Performance of Camellia oleifera Seedlings Under Alkali Stress Improved by Spraying with Types of Exogenous Biostimulants
Abstract
1. Introduction
2. Materials and Methods
2.1. Plant Material
2.2. Alkali Stress Treatment
2.3. Color Parameters
2.4. Index Measurement
2.4.1. Relative Chlorophyll Content (SPAD)
2.4.2. Malondialdehyde (MDA) Content and Electrolytic Leakage (EL)
2.4.3. Photosynthetic Parameters
2.4.4. Chlorophyll Fluorescence Parameters
2.5. Soluble Sugars (SS) and Soluble Proteins (SP) Content
2.6. Proline Content
2.7. Antioxidant Enzyme Activities
2.8. Statistical Analysis
3. Results
3.1. Influence of EB on Phenotype and SPAD of Under Alkaline Stress
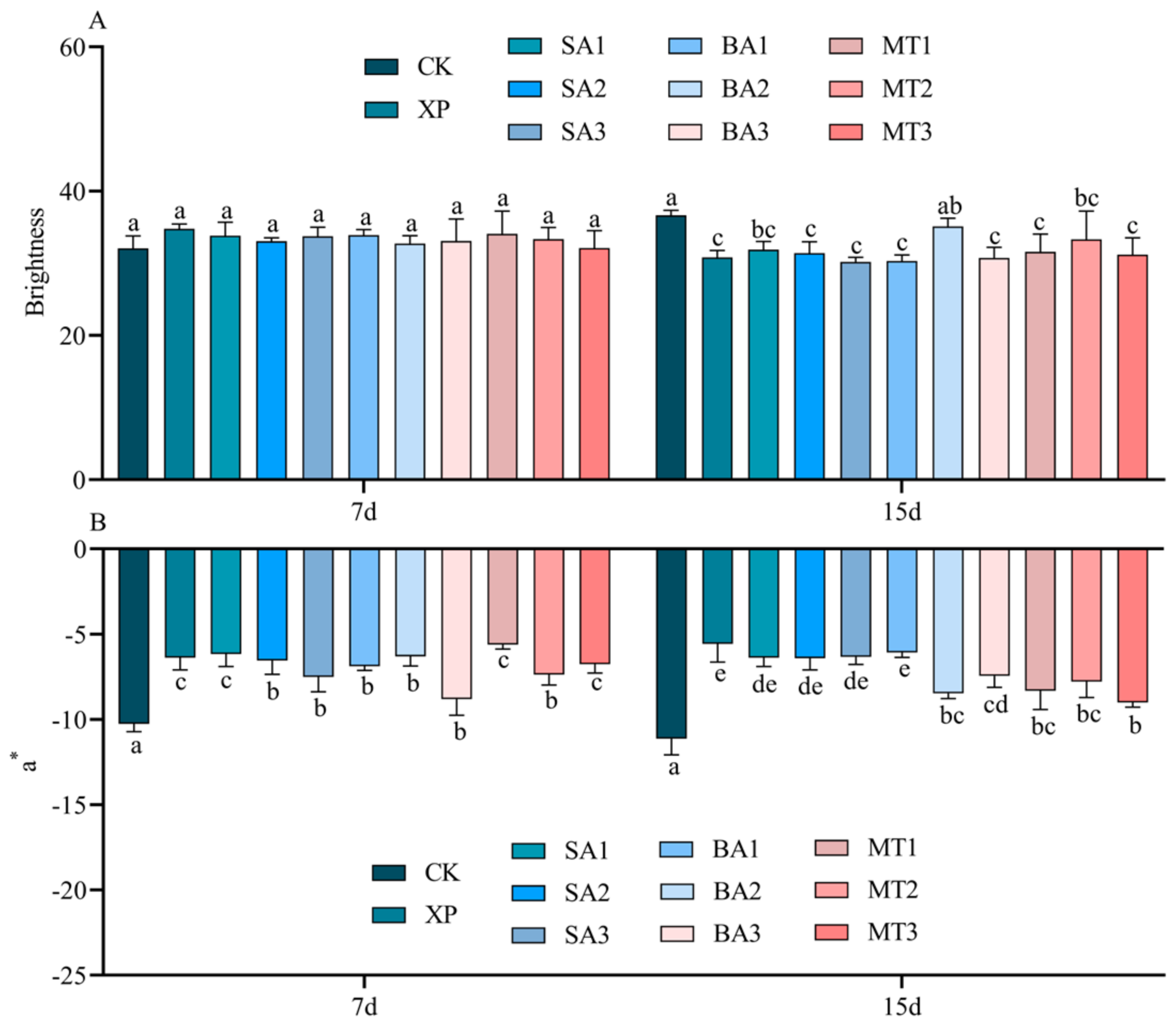
3.2. Influence of EB on Leaf Colour Parameters Under Alkali Stress
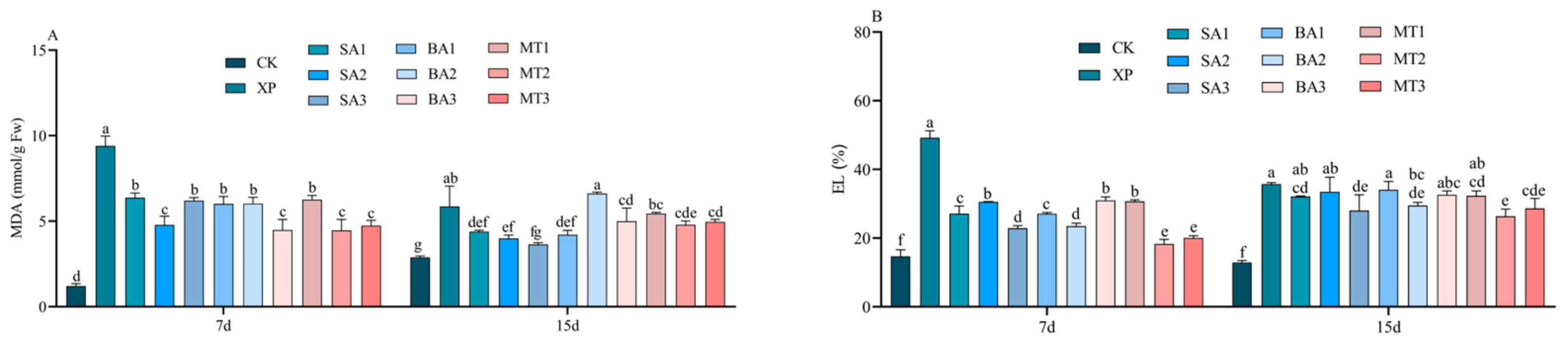
3.3. Influence of EB on MDA Content and EL of Under Alkali Stress
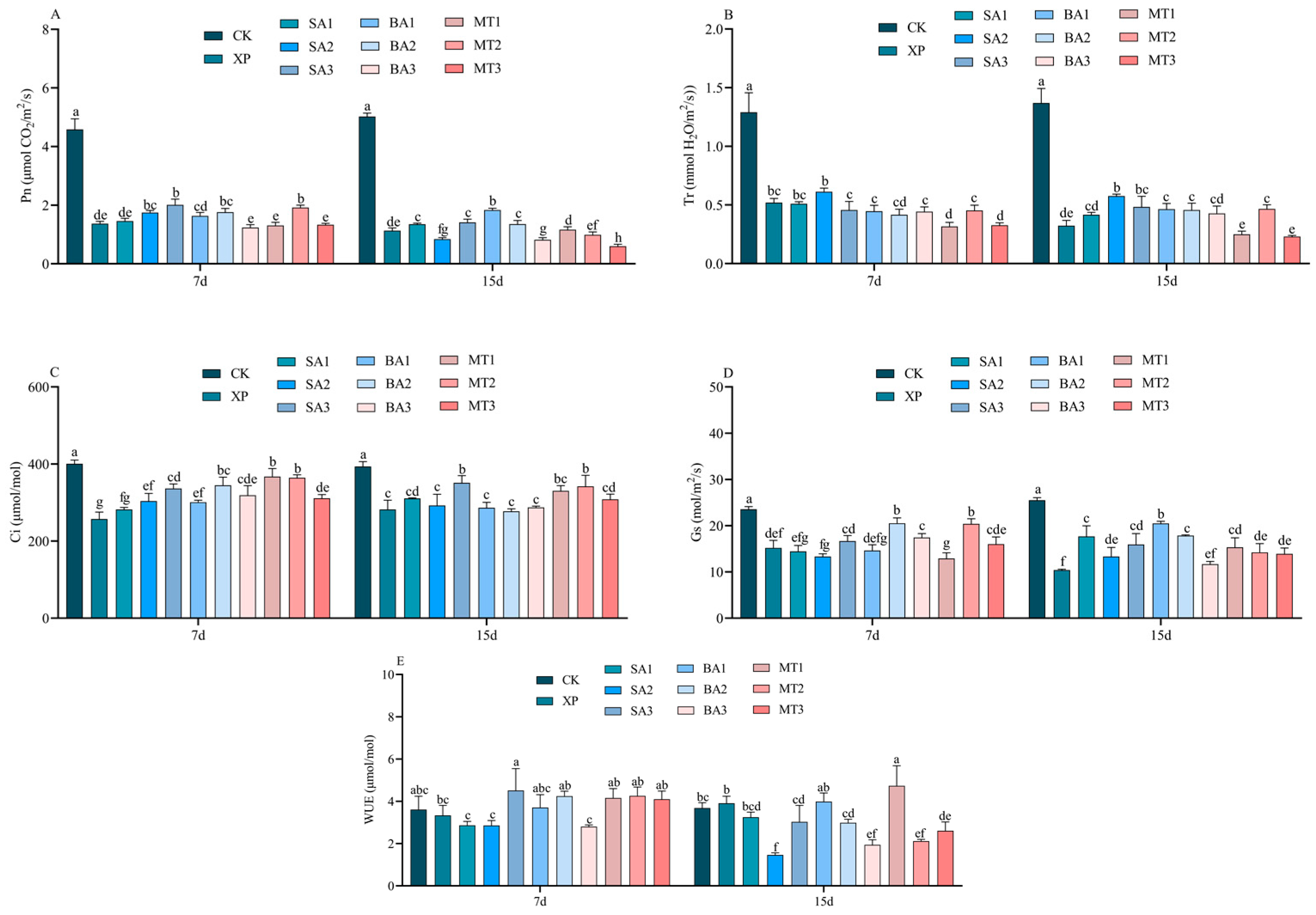
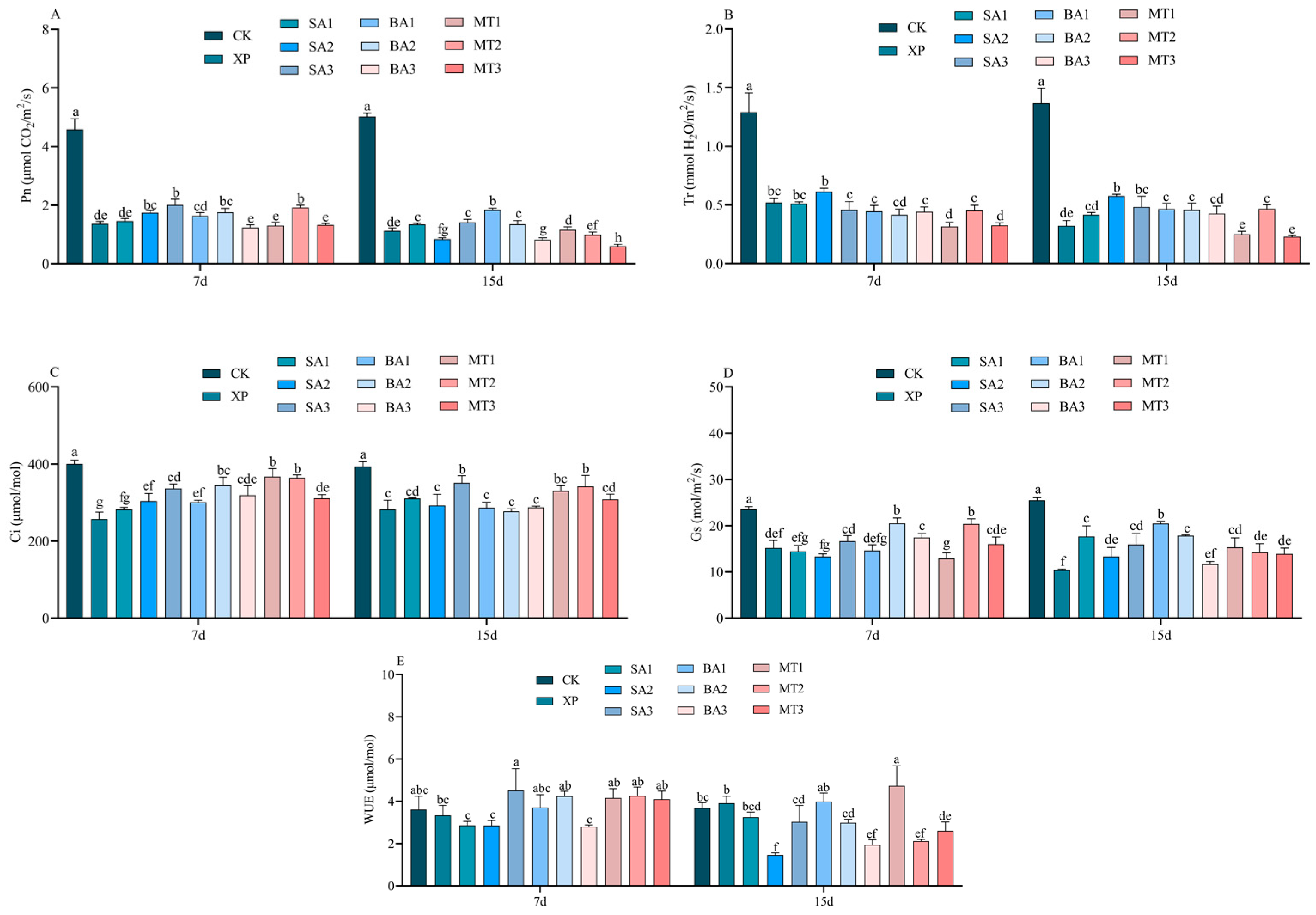
3.4. Influence of EB on Photosynthetic Parameters Under Alkali Stress
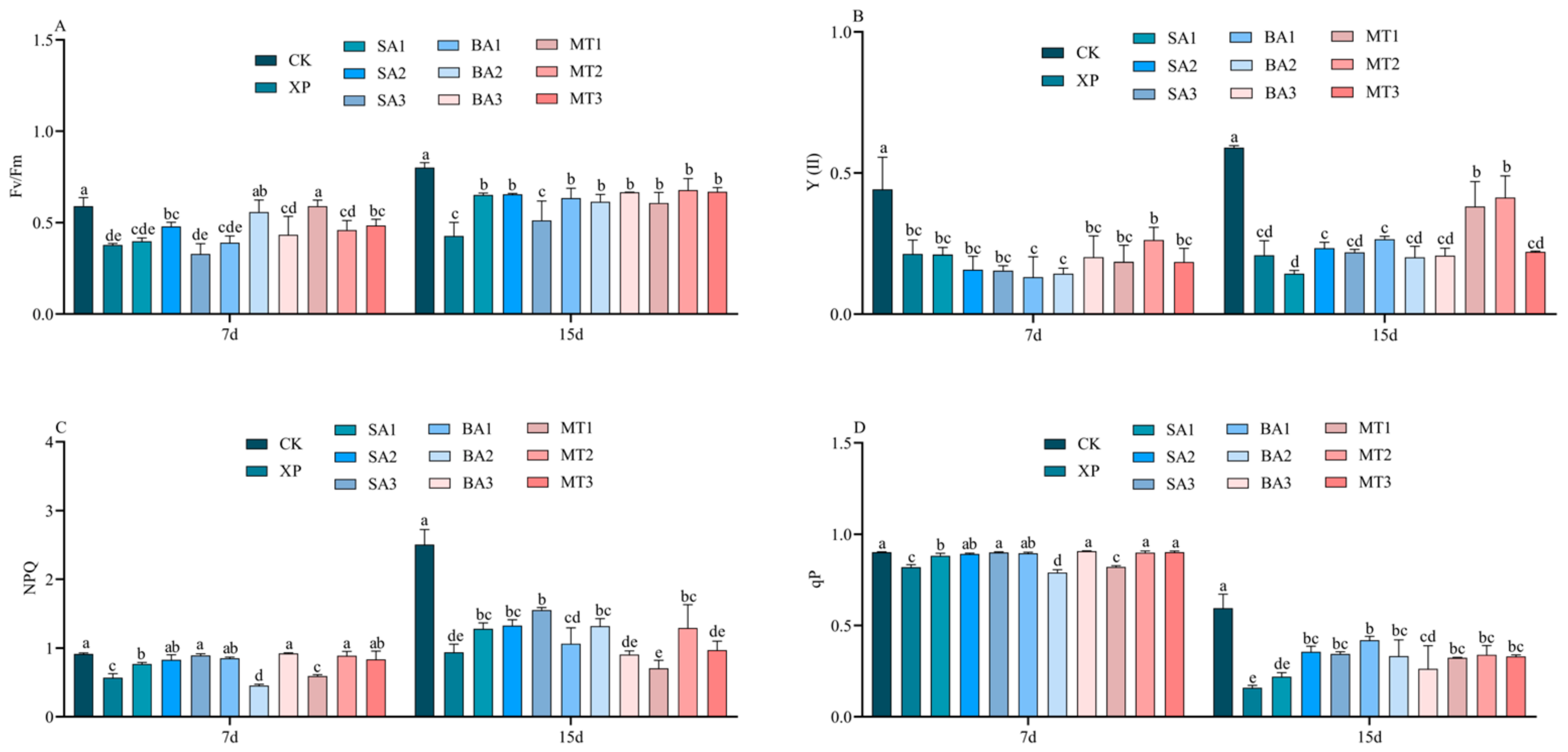
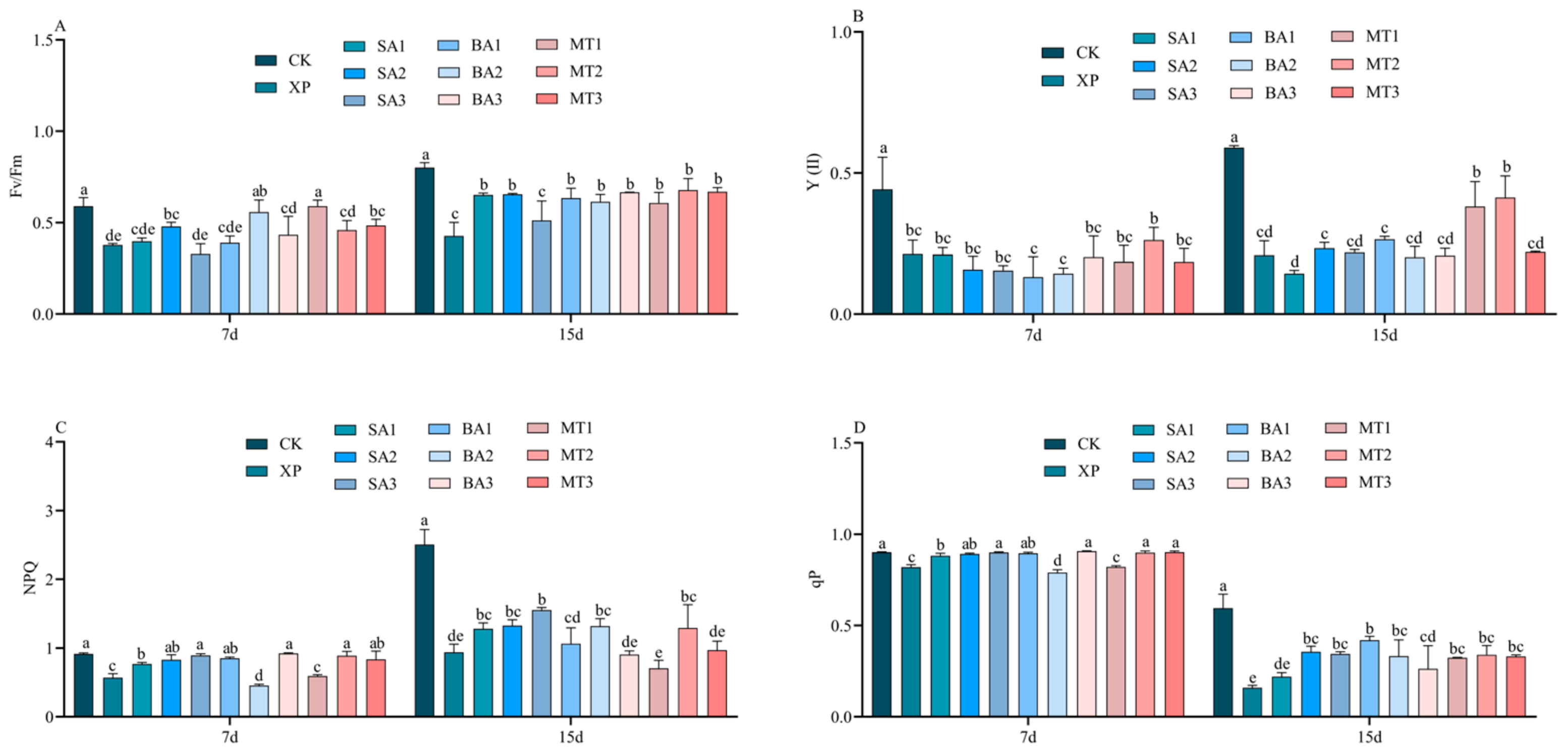
3.5. Influence of EB on Chlorophyll Fluorescence Parameters Under Alkali Stress
3.6. Influence of EB on Osmoregulatory Substances Under Alkali Stress
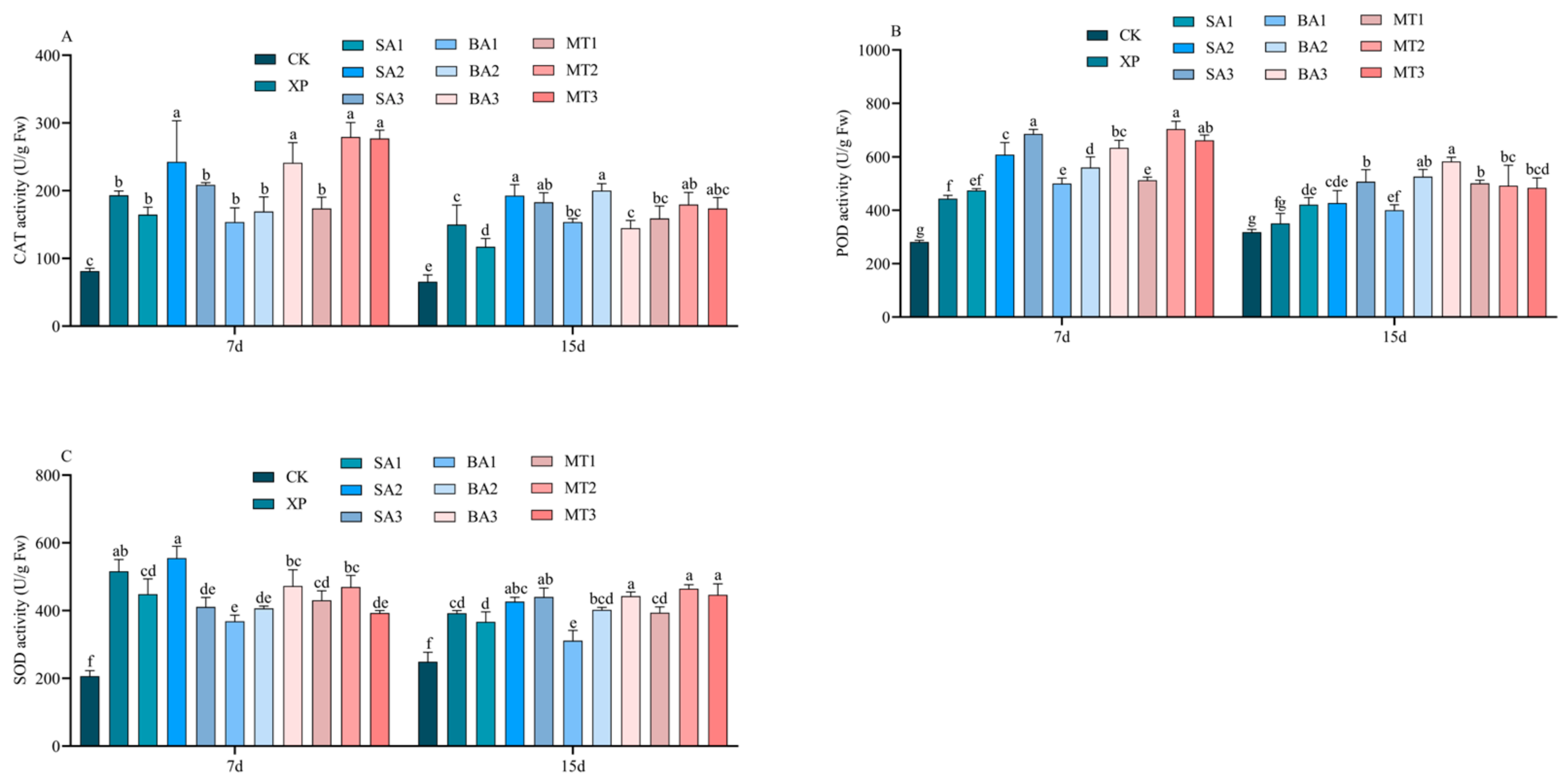
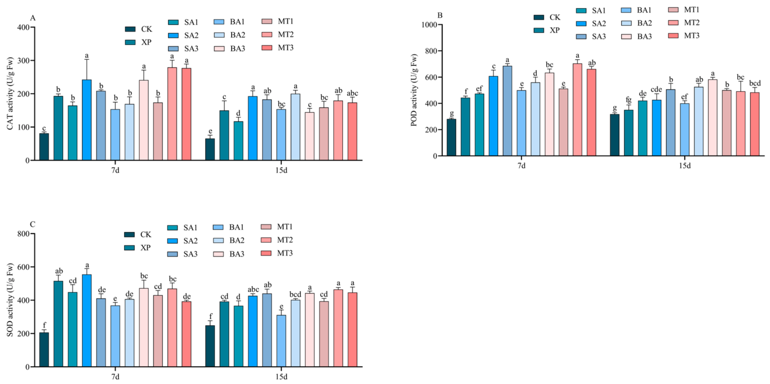
3.7. Influence of EB on the Enzymatic Antioxidant Activity Under Alkali Stress
3.8. Correlation Analysis
3.9. Comprehensive Assessment
4. Discussion
5. Conclusions
Author Contributions
Funding
Institutional Review Board Statement
Data Availability Statement
Conflicts of Interest
References
- Caon, L.; Forlano, N.; Keene, C.; Sala, M.; Sorokin, A.; Verbeke, I.; Ward, C. Status of the World’s Soil Resources. Master’s Thesis, Food and Agriculture Organization of the United Nations, Rome, Italy, 2015; pp. 124–126. [Google Scholar]
- Radanielson, A.M.; Angeles, O.; Li, T.; Ismail, A.M.; Gaydon, D.S. Describing the physiological responses of different rice genotypes to salt stress using sigmoid and piecewise linear functions. Field Crops Res. 2018, 220, 46–56. [Google Scholar] [CrossRef] [PubMed]
- Wang, H.; Takano, T.; Liu, S.K. Screening and evaluation of saline–alkaline tolerant germplasm of rice (Oryza sativa L.) in soda saline–alkali soil. Agronomy 2018, 8, 205. [Google Scholar] [CrossRef]
- Zurbriggen, M.D.; Hajirezaei, M.R.; Carrillo, N. Engineering the future. Development of transgenic plants with enhanced tolerance to adverse environments. Biotechnol. Genet. 2010, 27, 33–56. [Google Scholar] [CrossRef] [PubMed]
- Bravo, S.; Amorós, J.A.; Pérez-de-los-Reyes, C.; García-Navarro, F.J.; Moreno, M.M.; Sánchez-Ormeño, M.; Higueras, P.L. Influence of the soil pH in the uptake and bioaccumulation of heavy metals and other elements in vine leaves, Castilla-La Mancha (Spain). J. Geochem. Explor. 2017, 174, 79–83. [Google Scholar] [CrossRef]
- Li, N.; Zhang, Z.H.; Gao, S.; Lv, Y.; Chen, Z.J.; Cao, B.L.; Xu, K. Different responses of two Chinese cabbage (Brassica rapa L. ssp. pekinensis) cultivars in photosynthetic characteristics and chloroplast ultrastructure to salt and alkali stress. Planta 2021, 254, 102. [Google Scholar]
- Huang, J.H.; Cai, Z.J.; Wen, S.X.; Guo, P.; Ye, X.; Lin, G.Z.; Chen, L.S. Effects of boron toxicity on root and leafanatomy in two Citrus species differing in boron tolerancel. Trees 2014, 28, 1653–1666. [Google Scholar] [CrossRef]
- Singh, N.; Bhatla, S.C. Nitric oxide and iron modulate heme oxygenase activity as a long distance signaling response to salt stress in sunflower seedling cotyledons. Nitric Oxide 2016, 53, 54–64. [Google Scholar] [CrossRef]
- Choudhury, F.K.; Rivero, R.M.; Blumwald, E.; Mittler, R. Reactive oxygen species, abiotic stress and stress combination. Plant J. 2017, 90, 856–867. [Google Scholar] [CrossRef]
- Lv, B.S.; Ma, H.Y.; Li, X.W.; Wei, L.X.; Lv, H.Y.; Yang, H.Y.; Jiang, C.J.; Liang, Z.W. Proline accumulation is not correlated with saline-alkaline stress tolerance in rice seedlings. Agron. J. 2015, 107, 51–60. [Google Scholar] [CrossRef]
- Zhang, H.; Liu, X.L.; Zhang, R.X.; Yuan, H.Y.; Wang, M.M.; Yang, H.Y.; Ma, H.Y.; Liu, D.; Jiang, C.J.; Liang, Z.W. Root damage under alkaline stress is associated with reactive oxygen species accumulation in rice (Oryza sativa L.). Front. Plant Sci. 2017, 8, 1580. [Google Scholar] [CrossRef]
- Lee, C.P.; Yen, G.C. Antioxidant activity and bioactive compounds of tea seed (Camellia oleifera Abel.) oil. J. Agric. Food Chem. 2006, 54, 779–784. [Google Scholar] [CrossRef] [PubMed]
- Wang, X.Q.; Zeng, Q.M.; Del Mar Contreras, M.; Wang, L.J. Profiling and quantification of phenolic compounds in Camellia seed oils: Natural tea polyphenols in vegetable oil. Food Res. Int. 2017, 102, 184–194. [Google Scholar] [CrossRef] [PubMed]
- Zhang, N.; Zhao, B.; Zhang, H.J.; Weeda, S.; Yang, C.; Yang, Z.C.; Ren, S.; Guo, Y.D. Melatonin promotes water stress tolerance, lateral root formation and seed germination in cucumber (Cucumis sativus L.). J. Pineal Res. 2013, 54, 15–23. [Google Scholar] [CrossRef] [PubMed]
- Chungloo, D.; Tisarum, R.; Samphumphuang, T.; Pipatsitee, P.; Sotesaritkul, T.; Cha-Um, S. Exogenous glycine betaine alleviates water-deficit stress in Indian pennywort (Centella asiatica) under greenhouse conditions. Protoplasma 2024, 261, 625–639. [Google Scholar] [CrossRef]
- Ma, X.H.; Zheng, J.; Zhang, X.; Hu, Q.D.; Qian, R.J. Salicylic acid alleviates the adverse effects of salt stress on Dianthus superbus (Caryophyllaceae) by activating photosynthesis, protecting morphological structure, and enhancing the antioxidant system. Front. Plant Sci. 2017, 8, 600. [Google Scholar] [CrossRef]
- He, X.S.; Xu, L.C.; Pan, C.; Gong, C.; Wang, Y.J.; Liu, X.L.; Yu, Y.C. Drought resistance of Camellia oleifera under drought stress: Changes in physiology and growth characteristics. PLoS ONE 2020, 15, e0235795. [Google Scholar] [CrossRef]
- Yang, H.; Zhou, H.Y.; Yang, X.N.; Zhan, J.J.; Zhou, H.; Wang, C.; Yu, Y.; Lu, X.Y.; Chen, Y.Z.; Tian, Y. Transcriptomic analysis of Camellia oleifera in response to drought stress using high throughput RNA-seq. Russ. J. Plant Physiol. 2017, 64, 728–737. [Google Scholar] [CrossRef]
- Denavi, G.; Tapia-Bl’acido, D.R.; An’on, M.C.; Sobral, P.J.A.; Mauri, A.N.; Menegalli, F.C. Effects of drying conditions on some physical properties of soy protein films. J. Food Eng. 2009, 90, 341–349. [Google Scholar] [CrossRef]
- Wang, J.Y.; Qiao, Q.; Tao, J.H. The physiological response of three narcissus pseudonarcissus under NaCl stress. Am. J. Plant Sci. 2019, 10, 447–461. [Google Scholar] [CrossRef]
- Feng, N.J.; Yu, M.L.; Li, Y.; Jin, D.; Zheng, D.F. Prohexadione-calcium alleviates saline-alkali stress in soybean seedlings by improving the photosynthesis and up-regulating antioxidant defense. Ecotoxicol. Environ. Saf. 2021, 220, 112369. [Google Scholar] [CrossRef]
- Graham, D.; Smydzuc, J. Use of anthrone in the quantitative determination of hexose phosphates. Anal. Biochem. 1965, 11, 246–255. [Google Scholar] [CrossRef] [PubMed]
- Bradford, M.M. A rapid and sensitive method for the quantitation of microgram quantities of protein utilizing the principle of protein-dye binding. Anal. Biochem. 1976, 72, 248–254. [Google Scholar] [CrossRef] [PubMed]
- Bates, L.S.; Waldren, R.P.; Tear, I.D. Rapid determination of free proline for water stressed studies. Plant Soil 1973, 39, 205–207. [Google Scholar] [CrossRef]
- Zhang, X.Z. The measurement and mechanism of lipid peroxidation and SOD, POD and CAT activities in biological system. In Research Methodology of Crop Physiology; Agriculture Press: Beijing, China, 1992; pp. 197–212. [Google Scholar]
- Long, J.T.; Dong, M.J.; Wang, C.Q.; Miao, Y.J. Effects of drought and salt stress on seed germination and seedling growth of Elymus nutans. PeerJ 2023, 11, e15968. [Google Scholar] [CrossRef]
- Neelam, S.; Subramanyam, R. Alteration of photochemistry and protein degradation of photosystem II from Chlamydomonas reinhardtii under high salt grown cells. J. Photochem. Photobiol. B Biol. 2013, 124, 63–70. [Google Scholar] [CrossRef]
- Luo, Y.; Hu, T.T.; Huo, Y.Y.; Wang, L.L.; Zhang, L.; Yan, R. Effects of exogenous melatonin on Chrysanthemum physiological characteristics and photosynthesis under drought stress. Horticulturae 2023, 9, 106. [Google Scholar] [CrossRef]
- Altaf, M.A.; Shahid, R.; Ren, M.X.; Naz, S.; Altaf, M.M.; Khan, L.U.; Tiwari, R.K.; Lal, M.K.; Shahid, M.A.; Kumar, R.; et al. Melatonin improves drought stress tolerance of tomato by modulating plant growth, root architecture, photosynthesis, and antioxidant defense system. Antioxidants 2022, 11, 309. [Google Scholar] [CrossRef]
- Bose, S.K.; Howlader, P. Melatonin plays multifunctional role in horticultural crops against environmental stresses: A review. Environ. Exp. Bot. 2020, 176, 104063. [Google Scholar] [CrossRef]
- Li, J.T.; Qiu, Z.B.; Zhang, X.W.; Wang, L.S. Exogenous hydrogen peroxide can enhance tolerance of wheat seedlings to salt stress. Acta Physiol. Plant 2011, 33, 835–842. [Google Scholar]
- Wang, J.; Zhang, Y.X.; Yan, X.R.; Guo, J.P. Physiological and transcriptomic analyses of yellow horn (Xanthoceras sorbifolia) provide important insights into salt and saline-alkali stress tolerance. PLoS ONE 2020, 15, e0244365. [Google Scholar] [CrossRef]
- Arnao, M.B.; Hernández-Ruiz, J. Functions of melatonin in plants: A review. J. Pineal Res. 2015, 59, 133–150. [Google Scholar] [CrossRef] [PubMed]
- Li, C.; Tan, D.X.; Liang, D.; Chang, C.; Jia, D.F.; Ma, F.W. Melatonin mediates the regulation of ABA metabolism, free-radical scavenging, and stomatal behaviour in two Malus species under drought stress. J. Exp. Bot. 2015, 66, 669–680. [Google Scholar] [CrossRef] [PubMed]
- Gupta, P.; Srivastava, S.; Seth, C.S. 24-Epibrassinolide and sodium nitroprusside alleviate the salinity stress in Brassica juncea L. cv. Varuna through cross talk among proline, nitrogen metabolism and abscisic acid. Plant Soil 2017, 411, 483–498. [Google Scholar] [CrossRef]
- Shemi, R.; Wang, R.; Gheith, E.M.S.; Hussain, H.A.; Cholidah, L.; Zhang, K.P.; Zhang, S.; Wang, L.C. Role of exogenous-applied salicylic acid, zinc and glycine betaine to improve drought-tolerance in wheat during reproductive growth stages. BMC Plant Biol. 2021, 21, 574. [Google Scholar] [CrossRef]
- Wang, P.; Sun, X.; Li, C.; Wei, Z.W.; Liang, D.; Ma, F.W. Long-term exogenous application of melatonin delays drought-induced leaf senescence in apple. J. Pineal Res. 2013, 54, 292–302. [Google Scholar] [CrossRef]
- Wang, J.; Shi, S.H.; Wang, D.Y.; Sun, Y.; Zhu, M.; Li, F.H. Exogenous salicylic acid ameliorates waterlogging stress damages and improves photosynthetic efficiency and antioxidative defense system in waxy corn. Photosynthetica 2021, 59, 84–94. [Google Scholar] [CrossRef]
- Yue, J.Q.; Zhang, S.Y.; Li, X.D.; Shao, Y.H.; Fang, B.T.; Ge, S.X.; Wang, H.F.; Zhang, D.Q.; Yang, C.; Shi, Y.H.; et al. Effect of low temperature stress on chlorophyll fluorescence parameters and yield of Wheat. J. Oftriticeae Crops 2021, 40, 105–110. (In Chinese) [Google Scholar]
- Liu, J.L.; Wang, W.X.; Wang, L.Y.; Sun, Y. Exogenous melatonin improves seedling health index and drought tolerance in tomato. Plant Growth Regul. 2015, 77, 317–326. [Google Scholar] [CrossRef]
- Zhang, P.; Hu, Y.; Zhou, R.J.; Zhang, X.N.; Hu, H.L.; Lang, D.M. The antioxidant system response to drought-stressed Diospyros lotus treated with exogenous melatonin. PeerJ 2022, 10, e13936. [Google Scholar] [CrossRef]
- Molla, M.R.; Rohman, M.M.; Islam, M.R.; Hasanuzzaman, M.; Hassan, L. Screening and evaluation of chilli (Capsicum annuum L.) genotypes for waterlogging tolerance at seedling stage. Biocell 2022, 46, 1613–1627. [Google Scholar] [CrossRef]
- Faried, H.N.; Ayyub, C.M.; Amjad, M.; Ahmed, R.; Wattoo, F.M.; Butt, M.; Bashir, M.; Shaheen, M.R.; Waqas, M.A. Salicylic acid confers salt tolerance in potato plants by improving water relations, gaseous exchange, antioxidant activities and osmoregulation. J. Sci. Food Agric. 2017, 97, 1868–1875. [Google Scholar] [CrossRef] [PubMed]
- Khan, I.; Raza, M.A.; Awan, S.A.; Shah, G.A.; Rizwan, M.; Ali, B.; Tariq, R.; Hassan, M.J.; Alyemeni, M.N.; Brestic, M.; et al. Amelioration of salt induced toxicity in pearl millet by seed priming with silver nanoparticles (AgNPs): The oxidative damage, antioxidant enzymes and ions uptake are major determinants of salt tolerant capacity. Plant Physiol. Biochem. 2020, 156, 221–232. [Google Scholar] [CrossRef] [PubMed]
- HAsanuzzaman, M.; Oku, H.; Nahar, K.; Borhannuddin Bhuyan, M.H.M.; Al Mahumud, J.; Baluska, F.; Fujita, M. Nitric oxide-induced salt stress tolerance in plants: ROS metabolism, signaling, and molecular interactions. Plant Biotechnol. Rep. 2018, 12, 77–92. [Google Scholar] [CrossRef]
- Alam, P.; Albalawi, T.H.; Altalayan, F.H.; Bakht, M.A.; Ahanger, M.A.; Raja, V.; Ashraf, M.; Ahmad, P. 24-Epibrassinolide (EBR) confers tolerance against NaCl stress in soybean plants by up-regulating antioxidant system, ascorbateglutathione cycle, and glyoxalase system. Biomolecules 2019, 9, 640. [Google Scholar] [CrossRef]
- Mushtaq, N.; Iqbal, S.; Hayat, F.; Raziq, A.; Ayaz, A.; Zaman, W. Melatonin in micro-tom tomato: Improved drought tolerance via the regulation of the photosynthetic apparatus, membrane stability, osmoprotectants, and root system. Life 2022, 12, 1922. [Google Scholar] [CrossRef]
- Sardar, H.; Ramzan, M.A.; Naz, S.; Ali, S.; Ejaz, S.; Ahmad, R.; Altaf, M.A. Exogenous application of melatonin improves the growth and productivity of two broccoli (Brassica oleracea L.) cultivars under salt stress. J. Plant Growth Regul. 2023, 42, 5152–5166. [Google Scholar] [CrossRef]
- Keunen, E.; Peshev, D.; Vangronsveld, J.; Van Den Ende, W.; Cuypers, A. Plant sugars are crucial players in the oxidative challenge during abiotic stress: Extending the traditional concept. Plant Cell Environ. 2013, 36, 1242–1255. [Google Scholar] [CrossRef]
- Li, C.; Wang, P.; Wei, Z.W.; Liang, D.; Liu, C.H.; Yin, L.H.; Jia, D.F.; Fu, M.Y.; Ma, F.W. The mitigation effects of exogenous melatonin on salinity-induced stress in Malus hupehensis. J. Pineal Res. 2012, 53, 298–306. [Google Scholar] [CrossRef]
- Mutlu, S.; Atici, O.; Nalbantoglu, B. Effects of salicylic acid and salinity on apoplastic antioxidant enzymes in two wheat cultivars differing in salt tolerance. Biol. Plant. 2009, 53, 334–448. [Google Scholar] [CrossRef]











| TG | μ1 | μ2 | μ3 | μ4 | Comprehensive Scores | Ranking |
|---|---|---|---|---|---|---|
| CK | 1.000 | 0.621 | 0.869 | 0.465 | 0.9271 | 1 |
| XP | 0.000 | 0.827 | 1.000 | 1.000 | 0.1913 | 7 |
| SA1 | 0.087 | 0.437 | 0.957 | 0.473 | 0.1910 | 8 |
| SA2 | 0.194 | 0.190 | 0.988 | 0.000 | 0.2290 | 6 |
| SA3 | 0.234 | 0.144 | 0.557 | 0.628 | 0.2533 | 4 |
| BA1 | 0.079 | 0.137 | 0.738 | 0.618 | 0.1397 | 11 |
| BA2 | 0.139 | 1.000 | 0.000 | 0.361 | 0.2469 | 5 |
| BA3 | 0.296 | 0.000 | 0.302 | 0.759 | 0.2757 | 3 |
| MT1 | 0.041 | 0.605 | 0.691 | 0.003 | 0.1451 | 10 |
| MT2 | 0.379 | 0.332 | 0.189 | 0.497 | 0.3673 | 2 |
| MT3 | 0.161 | 0.149 | 0.371 | 0.336 | 0.1768 | 9 |
| Weight | 0.787 | 0.125 | 0.054 | 0.035 |
| TG | μ1 | μ2 | Comprehensive Scores | Ranking |
|---|---|---|---|---|
| CK | 1.000 | 0.775 | 0.9819 | 1 |
| XP | 0.000 | 0.881 | 0.0708 | 11 |
| SA1 | 0.190 | 1.000 | 0.2550 | 8 |
| SA2 | 0.397 | 0.885 | 0.4359 | 2 |
| SA3 | 0.196 | 0.922 | 0.2539 | 9 |
| BA1 | 0.261 | 0.936 | 0.3150 | 6 |
| BA2 | 0.284 | 0.914 | 0.3350 | 3 |
| BA3 | 0.247 | 0.924 | 0.3013 | 7 |
| MT1 | 0.264 | 0.925 | 0.3171 | 5 |
| MT2 | 0.265 | 0.921 | 0.3178 | 4 |
| MT3 | 0.187 | 0.000 | 0.1719 | 10 |
| Weight | 0.9196 | 0.0804 |
Disclaimer/Publisher’s Note: The statements, opinions and data contained in all publications are solely those of the individual author(s) and contributor(s) and not of MDPI and/or the editor(s). MDPI and/or the editor(s) disclaim responsibility for any injury to people or property resulting from any ideas, methods, instructions or products referred to in the content. |
© 2025 by the authors. Licensee MDPI, Basel, Switzerland. This article is an open access article distributed under the terms and conditions of the Creative Commons Attribution (CC BY) license (https://creativecommons.org/licenses/by/4.0/).
Share and Cite
Kong, Q.; Zheng, S.; Li, W.; Liang, H.; Zhou, L.; Yang, H.; Jiang, X.; Feng, S.; Chen, T.; Ding, C. Performance of Camellia oleifera Seedlings Under Alkali Stress Improved by Spraying with Types of Exogenous Biostimulants. Agriculture 2025, 15, 274. https://doi.org/10.3390/agriculture15030274
Kong Q, Zheng S, Li W, Liang H, Zhou L, Yang H, Jiang X, Feng S, Chen T, Ding C. Performance of Camellia oleifera Seedlings Under Alkali Stress Improved by Spraying with Types of Exogenous Biostimulants. Agriculture. 2025; 15(3):274. https://doi.org/10.3390/agriculture15030274
Chicago/Turabian StyleKong, Qingbo, Shiheng Zheng, Wei Li, Heng Liang, Lijun Zhou, Hongyu Yang, Xiaoyu Jiang, Shiling Feng, Tao Chen, and Chunbang Ding. 2025. "Performance of Camellia oleifera Seedlings Under Alkali Stress Improved by Spraying with Types of Exogenous Biostimulants" Agriculture 15, no. 3: 274. https://doi.org/10.3390/agriculture15030274
APA StyleKong, Q., Zheng, S., Li, W., Liang, H., Zhou, L., Yang, H., Jiang, X., Feng, S., Chen, T., & Ding, C. (2025). Performance of Camellia oleifera Seedlings Under Alkali Stress Improved by Spraying with Types of Exogenous Biostimulants. Agriculture, 15(3), 274. https://doi.org/10.3390/agriculture15030274

