Abstract
Accurate prediction of sweet potato yield is crucial for effective crop management. This study investigates the use of vegetation indices (VIs) extracted from multispectral images acquired by a small unmanned aerial vehicle (UAV) throughout the growing season, along with in situ-measured plant physiological parameters, to predict sweet potato yield. The data acquisition process through UAV field imaging is discussed in detail along with the extraction process for the multispectral bands that we use as features. The experiment is designed with a combination of different nitrogen application rates and cover crop treatments. The dependence of VIs and crop physiological parameters, such as leaf chlorophyll content, plant biomass, vine length, and leaf nitrogen content, on yield is evaluated through feature selection methods and model performance. Classical machine learning (ML) approaches and tree-based algorithms, like XGBoost and Random Forest, are implemented. Additionally, a soft-voting ML model ensemble approach is employed to improve performance of yield prediction. Individual models are trained and tested for different cover crop and nitrogen treatments to capture the relationships between the treatments and the target yield variable. The performance of the ML algorithms is evaluated using various popular model performance metrics like R2, RMSE, and MAE. Through modelling the data for cover crops and nitrogen treatment rates using individual models, the relationships and effects of different treatments on yield are explored. Important VIs useful for the study are identified through feature selection and model performance evaluation.
1. Introduction
According to the US Department of Agriculture (USDA), domestic consumption of sweet potatoes has grown considerably since 2000, with annual per capita availability (a proxy for consumption) rising from 4.2 pounds to reach a record-high 7.5 pounds in 2015. The marked rise in domestic demand has been encouraged by promotion of the health benefits of sweet potatoes—rich in vitamins A and C, and high in fiber. Expanded demand has also been supported by the increasing variety of sweet potato products available in restaurants and for home preparation. Sweet potato production has been increasing steadily over the past decade. The United States has emerged as the global leader in sweet potato exports, accounting for 26.8% of the world’s export value in 2020, according to FAO data. U.S. sweet potato exports have experienced remarkable growth over two decades, with export volume increasing by 1157% and export value rising by 1236% between 2001 and 2021. This growth is reflected in the surge of export value from USD 14 million in 2001 to USD 187 million in 2021, underscoring the significant expansion of the U.S. sweet potato industry in the international market.
The economic implications of precise yield prediction are profound, with agricultural stakeholders—from small-scale farmers to large agribusinesses—seeking cost-efficient methods to optimize resource allocation, minimize uncertainty, and maximize economic returns. UAV-based remote sensing technologies are emerging as a transformative solution, offering a financially viable and technologically advanced alternative to traditional, resource-intensive crop monitoring approaches. By providing real-time, high-resolution data at a fraction of the cost of conventional methods, these systems enable more granular and proactive decision-making, directly translating technological innovation into potential economic resilience for agricultural enterprises.
Yield prediction is important for planning and decision support for sweet potato production. Current methodologies for sweet potato root mass measurement are severely constrained by significant practical challenges: labor-intensive manual sampling, destructive techniques, and high dependency on expert interpretation. The crop’s unique underground fruiting characteristic (geocarpic nature) further complicates sampling, requiring extensive soil excavation and increasing operational costs. These conventional methods struggle to capture the spatial-temporal variability of crop growth, introducing substantial bias and potential misinformation.
In contrast, remote sensing technologies, including the platforms from spaceborne, airborne, especially unmanned aerial vehicles (UAVs), and ground-based systems, have demonstrated successful outcomes in predicting crop yield [,,]. Leveraging remote sensing for crop yield prediction offers notable advantages, such as reliability, cost-effectiveness, and applicability over the times of crop growth, facilitating efficient crop management [,,,]. Vegetation indices like NDVI, GNDVI, and SAVI enable precise morphophysiological monitoring, while machine learning algorithms can process complex data inputs to generate accurate yield predictions. This approach not only eliminates the need for invasive sampling but also provides real-time, survey-grade data with enhanced computational efficiency, offering a comprehensive and cost-effective alternative to traditional sweet potato yield assessment methods.
In airborne remote sensing, UAVs offer low-altitude flights and provide high-resolution image data and flexible data acquisition schedules, making them well suited for monitoring crop growth and predicting yield based on crop growth at the farm or field scale [,,]. This level of crop monitoring is crucial for growers and insurance agencies to make informed decisions.
Machine learning (ML) is an important branch of artificial intelligence. In recent years, ML has been more and more developed for agricultural applications, including crop production management analysis [,]. For improved crop production monitoring analysis, various ML algorithms are available for crop yield prediction. Kumar et al. [] implemented different ML-based algorithms like Linear Regression, K-Nearest Neighbors (KNN), Support Vector Regression (SVR), RF and Deep Neural Network (DNN). In the study, vegetation indices (VIs) were used to analyze and evaluate the performance of the algorithms, and SVR and KNN were found to work best with corn yield prediction with the limited data at different growth stages. For feature detection and selection, Huang et al. [] analyzed wheat rust strip using statistical correlation and implementing ML algorithms of Random Forest (RF) and XGBoost and reported good performance by XGBoost with a remote sensing dataset.
As the production of sweet potato is increasing and agricultural information technologies have evolved sufficiently to enable effective monitoring and analysis of data collected from different sources for future trend projection, we studied the feasibility of using multispectral image data collected from a small UAV (sUAV) in predicting the yield of sweet potato based on the growth over the field. In this study, the aim is to assess the potential of the sUAV-based multispectral image data and VIs derived from the image data for predicting sweet potato yield. The assessment covered the performance of several ML approaches using multispectral image band data directly and derived VIs, along with in situ-measured plant physiological parameter data. Specifically, the performance of the ML models was evaluated based on crop growth and across field experiment treatments for the optimal setting to predict yield.
In this study, the experiment was designed with different nitrogen application levels, interactively with different cover crops in the experimental plots. The rationale for the nitrogen and cover crop treatments in this study is to investigate how different nitrogen levels can impact sweet potato yields by utilizing selected cover crops which may impact soil health and nutrient cycling, potentially leading to more sustainable agricultural practices through minimizing nitrogen leaching and maximizing nutrient availability for the growing of sweet potatoes while mitigating environmental concerns associated with excessive fertilizer use.
2. Materials and Methods
2.1. Field Location and Experimental Design
The sweet potato field is located in the farm at the Pontotoc Ridge-Flatwoods Branch Experiment Station of Mississippi State University (WGS 84: −89.006435, 34.136121) near Pontotoc, Mississippi (Figure 1a). The experiment is designed in 60 plots (each of 3 rows in width (101.6 cm row spacing) and 9.14 m in length) with a complete randomized block design, in which 5 nitrogen treatments (N1: 0 kg/ha; N2: 28 kg/ha; N3: 56 kg/ha; N4: 84 kg/ha; and N5: 112 kg/ha) with 4 replications (R1, R2, R3 and R4), in addition to 3 cover crop treatments (wheat, fallow, and C. Clover (Crimson Glover)) (Figure 1b). The 5 nitrogen treatments and 3 cover crop treatments in the experiment are for investigating the effect of nitrogen application interactively with planted cover crops in comparison with controls, N1 and fallow. Choosing these specific nitrogen rates and cover crops, primary factors considered include sweet potato’s nitrogen needs, soil health, climate conditions, desired weed suppression, and the ability of the cover crop to fix atmospheric nitrogen, aiming to optimize yield while minimizing environmental impact by reducing fertilizer application and preventing nutrient runoff. For the experiment, the sweet potatoes were planted on 6 June 2022, using a ground-driven mechanical transplanter, following cover crop termination on 1 June 2022 and soil preparation from 2–6 June 2022.

Figure 1.
(a) Field layout and (b) experimental design.
In 2022, the data were collected over nine days across a four-month period during the growth season, with sixty average data points recorded for each instance, covering all cover crop treatments and different nitrogen treatments. The dataset includes the experimental design, such as the interaction of cover crop and nitrogen treatments with plots, and spectral data extracted from processed UAV images, including crop cover (CC) in each plot and multispectral image band values for blue, green, red, red-edge, and near-infrared (NIR) bands.
The dataset also contains crop physiological parameter data, such as plot-averaged chlorophyll measurements (chlorophyll in micromoles per square meter), plot-averaged total nitrogen content in the cover crop (ccbiomasstotaln), plot-averaged dry biomass weight of the cover crop (ccbiomassdrywt in grams), plot-averaged percent nitrogen in soil before planting (percnitsoilpp), two-time plot-averaged percent nitrogen in sweet potato leaves (percnitspleaf1 and percnitspleaf2), and two-time plot-averaged vine length (vinelengthone and vinelengthtwo in centimeters). The yield data are measured in terms of the number of #1 boxes (44 kg/ha) and the total marketable number of boxes (44 kg/ha). These yield metrics, referred to as #1 Boxes and Tot Mkt, serve as sweet potato yield indicators for production management. The #1 sweet potatoes are selected as a category of firm, well shaped, and fairly clean sweet potatoes defined by the USDA Agricultural Marketing Service (https://www.ams.usda.gov/grades-standards/sweetpotatoes-grades-and-standards, accessed on 15 August 2024) while total marketable sweet potatoes include sweet potatoes of all categories counted in the yield.
We had a total of 540 datapoints and 21 features, namely Date, Camera, Altitude, ROI (treatment information), CC (Crop Cover), blue, green, red, rededge, nir, chlorophyll, ccbiomasstotaln, ccbiomassdrywt, percnitsoilpp, percnitspleaf, percnitspleaf2, vinelengthone, vinelengthtwo, #1 Boxes and Tot Mkt. Tot Mkt and #1 Boxes are highly correlated with each other (Figure 2) and can be studied interchangeably.

Figure 2.
#1 Boxes vs. Tot Mkt for sweet potato yield study.
2.2. UAV Field Imaging
The sweet potato field multispectral images were acquired using a DJI Phantom 4 quadcopter UAV with a built-in multispectral camera (DJI, Shenzhen, China). On the UAV, the camera was mounted on a gimble with a −90° to +30° tilt controllable range, with six 1/2.9″ 2.08 MP CMOS sensors with a 1600 × 1300 image size and 62.7° field of view. The sensors include a broadband RGB sensor for visible light imaging and five narrowband monochrome sensors (blue (Blue): 450 nm ± 16 nm; green (Green): 560 nm ± 16 nm; red (Red): 650 nm ± 16 nm; red-edge (RE): 730 nm ± 16 nm; and near-infrared (NIR): 840 nm ± 26 nm) for multispectral imaging. For image calibration from digital counts to percent reflectance, the images of a calibrated reflectance panel were captured prior to and after each flight. The camera operation was automatically synchronized for global position system (GPS) positions with the global navigation satellite system (GNSS; GPS + GLONASS + Galileo) built in on the UAV.
For the field planting of sweet potatoes that we studied in 2022, the most active months for growth were June, July, August and September. We collected data by following the period of middle June until late September before harvesting. During this period, the monthly average low and high temperatures were reported as 19–30 °C for June, 21–32 °C for July, 20–32 °C for August, and 16–29 °C for September in the study area. The average precipitation during these months was 123, 110, 102, and 93 mm, respectively.
The UAV flights for remote sensing missions were conducted between 10:30 a.m. and 12:00 p.m. each day, either with a clear sky or during a window sufficient to allow a completed flight without cloud shadow(s) over the target field, at a flight altitude of 30 m above the canopy surface, to acquire high-resolution (~3 cm/pixel) images following the progress of the sweet potato’s growth. Flight routes were preset using the mission planning tool of Pix4DCapture (1.3.1) software (Pix4D, Lausanne, Switzerland), with an image front overlap of 80% and a side overlap of 70%.
The collected images were imported to Pix4DMapper (4.9.0) (Pix4D, Lausanne, Switzerland) to generate broadband RGB orthomosaic images and narrow-band green, red, red-edge, and NIR orthomosaic images, which were orthorectified to correct for geometric and vignetting distortion. Ground control points (GCPs) over the target field were collected using a Trimble TSC7 GPS controller with a Trimble R12i GPS receiver and included in the Pix4Dmapper project to ensure the accuracy of the orthomosaic. Figure 3 shows the color infrared (CIR) orthomosaic image of the sweet potato field on 16 August 2022, when the sweet potatoes were strongly grown. The orthomosaic RGB and multispectral images were imported to ArcMap (ESRI, Redlands, CA, USA) with the shapefile defining the boundary of each plot based on the different treatments. A Python script was written to extract the mean values of the canopy cover and spectral bands within each experimental plot.

Figure 3.
CIR orthomosaic image of the sweet potato field on 16 August 2022.
In total, nine UAV flyovers were conducted for field imaging throughout the sweet potato’s growth season. The flyover dates were 17 June, 23 June, 7 July, 21 July, 3 August, 16 August, 31 August, 13 September, and 29 September and collected in full the field images with a digitization footprint of 78.82 Gb/ha. These days were selected based on weather conditions and the sweet potato growth conditions that were being monitored in the field. Figure 4 shows RGB UAV images from each flight, capturing changes in the condition of crops.

Figure 4.
RGB images of the sweet potato field plots for each flight date during the growth season.
2.3. Vegetation Indices
Crop health over a growth season can be spectrally characterized using various VIs. The multispectral band data extracted from the UAV images acquired during the crop growth season were utilized to derive 25 different VIs (Table 1). These VIs include well-known indices like the Normalized Difference Vegetation Index (NDVI), Enhanced Vegetation Index 2 (EVI2), Soil Adjusted Vegetation Index (SAVI), Modified Soil Adjusted Vegetation Index (MSAVI), Optimized Soil Adjusted Vegetation Index (OSAVI), Transformed Vegetation Index (TVI), and Green Normalized Difference Vegetation Index (GNDVI). Additionally, other derived VIs encompass the Normalized Difference Red Edge Index (NDRE), Normalized Green Red Difference Index (NGRDI), Normalized Crop Management Index (NCMI), Simplified Canopy Chlorophyll Content Index (SCCCI), Difference Vegetation Index (RDVI), Transformed Chlorophyll Absorption Reflectance Index (TCARI), Normalized Area Vegetation Index (NAVI), Chlorophyll Index Red Edge (CIRE), Modified Triangular Vegetation Index (MTVI), Modified Triangular Vegetation Index 2 (MTVI2), Red Edge Chlorophyll Vegetation Index (RECI), ratio of NIR and green bands (IV1), ratio of NIR and red bands (IV2), ratio of NIR and red-edge bands (IV3), Green Chlorophyll Vegetation Index (GCVI), Chlorophyll Vegetation Index (CVI), Napierian logarithm of the red edge (LNRE), and the ratio of the red edge and the red spectral band, which produces the Chlorophyll Absorption Ratio Index (CARI).

Table 1.
Vegetative indices used in this study.
2.4. Model Variable Selection
In this study, Kendall Tau’s correlation coefficient and the Variance Inflation Factor (VIF) were employed to remove highly correlated independent variables and identify the most relevant predictors. Kendall Tau’s correlation coefficient was used to rank the feature variables for modelling. This coefficient measures the strength of association between two variables by assessing the rank correlation between the model output (e.g., yield) and independent variables (xi, where i = 1, 2, …, n, representing multispectral band data, vegetation indices, and plant physiological parameters). It provides a non-parametric measure of correlation that is more robust to outliers and non-linear relationships. The correlation between xi and y can be expressed as:
where C is the number of concordant pairs, D is the number of discordant pairs, and n is the number of observations. Kendall Tau’s correlation values indicate the direction and strength of the relationship:
- If , there is a negative association between xi and y.
- If , there is a positive association between xi and y.
- If , there is no association between xi and y.
The VIF was used to detect multicollinearity among the predictor variables in the model. Multicollinearity can diminish the interpretability of regression coefficients without necessarily reducing the overall model performance. The VIF of xi is calculated as:
where represents the R-squared value obtained from regressing xi on all other predictors. A VIF value greater than 5 suggests high multicollinearity, warranting removal of the corresponding variable to improve model reliability and interpretability. In our case, we kept variables with VIF values less than 15.
In addition to these methods, feature selection was further refined using Random Forest (RF) feature importance. The RF algorithm assigns importance scores to each feature based on their contribution to reducing the impurity of decision trees. Features with higher importance scores were prioritized for modelling. This process allowed for a more robust selection of variables, ensuring that only the most significant predictors were included in the final model.
By combining Kendall Tau’s correlation coefficient, VIF, and RF feature importance, the study achieved a comprehensive approach to feature selection, reducing redundancy and enhancing the model’s predictive capability while maintaining interpretability.
2.5. Exploratory Data Analysis and Statistical Summary
We began our data analysis by exploring the relationship between categorical features, such as nitrogen treatment and cover crop treatment, and the target variables (#1 Boxes and Total Marketable Yield) through boxplot visualizations (Figure 5). These visualizations provided valuable insights into how the categorical features influenced yield and their interrelationships. For numerical features, we assessed their distributions using histogram plots and performed the Shapiro–Wilk test, a widely used method for normality assessment. Additionally, we computed skewness and kurtosis to further analyze data distribution characteristics. Since all features had a p-value < 0.05, we rejected the null hypothesis of normality. Most features exhibited kurtosis values below 3, indicating lighter tails than a normal distribution. Features such as red (0.78034), percnitsoilpp (0.45604), and vinelengthtwo (−0.90798) displayed moderate skewness, while NIR (−0.78291) and percnitspleaf1 (−0.49121) were negatively skewed.

Figure 5.
Boxplot visualization for different categorical features like cover crop and nitrogen treatments to study distribution across the two output variables. The plots show non-monotonic relationship of treatments with yield: (a) #1 boxes vs. nitrogen rates (b) #1 boxes vs. cover crops (c) total marketable vs. nitrogen rates (d) total marketable vs. cover crops.
The target variables, #1 Boxes and Total Marketable Yield, also had p-values < 0.05 from the Shapiro–Wilk test, confirming non-normality. Their kurtosis values were significantly below 3 and both exhibited positive skewness, with values of approximately 0.5.
The histograms revealed a clear deviation from normality for the features, with multiple sub-distributions apparent across most features (Figure 6).

Figure 6.
Histogram plots to study distribution of numerical features in the dataset.
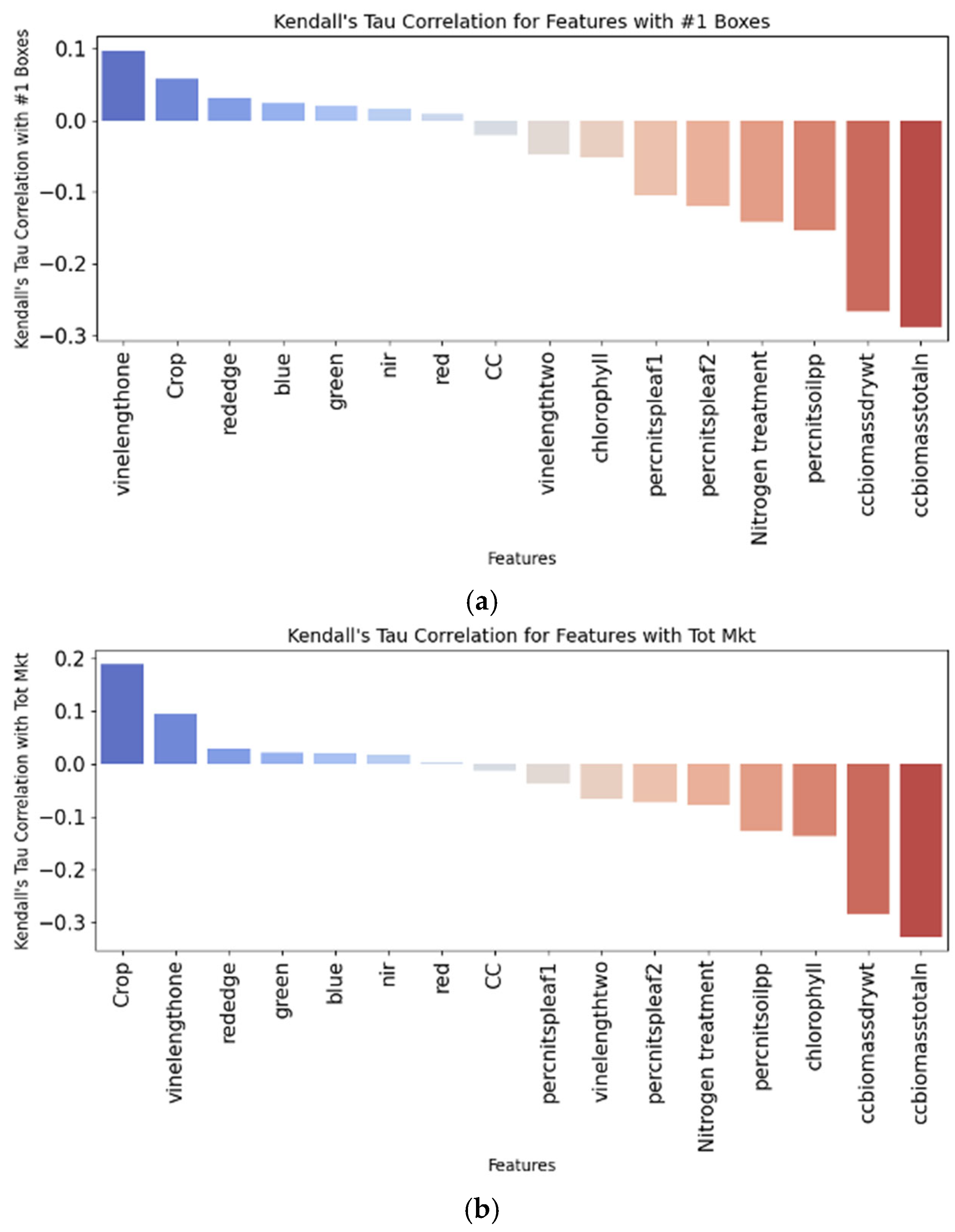
Given the non-normal distribution of the data, we opted for non-parametric methods that do not rely on the assumption of normality. Kendall’s Tau correlation was employed to analyze the relationship between features and the target variables, as seen in Figure 7. This approach, particularly suited for identifying non-linear relationships, highlighted that physiological features exhibited the strongest correlations—both positive and negative—with the target variables, followed by multispectral band features. The features showed stronger correlation with the Tot Mkt feature compared to the #1 Boxes feature. For the results section, we have shown the results for the Tot Mkt feature, as the results were similar for #1 Boxes.

Figure 7.
Kendall Tau’s correlation plot of features with output variables. The physiological features showed strong correlation with output yields (a) #1 boxes (b) total marketable. In terms of positive correlation, cover crop treatment showed a strong correlation, suggesting the need to investigate treatment’s relationship with yield.
To further examine the relationship between categorical features and yield, we applied the Kruskal–Wallis test, a non-parametric statistical method that determines whether there are significant differences in the medians of two or more independent groups. For cover crop type, the test produced a Kruskal–Wallis statistic of 70.72 and a p-value of 4.40 × 10−16. The extremely small p-value led to the rejection of the null hypothesis, indicating that cover crop type has a statistically significant impact on yield. The analysis revealed significant differences in median yield among the three crop categories—clover, fallow, and wheat—underscoring the critical role of crop type in determining yield outcomes.
For nitrogen treatment, the Kruskal–Wallis test yielded a statistic of 16.88 and a p-value of 0.00204 with Tot Mkt output. This result also allowed us to reject the null hypothesis, confirming a significant effect of nitrogen treatment on yield. However, the magnitude of this effect appeared to be less pronounced compared to cover crop type. Boxplot visualizations corroborated this finding.
Our analysis also revealed interactions between crop type and nitrogen treatment, with cover crop treatments significantly influencing how nitrogen application affected yield in the boxplot visualizations. These findings emphasize the importance of considering both crop and nitrogen management strategies to optimize agricultural productivity. By combining these statistical insights, we gained a deeper understanding of the data, which informed subsequent modeling and analysis.
2.6. ML Models
Following our statistical analysis of the features, we went with models that could capture the non-linear relationships and patterns well. In this study, various ML algorithms were used for modelling the data. The choice of models, such as Lasso regression, Support Vector Regression (SVR), Random Forest (RF), and XGBoost, is particularly relevant for agriculture-related datasets, which often exhibit high dimensionality, non-linear relationships, and noise due to environmental variability. These models have been widely used in agriculture for tasks like crop yield prediction, soil quality assessment, and plant disease detection.
- Lasso regression
Lasso regression, short for Least Absolute Shrinkage and Selection Operator, is a linear regression technique that incorporates regularization to perform feature selection and prevent overfitting in the model. It is particularly useful when dealing with high-dimensional datasets, where the number of features (independent variables) is large compared to the number of samples. In studies focusing on crop yield prediction, Lasso has been used to identify key environmental and management factors, such as soil nutrients, weather variables, and irrigation practices, while discarding irrelevant predictors. This helps improve model interpretability and reduces overfitting [,].
Lasso regression introduces a regularization term to the standard linear regression cost function. This term is the sum of the absolute values of the coefficients of the features multiplied by a tuning parameter (alpha or lambda). The regularization term penalizes the model for using large coefficients, effectively shrinking them toward zero. As a result, some features may have exactly zero coefficients, leading to automatic feature selection. This makes Lasso regression useful for identifying the most important features in the dataset.
The Lasso regression cost function can be represented as:
where is the cost function; is sum of squared errors; is sum of absolute values of coefficients; and α is the tuning parameter that controls the strength of regularization.
- SVR
SVR stands for Support Vector Regression. It is a type of regression algorithm used for solving regression problems, similar to linear regression. However, unlike linear regression, SVR is based on the concept of Support Vector Machines (SVM) and is specifically designed to handle non-linear relationships between the features (independent variables) and the target variable (dependent variable).
SVR is particularly effective for dealing with complex and non-linear regression problems. It is widely used in various fields, including finance, economics, and engineering, where data may exhibit non-linear relationships and require accurate regression modelling. SVR has been applied in precision agriculture to model complex, non-linear relationships between inputs (e.g., soil properties, climatic variables) and outputs like crop yield or quality. For example, SVR with RBF kernels has been employed for predicting crop water stress or optimizing irrigation schedules, providing robust predictions even with noisy data [,].
- Random Forest
The fundamental idea behind a RF is to create an ensemble of binary decision trees, constructed using multiple bootstrap samples taken from the learning dataset. Random Forest is widely used in agricultural studies for its ability to handle mixed data types and rank feature importance. It has been applied in tasks such as classifying soil types, predicting crop diseases, and modeling yield based on spatial and temporal data. Its resilience to missing data and high performance in multi-variate scenarios make it a preferred choice in agriculture ML [,].
A RF is comprised of multiple decision trees, each constructed using a random subset of observations from the dataset and a random subset of features. This random selection ensures that not all trees see the same set of features or observations, leading to reduced correlation between the trees and minimizing the risk of overfitting. Each tree in the forest represents a sequence of yes–no questions based on either a single feature or a combination of features. At each node (representing a question), the dataset is split into two groups, with each group containing observations that are more similar to each other and distinct from the other group. As a result, the importance of each feature is determined by the “purity” of the resulting groups after the splits.
- XGBoost
XGBoost operates by amalgamating multiple weak learners to create a robust learner. A weak learner refers to a machine learning model that possesses only marginally better predictive capabilities than random guessing. Nonetheless, when these weak learners are combined, they synergize to form a powerful learner that yields significantly enhanced accuracy.
In XGBoost, a series of decision trees are trained. Each tree is trained on a specific subset of the data, and the predictions from all the trees are pooled together to generate the final prediction. XGBoost, with its gradient boosting approach, has been used for large-scale agricultural datasets, such as predicting crop yields or assessing soil health across regions. Its ability to handle missing data and optimize tree-based models efficiently has proven advantageous in datasets with diverse variables, such as weather, soil, and management practices [,].
- Model ensemble
The idea behind ensemble learning is to combine the outputs of multiple models, so the strengths of each model can compensate for the weaknesses of others, leading to improved overall performance and generalization. RF and XGBoost are ensemble models, each for a series of decision trees. For model ensembling for a series of ML models, a soft voting can be used for the final prediction based on the average (or weighted average) of predicted probabilities from the base models. To make the ensemble prediction, a weighted average of model predictions can be performed with the formula as follows:
where is ensembled prediction; is the number of ML models to be ensembled; is the weight of the th ensembled ML model, and is the prediction of the the th ensembled ML model. Ensembling techniques have shown significant promise in agricultural ML applications. By combining predictions from models like RF, SVR, and XGBoost, researchers have achieved better accuracy and robustness in tasks such as multi-crop yield prediction, pest detection, and phenotyping [,]. The ensemble approach helps balance model bias and variance, ensuring reliable predictions under varying agricultural conditions.
By leveraging these models and techniques, we address the dataset’s challenges, including high dimensionality, non-linear relationships, and noise, enabling precise and interpretable predictions for agricultural applications.
2.7. Model Performance Metrics
For implementing ML algorithms, the process goes through the stages of training and testing. ML training is for model calibration and testing is for model testing for its ability of generalization. For training, the coefficient of determination () and the root mean square error () are used to assess the fitness of the models, while for testing, the mean absolute error () is used to assess the generalization of the models.
is formulated as:
where is the sum of squares of residuals as
and is the total sum of squares as
and is the th measured value with model output, is the th model output, and is the average of the model output. In the best case, the modelled values exactly match the measured values, which will result in , so . A baseline model always predicts , so . Models that have worse predictions than this baseline will have a negative when a ML model poorly fits the data.
is formulated as:
is formulated as:
In this study, we used and for evaluating the ML model training performance. tells about how well the model has captured the variance in data while training. was not used in the testing phase, as there were very few test data, so the that we had in the testing phase may not be an appropriate parameter to assess the performance of the model. So, in the testing phase we used and for better interpretation of the results.
2.8. Programming
Data processing and ML, modelling in this study were coded for computer programs using the open-source Python programming language.
3. Results and Discussion
3.1. Feature Selection
To address multicollinearity in the dataset, we first calculated the Variance Inflation Factor (VIF) for all feature variables. The VIF analysis identified several features with high collinearity, potentially affecting the stability and interpretability of the models. Iteratively, we removed features with the highest VIF values until all remaining predictors had acceptable VIF scores which were less than 15 (a threshold that we set for our dataset). This process revealed that SCCCI was the least correlated feature, followed by CIRE, ccbiomassdrywt, ccbiomasstotaln, vinelengthone, and CC (Crop Cover).
Using Random Forest (RF) feature importance, we further optimized the feature selection process. We trained RF and performed hyperparameter tuning through gridsearch on a range of values for n_estimators, max_depth and min_sample_split. We trained the algorithm on all the data points of our dataset with 5-fold cross validation to make sure the model did not overfit a specific set of sample points. To ensure the dataset captured the relevant treatment and cover crop information, we performed one-hot encoding on the nitrogen treatment and cover crop categories and included them as additional features. This allowed the model to leverage the categorical variables effectively, providing a more comprehensive set of predictors.
Features such as percnitspleaf2, ccbiomass, totaln, vinelengthtwo, ccbiomassdrywt, percnitsoilpp, and chlorophyll were identified as the most important. The final selected features included these physiological parameters along with VIs like SCCCI and CIRE and were used in subsequent modelling stages. As seen in Table 1, SCCCI is derived from NDVI and NDRE, which are commonly used to capture vegetation characteristics such as biomass, chlorophyll content, and nitrogen status. Since NDVI and NDRE are calculated using red and NIR values—both of which showed a positive correlation with yield in our analysis—SCCCI likely consolidates information from these bands to effectively reflect canopy health and chlorophyll content, both critical factors for understanding crop yield. Further analysis with Random Forest (RF) also highlighted SCCCI as an important vegetative index, reinforcing the importance of canopy health and chlorophyll content in predicting yield.
Based on the experiments for RF hyperparameter tuning for optimal feature selection 5 was determined as optimal number of feature se length (Figure 8a) and 200 was determined as the optimal number of trees to ensemble in RF (Figure 8b).

Figure 8.
Experiments with RF during hyperparameter tuning to get the best model for feature selection. The optimal number of (a) feature set length was 5 and (b) the number of trees was 200.
3.2. Model Training with Physiological Features
We trained several machine learning models using the physiological features along with top vegetation index features (SCCCI, CIRE) and evaluated their performance. Hyperparameter tuning was conducted for each model using a grid search with 10-fold cross-validation to ensure robust performance, as the dataset was small. An 80/20 train–test split was used for model evaluation. For k-NN, the parameters tuned were n_neighbors and weights. For SVR, the hyperparameters C and epsilon were optimized. The regularization parameter alpha was tuned for Lasso. For tree-based algorithms, the tuning process varied: for Random Forest, the number of trees (n_estimators), the maximum depth of each tree (max_depth), and the minimum samples per leaf (min_samples_leaf) were optimized. Similarly, for XGBoost, parameters such as the learning rate (eta), the maximum depth of trees (max_depth), and the number of boosting rounds (n_estimators) were fine-tuned to achieve the best results.
The performance of ML algorithms on the hold-out test set can be seen in Figure 9 and Table 2. KNN performed the best, followed by linear regression. The R2 for KNN was high compared to other algorithms from Table 3.

Figure 9.
Prediction vs. original scatter plots for Tot Mkt feature. Similar patterns were observed in plots for #1 Boxes. KNN and Lasso regression performed were able to capture the non-linearity well compared to other algorithms on test set.

Table 2.
Performance of ML models on physiological data.

Table 3.
Kruskal–Wallis statistics for categorical treatment features.
Performance of ensemble-based approaches like XGBoost and Random Forest was also evaluated, as seen in Figure 10 and Table 4. XGBoost performed the best in terms of R2 and RMSE for both output variables.

Figure 10.
Scatter Plots for (a) XGBoost and (b) Random Forest for Tot Mkt output feature. A similar trend and performance were observed for #1 Boxes feature.

Table 4.
Performance of XGBoost and RF on physiological features.
3.3. Vegetation Indices as Features
Physiological data parameters are difficult to collect and can be laborious, time-consuming and sometimes erroneous; therefore, we wanted to come up with a ML model that can work with VIs to provide remote sensing surrogates for crop growth monitoring. We implemented an ensemble of ML models with vegetative indices as features to ascertain the feasibility of vegetation indices for prediction tasks.
For feature selection with vegetation indices (VIs), Random Forest (RF) ranked several indices as key contributors to predicting crop growth and health. These indices, which often combine near-infrared, red, and green bands, offer a comprehensive view of a crop’s physiological status by capturing critical aspects like leaf area index, photosynthetic activity, water content, and nitrogen content—parameters that are otherwise challenging to measure remotely. For a sweet potato study, important VIs may include SCCCI, NGRDI, TVI, MTVI, TCARI, MSAVI2, and CVI (Table 1).
By incorporating these vegetation indices into machine learning models, RF can efficiently rank the most relevant features, capturing diverse aspects of crop health. Each of these indices contributes unique insights, enhancing the model’s predictive capabilities and providing actionable data for effective crop management and decision making in agriculture.
Performance of models like XGBoost and RF on selected vegetation indices was not as good compared to their performance with physiological features. We trained ensemble ML models with vegetative indices as features to ascertain the feasibility of vegetation indices for prediction tasks.
The performance of models trained on vegetation indices (VIs) and treatment variables (Nitrogen and Cover Crop) was lower compared to models trained on physiological data. However, the results indicate that with a larger dataset, VIs could effectively predict yields and have the potential to address the challenge of collecting physiological data, as shown in Table 5. From Figure 11, it can be observed that most of the non-linearity in the data was captured. Nevertheless, the results could be further refined with a larger dataset.

Table 5.
Performance of XGBoost and RF on vegetation indices.

Figure 11.
(a) XGBoost predictions for Tot Mkt output. (b) Random Forest predictions for Tot Mkt output. Similar performance was observed for #1 Boxes feature.
3.4. Relationship of Tretament and Yield
To analyze the relationship between nitrogen and cover crop treatments on yield variables, we grouped the data by each treatment type and trained ensemble models. This approach allowed us to evaluate patterns and assess the model’s performance across different combinations of treatments. Due to the grouping of data by treatments, the resulting training datasets were relatively small, which impacted the overall performance of the models. Despite this limitation, the analysis provided valuable insights into the effects of different treatments on yield. These findings offer a foundational understanding of how specific nitrogen and cover crop combinations influence yield, highlighting areas for further investigation and optimization. Proper nitrogen content in soil significantly influences soil fertility and sweet potato growth, as nitrogen is a crucial nutrient for the plant that directly affects shoot and root development. With proper soil nitrogen content and necessary nitrogen application, it will promote plant growth and increase storage root yields. However, too little or too much nitrogen content in soil can hinder sweet potato productivity, with poor plant growth or excessive foliage growth with unexpected root development and quality.
The analysis revealed that the R2 score for the ensemble model was highest for the 100 N nitrogen treatment, indicating a strong relationship between input features and yield variables under high nitrogen conditions. This suggests that the variability in yield is better captured by the model when nitrogen is applied at this level.
When evaluating the model’s performance in terms of mean absolute error (MAE), we observed that the model performed best for the 25 N and 100 N treatments, where the errors were smallest. Furthermore, among the cover crop treatments, the clover treatment showed the smallest MAE, highlighting its strong predictability and possibly consistent impact on yield compared to other cover crops. This indicates that certain combinations, such as the clover and the 100 N nitrogen treatments, may represent more optimal conditions for crop growth.
These findings suggest significant interaction effects between cover crop and nitrogen treatments on yield. The high R2 score for 100 N and the low MAE for clover suggest a possible synergy between high nitrogen levels and specific cover crops in enhancing yield predictability. Further analysis can explore these interactions in greater detail to confirm their statistical significance and practical implications.
Additionally, this analysis highlights the potential to optimize nitrogen levels and cover crop choices for improved agricultural outcomes. Treatments with lower MAE values may represent more stable and consistent yield results, which are critical for sustainable farming practices. Future work could investigate the environmental and economic impacts of these treatment combinations to ensure their feasibility and long-term benefits.
For testing the performance of model ensembles, we could see MAEs and RMSEs, in Table 6, of different nitrogen treatments for predicting yield in terms of #1 Boxes and Tot Mkt. Similarly, we could see MAEs and RMSEs, in Table 7, of different cover crops for predicting yield in terms of #1 Boxes and Tot Mkt. They all suggest that, although the data are limited from the field experiment, nitrogen treatment and cover crops are important variables in predicting yield and can be used for developing accurate ML predictive models. The R2 was in the range of 0.65–0.70 (Figure 12) and the MAE of 40–150 except 0N after feature selection (Figure 13) for the individual models, suggesting the model was able to explain the variability in the output yield for different treatment subgroups.

Table 6.
Testing performance of ML model ensemble for different nitrogen treatments.

Table 7.
Testing performance of ML model ensemble on different cover crops.

Figure 12.
for different nitrogen and cover crop treatments for the ensemble model training. R2 seems high for 100 N and fallow cover crop treatment, suggesting predictability of the effect of these treatments on yield.

Figure 13.
Performance of ensemble model on different nitrogen and cover crop treatments with and without feature selection. Feature selection seems to improve the performance of algorithms, suggesting the importance of removing multicollinear data.
4. Conclusions
Our comprehensive analysis of sweet potato yield prediction revealed several key insights into the relationships between treatments, physiological parameters, and remotely sensed vegetation indices. The presence of significant multicollinearity in the dataset necessitated careful feature selection, which was accomplished through multiple analytical approaches. Statistical analysis, including boxplot visualization and Kruskal–Wallis tests, demonstrated that both nitrogen and cover crop treatments significantly influenced yield, albeit through non-monotonic relationships. Notably, cover crop treatments exhibited a stronger impact on yield compared to nitrogen applications.
The study identified two primary categories of predictive features: physiological parameters and vegetation indices. Physiological features, particularly vine length and biomass, emerged as strong yield predictors. Importantly, several vegetation indices (VIs), including CC, CVI, CERI, SCCCI, IV3, TCARI, and NGRDI, demonstrated substantial explanatory power in yield variance. This finding is particularly significant, as it suggests the potential for remote sensing-based yield prediction in scenarios where direct physiological measurements are impractical or unavailable.
In terms of modeling approaches, ensemble methods proved superior to individual models, with Random Forest (RF) algorithms showing particular effectiveness in feature selection and yield prediction. The strategy of developing treatment-specific models provided valuable insights into how different combinations of cover crop and nitrogen treatments influence yield patterns. This granular approach enhanced our understanding of treatment-specific yield responses, though the limited dataset size constrained the models’ generalizability.
Our findings suggest several promising directions for future research. First, the integration of UAV-based remote sensing with deep learning methodologies could potentially overcome current limitations and improve prediction accuracy. Second, the use of synthetic data generation techniques could address the challenge of limited field experimental data, potentially enhancing model robustness. Finally, expanding the dataset size would enable more sophisticated modeling approaches and improve the reliability of treatment-specific predictions.
This study advances our understanding of sweet potato yield prediction while highlighting the potential of remote sensing in precision agriculture. The demonstrated effectiveness of vegetation indices in yield prediction, even with limited data, suggests that remote sensing could become a valuable tool for agricultural decision making. Future work should focus on validating these findings with larger datasets and exploring the integration of advanced sensing and modeling techniques to improve prediction accuracy and practical applicability in field conditions.
Author Contributions
Conceptualization, K.S. and Y.H.; methodology, K.S. and Y.H.; software, K.S.; validation, K.S., Y.H. and L.H.; formal analysis, K.S. and Y.H.; investigation, K.S. and Y.H.; resources, Y.H.; data curation, W.Y., Y.H., L.H. and M.H.; writing—original draft preparation, K.S.; writing—review and editing, Y.H., W.Y., L.H., X.Z., E.L., J.J. and M.S.; visualization, K.S.; supervision, Y.H.; project administration, Y.H.; funding acquisition, Y.H. and J.J. All authors have read and agreed to the published version of the manuscript.
Funding
This project was funded by USDA-ARS 2023 AI-COE/SCINet graduate student internship (opportunity ID 11) and USDA-ARS National Program 216 federal in-house appropriated project (Project Number: 6064-21600-001-000-D).
Institutional Review Board Statement
This manuscript has been internally reviewed by USDA ARS before being approved to submit to the journal with the log number of 420998 in the Agricultural Research Information System.
Data Availability Statement
The raw data supporting the conclusions of this article will be made available by the authors on request.
Conflicts of Interest
The authors declare no conflict of interest.
References
- Sagar, B.; Cauvery, N. Agriculture data analytics in crop yield estimation: A critical review. Indones. J. Electr. Eng. Comput. Sci. 2018, 12, 1087–1093. [Google Scholar] [CrossRef]
- Tsouros, D.C.; Bibi, S.; Sarigiannidis, P.G. A review on UAV-based applications for precision agriculture. Information 2019, 10, 349. [Google Scholar] [CrossRef]
- Sishodia, R.P.; Ray, R.L.; Singh, S.K. Applications of remote sensing in precision agriculture: A review. Remote Sens. 2020, 12, 3136. [Google Scholar] [CrossRef]
- Surya, P.; Aroquiaraj, I.L. Crop yield prediction in agriculture using data mining predictive analytic techniques. Int. J. Res. Anal. Rev. 2018, 5, 783–787. [Google Scholar]
- Wang, T.; Xu, X.; Wang, C.; Li, Z.; Li, D. From smart farming towards unmanned farms: A new mode of agricultural production. Agriculture 2021, 11, 145. [Google Scholar] [CrossRef]
- Ji, Z.; Pan, Y.; Zhu, X.; Zhang, D.; Dai, J. Prediction of corn yield in the USA Corn Belt using satellite data and machine learning: From an evapotranspiration perspective. Agriculture 2022, 12, 1263. [Google Scholar] [CrossRef]
- Maes, W.H.; Steppe, K. Perspectives for remote sensing with unmanned aerial vehicles in precision agriculture. Trends Plant Sci. 2019, 24, 152–164. [Google Scholar] [CrossRef]
- Hussain, N.; Sarfraz, S.; Javed, S. A systematic review on crop-yield prediction through unmanned aerial vehicles. In Proceedings of the 2021 16th International Conference on Emerging Technologies (ICET), Islamabad, Pakistan, 22–23 December 2021; pp. 1–9. [Google Scholar]
- Mishra, S.; Mishra, D.; Santra, G.H. Applications of machine learning techniques in agricultural crop production: A review paper. Indian J. Sci. Technol. 2016, 9, 38. [Google Scholar] [CrossRef]
- Attri, I.; Awasthi, L.K.; Sharma, T.P. Machine learning in agriculture: A review of crop management applications. Multimed. Tools Appl. 2023, 83, 12875–12915. [Google Scholar] [CrossRef]
- Kumar, C.; Mubvumba, P.; Huang, Y.; Dhillon, J.; Reddy, K. Multi-stage corn yield prediction using high-resolution UAV multispectral data and machine learning models. Agronomy 2023, 13, 1277. [Google Scholar] [CrossRef]
- Huang, L.; Liu, Y.; Huang, W.; Dong, Y.; Ma, H.; Wu, K.; Guo, A. Combining random forest and XGBoost methods in detecting early and mid-term winter wheat stripe rust using canopy level hyperspectral measurements. Agriculture 2022, 12, 74. [Google Scholar] [CrossRef]
- Ballester, C.; Brinkhoff, J.; Quayle, W.C.; Hornbuckle, J. Monitoring the effects of water stress in cotton using the green red vegetation index and red edge ratio. Remote Sens. 2019, 11, 873. [Google Scholar] [CrossRef]
- Gitelson, A.A.; Gritz, Y.; Merzlyak, M.N. Relationships between leaf chlorophyll content and spectral reflectance and algorithms for non-destructive chlorophyll assessment in higher plant leaves. J. Plant Physiol. 2003, 160, 271–282. [Google Scholar] [CrossRef] [PubMed]
- Vincini, M.; Frazzi, E.; D’Alessio, P. A broad-band leaf chlorophyll vegetation index at the canopy scale. Precis. Agric. 2008, 9, 303–319. [Google Scholar] [CrossRef]
- Jiang, Z.; Huete, A.R.; Didan, K.; Miura, T. Development of a two-band enhanced vegetation index without a blue band. Remote Sens. Environ. 2008, 112, 3833–3845. [Google Scholar] [CrossRef]
- Gitelson, A.A.; Viña, A.; Arkebauer, T.J.; Rundquist, D.C.; Keydan, G.; Leavitt, B. Remote estimation of leaf area index and green leaf biomass in maize canopies. Geophys. Res. Lett. 2003, 30, 1248. [Google Scholar] [CrossRef]
- Gitelson, A.A.; Kaufman, Y.J.; Merzlyak, M.N. Use of a green channel in remote sensing of global vegetation from EOS-MODIS. Remote Sens. Environ. 1996, 58, 289–298. [Google Scholar] [CrossRef]
- Ramoelo, A.; Skidmore, A.K.; Cho, M.A.; Schlerf, M.; Mathieu, R.; Heitkönig, I.M.A. Regional estimation of savanna grass nitrogen using the red-edge band of the spaceborne RapidEye sensor. Int. J. Appl. Earth Obs. Geoinf. 2012, 19, 151–162. [Google Scholar] [CrossRef]
- Qi, J.; Chehbouni, A.; Huete, A.R.; Kerr, Y.H.; Sorooshian, S. A modified soil adjusted vegetation index. Remote Sens. Environ. 1994, 48, 119–126. [Google Scholar] [CrossRef]
- Portz, G.; Molin, J.P.; Jasper, J. Active crop sensor to detect variability of nitrogen supply and biomass on sugarcane fields. Precis. Agric. 2012, 13, 33–44. [Google Scholar] [CrossRef]
- Haboudane, D.; Miller, J.R.; Pattey, E.; Zarco-Tejada, P.J.; Strachan, L.B. Hyperspectral vegetation indices and novel algorithms for predicting green LAI of crop canopies: Modeling and validation in the context of precision agriculture. Remote Sens. Environ. 2004, 90, 337–352. [Google Scholar] [CrossRef]
- Venancio, L.P.; Mantovani, E.C.; do Amaral, C.H.; Neale, C.M.U.; Gonçalves, I.Z.; Filgueiras, R.; Eugenio, F.C. Potential of using spectral vegetation indices for corn green biomass estimation based on their relationship with the photosynthetic vegetation sub-pixel fraction. Agric. Water Manag. 2020, 236, 106155. [Google Scholar] [CrossRef]
- San Bautista, A.; Fita, D.; Franch, B.; Castiñeira-Ibáñez, S.; Arizo, P.; Sánchez-Torres, M.J.; Becker-Reshef, I.; Uris, A.; Rubio, C. Crop monitoring strategy based on remote sensing data (Sentinel-2 and Planet), study case in a rice field after applying glycinebetaine. Agronomy 2022, 12, 708. [Google Scholar] [CrossRef]
- Gitelson, A.A.; Merzlyak, M.N. Quantitative estimation of chlorophyll-a using reflectance spectra: Experiments with autumn chestnut and maple leaves. J. Photochem. Photobiol. B Biol. 1994, 22, 247–252. [Google Scholar] [CrossRef]
- Rouse, J.W.J.; Haas, R.H.; Schell, J.A.; Deering, D.W. Monitoring vegetation systems in the Great Plains with ERTS. NASA Spec. Publ. 1974, 351, 309. [Google Scholar]
- Hassan, M.A.; Yang, M.; Rasheed, A.; Jin, X.; Xia, X.; Xiao, Y.; He, Z. Time-series multispectral indices from unmanned aerial vehicle imagery reveal senescence rate in bread wheat. Remote Sens. 2018, 10, 809. [Google Scholar] [CrossRef]
- Qiao, L.; Tang, W.; Gao, D.; Zhao, R.; An, L.; Li, M.; Sun, H.; Song, D. UAV-based chlorophyll content estimation byevaluating vegetation index responses under different crop coverages. Comput. Electron. Agric. 2022, 196, 106775. [Google Scholar] [CrossRef]
- Zhou, X.; Zheng, H.; Xu, X.; He, J.; Ge, X.; Yao, X.; Cheng, T.; Zhu, Y.; Cao, W.; Tian, Y. Predicting grain yield in rice using multi- temporal vegetation indices from UAV-based multispectral and digital imagery. ISPRS J. Photogramm. Remote Sens. 2017, 130, 246–255. [Google Scholar] [CrossRef]
- Huete, A.R. A soil-adjusted vegetation index (SAVI). Remote Sens. Environ. 1988, 25, 295–309. [Google Scholar] [CrossRef]
- Raper, T.B.; Varco, J.J. Canopy-scale wavelength and vegetative index sensitivities to cotton growth parameters and nitrogen status. Precis. Agric. 2015, 16, 62–76. [Google Scholar] [CrossRef]
- Kamath, P.; Patil, P.; Shrilatha, S.; Sowmya, S. Crop yield forecasting using data mining. Glob. Transit. Proc. 2021, 2, 402–407. [Google Scholar] [CrossRef]
- Shirsath, P.B.; Aggarwal, P.K.; Thornton, P.K.; Dunnett, A. Prioritizing climatesmart agricultural land use options at a regional scale. Agric. Syst. 2017, 151, 174–183. [Google Scholar] [CrossRef]
- Kuhnert, M.; Veness, J.; Minett, A. LASSO regression for feature selection in agriculture. Environ. Model. Softw. 2010, 25, 1235–1241. [Google Scholar]
- Tagarakis, A.; Balafoutis, A.; Fountas, S.; Liakos, V.; Gemtos, T. Smart irrigation systems for precision agriculture. Agric. Water Manag. 2017, 184, 135–146. [Google Scholar]
- Oyebamiji, O.K.; Rivas Lopez, M.O.; Miralles-Wilhelm, F. Crop yield prediction using support vector regression with envi-ronmental datasets. Environ. Model. Softw. 2019, 122, 104522. [Google Scholar]
- Wasternack, C.; Song, S. Random Forest-based feature selection for soil and crop analysis. Field Crops Res. 2017, 214, 137–145. [Google Scholar]
- Abirami, S.; Khanna, V. An intelligent decision support system for pest detection and control in agriculture using Random Forest. J. Agric. Inform. 2016, 7, 43–50. [Google Scholar]
- Chen, T.; Guestrin, C. Applications of XGBoost in agricultural decision-making. In Proceedings of the ACM SIGKDD International Conference, San Francisco, CA, USA, 13–17 August 2016. [Google Scholar]
- Masoud, A.; Hasan, M. Predicting agricultural productivity using XGBoost and satellite data. Comput. Electron. Agric. 2018, 154, 256–267. [Google Scholar]
- Kuppan, P.; Priya, V.V. Crop yield prediction using ensemble machine learning techniques. SN Comput. Sci. 2024, 5, 1160. [Google Scholar] [CrossRef]
- Pantazi, X.E.; Moshou, D.; Bravo, C. Detection of crop diseases using ensemble learning techniques. Precis. Agric. 2016, 17, 23–42. [Google Scholar]
Disclaimer/Publisher’s Note: The statements, opinions and data contained in all publications are solely those of the individual author(s) and contributor(s) and not of MDPI and/or the editor(s). MDPI and/or the editor(s) disclaim responsibility for any injury to people or property resulting from any ideas, methods, instructions or products referred to in the content. |
© 2025 by the authors. Licensee MDPI, Basel, Switzerland. This article is an open access article distributed under the terms and conditions of the Creative Commons Attribution (CC BY) license (https://creativecommons.org/licenses/by/4.0/).