Observed (1979–2024) and Projected (2030) Climate Trends in Relation to Farmers’ Perceptions in Coffee Cooperatives of Northern Peru
Abstract
1. Introduction
2. Materials and Methods
2.1. Study Area
2.2. Obtaining Climate Data
2.3. Trends, Anomalies, and Climate Modeling
Application of the SARIMA Model
2.4. Farmer Perception Surveys
2.5. Data Analysis
3. Results
3.1. SARIMA Model Performance and Validation
3.2. Current Climate Trends
3.3. Climatic Anomalies
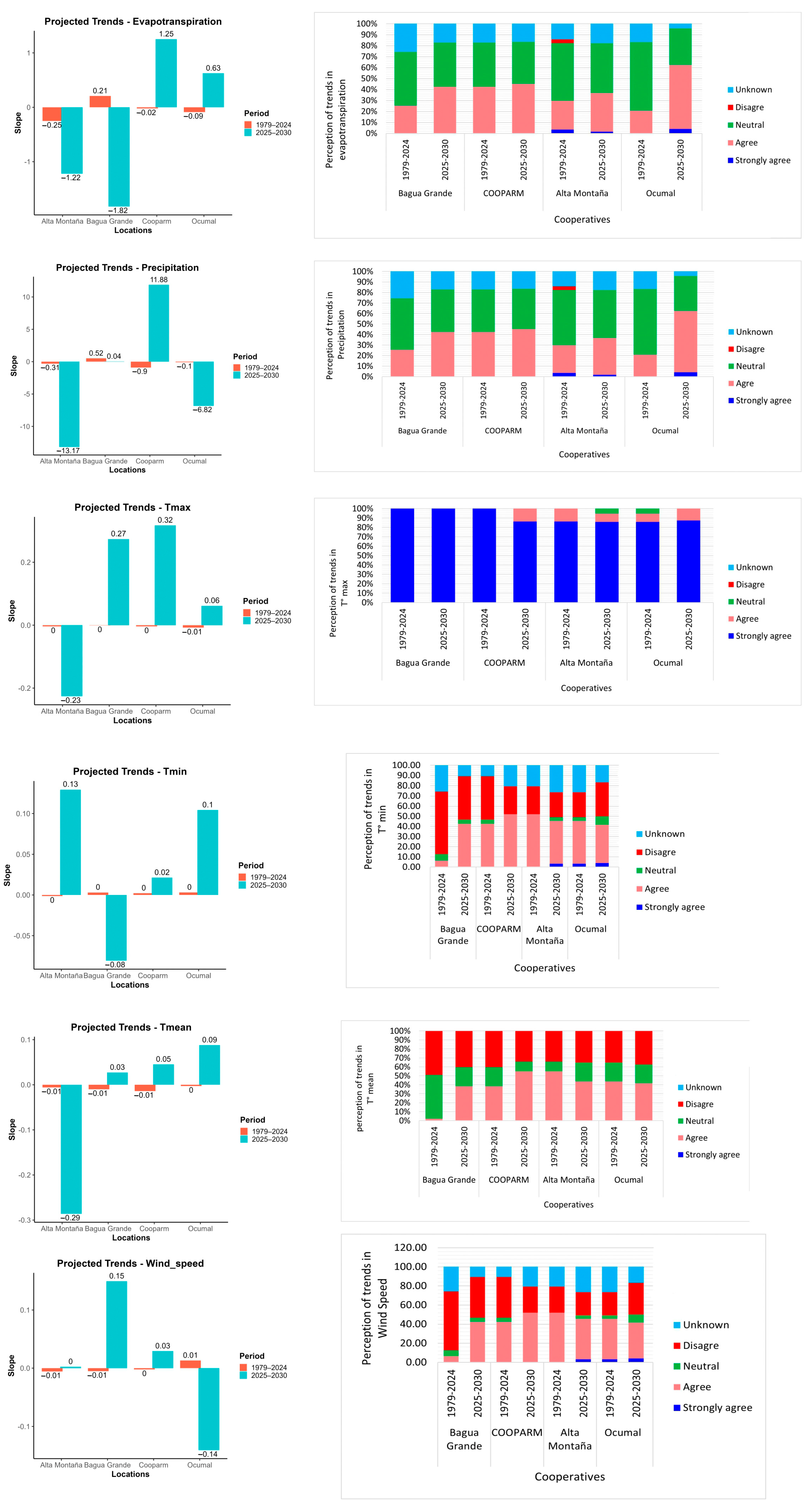
3.4. Projections (2024–2030) of Climate Variables
3.5. Trends Versus Perception (Current Climate)
4. Discussion
4.1. Current Climate Trends
4.2. Anomalies and Time Series
4.3. Perceptions of Coffee Growers in Associations and Cooperatives in the Amazon Region
4.4. Future Limitations
5. Conclusions
Supplementary Materials
Author Contributions
Funding
Institutional Review Board Statement
Data Availability Statement
Acknowledgments
Conflicts of Interest
References
- Pawlak, K.; Kołodziejczak, M. The Role of Agriculture in Ensuring Food Security in Developing Countries: Considerations in the Context of the Problem of Sustainable Food Production. Sustainability 2020, 12, 5488. [Google Scholar] [CrossRef]
- Jiang, W.; Wang, L.; Zhang, M.; Yao, R.; Chen, X.; Gui, X.; Sun, J.; Cao, Q. Analysis of Drought Events and Their Impacts on Vegetation Productivity Based on the Integrated Surface Drought Index in the Hanjiang River Basin, China. Atmos. Res. 2021, 254, 105536. [Google Scholar] [CrossRef]
- Zhong, R.; Chen, X.; Lai, C.; Wang, Z.; Lian, Y.; Yu, H.; Wu, X. Drought Monitoring Utility of Satellite-Based Precipitation Products across Mainland China. J. Hydrol. 2019, 568, 343–359. [Google Scholar] [CrossRef]
- Baca, M.; Läderach, P.; Haggar, J.; Schroth, G.; Ovalle, O. An Integrated Framework for Assessing Vulnerability to Climate Change and Developing Adaptation Strategies for Coffee Growing Families in Mesoamerica. PLoS ONE 2014, 9, e88463. [Google Scholar] [CrossRef]
- DaMatta, F.M.; Ramalho, J.C. Impacts of Drought and Temperature Stress on Coffee Physiology and Production: A Review. Braz. J. Plant Physiol. 2006, 18, 55–81. [Google Scholar] [CrossRef]
- Koh, I.; Garrett, R.; Janetos, A.; Mueller, N.D. Climate Risks to Brazilian Coffee Production. Environ. Res. Lett. 2020, 15, 104015. [Google Scholar] [CrossRef]
- Magrach, A.; Ghazoul, J. Climate and Pest-Driven Geographic Shifts in Global Coffee Production: Implications for Forest Cover, Biodiversity and Carbon Storage. PLoS ONE 2015, 10, e0133071. [Google Scholar] [CrossRef]
- Moat, J.; Williams, J.; Baena, S.; Wilkinson, T.; Gole, T.W.; Challa, Z.K.; Demissew, S.; Davis, A.P. Resilience Potential of the Ethiopian Coffee Sector under Climate Change. Nat. Plants 2017, 3, 17081. [Google Scholar] [CrossRef] [PubMed]
- Arellanos, E.; López, G.M.; Guadalupe, G.A.; García, L.M. Balancing Tree and Crop Biodiversity and Yield in Coffee Plantations of the Peruvian Amazon: The Role of Shade and Certification as Indicators of Sustainable Management. Environ. Chall. 2025, 20, 101223. [Google Scholar] [CrossRef]
- Jaber, M.M.; Ali, M.H.; Abd, S.K.; Jassim, M.M.; Alkhayyat, A.; Aziz, H.W.; Alkhuwaylidee, A.R. Predicting Climate Factors Based on Big Data Analytics Based Agricultural Disaster Management. Phys. Chem. Earth 2022, 128, 103243. [Google Scholar] [CrossRef]
- Birinyi, E.; Lakatos, B.O.; Belényesi, M.; Kristóf, D.; Hetesi, Z.S.; Mrekva, L.; Mikus, G. Contribution of Data-Driven Methods to Risk Reduction and Climate Change Adaptation in Hungary and Beyond. Idojaras 2023, 127, 421–446. [Google Scholar] [CrossRef]
- Alharbi, F.R.; Csala, D. A Seasonal Autoregressive Integrated Moving Average with Exogenous Factors (SARIMAX) Forecasting Model-Based Time Series Approach. Inventions 2022, 7, 94. [Google Scholar] [CrossRef]
- Bouznad, I.E.; Guastaldi, E.; Zirulia, A.; Brancale, M.; Barbagli, A.; Bengusmia, D. Trend Analysis and Spatiotemporal Prediction of Precipitation, Temperature, and Evapotranspiration Values Using the ARIMA Models: Case of the Algerian Highlands. Arab. J. Geosci. 2020, 13, 1281. [Google Scholar] [CrossRef]
- Mondal, S.K.; Ahmmad, M.S.; Khan, S.; Chowdhury, M.H.; Paul, G.K.; Binyamin, M.A.; Gupta, P.S.; Purohit, S.; Chakrabortty, R. Modeling and Forecasting Monthly Humidity in South Asia: A SARIMA Approach. Earth Syst. Environ. 2025, 9, 1285. [Google Scholar] [CrossRef]
- Muthee, S.W.; Kuria, B.T.; Mundia, C.N.; Sichangi, A.W.; Kuria, D.N.; Wanjala, J.A.; Kipkemboi, W.; Goebel, M.; Graw, V.; Rienow, A. Using the SARIMA Model to Predict the Trends of Evapotranspiration and Runoff in the Muringato River Basin, Kenya. Stoch. Environ. Res. Risk Assess. 2023, 37, 4707–4718. [Google Scholar] [CrossRef]
- Caraka, R.E.; Abu Bakar, S.; Tahmid, M. Rainfall Forecasting Multi Kernel Support Vector Regression Seasonal Autoregressive Integrated Moving Average (MKSVR-SARIMA). In Proceedings of the AIP Conference Proceedings, Selangor, Malaysia, 4–6 April 2018; Volume 2111. [Google Scholar]
- Nirmaladevi, S.; Jagatheswari, S. A Data-Driven Machine Learning Framework for Predicting Total Agricultural Food Grain Yield. Results Eng. 2025, 27, 106790. [Google Scholar] [CrossRef]
- Xie, D.; Zheng, Z.; Ding, X.; Wei, L.; Lan, Y. Interpretable Deep Learning Method to Quantify the Impact of Extreme Temperatures on Vegetation Productivity in China. Sci. Rep. 2025, 15, 30631. [Google Scholar] [CrossRef]
- Tapaça, I.D.P.E.; Mavuque, L.; Corti, R.; Pedrazzani, S.; Maquia, I.S.A.; Tongai, C.; Partelli, F.L.; Ramalho, J.C.; Marques, I.; Ribeiro-Barros, A.I.f. Genomic Evaluation of Coffea Arabica and Its Wild Relative Coffea Racemosa in Mozambique: Settling Resilience Keys for the Coffee Crop in the Context of Climate Change. Plants 2023, 12, 2044. [Google Scholar] [CrossRef] [PubMed]
- Chavez, S.G.; Mendoza, M.M.; Caetano, A.C. Antioxidants, Phenols, Caffeine Content and Volatile Compounds in Coffee Beverages Obtained by Different Methods. Food Sci. Technol. 2022, 42, e47022. [Google Scholar] [CrossRef]
- Guadalupe, G.A.; García, L.; Quispe-Sánchez, L.; Doménech, E. The Fault Tree Analysis (FTA) to Support Management Decisions on Pesticide Control in the Reception of Peruvian Parchment Coffee. Food Control 2024, 166, 110729. [Google Scholar] [CrossRef]
- Adhikari, M.; Isaac, E.L.; Paterson, R.R.M.; Maslin, M.A. A Review of Potential Impacts of Climate Change on Coffee Cultivation and Mycotoxigenic Fungi. Microorganisms 2020, 8, 1625. [Google Scholar] [CrossRef]
- Bilen, C.; El Chami, D.; Mereu, V.; Trabucco, A.; Marras, S.; Spano, D. A Systematic Review on the Impacts of Climate Change on Coffee Agrosystems. Plants 2023, 12, 102. [Google Scholar] [CrossRef]
- Grüter, R.; Trachsel, T.; Laube, P.; Jaisli, I. Expected Global Suitability of Coffee, Cashew and Avocado Due to Climate Change. PLoS ONE 2022, 17, e0261976. [Google Scholar] [CrossRef]
- Lara-Estrada, L.; Rasche, L.; Schneider, U.A. Land in Central America Will Become Less Suitable for Coffee Cultivation under Climate Change. Reg. Environ. Chang. 2021, 21, 88. [Google Scholar] [CrossRef]
- Guadalupe, G.A.; Grandez-Yoplac, D.E.; García, L.; Doménech, E. A Comprehensive Bibliometric Study in the Context of Chemical Hazards in Coffee. Toxics 2024, 12, 526. [Google Scholar] [CrossRef]
- García, L.M.; Veneros, J.E.; Oliva-Cruz, M.; Olivares, N.; Chavez, S.G.; Rojas-Briceño, N.B. Construction of Linear Models for the Normalized Vegetation Index (NDVI) for Coffee Crops in Peru Based on Historical Atmospheric Variables from the Climate Engine Platform. Atmosphere 2024, 15, 923. [Google Scholar] [CrossRef]
- Guadalupe, G.A.; Chavez, S.G.; Doménech, E.; García, L. Ecological and Health Risk Assessment of Metals in Organic and Conventional Peruvian Coffee from a Probabilistic Approach. Agronomy 2024, 14, 2817. [Google Scholar] [CrossRef]
- Julca-Otiniano, A.; Alvarado-Huamán, L.; Castro-Cepero, V.; Borjas-Ventura, R.; Gómez-Pando, L.; Pereira, A.P.; Nielen, S.; Ingelbrecht, I.; Silva, M.d.C.; Várzea, V. New Races of Hemileia Vastatrix Detected in Peruvian Coffee Fields. Agronomy 2024, 14, 1811. [Google Scholar] [CrossRef]
- Aristizábal, L.F.; Johnson, M.A.; Mariño, Y.A.; Bayman, P.; Wright, M.G. Establishing an Integrated Pest Management Program for Coffee Berry Borer (Hypothenemus Hampei) in Hawaii and Puerto Rico Coffee Agroecosystems: Achievements and Challenges. Insects 2023, 14, 603. [Google Scholar] [CrossRef]
- Jha, S.; Kaechele, H.; Lana, M.A.; Amjath-Babu, T.S.; Sieber, S. Exploring Farmers’ Perceptions of Agricultural Technologies: A Case Study from Tanzania. Sustainability 2020, 12, 998. [Google Scholar] [CrossRef]
- Muñoz-Rios, L.A.; Vargas-Villegas, J.; Suárez, A. Local Perceptions about Rural Abandonment Drivers in the Colombian Coffee Region: Insights from the City of Manizales. Land Use Policy 2020, 91, 104361. [Google Scholar] [CrossRef]
- Castellanos, E.J.; Tucker, C.M.; Eakin, H.C.; Morales, H.H.; Barrera, J.F.; Díaz, R.M. Assessing the Adaptation Strategies of Farmers Facing Multiple Stressors: Lessons from the Coffee and Global Changes Project in Mesoamerica. Environ. Sci. Policy 2013, 26, 19–28. [Google Scholar] [CrossRef]
- Eakin, H.C.; Tucker, C.M.; Castellanos, E.J.; Diaz-Porras, R.A.; Barrera, J.F.; Morales, H.H. Adaptation in a Multi-Stressor Environment: Perceptions and Responses to Climatic and Economic Risks by Coffee Growers in Mesoamerica. Environ. Dev. Sustain. 2014, 16, 123–139. [Google Scholar] [CrossRef]
- Finnis, J.; Sarkar, A.; Stoddart, M.C.J. Bridging Science and Community Knowledge? The Complicating Role of Natural Variability in Perceptions of Climate Change. Glob. Environ. Chang. 2015, 32, 1–10. [Google Scholar] [CrossRef]
- Beebe, J.R.; Baghramian, M.; Drury, L.O.; Dellsén, F. Divergent Perspectives on Expert Disagreement: Preliminary Evidence from Climate Science, Climate Policy, Astrophysics, and Public Opinion. Environ. Commun. 2019, 13, 35–50. [Google Scholar] [CrossRef]
- Cerda, R.H.; Allinne, C.; Gary, C.; Tixier, P.; Harvey, C.A.; Krolczyk, L.; Mathiot, C.; Clément, E.; Aubertot, J.N.; Avelino, J. Effects of Shade, Altitude and Management on Multiple Ecosystem Services in Coffee Agroecosystems. Eur. J. Agron. 2017, 82, 308–319. [Google Scholar] [CrossRef]
- Guodaar, L.; Bardsley, D.K.; Suh, J. Integrating Local Perceptions with Scientific Evidence to Understand Climate Change Variability in Northern Ghana: A Mixed-Methods Approach. Appl. Geogr. 2021, 130, 102440. [Google Scholar] [CrossRef]
- Gonçalves, C.; Honrado, J.P.; Cerejeira, J.; Sousa, R.; Fernandes, P.M.; Vaz, A.S.; Alves, M.; Araújo, M.; Carvalho-Santos, C.; Fonseca, A.R.; et al. On the Development of a Regional Climate Change Adaptation Plan: Integrating Model-Assisted Projections and Stakeholders’ Perceptions. Sci. Total Environ. 2022, 805, 150320. [Google Scholar] [CrossRef]
- Huntington, J.L.; Hegewisch, K.C.; Daudert, B.; Morton, C.G.; Abatzoglou, J.T.; McEvoy, D.J.; Erickson, T. Climate Engine: Cloud Computing and Visualization of Climate and Remote Sensing Data for Advanced Natural Resource Monitoring and Process Understanding. Bull. Am. Meteorol. Soc. 2017, 98, 2397–2410. [Google Scholar] [CrossRef]
- Foga, S.; Scaramuzza, P.L.; Guo, S.; Zhu, Z.; Dilley, R.D.; Beckmann, T.; Schmidt, G.L.; Dwyer, J.L.; Joseph Hughes, M.; Laue, B. Cloud Detection Algorithm Comparison and Validation for Operational Landsat Data Products. Remote Sens. Environ. 2017, 194, 379–390. [Google Scholar] [CrossRef]
- Zhu, Z.; Woodcock, C.E. Object-Based Cloud and Cloud Shadow Detection in Landsat Imagery. Remote Sens. Environ. 2012, 118, 83–94. [Google Scholar] [CrossRef]
- Dabral, P.P.; Murry, M.Z. Modelling and Forecasting of Rainfall Time Series Using SARIMA. Environ. Process. 2017, 4, 399–419. [Google Scholar] [CrossRef]
- Gocheva-Ilieva, S.G.; Ivanov, A.V.; Voynikova, D.S.; Boyadzhiev, D.T. Time Series Analysis and Forecasting for Air Pollution in Small Urban Area: An SARIMA and Factor Analysis Approach. Stoch. Environ. Res. Risk Assess. 2014, 28, 1045–1060. [Google Scholar] [CrossRef]
- Ebhuoma, O.; Gebreslasie, M.; Magubane, L. A Seasonal Autoregressive Integrated Moving Average (SARIMA) Forecasting Model to Predict Monthly Malaria Cases in Kwazulu-Natal, South Africa. S. Afr. Med. J. 2018, 108, 573–578. [Google Scholar] [CrossRef]
- Dubey, A.K.; Kumar, A.; García-Díaz, V.; Sharma, A.K.; Kanhaiya, K. Study and Analysis of SARIMA and LSTM in Forecasting Time Series Data. Sustain. Energy Technol. Assess. 2021, 47, 101474. [Google Scholar] [CrossRef]
- Loganathan, N.; Ibrahim, Y. Forecasting International Tourism Demand in Malaysia Using Box Jenkins Sarima Application. South Asian J. Tour. Herit. 2010, 3, 50–60. [Google Scholar]
- Dritsakis, N.; Klazoglou, P. International Journal of Economics and Financial Issues Forecasting Unemployment Rates in USA Using Box-Jenkins Methodology. Int. J. Econ. Financ. Issues 2018, 8, 9–20. [Google Scholar]
- Bilgili, M. Trends and Variability in Global Ocean Heat Content Time Series Data for the Period 2005–2035. J. Atmos. Solar Terr. Phys. 2025, 274, 106586. [Google Scholar] [CrossRef]
- Box, G.E.P.; Jenkins, G.M.; Reinsel, G.C. Time Series Analysis: Forecasting and Control, 4th ed.; John Wiley & Sons: Hoboken, NJ, USA, 2013; pp. 1–746. [Google Scholar]
- Cloutier, G.; Joerin, F.; Dubois, C.; Labarthe, M.; Legay, C.; Viens, D. Planning Adaptation Based on Local Actors’ Knowledge and Participation: A Climate Governance Experiment. Clim. Policy 2015, 15, 458–474. [Google Scholar] [CrossRef]
- Mohammed, H.; Al-Sharif, A.-M. Libyan Journal of Medical and Applied Sciences LJMAS Analysis and Evaluation of ARIMA and SARIMA Models Performance in Time Series Forecasting: An Applied Study. Libyan J. Med. Appl. Sci. 2025, 3, 146–157. [Google Scholar]
- Wagenmakers, E.-J.; Farrell, S. AIC Model Selection Using Akaike Weights. Psychon. Bull. Rev. 2004, 11, 192–196. [Google Scholar] [CrossRef]
- Almasi, A.; Jalalian, A.; Toomanian, N.; Student, P. Using OK and IDW Methods for Prediction the Spatial Variability of A Horizon Depth and OM in Soils of Shahrekord, Iran. J. Environ. Earth Sci. 2014, 4, 17–27. [Google Scholar]
- Szostek, K.; Mazur, D.; Drałus, G.; Kusznier, J. Analysis of the Effectiveness of ARIMA, SARIMA, and SVR Models in Time Series Forecasting: A Case Study of Wind Farm Energy Production. Energies 2024, 17, 4803. [Google Scholar] [CrossRef]
- Ray, S.; Das, S.S.; Mishra, P.; Al Khatib, A.M.G. Time Series SARIMA Modelling and Forecasting of Monthly Rainfall and Temperature in the South Asian Countries. Earth Syst. Environ. 2021, 5, 531–546. [Google Scholar] [CrossRef]
- Aliyu, A.S.; Auwal, A.M.; Adenomon, M.O. Application of Sarima Models in Modelling and Forecasting Monthly Rainfall in Nigeria. Asian J. Probab. Stat. 2021, 13, 30–43. [Google Scholar] [CrossRef]
- Pichler, M.; Hartig, F. Machine Learning and Deep Learning—A Review for Ecologists. Methods Ecol. Evol. 2023, 14, 994–1016. [Google Scholar] [CrossRef]
- Haden, V.R.; Niles, M.T.; Lubell, M.N.; Perlman, J.; Jackson, L.E. Global and Local Concerns: What Attitudes and Beliefs Motivate Farmers to Mitigate and Adapt to Climate Change? PLoS ONE 2012, 7, e52882. [Google Scholar] [CrossRef]
- Golzar, J.; Tajik, O. Convenience Sampling. Int. J. Educ. Lang. Stud. 2022, 1, 72–77. [Google Scholar]
- Khanal, B.; Chhetri, D.B. A Pilot Study Approach to Assessing the Reliability and Validity of Relevancy and Efficacy Survey Scale. Janabhawana Res. J. 2024, 3, 35–49. [Google Scholar] [CrossRef]
- Hasnida, N.; Ghazali, M. A Reliability and Validity of an Instrument to Evaluate the School-Based Assessment System: A Pilot Study. Int. J. Eval. Res. Educ. 2016, 5, 148–157. [Google Scholar]
- Ataei, P.; Dastenaei, A.M.; Izadi, N.; Karimi, H.; Menatizadeh, M. Corrigendum to ‘‘The Predictors of Social Capital in Agricultural Consultation, Technical, and Engineering Service Companies” [Heliyon, Volume 10, Issue 1, 15 January 2024, E23853]. Heliyon 2024, 10, e23853. [Google Scholar] [CrossRef] [PubMed]
- Zaremohzzabieh, Z.; Krauss, S.E.; D’Silva, J.L.; Tiraieyari, N.; Ismail, I.A.; Dahalan, D. Towards Agriculture as Career: Predicting Students’ Participation in the Agricultural Sector Using an Extended Model of the Theory of Planned Behavior. J. Agric. Educ. Ext. 2022, 28, 67–92. [Google Scholar] [CrossRef]
- Veneros, J.; Hansen, A.J.; Jantz, P.; Roberts, D.; Noguera-Urbano, E.; García, L. Analysis of Changes in Temperature and Precipitation in South American Countries and Ecoregions: Comparison between Reference Conditions and Three Representative Concentration Pathways for 2050. Heliyon 2025, 11, e42459. [Google Scholar] [CrossRef]
- Wang, K.; Li, Y.; Zhai, X.; Bai, G. A Method for Evaluating the Coal Spontaneous Combustion Index by the Coefficient of Variation and Kruskal–Wallis Test: A Case Study. Environ. Sci. Pollut. Res. 2023, 30, 58956–58966. [Google Scholar] [CrossRef]
- Revilla-León, M.; Gohil, A.; Barmak, B.A.; Gómez-Polo, M.A.; Alonso-Pérez-Barquero, J.; Att, W.; Kois, J.C. Influence of Ambient Temperature Changes on Intraoral Scanning Accuracy. J. Prosthet. Dent. 2023, 130, 755–760. [Google Scholar] [CrossRef]
- Lara Estrada, L.; Rasche, L.; Schneider, U.A. Exploring the Cooling Effect of Shading for Climate Change Adaptation in Coffee Areas. Clim. Risk Manag. 2023, 42, 100562. [Google Scholar] [CrossRef]
- Damatta, F.M.; Avila, R.T.; Cardoso, A.A.; Martins, S.C.V.; Ramalho, J.C. Physiological and Agronomic Performance of the Coffee Crop in the Context of Climate Change and Global Warming: A Review. J. Agric. Food Chem. 2018, 66, 5264–5274. [Google Scholar] [CrossRef]
- Ayugi, B.; Eresanya, E.O.; Onyango, A.O.; Ogou, F.K.; Okoro, E.C.; Okoye, C.O.; Anoruo, C.M.; Dike, V.N.; Ashiru, O.R.; Daramola, M.T.; et al. Review of Meteorological Drought in Africa: Historical Trends, Impacts, Mitigation Measures, and Prospects. Pure Appl. Geophys. 2022, 179, 1365–1386. [Google Scholar] [CrossRef] [PubMed]
- Daramola, M.T.; Eresanya, E.O.; Ishola, K.A. Assessment of the Thermal Response of Variations in Land Surface around an Urban Area. Model. Earth Syst. Environ. 2018, 4, 535–553. [Google Scholar] [CrossRef]
- Zignol, F.; Kjellström, E.; Hylander, K.; Ayalew, B.; Zewdie, B.; Rodríguez-Gijón, A.; Tack, A.J.M. The Understory Microclimate in Agroforestry Now and in the Future–a Case Study of Arabica Coffee in Its Native Range. Agric. For. Meteorol. 2023, 340, 109586. [Google Scholar] [CrossRef]
- Soares Ferreira, D.; Eduardo da Silva Oliveira, M.; Rodrigues Ribeiro, W.; Altoé Filete, C.; Toledo Castanheira, D.; Cesar Pereira Rocha, B.; Polonini Moreli, A.; Catarina da Silva Oliveira, E.; Carvalho Guarçoni, R.; Partelli, F.L.; et al. Association of Altitude and Solar Radiation to Understand Coffee Quality. Agronomy 2022, 12, 1885. [Google Scholar] [CrossRef]
- Getachew, M.; Tolassa, K.; De Frenne, P.; Verheyen, K.; Tack, A.J.M.; Hylander, K.; Ayalew, B.; Boeckx, P. The Relationship between Elevation, Soil Temperatures, Soil Chemical Characteristics, and Green Coffee Bean Quality and Biochemistry in Southwest Ethiopia. Agron. Sustain. Dev. 2022, 42, 61. [Google Scholar] [CrossRef]
- Mohammadi, B.; Vaheddoost, B.; Danandeh Mehr, A. A Spatiotemporal Teleconnection Study between Peruvian Precipitation and Oceanic Oscillations. Quat. Int. 2020, 565, 1–11. [Google Scholar] [CrossRef]
- Rodríguez-Morata, C.; Ballesteros-Canovas, J.A.; Rohrer, M.; Espinoza, J.C.; Beniston, M.; Stoffel, M. Linking Atmospheric Circulation Patterns with Hydro-Geomorphic Disasters in Peru. Int. J. Climatol. 2018, 38, 3388–3404. [Google Scholar] [CrossRef]
- Marengo, J.A.; Espinoza, J.C. Extreme Seasonal Droughts and Floods in Amazonia: Causes, Trends and Impacts. Int. J. Climatol. 2016, 36, 1033–1050. [Google Scholar] [CrossRef]
- Richardson, D.; Kath, J.; Byrareddy, V.M.; Monselesan, D.P.; Risbey, J.S.; Squire, D.T.; Tozer, C.R. Synchronous Climate Hazards Pose an Increasing Challenge to Global Coffee Production. PLoS Clim. 2023, 2, e0000134. [Google Scholar] [CrossRef]
- Bento, M.; De Camargo, P.; Camargo, M.B.P. The Impact of Climatic Variability and Climate Change on Arabic Coffee Crop in Brazil (1) Resumo Impacto da Variabilidade e da Mudança Climática na Produção de Café Arábica No Brasil. Bragantia 2010, 69, 239–247. [Google Scholar]
- Trenberth, K.E. Changes in Precipitation with Climate Change. Clim. Res. 2011, 47, 123–138. [Google Scholar] [CrossRef]
- Westra, S.; Fowler, H.J.; Evans, J.P.; Alexander, L.V.; Berg, P.; Johnson, F.; Kendon, E.J.; Lenderink, G.; Roberts, N.M. Future Changes to the Intensity and Frequency of Short-Duration Extreme Rainfall. Rev. Geophys. 2014, 52, 522–555. [Google Scholar] [CrossRef]
- Peters, V.E.; Carroll, C.R. Temporal Variation in Coffee Flowering May Influence the Effects of Bee Species Richness and Abundance on Coffee Production. Agrofor. Syst. 2012, 85, 95–103. [Google Scholar] [CrossRef]
- Caramanica, A. Prehispanic Arid Zone Farming: Hybrid Flood and Irrigation Systems along the North Coast of Peru. Agronomy 2024, 14, 407. [Google Scholar] [CrossRef]
- Sanabria, J.; Calanca, P.; Alarcón, C.; Canchari, G. Potential Impacts of Early Twenty-First Century Changes in Temperature and Precipitation on Rainfed Annual Crops in the Central Andes of Peru. Reg. Environ. Chang. 2014, 14, 1533–1548. [Google Scholar] [CrossRef]
- García, L.; Veneros, J.; Bolaños-Carriel, C.; Guadalupe, G.A.; Garcia, H.; Mori-Zabarburú, R.C.; Chavez, S.G. Agro-Morphological Traits, Proximate Composition, and Phenotypic Plasticity of Coffea Arabica in Contrasting and Very Close Environments in Northern Peru. Agronomy 2025, 15, 2465. [Google Scholar] [CrossRef]
- Foguesatto, C.R.; Artuzo, F.D.; Talamini, E.; Machado, J.A.D. Understanding the Divergences between Farmer’s Perception and Meteorological Records Regarding Climate Change: A Review. Environ. Dev. Sustain. 2020, 22. [Google Scholar] [CrossRef]
- Simelton, E.; Quinn, C.H.; Batisani, N.; Dougill, A.J.; Dyer, J.C.; Fraser, E.D.G.; Mkwambisi, D.; Sallu, S.; Stringer, L.C. Is Rainfall Really Changing? Farmers’ Perceptions, Meteorological Data, and Policy Implications. Clim. Dev. 2013, 5, 123–138. [Google Scholar] [CrossRef]
- DaMatta, F.M.; Rahn, E.; Läderach, P.; Ghini, R.; Ramalho, J.C. Why Could the Coffee Crop Endure Climate Change and Global Warming to a Greater Extent than Previously Estimated? Clim. Change 2019, 152, 167–178. [Google Scholar] [CrossRef]
- Chemeda, B.A.; Senbeta, F.; Birhane, E. Coffee Farmers’ Perception of Climate Change Trends in Gimbi District, Western Ethiopia. Discov. Sustain. 2025, 6, 111. [Google Scholar] [CrossRef]
- Olana Jawo, T.; Teutscherová, N.; Negash, M.; Sahle, K.; Lojka, B. Smallholder Coffee-Based Farmers’ Perception and Their Adaptation Strategies of Climate Change and Variability in South-Eastern Ethiopia. Int. J. Sustain. Dev. World Ecol. 2023, 30, 533–547. [Google Scholar] [CrossRef]
- Quiroga, S.; Suárez, C.; Solís, J.D. Exploring Coffee Farmers’ Awareness about Climate Change and Water Needs: Smallholders’ Perceptions of Adaptive Capacity. Environ. Sci. Policy 2015, 45, 53–66. [Google Scholar] [CrossRef]
- Capstick, S.; Whitmarsh, L.; Poortinga, W.; Pidgeon, N.; Upham, P. International Trends in Public Perceptions of Climate Change over the Past Quarter Century. Wiley Interdiscip. Rev. Clim. Chang. 2015, 6, 35–61. [Google Scholar] [CrossRef]







| Cooperative Variable | Model | AIC | BIC | MAE | RMSE | MAPE | R | NSE | Pred_SD | Ljung Box_Q | p_Value | H0 Random_Residuals |
|---|---|---|---|---|---|---|---|---|---|---|---|---|
| Bagua Grande | ||||||||||||
| Evapotranspiration | SARIMA (1,0,0) (1,0,0) [12] | 6011.94 | 6029.68 | 25.91 | 29.72 | 30.09 | 0.08 | 0.01 | 29.75 | 10.592 | 0.564 | Not rejected |
| Precipitation | SARIMA (0,0,0) (0,0,0) [12] | 7353.08 | 7361.96 | 76.25 | 87.33 | 206.12 | −0.03 | 0 | 87.4 | 8.278 | 0.763 | Not rejected |
| Tmax | SARIMA (0,0,0) (0,0,0) [12] | 3613.2 | 3622.07 | 3.78 | 4.36 | 14.32 | 0 | 0 | 4.37 | 8.366 | 0.756 | Not rejected |
| Tmean | SARIMA (0,0,0) (0,0,0) [12] | 3072.82 | 3081.69 | 2.42 | 2.83 | 12.53 | 0 | 0 | 2.83 | 14.224 | 0.287 | Not rejected |
| Tmin | SARIMA (0,0,0) (0,0,0) [12] | 3447.75 | 3456.63 | 3.33 | 3.82 | 35.26 | 0 | 0 | 3.82 | 8.086 | 0.778 | Not rejected |
| Wind_speed | SARIMA (1,0,0) (1,0,0) [12] | 3086.43 | 3104.17 | 2.48 | 2.85 | 342.62 | 0.07 | 0 | 2.85 | 9.292 | 0.678 | Not rejected |
| COOPARM | ||||||||||||
| Evapotranspiration | SARIMA (0,0,0) (0,0,0) [12] | 5955.77 | 5964.64 | 24.5 | 28.51 | 32.45 | 0 | 0 | 28.53 | 9.582 | 0.653 | Not rejected |
| Precipitation | SARIMA (1,1,2) (0,0,0) [12] | 7560.16 | 7577.9 | 89.25 | 103.39 | 955.53 | 0.08 | 0 | 103.47 | 11.108 | 0.52 | Not rejected |
| Tmax | SARIMA (0,0,0) (0,0,0) [12] | 3555.77 | 3564.64 | 3.69 | 4.17 | 13.08 | 0 | 0 | 4.17 | 11.712 | 0.469 | Not rejected |
| Tmean | SARIMA (0,0,0) (0,0,0) [12] | 3216.57 | 3225.44 | 2.75 | 3.17 | 13.34 | 0 | 0 | 3.18 | 15.783 | 0.201 | Not rejected |
| Tmin | SARIMA (1,0,1) (2,0,0) [12] | 3524.18 | 3550.79 | 3.49 | 4.04 | 31.98 | 0.15 | 0.02 | 4.04 | 7.858 | 0.796 | Not rejected |
| Wind_speed | SARIMA (0,0,0) (1,0,0) [12] | 2929.41 | 2942.72 | 2.15 | 2.52 | 528.2 | 0.04 | 0 | 2.52 | 9.995 | 0.616 | Not rejected |
| Ata Montaña | ||||||||||||
| Evapotranspiration | SARIMA (0,1,1) (1,0,0) [12] | 5937.35 | 5950.65 | 24.24 | 28.15 | 29.49 | 0.09 | 0 | 28.15 | 7.186 | 0.845 | Not rejected |
| Precipitation | SARIMA (2,1,2) (1,0,0) [12] | 7350.8 | 7377.41 | 74.56 | 87.13 | 223.44 | 0.11 | 0.01 | 87.12 | 2.919 | 0.996 | Not rejected |
| Tmax | SARIMA (0,0,1) (2,0,0) [12] | 3519.55 | 3541.73 | 3.46 | 4.03 | 11.93 | 0.12 | 0.01 | 4.03 | 9.993 | 0.617 | Not rejected |
| Tmean | SARIMA (0,0,0) (0,0,1) [12] | 3220.35 | 3233.66 | 2.74 | 3.18 | 12.55 | 0.06 | 0 | 3.18 | 11.459 | 0.49 | Not rejected |
| Tmin | SARIMA (0,0,0) (1,0,1) [12] | 3492.46 | 3510.21 | 3.39 | 3.95 | 30.61 | 0.05 | 0 | 3.95 | 3.984 | 0.984 | Not rejected |
| Wind_speed | SARIMA (0,0,0) (0,0,0) [12] | 2983.98 | 2992.85 | 2.26 | 2.63 | 365.65 | 0.09 | 0 | 2.64 | 13.235 | 0.352 | Not rejected |
| Ocumal | ||||||||||||
| Evapotranspiration | SARIMA (0,0,0) (1,0,0) [12] | 5865.3 | 5878.61 | 23.27 | 26.47 | 30 | 0.03 | 0 | 26.49 | 8.546 | 0.741 | Not rejected |
| Precipitation | SARIMA (1,0,1) (0,0,0) [12] | 7441.56 | 7459.31 | 80.89 | 93.45 | 4837.48 | 0.06 | 0 | 93.53 | 9.339 | 0.674 | Not rejected |
| Tmax | SARIMA (0,0,0) (1,0,0) [12] | 3344.6 | 3357.9 | 2.99 | 3.51 | 11.12 | 0.03 | 0 | 3.51 | 14.088 | 0.295 | Not rejected |
| Tmean | SARIMA (0,0,1) (0,0,0) [12] | 3216.23 | 3229.54 | 2.74 | 3.17 | 13.85 | 0.08 | 0.01 | 3.17 | 17.263 | 0.14 | Not rejected |
| Tmin | SARIMA (0,0,0) (2,0,0) [12] | 3548.44 | 3566.19 | 3.62 | 4.13 | 37.07 | 0.1 | 0.01 | 4.13 | 9.936 | 0.622 | Not rejected |
| Wind_speed | SARIMA (0,0,0) (1,0,0) [12] | 2816.1 | 2829.4 | 2 | 2.3 | 218.64 | 0.07 | 0 | 2.3 | 22.148 | 0.0359 | rejected |
| Variable | Bagua Grande | COOPARM | Alta Montaña | Ocumal | |
|---|---|---|---|---|---|
| Evapotranspiration (ET, mm) * | Min | 43.9654 | 43.9654 | 34.39 | 43.9654 |
| Date min | 2024-09 | 2024-09 | 2024-09 | 2024-09 | |
| Max | 122.0476 | 122.0476 | 116.13 | 122.0476 | |
| Date Max | 2017-06 | 2017-06 | 2006-04 | 2017-06 | |
| Mean | 92.10389671 a | 92.10389671 b | 78.39671 a | 1.07 × 1026 c | |
| SD | 13.5740936 | 13.5740936 | 16.38526 | 13.55175 | |
| Precipitation (mm) * | Min | 0 | 0 | 43.708 | 0 |
| Date min | 2024-09 | 1986-06 | 2017-07 | 1986-06 | |
| Max | 122.0476 | 420.1671 | 429.67 | 420.1671 | |
| Date Max | 2017-06 | 2023-03 | 2015-03 | 2023-03 | |
| Mean | 70.9293 ab | 59.01239456 a | 177.9084 a | 59.01239 b | |
| SD | 41.57909368 | 57.57166868 | 83.61301 | 57.51764 | |
| T° max (°C) * | Min | 12.53387097 | 12.53387097 | 15.66 | 12.53387 |
| Date min | 1980-07 | 1980-07 | 1990-06 | 1980-07 | |
| Max | 23.96 | 23.96 | 24.44 | 23.96 | |
| Date Max | 2010-11 | 2010-11 | 2010-11 | 2010-11 | |
| Mean | 19.59974461 a | 19.59974461 ab | 19.92645 a | 19.59974 b | |
| SD | 1.709521487 | 1.709521487 | 1.537736 | 1.707989 | |
| T° mean (°C) * | Min | 7.544651613 | 7.544651613 | 11.04 | 7.544652 |
| Date min | 1979-07 | 1979-07 | 1985-07 | 1979-07 | |
| Max | 15.56077667 | 15.56077667 | 16.11 | 15.56078 | |
| Date Max | 2010-11 | 2010-11 | 2024-11 | 2010-11 | |
| Mean | 12.87500059 a | 12.87500059 b | 13.87986 a | 12.875 1212 c | |
| SD | 1.369507871 | 1.369507871 | 0.993355 | 1.36828 | |
| T° min (°C) * | Min | 10.11958065 | 2.546774194 | 7.5 | 2.546774 |
| Date min | 1988-07 | 1979-07 | 2012-07 | 1979-07 | |
| Max | 14.87701935 | 11.75344828 | 12.81 | 11.75345 | |
| Date Max | 2010-10 | 2016-02 | 2024-03 | 2016-02 | |
| Mean | 12.8586236 a | 2016-02 b | 10.21498 a | 8.478155 c | |
| SD | 0.881654541 | 1.709866204 | 1.035252 | 1.708333 | |
| Wind Speed * | Min | 0.426906667 | 0.426906667 | 0.47 | 0.426907 |
| Date min | 1983-04 | 1983-04 | 1983-04 | 1983-04 | |
| Max | 1.163567742 | 5.95 × 1028 | 1.24 | 5.95 × 1028 | |
| Date Max | 2019-08 | 2009-07 | 2019-08 | 2009-07 | |
| Mean | 0.733631499 a | 1.068 × 1026 a | 0.782072 a | 1.07 × 1026 b | |
| SD | 0.132985497 | 2.52 × 1027 | 0.137161 | 2.52 × 1027 |
| Cooperative | Variable | Evapotranspiration | Precipitation | Tmax | Tmean | Tmin | Wind_Speed |
|---|---|---|---|---|---|---|---|
| AltaMontaña | Min | 48.05302302 | 0.434494616 | 23.00300833 | 17.00752882 | 6.003542538 | 0.006285436 |
| DateMin | 1 November 2020 | 1 December 2020 | 1 November 1991 | 1 June 1981 | 1 July 1992 | 1 June 1985 | |
| Max | 144.9125203 | 309.9439812 | 36.98111677 | 27.99537532 | 19.93776844 | 8.976369713 | |
| DateMax | 1 May 1983 | 1 June 2002 | 1 November 1983 | 1 February 1999 | 1 June 2023 | 1 December 2003 | |
| Average | 95.60439162 | 158.6142674 | 29.67638869 | 22.41329524 | 13.13051586 | 4.627356808 | |
| S.D. | 28.01530758 | 87.75208122 | 4.085799118 | 3.183295271 | 3.936008962 | 2.632323437 | |
| BaguaGrande | Min | 50.50615838 | 1.389606901 | 20.07409971 | 15.01565105 | 5.000151252 | 0.006533908 |
| DateMin | 1 May 1996 | 1 June 1995 | 1 November 1993 | 1 December 2016 | 1 November 2012 | 1 March 2021 | |
| Max | 149.9717673 | 299.3802332 | 34.99120589 | 24.98347511 | 17.97167112 | 9.995577033 | |
| DateMax | 1 April 2023 | 1 November 2014 | 1 January 1997 | 1 November 1985 | 1 October 1981 | 1 February 2023 | |
| Average | 100.8092423 | 149.1380067 | 27.3928313 | 19.93580712 | 11.54962908 | 4.933455643 | |
| S.D. | 29.9323363 | 86.65371127 | 4.351245815 | 2.838619491 | 3.816491961 | 2.841762276 | |
| Cooparm | Min | 40.00818876 | 0.042035521 | 22.00190319 | 16.02629234 | 6.000949736 | 0.005012306 |
| DateMin | 1 March 2020 | 1 August 2014 | 1 February 2022 | 1 June 2015 | 1 April 1986 | 1 October 1994 | |
| Max | 139.8918406 | 349.4606941 | 35.99501951 | 26.99298851 | 19.92620896 | 8.938456338 | |
| DateMax | 1 July 2018 | 1 October 2012 | 1 February 1998 | 1 April 2004 | 1 August 1983 | 1 November 2007 | |
| Average | 89.57483702 | 169.1326661 | 29.09500604 | 21.28285054 | 13.07134825 | 4.524747239 | |
| S.D. | 28.48368369 | 102.367741 | 4.169046811 | 3.188797801 | 4.051798079 | 2.522142603 | |
| Ocumal | Min | 45.28445586 | 0.006421716 | 21.04692852 | 15.00308548 | 5.005828772 | 0.05124546 |
| DateMin | 1 October 2018 | 1 January 2017 | 1 May 1997 | 1 January 2015 | 1 September 2016 | 1 January 2022 | |
| Max | 134.841837 | 319.4859225 | 33.99616336 | 25.99530812 | 18.99542233 | 7.998884022 | |
| DateMax | 1 March 1992 | 1 April 2007 | 1 September 1985 | 1 March 1996 | 1 June 1988 | 1 April 2024 | |
| Average | 89.00558561 | 167.9297747 | 27.60149546 | 20.45890102 | 11.85195309 | 4.122180525 | |
| S.D. | 26.27339577 | 93.24425957 | 3.505969928 | 3.214173241 | 4.17345555 | 2.317038392 |
| Cooperative | Evapotranspiration | Precipitation | Tmax | Tmean | Tmin | Wind Speed | |
|---|---|---|---|---|---|---|---|
| Bagua Grande | Mean forecast | 91.1 | 86.52 | 21.4 | 12.78 | 12.85 | 0.77 |
| Lower 95% CI | 71.4 | 24.77 | 19.14 | 9.52 | 11.37 | 0.56 | |
| Upper 95% CI | 110.81 | 148.27 | 23.65 | 16.03 | 14.33 | 0.99 | |
| COOPARM | Mean forecast | 91.1 | 61.66 | 21.4 | 12.78 | 9.14 | 0.77 |
| Lower 95% CI | 71.4 | 6.53 | 19.14 | 9.52 | 4.96 | 0.55 | |
| Upper 95% CI | 110.81 | 116.78 | 23.65 | 16.03 | 13.33 | 0.98 | |
| Alta Montaña | Mean forecast | 69.98 | 193.59 | 22.18 | 14.35 | 10.49 | 0.77 |
| Lower 95% CI | 71.4 | 6.53 | 19.14 | 9.52 | 4.96 | 0.55 | |
| Upper 95% CI | 110.81 | 116.78 | 23.65 | 16.03 | 13.33 | 0.98 | |
| Ocumal | Mean forecast | 56.86 | 210.28 | 21.65 | 13.65 | 9.97 | 0.57 |
| Lower 95% CI | 23.28 | 124.16 | 19.37 | 10.33 | 5.68 | 0.45 | |
| Upper 95% CI | 90.44 | 296.4 | 23.92 | 16.96 | 14.27 | 0.68 |
Disclaimer/Publisher’s Note: The statements, opinions and data contained in all publications are solely those of the individual author(s) and contributor(s) and not of MDPI and/or the editor(s). MDPI and/or the editor(s) disclaim responsibility for any injury to people or property resulting from any ideas, methods, instructions or products referred to in the content. |
© 2025 by the authors. Licensee MDPI, Basel, Switzerland. This article is an open access article distributed under the terms and conditions of the Creative Commons Attribution (CC BY) license.
Share and Cite
Campos Trigoso, J.A.; Rituay, P.; Bustos Chavez, M.d.P.; Ramos-Sandoval, R.; Guadalupe, G.A.; Grandez-Yoplac, D.E.; García, L. Observed (1979–2024) and Projected (2030) Climate Trends in Relation to Farmers’ Perceptions in Coffee Cooperatives of Northern Peru. Agriculture 2026, 16, 57. https://doi.org/10.3390/agriculture16010057
Campos Trigoso JA, Rituay P, Bustos Chavez MdP, Ramos-Sandoval R, Guadalupe GA, Grandez-Yoplac DE, García L. Observed (1979–2024) and Projected (2030) Climate Trends in Relation to Farmers’ Perceptions in Coffee Cooperatives of Northern Peru. Agriculture. 2026; 16(1):57. https://doi.org/10.3390/agriculture16010057
Chicago/Turabian StyleCampos Trigoso, Jonathan Alberto, Pablo Rituay, Meliza del Pilar Bustos Chavez, Rosmery Ramos-Sandoval, Grobert A. Guadalupe, Dorila E. Grandez-Yoplac, and Ligia García. 2026. "Observed (1979–2024) and Projected (2030) Climate Trends in Relation to Farmers’ Perceptions in Coffee Cooperatives of Northern Peru" Agriculture 16, no. 1: 57. https://doi.org/10.3390/agriculture16010057
APA StyleCampos Trigoso, J. A., Rituay, P., Bustos Chavez, M. d. P., Ramos-Sandoval, R., Guadalupe, G. A., Grandez-Yoplac, D. E., & García, L. (2026). Observed (1979–2024) and Projected (2030) Climate Trends in Relation to Farmers’ Perceptions in Coffee Cooperatives of Northern Peru. Agriculture, 16(1), 57. https://doi.org/10.3390/agriculture16010057

