Calibration of DEM Polyhedron Model for Wheat Seed Based on Angle of Repose Test and Semi-Resolved CFD-DEM Coupling Simulation
Abstract
1. Introduction
2. Materials and Methods
2.1. Test Material Characteristics
2.2. Size Analysis and Modelling of Wheat Seed Particles
2.3. Physical Experiments for the Calibration of Intrinsic Parameters
2.3.1. Young’s Modulus and Poisson’s Ratio
2.3.2. Bulk Density
2.4. Physical Experiments for the Calibration of Contact Parameters
2.4.1. Determination of the Friction Coefficient
2.4.2. Determination of the Collision Restitution Coefficient
2.5. Physical Experiments for Calibration of AOR
2.6. Modeling in Rocky DEM Software
2.6.1. Simulation Software and Contact Model
2.6.2. AOR Test Model
2.7. Calibration of Simulation Parameters
2.8. Parameter Optimization and Validation
3. Results
3.1. Plackett–Burman Test
3.2. Steepest Ascent Test
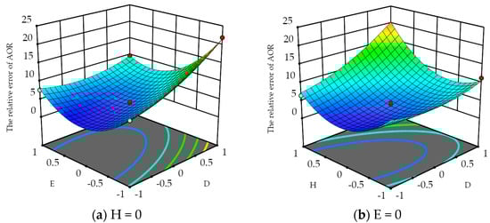
3.3. Box–BehnkenTest
3.4. Verification Test
3.4.1. Verification Test of the AOR
3.4.2. Semi-Resolved CFD-DEM Coupling Simulation and Verification
4. Discussion
4.1. Calibration Methodology and Apparatus
4.2. Discrete Element Method for Particle Modeling
4.3. Validation Testing Methodology
5. Conclusions
- (1)
- The results of the Plackett–Burman test indicate that the static and dynamic friction coefficients of wheat seed have a significant impact on the AOR, whereas dynamic friction coefficient between wheat seed and resin exerts an exceptionally pronounced influence on this parameter.
- (2)
- The results of the Box–Behnken test show the optimized regression model of AOR has good reliability and accuracy. The optimal parameter configuration is as follows: static friction coefficient of wheat particles is 0.15, dynamic friction coefficient of wheat is 0.11694, and the dynamic friction coefficient between wheat and resin is 0.0797. The relative error of the AOR is found to be 2.3%, indicating the errors are small.
- (3)
- The experimental results demonstrate that, although the experimental average ejection velocity is lower than the simulated values, the trends in variation are largely consistent, with a maximum relative error of 4.1%. This suggests that the calibration parameters are robust and suitable for further application in gas–solid two-phase flow studies.
- (4)
- The following challenges and issues warrant attention in future research: Firstly, the geometric variations among different varieties of wheat and the impact of particle size on material fluidity must be considered. Secondly, the three- or four-way CFD-DEM coupling method should be employed to simulate the pneumatic conveying process of wheat seeds. Additionally, the influence of material stacking methods on the AOR should be elucidated.
Author Contributions
Funding
Institutional Review Board Statement
Data Availability Statement
Acknowledgments
Conflicts of Interest
Abbreviations
| CFD | Computational Fluid Dynamics |
| DEM | Discrete Element Method |
| AOR | Angle of repose |
| CT | Computed Tomography |
| ASG | Automatic Sphere-clump Generator |
| LY502 | Lu Yuan No. 502 |
| L | Length |
| W | Width |
| T | Thickness |
| 3D | Three-dimensional |
References
- Zeng, Z.; Ma, X.; Cao, X.; Li, Z.; Wang, X. Critical Review of Applications of Discrete Element Method in Agricultural Engineering. Trans. Chin. Soc. Agric. Mach. 2021, 52, 1–20. [Google Scholar] [CrossRef]
- Ma, S.; Xu, L.; Yuan, Q.; Niu, C.; Zeng, J.; Chen, C.; Wang, S.; Yuan, X. Calibration of discrete element simulation parameters of grapevine antifreezing soil and its interaction with soil-cleaning components. Trans. Chin. Soc. Agric. Eng. 2020, 36, 40–49. [Google Scholar] [CrossRef]
- Yu, Q.; Liu, Y.; Chen, X.; Sun, K.; Lai, Q. Calibration and Experiment of Simulation Parameters for Panax notoginseng Seeds Based on DEM. Trans. Chin. Soc. Agric. Mach. 2020, 51, 123–132. [Google Scholar] [CrossRef]
- Al-Hashemi, H.M.B.; Al-Amoudi, O.S.B. A review on the angle of repose of granular materials. Powder Technol. 2018, 330, 397–417. [Google Scholar] [CrossRef]
- Ma, W.; You, Y.; Wang, D.; Yin, S.; Huan, X. Parameter Calibration of Alfalfa Seed Discrete Element Model Based on RSM and NSGA-II. Trans. Chin. Soc. Agric. Mach. 2020, 51, 136–144. [Google Scholar] [CrossRef]
- Wu, M.; Cong, J.; Yan, Q.; Zhu, T.; Peng, X.; Wang, Y. Calibration and experiments for discrete element simulation parameters of peanut seed particles. Trans. CSAE 2020, 36, 30–38. [Google Scholar] [CrossRef]
- Liu, F.; Zhang, J.; Chen, J. Construction of visco-elasto-plasticity contact model of vibratory screening and its parameters calibration for wheat. Trans. CSAE 2018, 34, 37–43. [Google Scholar] [CrossRef]
- Liu, F.; Zhang, J.; Li, B.; Chen, J. Calibration of parameters of wheat required in discrete element method simulation based on repose angle of particle heap. Trans. CSAE 2016, 32, 247–253. [Google Scholar] [CrossRef]
- Zhang, W.; Wu, W.; Lyu, S.; Wang, X.; Jia, H.; Liu, P.; Hou, N.; Zhao, Q. Experimental calibration of wheat mechanical parameters and contact parameters in milling. J. Henan Univ. Technol. 2023, 44, 105–112. [Google Scholar] [CrossRef]
- Wang, X.F.; Wu, W.B.; Jia, H.P. Calibration of discrete element parameters for simulating wheat crushing. Food Sci. Nutr. 2023, 11, 7751–7764. [Google Scholar] [CrossRef]
- Sugirbay, A.; Hu, G.R.; Chen, J.; Mustafin, Z.; Muratkhan, M.; Iskakov, R.; Chen, Y.; Zhang, S.; Bu, L.X.; Dulatbay, Y.; et al. A Study on the Calibration of Wheat Seed Interaction Properties Based on the Discrete Element Method. Agriculture 2022, 12, 1497. [Google Scholar] [CrossRef]
- Horabik, J.; Wiacek, J.; Parafiniuk, P.; Banda, M.; Kobylka, R.; Stasiak, M.; Molenda, M. Calibration of discrete-element-method model parameters of bulk wheat for storage. Biosyst. Eng. 2020, 200, 298–314. [Google Scholar] [CrossRef]
- Petingco, M.C.; Casada, M.E.; Maghirang, R.G.; Thompson, S.A.; Turner, A.P.; McNeill, S.G.; Montross, M. Discrete element method simulation of wheat bulk density as affected by grain drop height and kernel size distribution. J. Asabe 2022, 65, 555–566. [Google Scholar] [CrossRef]
- Zhou, Y.; Shang, W.Y.; Hui, Y.B.; Shi, C.; Gao, J.; Zhang, Y.Z.; Liu, J.J.; Cheng, D.D.; Zhu, K. Construction of an Accurate Wheat-Grain Model Based on X-ray Tomography and Bonding Parameters by Discrete Element. Appl. Sci. 2023, 13, 9265. [Google Scholar] [CrossRef]
- Chen, Z.P.; Wassgren, C.; Veikle, E.; Ambrose, K. Determination of material and interaction properties of maize and wheat kernels for DEM simulation. Biosyst. Eng. 2020, 195, 208–226. [Google Scholar] [CrossRef]
- Ma, D.X.; Shi, S.; Hou, J.L.; Zhou, J.L.; Li, H.; Li, J.F. Calibration and Experimentation of Discrete Elemental Model Parameters for Wheat Seeds with Different Filled Particle Radii. Appl. Sci. 2024, 14, 2075. [Google Scholar] [CrossRef]
- Lu, C.Y.; Gao, Z.; Li, H.W.; He, J.; Wang, Q.J.; Wei, X.Y.; Wang, X.H.; Jiang, S.; Xu, J.; He, D.; et al. An ellipsoid modelling method for discrete element simulation of wheat seeds. Biosyst. Eng. 2023, 226, 1–15. [Google Scholar] [CrossRef]
- Sun, K.; Yu, J.Q.; Liang, L.S.; Wang, Y.; Yan, D.X.; Zhou, L.; Yu, Y.J. A DEM-based general modelling method and experimental verification for wheat seeds. Powder Technol. 2022, 401, 22. [Google Scholar] [CrossRef]
- Fan, J.H.; Wang, H.W.; Sun, K.; Zhang, L.; Wang, L.; Zhao, J.W.; Yu, J.Q. Experimental verification and simulation analysis of a multi-sphere modelling approach for wheat seed particles based on the discrete element method. Biosyst. Eng. 2024, 245, 135–151. [Google Scholar] [CrossRef]
- Gao, W.; Feng, Y.; Wang, C.Y. A coupled isogeometric/multi-sphere discrete element approach for the contact interaction between irregular particles and structures. Powder Technol. 2023, 430, 12. [Google Scholar] [CrossRef]
- Zhong, W.Q.; Yu, A.B.; Liu, X.J.; Tong, Z.B.; Zhang, H. DEM/CFD-DEM Modelling of Non-spherical Particulate Systems: Theoretical Developments and Applications. Powder Technol. 2016, 302, 108–152. [Google Scholar] [CrossRef]
- Zhang, R.; Zhou, J.; Liu, H.; Shi, S.; Wei, G.; He, T. Determination of Interspecific Contact Parameters of Corn and Simulation Calibration of Discrete Element. Trans. Chin. Soc. Agric. Mach. 2022, 53, 69–77. [Google Scholar] [CrossRef]
- Shi, Q.; Sakai, M. Recent progress on the discrete element method simulations for powder transport systems: A review. Adv. Powder Technol. 2022, 33, 23. [Google Scholar] [CrossRef]
- Ma, H.Q.; Zhou, L.Y.; Liu, Z.H.; Chen, M.Y.; Xia, X.H.; Zhao, Y.Z. A review of recent development for the CFD-DEM investigations of non-spherical particles. Powder Technol. 2022, 412, 62. [Google Scholar] [CrossRef]
- Zhang, C.; Liu, T.; Zheng, Z.; Fang, J.; Xie, X.; Chen, L. Design and test of the precision seeding dispenser with the staggered convex teeth for wheat sowing with wide seedling belt. Trans. CSAE 2024, 40, 47–59. [Google Scholar] [CrossRef]
- Yu, C.; Chen, Z.; Chen, L. Design and Test of Electronic Control Seeding System for Wheat Plot Drill. Trans. Chin. Soc. Agric. Mach. 2023, 54, 75–83. [Google Scholar] [CrossRef]
- Hou, J.; Ma, D.; Li, H.; Zhang, Z.; Zhou, J.; Shi, S. Design and Experiment of Pneumatic Centrifugal Combined Precision Seed Metering Device for Wheat. Trans. Chin. Soc. Agric. Mach. 2023, 54, 35–45. [Google Scholar] [CrossRef]
- Amjad, W.; Chen, Z.; Ambrose, K. Design assessment of grain inverters in cross-flow grain dryer via CFD-DEM numerical simulation. Biosyst. Eng. 2024, 239, 147–157. [Google Scholar] [CrossRef]
- Wang, L.; Yang, H.; Wang, Q.; Lu, C.; Wang, C.; He, J. Design and Experiment of Air-assisted Linear Seeding Device for Wheat. Trans. Chin. Soc. Agric. Mach. 2024, 55, 111–120. [Google Scholar] [CrossRef]
- Wang, C.; Li, H.W.; He, J.; Wang, Q.J.; Lu, C.Y.; Yang, H.Y. Optimization Design of a Pneumatic Wheat-Shooting Device Based on Numerical Simulation and Field Test in Rice-Wheat Rotation Areas. Agriculture 2022, 12, 56. [Google Scholar] [CrossRef]
- Xu, D.; Li, Y.; Xu, X.; Zhang, Y.; Yang, L. Numerical Study of Wheat Particle Flow Characteristics in a Horizontal Curved Pipe. Processes 2024, 12, 900. [Google Scholar] [CrossRef]
- Dai, F.; Song, X.F.; Zhao, W.Y.; Han, Z.S.; Zhang, F.W.; Zhang, S.L. Motion simulation and test on threshed grains in tapered threshing and transmission device for plot wheat breeding based on CFD-DEM. Int. J. Agric. Biol. Eng. 2019, 12, 66–73. [Google Scholar] [CrossRef]
- Dai, F.; Song, X.F.; Shi, R.J.; Guo, W.J.; Zhao, Y.M.; Wang, F.; Zhao, W.Y. Movement law of the threshing material in threshing and cleaning machine for plot-bred wheat. Int. J. Agric. Biol. Eng. 2022, 15, 100–106. [Google Scholar] [CrossRef]
- Liu, Y.; Mi, G.P.; Zhang, S.L.; Li, P.; Huang, Y.X. Determination of Discrete Element Modelling Parameters of Adzuki Bean Seeds. Agriculture 2022, 12, 626. [Google Scholar] [CrossRef]
- Li, G.; Li, H.; Li, X.; Gong, Z.; Yang, Q.; Huang, Y.; Fu, Z. Establishment and Calibration of Discrete Element Model for Buckwheat Seed Based on Static and Dynamic Verification Test. Agriculture 2023, 13, 1024. [Google Scholar] [CrossRef]
- Ren, D.-Z.; Zhang, L.-J.; Gong, Y.-J.; Meng, J.; He, T.-Y. Calibration and Testing of Discrete Element Model Parameters for Biochar-based Fertilizer. J. Shenyang Agric. Univ. 2023, 54, 447–455. [Google Scholar]
- Malone, K.F.; Xu, B.H. Determination of contact parameters for discrete element method simulations of granular systems. Particuology 2008, 6, 521–528. [Google Scholar] [CrossRef]
- Chen, J.; Tian, T.; Li, J.; You, Z. Effects of operating parameters and particle friction on water usage of deep-sea manganese nodules hydraulic conveying equipment. Powder Technol. 2024, 442, 119850. [Google Scholar] [CrossRef]
- Tsuji, Y.; Tanaka, T.; Ishida, T. Lagrangian numerical-simulation of plug flow of cohesionless particles in a horizontal pipe. Powder Technol. 1992, 71, 239–250. [Google Scholar] [CrossRef]
- Antypov, D.; Elliott, J.A. On an analytical solution for the damped Hertzian spring. Europhys. Lett. 2011, 94, 6. [Google Scholar] [CrossRef]
- Zhang, C.; Guo, S.; Shang, F.; Ge, Z.; Guo, L. Numerical simulation of particle jet in supercritical water environment based on an improved coarse-grained CFD-DEM method. Powder Technol. 2025, 456, 120833. [Google Scholar] [CrossRef]
- Petit, H.A.; Potapov, A.V.; Tavares, L.M. Simulating breakage by compression of iron ore pellets using the discrete breakage model. Powder Technol. 2025, 449, 120433. [Google Scholar] [CrossRef]
- Ansys® Rocky. Release 2024 R1, Help System, Rocky Technical Manual; Ansys, Inc.: Canonsburg, PA, USA, 2024. [Google Scholar] [CrossRef]














| Symbol | Parameters | Low Level (−1) | High Level (+1) |
|---|---|---|---|
| A | ) | 0.68 | 0.79 |
| B | ) | 30.51 | 90.63 |
| C | Poisson’s ratio of wheat seed | 0.15 | 0.46 |
| D | Static friction coefficient of wheat seed | 0.15 | 0.65 |
| E | Dynamic friction coefficient of wheat seed | 0.02 | 0.13 |
| F | Collision restitution coefficient of wheat seed | 0.12 | 0.35 |
| G | Static friction coefficient between wheat seed and resin | 0.12 | 0.55 |
| H | Dynamic friction coefficient between wheat seed and resin | 0.01 | 0.09 |
| I | Collision restitution coefficient between wheat seed and resin | 0.31 | 0.52 |
| J/K | Virtual parameter | / | / |
| No. | A | B | C | D | E | F | G | H | I | AOR (°) | Relative Error (%) |
|---|---|---|---|---|---|---|---|---|---|---|---|
| 1 | 1 | 1 | 1 | −1 | −1 | −1 | 1 | −1 | 1 | 0.2 | 99.4 |
| 2 | −1 | 1 | 1 | 1 | −1 | −1 | −1 | 1 | −1 | 9.5 | 71.1 |
| 3 | 1 | −1 | 1 | 1 | 1 | −1 | −1 | −1 | 1 | 0.3 | 99.1 |
| 4 | −1 | 1 | −1 | 1 | 1 | −1 | 1 | 1 | 1 | 19.5 | 40.7 |
| 5 | 1 | 1 | −1 | 1 | 1 | 1 | −1 | −1 | −1 | 0.4 | 98.8 |
| 6 | −1 | 1 | 1 | −1 | 1 | 1 | 1 | −1 | −1 | 1.3 | 96.1 |
| 7 | −1 | −1 | −1 | 1 | −1 | 1 | 1 | −1 | 1 | 0.2 | 99.4 |
| 8 | 1 | 1 | −1 | −1 | −1 | 1 | −1 | 1 | 1 | 16.9 | 48.6 |
| 9 | 0 | 0 | 0 | 0 | 0 | 0 | 0 | 0 | 0 | 8.1 | 75.4 |
| 10 | 1 | −1 | 1 | 1 | −1 | 1 | 1 | 1 | −1 | 13.8 | 58.1 |
| 11 | 0 | 0 | 0 | 0 | 0 | 0 | 0 | 0 | 0 | 8.3 | 74.8 |
| 12 | 0 | 0 | 0 | 0 | 0 | 0 | 0 | 0 | 0 | 8.2 | 75.1 |
| 13 | 1 | −1 | −1 | −1 | 1 | −1 | 1 | 1 | −1 | 24.7 | 24.9 |
| 14 | −1 | −1 | −1 | −1 | −1 | −1 | −1 | −1 | −1 | 1.6 | 95.1 |
| 15 | −1 | −1 | 1 | −1 | 1 | 1 | −1 | 1 | 1 | 34.7 | 5.5 |
| Parameters | Normalization Effect | Mean Sum of Squares | Contribution Rate (%) | F-Value | p-Value | Priority Ranking |
|---|---|---|---|---|---|---|
| A | 3.5 | 36.75 | 0.295 | 0.5474 | 0.5005 | 8 |
| B | 12.1 | 439.23 | 3.53 | 6.54 | 0.0628 | 4 |
| C | 3.63 | 39.6 | 0.32 | 0.5899 | 0.4853 | 7 |
| D | 16.27 | 793.81 | 6.38 | 11.82 | 0.0263 * | 3 |
| E | −17.77 | 946.96 | 7.61 | 14.1 | 0.0199 * | 2 |
| F | −3.97 | 47.2 | 0.38 | 0.7031 | 0.4489 | 6 |
| G | 0.067 | 0.013 | 0.0001 | 0.0002 | 0.9894 | 9 |
| H | −56.5 | 9576.75 | 76.99 | 142.64 | 0.0003 ** | 1 |
| I | −8.57 | 220.16 | 1.77 | 3.28 | 0.1444 | 5 |
| No. | Step Size | D | E | H | AOR(°) | Relative Error (%) |
|---|---|---|---|---|---|---|
| 1 | 0 | 0.15 | 0.13 | 0.09 | 34.7 | 5.5 |
| 2 | 0 + 1Δ | 0.275 | 0.1025 | 0.07 | 30.3 | 7.9 |
| 3 | 0 + 2Δ | 0.4 | 0.075 | 0.05 | 23.8 | 27.7 |
| 4 | 0 + 3Δ | 0.525 | 0.0475 | 0.03 | 11.0 | 66.7 |
| 5 | 0 + 4Δ | 0.65 | 0.02 | 0.01 | 9.8 | 70.2 |
| Coding | Parameters | ||
|---|---|---|---|
| D | E | H | |
| +1 | 0.275 | 0.13 | 0.09 |
| 0 | 0.2125 | 0.11625 | 0.08 |
| −1 | 0.15 | 0.02 | 0.07 |
| No. | D | E | H | AOR (°) | Relative Error (%) |
|---|---|---|---|---|---|
| 1 | 0 | −1 | −1 | 27.6 | 16.1 |
| 2 | 1 | 1 | 0 | 29.7 | 9.7 |
| 3 | 0 | 0 | 0 | 31.5 | 4.3 |
| 4 | −1 | 0 | −1 | 29.4 | 10.5 |
| 5 | 1 | −1 | 0 | 25.7 | 21.9 |
| 6 | 1 | 0 | −1 | 29.2 | 11.3 |
| 7 | 0 | 0 | 0 | 32.1 | 2.4 |
| 8 | 0 | −1 | 1 | 25.5 | 22.5 |
| 9 | −1 | −1 | 0 | 30.0 | 8.8 |
| 10 | 0 | 1 | 1 | 27.6 | 16.1 |
| 11 | 1 | 0 | 1 | 26.6 | 19.1 |
| 12 | 0 | 0 | 0 | 31.6 | 3.9 |
| 13 | −1 | 0 | 1 | 30.8 | 6.4 |
| 14 | −1 | 1 | 0 | 30.4 | 7.6 |
| 15 | 0 | 1 | −1 | 36.4 | 10.6 |
| Sources of Variance | Sum of Squares | Degree of Freedom | Mean Square | F-Value | p-Value | |
|---|---|---|---|---|---|---|
| Model | 564.08 | 9 | 62.68 | 28.35 | 0.0009 | significant |
| D | 102.96 | 1 | 102.96 | 46.57 | 0.001 ** | |
| E | 80.01 | 1 | 80.01 | 36.19 | 0.0018 ** | |
| H | 30.42 | 1 | 30.42 | 13.76 | 0.0139 * | |
| DE | 30.25 | 1 | 30.25 | 13.68 | 0.014 * | |
| DH | 35.4 | 1 | 35.4 | 16.01 | 0.0103 * | |
| EH | 0.2025 | 1 | 0.2025 | 0.0916 | 0.7743 | |
| D2 | 14.52 | 1 | 14.52 | 6.57 | 0.0505 | |
| E2 | 155.2 | 1 | 155.2 | 70.2 | 0.0004 ** | |
| H2 | 146.94 | 1 | 146.94 | 66.46 | 0.0005 ** | |
| Residual | 11.05 | 5 | 2.21 | |||
| Lack of fit | 9.05 | 3 | 3.02 | 3.01 | 0.2595 | not significant |
| Pure error | 2.01 | 2 | 1 | |||
| Sum | 575.14 | 14 |
| Operating Pressure (kPa) | Category | Ejection Velocity (m/s) | Average Value | Relative Error (%) | ||||
|---|---|---|---|---|---|---|---|---|
| 0 | Experimental Value | 2.383 | 2.401 | 2.321 | 2.403 | 2.381 | 2.378 | 3.8 |
| Simulated Value | 2.51 | 2.473 | 2.398 | 2.464 | 2.497 | 2.468 | ||
| 1 | Experimental Value | 2.365 | 2.415 | 2.387 | 2.412 | 2.395 | 2.395 | 4.1 |
| Simulated Value | 2.408 | 2.369 | 2.557 | 2.546 | 2.579 | 2.492 | ||
| 2 | Experimental Value | 2.472 | 2.493 | 2.502 | 2.485 | 2.511 | 2.493 | 1.3 |
| Simulated Value | 2.483 | 2.513 | 2.561 | 2.588 | 2.483 | 2.526 | ||
| 3 | Experimental Value | 2.582 | 2.553 | 2.498 | 2.505 | 2.525 | 2.533 | 3.3 |
| Simulated Value | 2.628 | 2.581 | 2.588 | 2.655 | 2.635 | 2.617 | ||
| 4 | Experimental Value | 2.665 | 2.652 | 2.657 | 2.672 | 2.636 | 2.656 | 2.3 |
| Simulated Value | 2.703 | 2.721 | 2.738 | 2.733 | 2.697 | 2.718 | ||
Disclaimer/Publisher’s Note: The statements, opinions and data contained in all publications are solely those of the individual author(s) and contributor(s) and not of MDPI and/or the editor(s). MDPI and/or the editor(s) disclaim responsibility for any injury to people or property resulting from any ideas, methods, instructions or products referred to in the content. |
© 2025 by the authors. Licensee MDPI, Basel, Switzerland. This article is an open access article distributed under the terms and conditions of the Creative Commons Attribution (CC BY) license (https://creativecommons.org/licenses/by/4.0/).
Share and Cite
Wang, L.; Yang, H.; Wang, Z.; Wang, Q.; Lu, C.; Wang, C.; He, J. Calibration of DEM Polyhedron Model for Wheat Seed Based on Angle of Repose Test and Semi-Resolved CFD-DEM Coupling Simulation. Agriculture 2025, 15, 506. https://doi.org/10.3390/agriculture15050506
Wang L, Yang H, Wang Z, Wang Q, Lu C, Wang C, He J. Calibration of DEM Polyhedron Model for Wheat Seed Based on Angle of Repose Test and Semi-Resolved CFD-DEM Coupling Simulation. Agriculture. 2025; 15(5):506. https://doi.org/10.3390/agriculture15050506
Chicago/Turabian StyleWang, Longbao, Hanyu Yang, Zhinan Wang, Qingjie Wang, Caiyun Lu, Chao Wang, and Jin He. 2025. "Calibration of DEM Polyhedron Model for Wheat Seed Based on Angle of Repose Test and Semi-Resolved CFD-DEM Coupling Simulation" Agriculture 15, no. 5: 506. https://doi.org/10.3390/agriculture15050506
APA StyleWang, L., Yang, H., Wang, Z., Wang, Q., Lu, C., Wang, C., & He, J. (2025). Calibration of DEM Polyhedron Model for Wheat Seed Based on Angle of Repose Test and Semi-Resolved CFD-DEM Coupling Simulation. Agriculture, 15(5), 506. https://doi.org/10.3390/agriculture15050506

