Karst) [37]. Sheikhi et al. [38] found that priming the seeds of Anethum graveolens L. microgreens with 0, 1.5 or 3 mg Se L−1 for 8 h significantly increased selenium accumulation in dill microgreens, both in the greenhouse and in an indoor farm system. The increase is dose-dependent, which means that the amount of accumulated selenium increases with a higher concentration of nutri-priming and priming with 3 mg Se L−1 almost tripled the Se concentration compared to the control. Among the different plant organs, leaves show the highest accumulation of selenium, followed by roots and then stems. According to Zhou et al. [39], for many plant species, Se(VI) enters mesophyll cells via the SULTR transporter and subsequently accumulates in the vacuole, even though the transporter that mediates Se(VI) transport across the tonoplast into the vacuole has yet to be identified. In the present study, this pattern suggests that selenium is efficiently translocated from roots to aerial parts, with leaves serving as the main sink for Se uptake.
Translocation of microelements in plants occurs through the xylem and phloem [1]. The speed and direction of its movement depend on the mobility of the individual element and chemical form. According to Ahmed et al. [40], the concentration and distribution of microelements in the plant vary depending on the element, competition between trace elements, the growth phase, and the organic function of the individual organ. Numerous studies have confirmed variations in the absorption and distribution of microelements among plant organs, including roots, stems, and leaves. In conventional adult plants, the root often serves as a reservoir for some micronutrients and can accumulate poorly mobile elements that bind to cell walls and distributed to different leaf tissues [41]. In microgreens, due to limited root development, root retention capacity is limited. The short growth period of microgreens limits redistribution through the phloem, so concentrations in above-ground organs are often the result of direct root uptake and xylem transport. In the present study, Se biofortification significantly modifies the micronutrient balance in industrial hemp microgreen leaves (Figure 2). While Mn accumulation is enhanced, excessive Se appears to reduce Fe and Cu contents to varying degrees. These findings highlight the importance of optimizing Se levels to achieve beneficial biofortification effects without compromising essential micronutrient homeostasis. Moreover, Se biofortification in industrial hemp microgreens modified micronutrient balance primarily in stem tissue, where Mn accumulation increased while Fe, Cu, and Zn contents were reduced (Figure 3). This highlights the importance of optimizing Se supplementation levels to maintain a favorable micronutrient profile in biofortified microgreens.
Based on the findings of the present study, a strong positive correlation was evident among the biomass-related traits (leaf mass, stem mass, aboveground mass, and total plant mass), indicating that the accumulation of biomass in one plant organ is closely associated with biomass increases in others. Similarly, root length shows a strong positive correlation with total length and root mass, suggesting coordinated growth between the root and shoot systems. Among the elemental traits, strong inter-element correlations are observed, particularly within the same plant tissue. For instance, Fe, Cu, and Zn concentrations in stems and roots are highly correlated, implying shared uptake or transport mechanisms. Selenium (Se) displays both positive and negative correlations with other elements, suggesting a complex interaction between Se accumulation and micronutrient balance. Microgreen leaves are a major site of accumulation of essential microelements, often with higher levels of Fe, Zn, Cu, and Se than in seeds or mature plants [42]. Biofortification by enriching the nutrient medium or by foliar application can be used to increase the levels of specific elements in a targeted manner, with effectiveness depending on the chemical form, concentration, and method of application. Studies have shown that the enrichment of kale microgreens with selenate shows that Se can be significantly increased in the leaf without negatively affecting yield at optimal doses [43]. Chatzistathis et al. [44] found in olive (Olea europaea) that more than 95% of total iron (Fe) and a significant portion of zinc (Zn) were retained in the root system. It suggested that the root acts as a buffer, regulating the availability of these elements in the plant’s above-ground parts. The use of intensive cultivation technologies, such as hydroponics or enriched nutrient media, can lead to faster and greater transport of microelements through the xylem to above-ground organs, thereby reducing the proportion of microelements retained in the roots [45]. At the same time, the stem plays an intermediary role in transport, while the leaves, as the main center of photosynthesis, concentrate the microelements necessary for active metabolism [46].
Higher levels of biofortification resulted in a consistent increase in the estimated dietary intake (EDI) of selenium, which is indicative of microgreens’ effective absorption of selenate. The extremely low EDI in the control treatment is consistent with baseline values in non-fortified leafy vegetables that have been previously reported [34]. With up to ~50% of the daily recommended intake in a 20 g portion, the highest Se doses offered the most nutritionally significant improvement. It has been shown that moderate biofortification effectively increases dietary Se intake while staying within safe thresholds [24,47]. Similar effects have been reported across a variety of Se-enriched crops. There was no risk for consumers because all values stayed well below the acceptable upper intake level. Altogether, data show that Se biofortification is an efficient and safe approach to enhance the nutritional value of microgreens, and its contribution to daily selenium intake can be highly significant. For some other nutrients, there were several studies recorded. Ciriello et al. [48] 2023 did biofortification of tatsoi, coriander, green basil, and purple basil microgreens with iodine (4 and 8 μM) significantly increased tissue iodine concentration, with the highest accumulation observed in tatsoi. Consumption of one serving of 8 μM iodine-biofortified tatsoi could meet 100% of the adult RDA and 38% of the children’s RDA, demonstrating the potential of select microgreens to address hidden hunger. Poudel et al. [49] stated that seed nutri-priming with Zn, particularly using ZnSO4 and ZnO, effectively enhanced Zn accumulation, phytochemical content, and antioxidant activity in pea and sunflower microgreens, while improving Zn bioaccessibility by lowering the phytic acid/Zn molar ratio. ZnSO4 at 200 ppm was the most effective treatment, though its impact on other micronutrients varied by species, highlighting the need to tailor Zn source and concentration to the target microgreen and desired enrichment level [49].

5. Conclusions

Se biofortification proves to be an effective method to enhance Se concentration in hemp biomass, particularly in leaves, which could be beneficial for nutritional or industrial applications where selenium-enriched plant material is desirable. Se biofortification caused element-specific changes in micronutrient composition of industrial hemp microgreen roots. While moderate Se supplementation promoted Mn accumulation, excessive Se reduced Cu and Zn concentrations and modified Fe dynamics. These results highlight the importance of balancing Se application levels to optimize nutrient interactions in the root system.
Selenium biofortification proved to be an effective approach for increasing selenium concentration in industrial hemp microgreens, particularly in leaf tissue. However, the results also indicate that selenium application rates must be carefully managed, as excessive levels may alter the balance of other essential micronutrients. The applied biofortification levels resulted in selenium concentrations that remained within nutritionally safe limits, suggesting that controlled selenium enrichment of microgreens may represent a feasible strategy for improving dietary selenium intake. Nevertheless, further studies are required to optimize selenium doses and to evaluate long-term nutritional and physiological effects.

Supplementary Materials

The following supporting information can be downloaded at: https://www.mdpi.com/article/10.3390/agriculture16030292/s1, Table S1: Pearson Correlation Coefficients.

Author Contributions

Conceptualization, B.R. and I.V.; methodology, B.R., J.J. and M.T.K.; software, I.V.; validation, M.A. and M.C.P.; formal analysis, A.M.K. and I.V.; investigation, B.R. and A.M.K.; resources, M.A.; data curation, I.V., B.R., J.J. and M.T.K.; writing—original draft preparation, I.V., B.R. and M.T.K.; writing—review and editing, B.R., I.V., M.C.P. and A.M.K.; visualization, M.T.K.; supervision, M.A.; project administration, M.A. All authors have read and agreed to the published version of the manuscript.

Funding

This research was a part of the project Innovative seed priming approaches for field crops to enhance bioactive compounds and agronomic traits (INOPRES) 581-UNIOS-19, funded by the European Union—Next Generation EU. However, the views and opinions expressed are solely those of the authors and do not necessarily reflect those of the European Union or the European Commission. Neither the European Union nor the European Commission can be held responsible for them.

Institutional Review Board Statement

Not applicable.

Data Availability Statement

All data and results are listed in the study. The original contributions presented in this study are included in the article. Further inquiries can be directed to the corresponding author.

Conflicts of Interest

The authors declare no conflicts of interest.

References

  1. Zhang, Y.; Xiao, Z.; Ager, E.; Kong, L.; Tan, L. Nutritional quality and health benefits of microgreens, a crop of modern agriculture. J. Future Food 2021, 1, 58–66. [Google Scholar] [CrossRef]
  2. Dubey, S.; Harbourne, N.; Harty, M.; Hurley, D.; Elliott-Kingston, C. Microgreens production: Exploiting environmental and cultural factors for enhanced agronomical benefits. Plants 2024, 13, 2631. [Google Scholar] [CrossRef] [PubMed]
  3. Dhaka, A.S.; Dikshit, H.K.; Mishra, G.P.; Tontang, M.T.; Meena, N.L.; Kumar, R.R.; Ramesh, S.V.; Narwal, S.; Aski, M.; Thimmegowda, V.; et al. Evaluation of growth conditions, antioxidant potential, and sensory attributes of six diverse microgreens species. Agriculture 2023, 13, 676. [Google Scholar] [CrossRef]
  4. Bhaswant, M.; Shanmugam, D.K.; Miyazawa, T.; Abe, C.; Miyazawa, T. Microgreens—A Comprehensive Review of Bioactive Molecules and Health Benefits. Molecules 2023, 28, 867. [Google Scholar] [CrossRef] [PubMed]
  5. Lončarić, Z.; Novaković, I.; Perić, K.; Nemet, F.; Ravnjak, B.; Tkalec Kojić, M.; Pravdić, G.; Ganseberger, M.; Uzelac, I.; Božić, V.; et al. Biological test with four plant species for assessing the suitability of vermicompost and compost as growing media. Poljoprivreda 2024, 30, 25–38. [Google Scholar] [CrossRef]
  6. Ravlić, M.; Baličević, R.; Vinković, Ž.; Brozović, B.; Sarajić, A.; Kranjac, D. The allelopathic potential of ruderal plant species on tomato and lettuce. Poljoprivreda 2024, 30, 3–9. [Google Scholar] [CrossRef]
  7. Varga, I.; Antunović, M.; Kojić, M.T.; Markulj Kulundžić, A.; Iljkić, D.; Baličević, R.; Ravlić, M. Hemp Inflorescence as a Sustainable Biostimulant Tool to Boost Growth and Antioxidant Capacity in Oilseed Pumpkin. Plants 2025, 14, 3473. [Google Scholar] [CrossRef]
  8. Gupta, A.; Sharma, T.; Singh, S.P.; Bhardwaj, A.; Srivastava, D.; Kumar, R. Prospects of microgreens as budding living functional food: Breeding and biofortification through OMICS and other approaches for nutritional security. Front. Genet. 2023, 14, 1053810. [Google Scholar] [CrossRef]
  9. Wojdyło, A.; Nowicka, P.; Tkacz, K.; Turkiewicz, I.P. Sprouts vs. Microgreens as Novel Functional Foods: Variation of Nutritional and Phytochemical Profiles and Their In Vitro Bioactive Properties. Molecules 2020, 25, 4648. [Google Scholar] [CrossRef]
  10. Martínez-Ispizua, E.; Calatayud, Á.; Marsal, J.I.; Cannata, C.; Basile, F.; Abdelkhalik, A.; Soler, S.; Valcárcel, J.V.; Martínez-Cuenca, M.-R. The Nutritional Quality Potential of Microgreens, Baby Leaves, and Adult Lettuce: An Underexploited Nutraceutical Source. Foods 2022, 11, 423. [Google Scholar] [CrossRef]
  11. Mir, S.A.; Shah, M.A.; Mir, M.M. Microgreens: Production, shelf life, and bioactive components. Crit. Rev. Food Sci. Nutr. 2017, 57, 2730–2736. [Google Scholar] [CrossRef] [PubMed]
  12. Mlinarić, S.; Piškor, A.; Melnjak, A.; Mikuška, A.; Šrajer Gajdošik, M.; Begović, L. Antioxidant Capacity and Shelf Life of Radish Microgreens Affected by Growth Light and Cultivars. Horticulturae 2023, 9, 76. [Google Scholar] [CrossRef]
  13. Wawrzyńska, A.; Sirko, A. To Control and to Be Controlled: Understanding the Arabidopsis SLIM1 Function in Sulfur Deficiency through Comprehensive Investigation of the EIL Protein Family. Front. Plant Sci. 2014, 5, 575. [Google Scholar] [CrossRef] [PubMed]
  14. Rayman, M.P. Selenium and human health. Lancet 2008, 372, 375–386. [Google Scholar] [CrossRef]
  15. Dall’Acqua, S.; Ertani, A.; Pilon-Smits, E.; Fabrega-Prats, M.; Schiavon, M. Selenium in human health and disease. Nutrients 2019, 11, 2101. [Google Scholar]
  16. Pannico, A.; Kyriacou, M.C.; El-Nakhel, C.; Graziani, G.; Carillo, P.; Corrado, G.; Ritieni, A.; Rouphael, Y.; De Pascale, S. Hemp microgreens as an innovative functional food: Variation in the organic acids, amino acids, polyphenols, and cannabinoids composition of six hemp cultivars. Food Res. Int. 2022, 161, 111863. [Google Scholar] [CrossRef]
  17. Tangjaidee, P.; Rattanaporn, S.; Chaisawangwong, W.; Wongwattana, R. Selenium-enriched plant foods. Foods 2023, 12, 2646. [Google Scholar] [CrossRef]
  18. Kieliszek, M.; Błażejak, S. Selenium: Significance, and development of biotechnological production. Appl. Microbiol. Biotechnol. 2016, 100, 5383–5397. [Google Scholar] [CrossRef]
  19. Sors, T.G.; Ellis, D.R.; Salt, D.E. Selenium uptake, translocation, assimilation and metabolic fate in plants. Photosynth. Res. 2005, 86, 373–389. [Google Scholar] [CrossRef]
  20. Liu, J.; Qi, W.Y.; Chen, H.; Song, C.; Li, Q.; Wang, S. Selenium Nanoparticles as an Innovative Selenium Fertilizer Exert Less Disturbance to Soil Microorganisms. Front. Microbiol. 2021, 12, 2646. [Google Scholar] [CrossRef]
  21. White, P.J.; Broadley, M.R. Biofortification of crops with seven mineral elements. New Phytol. 2005, 182, 49–84. [Google Scholar] [CrossRef]
  22. Kılıç, S.; Duyar, H. Biofortification: A sustainable approach to fight micronutrient deficiency. J. Food Sci. 2016, 81, R10–R15. [Google Scholar] [CrossRef]
  23. Schiavon, M.; Pilon-Smits, E.A.H. Selenium Biofortification in the 21st Century: Status and Future Perspectives. Agronomy 2020, 10, 1552. [Google Scholar] [CrossRef]
  24. Gupta, M.; Gupta, S. An overview of selenium uptake, metabolism, and toxicity in plants. Front. Plant Sci. 2017, 7, 2074. [Google Scholar] [CrossRef] [PubMed]
  25. Ranogajec, L.; Antunović, M.; Stipešević, B.; Varga, I. A Current Status and Production Potential of Industrial Hemp in Croatia, Based on a SWOT Analysis. Poljoprivreda 2024, 30, 56–63. [Google Scholar] [CrossRef]
  26. Pannico, A.; El-Nakhel, C.; Graziani, G.; Kyriacou, M.C.; Giordano, M.; Soteriou, G.A.; Zarrelli, A.; Ritieni, A.; De Pascale, S.; Rouphael, Y. Selenium Biofortification Impacts the Nutritive Value, Polyphenolic Content, and Bioactive Constitution of Variable Microgreens Genotypes. Antioxidants 2020, 9, 272. [Google Scholar] [CrossRef]
  27. ChiPlot. ChiBioTools. Available online: https://www.chiplot.online/ (accessed on 11 November 2025).
  28. Lenzi, A.; Orlandini, A.; Bulgari, R.; Ferrante, A.; Bruschi, P. Antioxidant and Mineral Composition of Three Wild Leafy Species: A Comparison Between Microgreens and Baby Greens. Foods 2019, 8, 487. [Google Scholar] [CrossRef]
  29. Le, N.T.; Pham, Y.T.-H.; Le, C.T.-K.; Le, L.T.; Le, T.-D.; Dao, H.V.; Ha, T.H.; Kuchipudi, S.V.; Luu, H.N. A U-shaped association between selenium intake and cancer risk. Sci. Rep. 2024, 14, 21378. [Google Scholar] [CrossRef]
  30. Xiao, Z.; Lester, G.E.; Luo, Y.; Wang, Q. Assessment of vitamin and carotenoid concentrations of emerging food products: Edible microgreens. J. Agric. Food Chem. 2012, 60, 7644–7651. [Google Scholar] [CrossRef]
  31. Kyriacou, M.C.; Rouphael, Y.; Di Gioia, F.; Kyratzis, A.; Serio, F.; Renna, M.; De Pascale, S.; Santamaria, P. Micro-scale vegetable production and the rise of microgreens. Trends Food Sci. Technol. 2016, 57, 103–115. [Google Scholar] [CrossRef]
  32. Puccinelli, M.; Pezzarossa, B.; Pintimalli, L.; Malorgio, F. Selenium Biofortification of Three Wild Species, Rumex acetosa L., Plantago coronopus L., and Portulaca oleracea L., Grown as Microgreens. Agronomy 2021, 11, 1155. [Google Scholar] [CrossRef]
  33. Germ, M.; Stibilj, V.; Šircelj, H.; Jerše, A.; Kroflin, A.; Golob, A.; Maršić, N. Biofortification of common buckwheat microgreens and seeds with different forms of selenium and iodine. J. Sci. Food Agric. 2019, 99, 4353–4362. [Google Scholar] [CrossRef] [PubMed]
  34. Viltres-Portales, M.; Sánchez-Martín, M.-J.; Llugany, M.; Boada, R.; Valiente, M. Selenium Biofortification of Microgreens: Influence on Phytochemicals, Pigments and Nutrients. Plant Physiol. Biochem. 2024, 206, 108283. [Google Scholar] [CrossRef] [PubMed]
  35. Mezeyová, I.; Hegedűsová, A.; Golian, M.; Andrejiová, A.; Šlosár, M.; Mezey, J. Influence of Microgreens Biofortification with Selenium on Their Quantitative and Qualitative Parameters. Agronomy 2022, 12, 1096. [Google Scholar] [CrossRef]
  36. Puccinelli, M.; Malorgio, F.; Pintimalli, L.; Rosellini, I.; Pezzarossa, B. Biofortification of Lettuce and Basil Seedlings to Produce Selenium Enriched Leafy Vegetables. Horticulturae 2022, 8, 801. [Google Scholar] [CrossRef]
  37. Businelli, D.; D’Amato, R.; Onofri, A.; Tedeschini, E.; Tei, F. Se-Enrichment of Cucumber (Cucumis sativus L.), Lettuce (Lactuca sativa L.) and Tomato (Solanum lycopersicum L. Karst) through Fortification in Pre-Transplanting. Sci. Hortic. 2015, 197, 697–704. [Google Scholar] [CrossRef]
  38. Sheikhi, H.; Nicola, S.; Delshad, M.; Bulgari, R. Sodium Selenate Biofortification, Through Seed Priming, on Dill Microgreens Grown in Two Different Cultivation Systems. Front. Plant Sci. 2024, 15, 1474420. [Google Scholar] [CrossRef]
  39. Zhou, X.; Yang, J.; Kronzucker, H.J.; Shi, W. Selenium biofortification and interaction with other elements in plants: A review. Front. Plant Sci. 2020, 11, 586421. [Google Scholar] [CrossRef]
  40. Ahmed, N.; Zhang, B.; Chachar, Z.; Li, J.; Xiao, G.; Wang, Q.; Hayat, F.; Deng, L.; Narejo, M.-u.-N.; Bozdar, B.; et al. Micronutrients and their effects on horticultural crop quality, productivity and sustainability. Sci. Hortic. 2024, 323, 112512. [Google Scholar] [CrossRef]
  41. Alejandro, S.; Höller, S.; Meier, B.; Peiter, E. Manganese in Plants: From Acquisition to Subcellular Allocation. Front. Plant Sci. 2020, 11, 517877. [Google Scholar] [CrossRef]
  42. Balik, S.; Elgudayem, F.; Dasgan, H.Y.; Kafkas, N.E.; Gruda, N.S. Nutritional Quality Profiles of Six Microgreens. Sci. Rep. 2025, 15, 6213. [Google Scholar] [CrossRef] [PubMed]
  43. Tavan, M.; Wee, B.; Fuentes, S.; Pang, A.; Brodie, G.; Gonzalez Viejo, C.; Gupta, D. Biofortification of Kale Microgreens with Selenate-Selenium Using Two Delivery Methods: Selenium-Rich Soilless Medium and Foliar Application. Sci. Hortic. 2024, 323, 112522. [Google Scholar] [CrossRef]
  44. Chatzistathis, T.; Therios, I.; Alifragis, D. Differential Uptake, Distribution within Tissues, and Use Efficiency of Manganese, Iron, and Zinc by Olive Cultivars Kothreiki and Koroneiki. HortScience 2009, 44, 1994–1999. [Google Scholar] [CrossRef]
  45. Rajaseger, G.; Chan, K.L.; Tan, K.Y.; Ramasamy, S.; Khin, M.C.; Amaladoss, A.; Haribhai, P.K. Hydroponics: Current Trends in Sustainable Crop Production. Bioinformation 2023, 19, 925–938. [Google Scholar] [CrossRef]
  46. Morales, F.; Ancín, M.; Fakhet, D.; González-Torralba, J.; Gámez, A.L.; Seminario, A.; Soba, D.; Ben Mariem, S.; Garriga, M.; Aranjuelo, I. Photosynthetic Metabolism under Stressful Growth Conditions as a Basis for Crop Breeding and Yield Improvement. Plants 2020, 9, 88. [Google Scholar] [CrossRef]
  47. Bazmi, R.R.; Panichayupakaranant, P. The Role of Roots, Stems, and Leaves in Plant Function: Structural and Physiological Perspectives for Optimized Plant Growth. Aust. Herbal. Insight Res. 2023, 1, 1–5. [Google Scholar] [CrossRef]
  48. Ciriello, M.; Formisano, L.; El-Nakhel, C.; Zarrelli, A.; Giordano, M.; De Pascale, S.; Kyriacou, M.; Rouphael, Y. Iodine biofortification of four microgreens species and its implications for mineral composition and potential contribution to the recommended dietary intake of iodine. Sci. Hortic. 2023, 320, 112229. [Google Scholar] [CrossRef]
  49. Poudel, P.; Di Gioia, F.; Lambert, J.D.; Connolly, E.L. Zinc biofortification through seed nutri-priming using alternative zinc sources and concentration levels in pea and sunflower microgreens. Front. Plant Sci. 2023, 14, 1177844. [Google Scholar] [CrossRef]
Figure 1. Industrial hemp microgreens morphological parameters in relation to Se biofortification: (a) Stem length (cm); (b) Stem fresh mass per plant (mg/plant); (c) Root length (cm); (d) Root fresh mass per plant (mg/plant); (e) Total microgreens length (cm); (f) Total microgreen fresh mass per plant (mg/plant). Different letters represent significant differences at p ≤ 0.05. Error bars represent standard error (p ≤ 0.05).
Figure 1. Industrial hemp microgreens morphological parameters in relation to Se biofortification: (a) Stem length (cm); (b) Stem fresh mass per plant (mg/plant); (c) Root length (cm); (d) Root fresh mass per plant (mg/plant); (e) Total microgreens length (cm); (f) Total microgreen fresh mass per plant (mg/plant). Different letters represent significant differences at p ≤ 0.05. Error bars represent standard error (p ≤ 0.05).
Agriculture 16 00292 g001
Figure 2. Micronutrient status of industrial hemp microgreen leaf in relation to Se biofortification: (a) Mn (mg kg−1); (b) Fe (mg kg−1); (c) Cu (mg kg−1); (d) Zn (mg kg−1). Different letters represent significant differences at p ≤ 0.05. Error bars represent standard error (p ≤ 0.05).
Figure 2. Micronutrient status of industrial hemp microgreen leaf in relation to Se biofortification: (a) Mn (mg kg−1); (b) Fe (mg kg−1); (c) Cu (mg kg−1); (d) Zn (mg kg−1). Different letters represent significant differences at p ≤ 0.05. Error bars represent standard error (p ≤ 0.05).
Agriculture 16 00292 g002
Figure 3. Micronutrient status of industrial hemp microgreen stem in relation to Se biofortification: (a) Mn (mg kg−1); (b) Fe (mg kg−1); (c) Cu (mg kg−1); (d) Zn (mg kg−1). Different letters represent significant differences at p ≤ 0.05. Error bars represent standard error (p ≤ 0.05).
Figure 3. Micronutrient status of industrial hemp microgreen stem in relation to Se biofortification: (a) Mn (mg kg−1); (b) Fe (mg kg−1); (c) Cu (mg kg−1); (d) Zn (mg kg−1). Different letters represent significant differences at p ≤ 0.05. Error bars represent standard error (p ≤ 0.05).
Agriculture 16 00292 g003
Figure 4. Micronutrient status of industrial hemp microgreen root in relation to Se biofortification: (a) Mn (mg kg−1); (b) Fe (mg kg−1); (c) Cu (mg kg−1); (d) Zn (mg kg−1). Different letters represent significant differences at p ≤ 0.05. Error bars represent standard error (p ≤ 0.05).
Figure 4. Micronutrient status of industrial hemp microgreen root in relation to Se biofortification: (a) Mn (mg kg−1); (b) Fe (mg kg−1); (c) Cu (mg kg−1); (d) Zn (mg kg−1). Different letters represent significant differences at p ≤ 0.05. Error bars represent standard error (p ≤ 0.05).
Agriculture 16 00292 g004
Figure 5. Percentage distribution of selenium content among different plant organs of industrial hemp microgreens under selenium biofortification treatments.
Figure 5. Percentage distribution of selenium content among different plant organs of industrial hemp microgreens under selenium biofortification treatments.
Agriculture 16 00292 g005
Figure 6. Linear regression of Se biofortification and Se uptake by different industrial hemp plant tissues.
Figure 6. Linear regression of Se biofortification and Se uptake by different industrial hemp plant tissues.
Agriculture 16 00292 g006
Figure 7. Heat map showing relationships among morphological and mineral composition traits. Color intensity indicates the magnitude and direction of Pearson’s correlation coefficient (r): green/teal tones denote positive correlations, brown/orange tones denote negative correlations, and near-white indicates weak or no correlation. Exact correlation coefficients (r) and corresponding significance values are provided in Table S1.
Figure 7. Heat map showing relationships among morphological and mineral composition traits. Color intensity indicates the magnitude and direction of Pearson’s correlation coefficient (r): green/teal tones denote positive correlations, brown/orange tones denote negative correlations, and near-white indicates weak or no correlation. Exact correlation coefficients (r) and corresponding significance values are provided in Table S1.
Agriculture 16 00292 g007
Table 1. One-way ANOVA results of morphological parameters of industrial hemp microgreens in relation to biofortification treatment.
Table 1. One-way ANOVA results of morphological parameters of industrial hemp microgreens in relation to biofortification treatment.
ParameterF ValuePr > FMean
Stem length15.34<0.00014.97 cm
Root length4.910.00274.23 cm
Total length0.53ns9.20 cm
Stem fresh mass13.77<0.000131.25 mg per plant
Root fresh mass30.750.033133.09 mg per plant
Leaves fresh mass36.42<0.000176.41 mg per plant
Above-ground fresh mass31.51<0.0001107.53 mg per plant
Total plant fresh mass43.35<0.0001140.62 mg per plant
Root to shoot ratio12.69<0.00010.89
Table 2. Two-way ANOVA and interaction results of nutrient status in industrial hemp microgreens in relation to biofortification treatment and plant tissue.
Table 2. Two-way ANOVA and interaction results of nutrient status in industrial hemp microgreens in relation to biofortification treatment and plant tissue.
ElementSourceMean SquareF ValuePr > F
MnSe Biofortification1806121.00<0.0001
Microgreen tissue289,36019,384.0<0.0001
Se Biofortification × Microgreen tissue94463.21<0.0001
FeSe Biofortification5334192.08<0.0001
Microgreen tissue109,3033935.93<0.0001
Se Biofortification × Microgreen tissue232583.73<0.0001
CuSe Biofortification7314.67<0.0001
Microgreen tissue2189106.25<0.0001
Se Biofortification × Microgreen tissue3.4143.12<0.0001
ZnSe Biofortification967482.57<0.0001
Microgreen tissue280,908140,145<0.0001
Se Biofortification × Microgreen tissue611304.90<0.0001
SeSe Biofortification228,677,4152893.21<0.0001
Microgreen tissue60,781,168769.00<0.0001
Se Biofortification × Microgreen tissue12,870,478162.84<0.0001
Table 3. Se concentration in FW and estimated daily intake (EDI) of Se from microgreens consumption.
Table 3. Se concentration in FW and estimated daily intake (EDI) of Se from microgreens consumption.
TreatmentSe Added (mg L−1)Se Concentration in FW
(μg Se·g−1 FW)
EDI
(µg day−1)
Se_000.020.40
Se_220.408.00
Se_441.1623.25
Se_661.5330.54
Disclaimer/Publisher’s Note: The statements, opinions and data contained in all publications are solely those of the individual author(s) and contributor(s) and not of MDPI and/or the editor(s). MDPI and/or the editor(s) disclaim responsibility for any injury to people or property resulting from any ideas, methods, instructions or products referred to in the content.

Share and Cite

MDPI and ACS Style

Ravnjak, B.; Varga, I.; Antunović, M.; Jović, J.; Tkalec Kojić, M.; Parreira, M.C.; Markulj Kulundžić, A. Industrial Hemp Finola Variety Microgreens: A Sustainable Source of Selenium Biofortified Functional Foods. Agriculture 2026, 16, 292. https://doi.org/10.3390/agriculture16030292

AMA Style

Ravnjak B, Varga I, Antunović M, Jović J, Tkalec Kojić M, Parreira MC, Markulj Kulundžić A. Industrial Hemp Finola Variety Microgreens: A Sustainable Source of Selenium Biofortified Functional Foods. Agriculture. 2026; 16(3):292. https://doi.org/10.3390/agriculture16030292

Chicago/Turabian Style

Ravnjak, Boris, Ivana Varga, Manda Antunović, Josipa Jović, Monika Tkalec Kojić, Mariana Casari Parreira, and Antonela Markulj Kulundžić. 2026. "Industrial Hemp Finola Variety Microgreens: A Sustainable Source of Selenium Biofortified Functional Foods" Agriculture 16, no. 3: 292. https://doi.org/10.3390/agriculture16030292

APA Style

Ravnjak, B., Varga, I., Antunović, M., Jović, J., Tkalec Kojić, M., Parreira, M. C., & Markulj Kulundžić, A. (2026). Industrial Hemp Finola Variety Microgreens: A Sustainable Source of Selenium Biofortified Functional Foods. Agriculture, 16(3), 292. https://doi.org/10.3390/agriculture16030292

Note that from the first issue of 2016, this journal uses article numbers instead of page numbers. See further details here.

Article Metrics

Back to TopTop