Interpretable LAI Fine Inversion of Maize by Fusing Satellite, UAV Multispectral, and Thermal Infrared Images
Abstract
1. Introduction
2. Materials and Methods
2.1. Study Area
2.2. Data Acquisition and Processing
2.2.1. Remote Sensing Data
2.2.2. Ground Data
2.3. Two-Stage Remote Sensing Data Fusion Method
2.4. Construction of the LAI Inversion Model Based on Machine Learning
2.4.1. Multi-Scale Sampling Points Window Selection
2.4.2. Feature Engineering
2.5. Modeling and Evaluation
2.5.1. Modeling
2.5.2. Evaluation Metrics
3. Results
3.1. Accuracy of Coarse Fusion in Two-Stage Remote Sensing Data Fusion Method
3.2. Training of LAI Fine Inversion Models
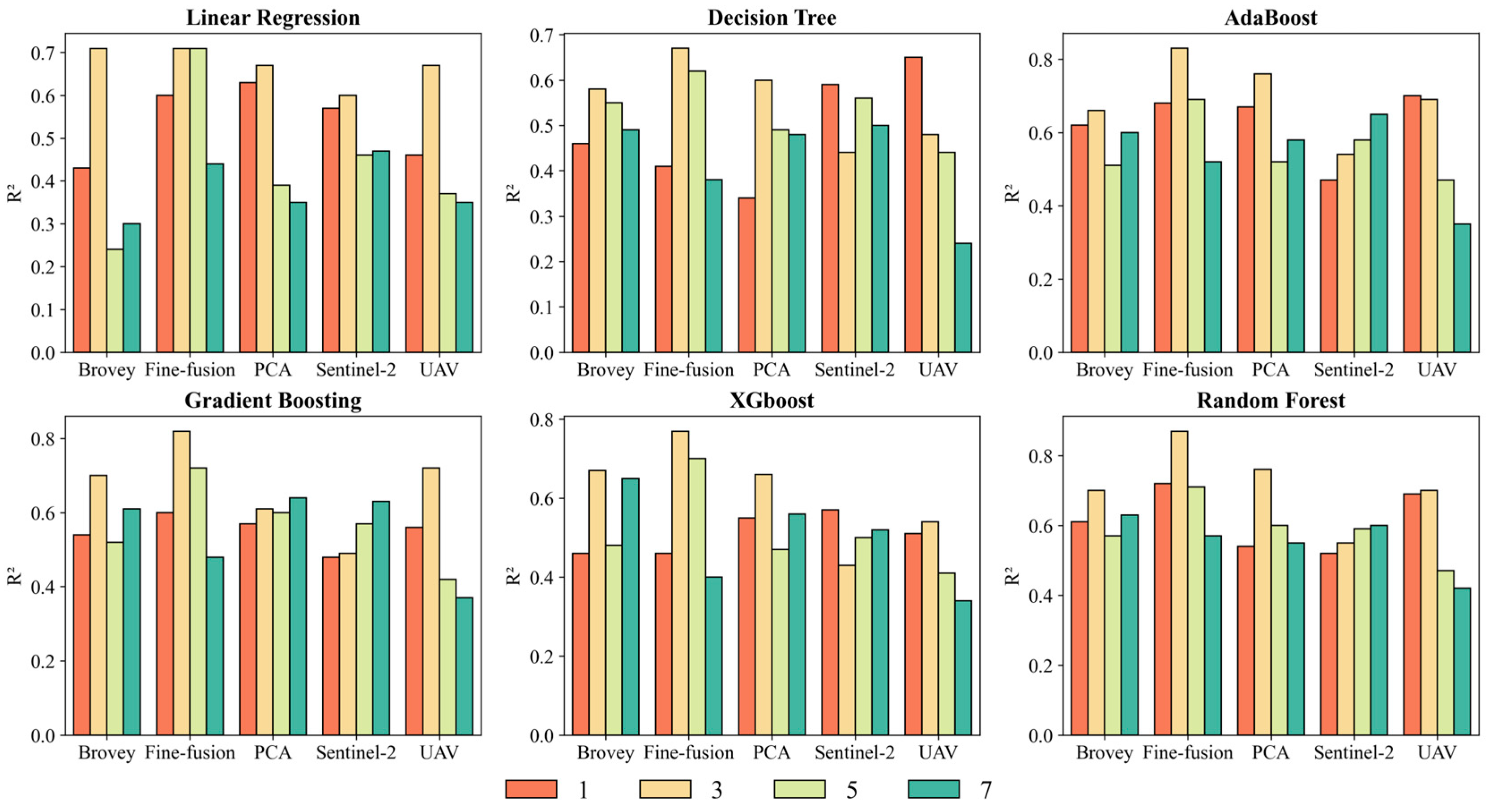
3.2.1. Selection of Sampling Points Extraction Window
3.2.2. Interpreting LAI Inversion Models
3.2.3. Model Parameter Selection Based Grid Search Method
3.3. LAI Inversion Model Performance
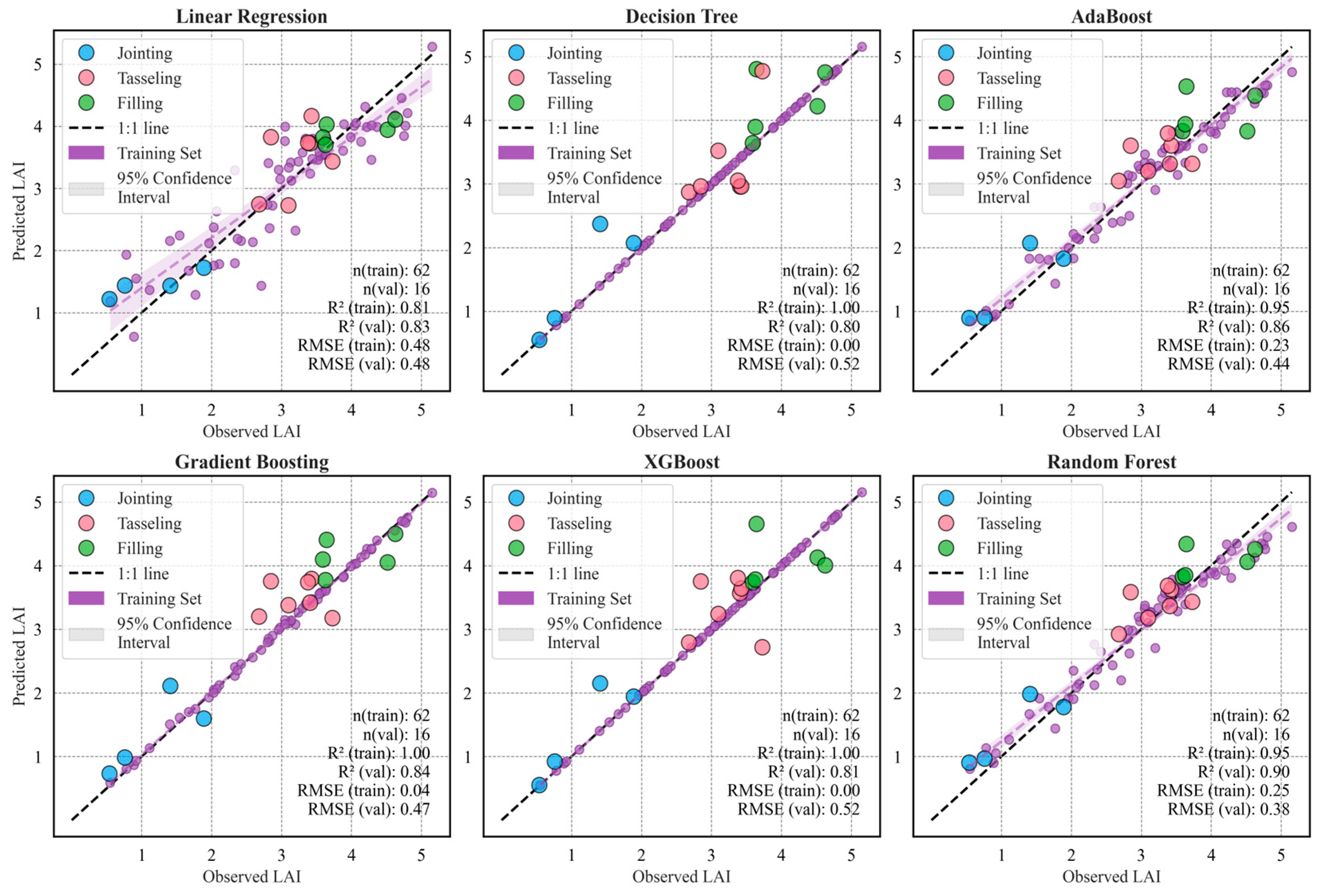
3.3.1. Quantitative Evaluation of LAI Fine Inversion Model
3.3.2. Qualitative Evaluation of the LAI Fine Inversion Model
4. Discussion
4.1. Feature Extraction and Selection
4.2. LAI Inversion by Remote Sensing
4.3. The Advantages of Remote Sensing Data Fusion
4.4. Limitations and Future Work
5. Conclusions
- Through the two-stage remote sensing data fusion method proposed in this paper, the combination of spatial and spectral integrity and consistency was achieved, providing a high-quality data basis for LAI inversion and significantly improving the accuracy and detail fidelity of the inversion model.
- Under the conditions of the optimal 3 × 3 feature sampling window and 9 features including canopy temperature, the inversion accuracy of the Random Forest model in the whole growth stage reaches R2 = 0.90, RMSE = 0.38 m2/m2. Compared with the single UAV data mode (R2 = 0.73), the fusion mode in this paper increases by nearly 25%; the values in the jointing, tasseling, and filling stages are 0.87, 0.86, and 0.62, respectively, and the RMSE values are 0.28 m2/m2, 0.15 m2/m2, and 0.42 m2/m2, respectively. Simultaneously, the details inside the plot are more completely retained, and the difference between the bare soil area and the maize plot is more significant. The LAI in different sowing periods and growth stages has a better distinguishing effect than that inverted by a single image source.
- This study verified the effectiveness of the UAV thermal infrared imagse in LAI inversion, indicating that there is a certain correlation between the canopy temperature and LAI, providing a theoretical basis for the fine inversion of LAI by fusing thermal infrared data.
Author Contributions
Funding
Institutional Review Board Statement
Data Availability Statement
Acknowledgments
Conflicts of Interest
Correction Statement
References
- Li, Z.; Shen, G.; Hong, T.; Yu, M.; Li, B.; Gu, Y.; Guo, Y.; Han, J. The Nutritive Quality Comparison of the Processed Fresh Sweet-Waxy Corn from Three Regions in China. J. Food Compos. Anal. 2024, 126, 105872. [Google Scholar] [CrossRef]
- Zhang, Y.; Xia, C.; Zhang, X.; Cheng, X.; Feng, G.; Wang, Y.; Gao, Q. Estimating the Maize Biomass by Crop Height and Narrowband Vegetation Indices Derived from UAV-Based Hyperspectral Images. Ecol. Indic. 2021, 129, 107985. [Google Scholar] [CrossRef]
- Kalogeropoulos, G.; Elli, E.F.; Trifunovic, S.; Archontoulis, S.V. Historical Increases of Maize Leaf Area Index in the US Corn Belt Due Primarily to Plant Density Increases. Field Crops Res. 2024, 318, 109615. [Google Scholar] [CrossRef]
- Huang, X.; Lin, D.; Mao, X.; Zhao, Y. Multi-Source Data Fusion for Estimating Maize Leaf Area Index over the Whole Growing Season under Different Mulching and Irrigation Conditions. Field Crops Res. 2023, 303, 109111. [Google Scholar] [CrossRef]
- Guo, Y.; Hao, F.; Zhang, X.; He, Y.; Fu, Y.H. Improving Maize Yield Estimation by Assimilating UAV-Based LAI into WOFOST Model. Field Crops Res. 2024, 315, 109477. [Google Scholar] [CrossRef]
- Wang, X.; Ren, J.; Wu, P. Analysis of Growth Variation in Maize Leaf Area Index Based on Time-Series Multispectral Images and Random Forest Models . Agronomy 2024, 14, 2688. [Google Scholar] [CrossRef]
- Tsouros, D.C.; Bibi, S.; Sarigiannidis, P.G. A Review on UAV-Based Applications for Precision Agriculture. Information 2019, 10, 349. [Google Scholar] [CrossRef]
- Toscano, F.; Fiorentino, C.; Capece, N.; Erra, U.; Travascia, D.; Scopa, A.; Drosos, M.; D’Antonio, P. Unmanned Aerial Vehicle for Precision Agriculture: A Review. IEEE Access 2024, 12, 69188–69205. [Google Scholar] [CrossRef]
- Gao, X.; Yao, Y.; Chen, S.; Li, Q.; Zhang, X.; Liu, Z.; Zeng, Y.; Ma, Y.; Zhao, Y.; Li, S. Improved Maize Leaf Area Index Inversion Combining Plant Height Corrected Resampling Size and Random Forest Model Using UAV Images at Fine Scale. Eur. J. Agron. 2024, 161, 127360. [Google Scholar] [CrossRef]
- Parida, P.K.; Somasundaram, E.; Krishnan, R.; Radhamani, S.; Sivakumar, U.; Parameswari, E.; Raja, R.; Shri Rangasami, S.R.; Sangeetha, S.P.; Gangai Selvi, R. Unmanned Aerial Vehicle-Measured Multispectral Vegetation Indices for Predicting LAI, SPAD Chlorophyll, and Yield of Maize. Agriculture 2024, 14, 1110. [Google Scholar] [CrossRef]
- Guo, A.; Ye, H.; Huang, W.; Qian, B.; Wang, J.; Lan, Y.; Wang, S. Inversion of Maize Leaf Area Index from UAV Hyperspectral and Multispectral Imagery. Comput. Electron. Agric. 2023, 212, 108020. [Google Scholar] [CrossRef]
- Wang, Y.; Wang, P.; Tansey, K.; Liu, J.; Delaney, B.; Quan, W. An Interpretable Approach Combining Shapley Additive Explanations and LightGBM Based on Data Augmentation for Improving Wheat Yield Estimates. Comput. Electron. Agric. 2025, 229, 109758. [Google Scholar] [CrossRef]
- Ming, L.; Wang, Y.; Liu, G.; Meng, L.; Chen, X. Analysis of Vegetation Dynamics from 2001 to 2020 in China’s Ganzhou Rare Earth Mining Area Using Time Series Remote Sensing and SHAP-Enhanced Machine Learning. Ecol. Inform. 2024, 84, 102887. [Google Scholar] [CrossRef]
- Yan, P.; Feng, Y.; Han, Q.; Hu, Z.; Huang, X.; Su, K.; Kang, S. Enhanced Cotton Chlorophyll Content Estimation with UAV Multispectral and LiDAR Constrained SCOPE Model. Int. J. Appl. Earth Obs. Geoinf. 2024, 132, 104052. [Google Scholar] [CrossRef]
- Ma, H.; Song, J.; Wang, J.; Xiao, Z.; Fu, Z. Improvement of Spatially Continuous Forest LAI Retrieval by Integration of Discrete Airborne LiDAR and Remote Sensing Multi-Angle Optical Data. Agric. For. Meteorol. 2014, 189–190, 60–70. [Google Scholar] [CrossRef]
- Rivera, G.; Porras, R.; Florencia, R.; Sánchez-Solís, J.P. LiDAR Applications in Precision Agriculture for Cultivating Crops: A Review of Recent Advances. Comput. Electron. Agric. 2023, 207, 107737. [Google Scholar] [CrossRef]
- Yang, H.; Wang, L.; Zhang, X.; Shi, Y.; Wu, Y.; Jiang, Y.; Wang, X. Exploring Optimal Soil Moisture for Seedling Tomatoes Using Thermal Infrared Imaging and Chlorophyll Fluorescence Techniques. Sci. Hortic. 2025, 339, 113846. [Google Scholar] [CrossRef]
- Kukal, M.; Irmak, S. Transpiration Dynamics in Co-Located Maize, Sorghum, and Soybean Closed Canopies and Their Environmental Controls. J. Nat. Resour. Agric. Ecosyst. 2024, 2, 1–15. [Google Scholar] [CrossRef]
- Jiang, J.; Zhang, Q.; Wang, W.; Wu, Y.; Zheng, H.; Yao, X.; Zhu, Y.; Cao, W.; Cheng, T. MACA: A Relative Radiometric Correction Method for Multiflight Unmanned Aerial Vehicle Images Based on Concurrent Satellite Imagery. IEEE Trans. Geosci. Remote Sens. 2022, 60, 1–14. [Google Scholar] [CrossRef]
- Dong, T.; Liu, J.; Qian, B.; Zhao, T.; Jing, Q.; Geng, X.; Wang, J.; Huffman, T.; Shang, J. Estimating Winter Wheat Biomass by Assimilating Leaf Area Index Derived from Fusion of Landsat-8 and MODIS Data. Int. J. Appl. Earth Obs. Geoinf. 2016, 49, 63–74. [Google Scholar] [CrossRef]
- Liu, T.; Duan, S.-B.; Liu, N.; Wei, B.; Yang, J.; Chen, J.; Zhang, L. Estimation of Crop Leaf Area Index Based on Sentinel-2 Images and PROSAIL-Transformer Coupling Model. Comput. Electron. Agric. 2024, 227, 109663. [Google Scholar] [CrossRef]
- Delavarpour, N.; Koparan, C.; Nowatzki, J.; Bajwa, S.; Sun, X. A Technical Study on UAV Characteristics for Precision Agriculture Applications and Associated Practical Challenges. Remote Sens. 2021, 13, 1204. [Google Scholar] [CrossRef]
- Li, Y.; Ma, Q.; Chen, J.; Croft, H.; Luo, X.; Zheng, T.; Rogers, C.; Liu, J. Fine-Scale Leaf Chlorophyll Distribution across a Deciduous Forest through Two-Step Model Inversion from Sentinel-2 Data. Remote Sens. Environ. 2021, 264, 112618. [Google Scholar] [CrossRef]
- Radoglou-Grammatikis, P.; Sarigiannidis, P.; Lagkas, T.; Moscholios, I. A Compilation of UAV Applications for Precision Agriculture. Comput. Netw. 2020, 172, 107148. [Google Scholar] [CrossRef]
- Alvarez-Vanhard, E.; Corpetti, T.; Houet, T. UAV & Satellite Synergies for Optical Remote Sensing Applications: A Literature Review. Sci. Remote Sens. 2021, 3, 100019. [Google Scholar] [CrossRef]
- Popescu, D.; Stoican, F.; Stamatescu, G.; Ichim, L.; Dragana, C. Advanced UAV–WSN System for Intelligent Monitoring in Precision Agriculture. Sensors 2020, 20, 817. [Google Scholar] [CrossRef]
- Zhang, L.; Shen, H. Progress and Future of Remote Sensing Data Fusion. Natl. Remote Sens. Bull. 2016, 20, 1050–1061. [Google Scholar] [CrossRef]
- Chen, Y.; Zhao, M.; Bruzzone, L. A Novel Approach to Incomplete Multimodal Learning for Remote Sensing Data Fusion. IEEE Trans. Geosci. Remote Sens. 2024, 62, 1–14. [Google Scholar] [CrossRef]
- Jing, W.; Lou, T.; Wang, Z.; Zou, W.; Xu, Z.; Mohaisen, L.; Li, C.; Wang, J. A Rigorously-Incremental Spatiotemporal Data Fusion Method for Fusing Remote Sensing Images. IEEE J. Sel. Top. Appl. Earth Obs. Remote Sens. 2023, 16, 6723–6738. [Google Scholar] [CrossRef]
- Yin, Z.; Wu, P.; Li, X.; Hao, Z.; Ma, X.; Fan, R.; Liu, C.; Ling, F. Super-Resolution Water Body Mapping with a Feature Collaborative CNN Model by Fusing Sentinel-1 and Sentinel-2 Images. Int. J. Appl. Earth Obs. Geoinf. 2024, 134, 104176. [Google Scholar] [CrossRef]
- Abunnasr, Y.; Mhawej, M. Towards a Combined Landsat-8 and Sentinel-2 for 10-m Land Surface Temperature Products: The Google Earth Engine Monthly Ten-ST-GEE System. Environ. Model. Softw. 2022, 155, 105456. [Google Scholar] [CrossRef]
- Shi, W.; Li, Y.; Zhang, W.; Yu, C.; Zhao, C.; Qiu, J. Monitoring and Zoning Soybean Maturity Using UAV Remote Sensing. Ind. Crops Prod. 2024, 222, 119470. [Google Scholar] [CrossRef]
- Xin, J.; Ming, B.; Xue, B.; Yang, H.; Guo, H.; Feng, D.; Xie, R.; Wang, K.; Hou, P.; Li, S.; et al. Unmanned Aerial Vehicle Multispectral Remote Sensing for Monitoring of Nitrogen Nutritional Indicators in High-Yielding Spring Maize in Northeast China. J. Maize Sci. 2024, 32, 92–101. [Google Scholar] [CrossRef]
- Ajin, R.S.; Segoni, S.; Fanti, R. Optimization of SVR and CatBoost Models Using Metaheuristic Algorithms to Assess Landslide Susceptibility. Sci. Rep. 2024, 14, 24851. [Google Scholar] [CrossRef] [PubMed]
- Usta, A. Prediction of Soil Water Contents and Erodibility Indices Based on Artificial Neural Networks: Using Topography and Remote Sensing. Environ. Monit. Assess. 2022, 194, 794. [Google Scholar] [CrossRef]
- Li, X.; Jia, H.; Wang, L. Remote Sensing Monitoring of Drought in Southwest China Using Random Forest and eXtreme Gradient Boosting Methods. Remote Sens. 2023, 15, 4840. [Google Scholar] [CrossRef]
- Jiang, Z.; Huete, A.; Kim, Y.; Didan, K. 2-Band Enhanced Vegetation Index without a Blue Band and Its Application to AVHRR Data. Proc. SPIE—Int. Soc. Opt. Eng. 2007, 6679, 45–53. [Google Scholar] [CrossRef]
- Roujean, J.-L.; Breon, F.-M. Estimating PAR Absorbed by Vegetation from Bidirectional Reflectance Measurements. Remote Sens. Environ. 1995, 51, 375–384. [Google Scholar] [CrossRef]
- Lu, J.; Miao, Y.; Shi, W.; Li, J.; Yuan, F. Evaluating Different Approaches to Non-Destructive Nitrogen Status Diagnosis of Rice Using Portable RapidSCAN Active Canopy Sensor. Sci. Rep. 2017, 7, 14073. [Google Scholar] [CrossRef]
- Beck, P.S.A.; Atzberger, C.; Høgda, K.A.; Johansen, B.; Skidmore, A.K. Improved Monitoring of Vegetation Dynamics at Very High Latitudes: A New Method Using MODIS NDVI. Remote Sens. Environ. 2006, 100, 321–334. [Google Scholar] [CrossRef]
- Jordan, C.F. Derivation of Leaf-Area Index from Quality of Light on the Forest Floor. Ecology 1969, 50, 663–666. [Google Scholar] [CrossRef]
- Gitelson, A.A.; Viña, A.; Ciganda, V.; Rundquist, D.C.; Arkebauer, T.J. Remote Estimation of Canopy Chlorophyll Content in Crops. Geophys. Res. Lett. 2005, 32, GL022688. [Google Scholar] [CrossRef]
- Gitelson, A.A.; Kaufman, Y.J.; Merzlyak, M.N. Use of a Green Channel in Remote Sensing of Global Vegetation from EOS-MODIS. Remote Sens. Environ. 1996, 58, 289–298. [Google Scholar] [CrossRef]
- Sharifi, A.; Felegari, S. Remotely Sensed Normalized Difference Red-Edge Index for Rangeland Biomass Estimation. Aircr. Eng. Aerosp. Technol. 2023, 95, 1128–1136. [Google Scholar] [CrossRef]
- Sripada, R.P.; Heiniger, R.W.; White, J.G.; Meijer, A.D. Aerial Color Infrared Photography for Determining Early In-Season Nitrogen Requirements in Corn. Agron. J. 2006, 98, 968–977. [Google Scholar] [CrossRef]
- Elsayed, S.; Rischbeck, P.; Schmidhalter, U. Comparing the Performance of Active and Passive Reflectance Sensors to Assess the Normalized Relative Canopy Temperature and Grain Yield of Drought-Stressed Barley Cultivars. Field Crops Res. 2015, 177, 148–160. [Google Scholar] [CrossRef]
- Erdle, K.; Mistele, B.; Schmidhalter, U. Comparison of Active and Passive Spectral Sensors in Discriminating Biomass Parameters and Nitrogen Status in Wheat Cultivars. Field Crops Res. 2011, 124, 74–84. [Google Scholar] [CrossRef]
- McFeeters, S.K. The Use of the Normalized Difference Water Index (NDWI) in the Delineation of Open Water Features. Int. J. Remote Sens. 1996, 17, 1425–1432. [Google Scholar] [CrossRef]
- Qi, J.; Chehbouni, A.; Huete, A.; Kerr, Y.; Sorooshian, S. A Modified Soil Adjusted Vegetation Index. Remote Sens. Environ. 1994, 48, 119–126. [Google Scholar] [CrossRef]
- Huete, A.R. A Soil-Adjusted Vegetation Index (SAVI). Remote Sens. Environ. 1988, 25, 295–309. [Google Scholar] [CrossRef]
- Cui, X.; Wang, C.; An, S.; Qian, Y. Adaptive Fuzzy Neighborhood Decision Tree. Appl. Soft Comput. 2024, 167, 112435. [Google Scholar] [CrossRef]
- Yousefi, M.; Oskoei, V.; Esmaeli, H.R.; Baziar, M. An Innovative Combination of Extra Trees within Adaboost for Accurate Prediction of Agricultural Water Quality Indices. Results Eng. 2024, 24, 103534. [Google Scholar] [CrossRef]
- Fan, J.; Zheng, J.; Wu, L.; Zhang, F. Estimation of Daily Maize Transpiration Using Support Vector Machines, Extreme Gradient Boosting, Artificial and Deep Neural Networks Models. Agric. Water Manag. 2021, 245, 106547. [Google Scholar] [CrossRef]
- Li, Y.; Zeng, H.; Zhang, M.; Wu, B.; Zhao, Y.; Yao, X.; Cheng, T.; Qin, X.; Wu, F. A County-Level Soybean Yield Prediction Framework Coupled with XGBoost and Multidimensional Feature Engineering. Int. J. Appl. Earth Obs. Geoinf. 2023, 118, 103269. [Google Scholar] [CrossRef]
- Huang, M. Theory and Implementation of Linear Regression. In Proceedings of the 2020 International Conference on Computer Vision, Image and Deep Learning (CVIDL), Chongqing, China, 10–12 July 2020; pp. 210–217. [Google Scholar]
- Chandrasekaran, V. A Segmentation Method of Fused Multispectral and Panchromatic Images Using Quick Shift Algorithm and Brovey Transform. Int. J. Eng. Adv. Technol. 2019, 9, 486–494. [Google Scholar] [CrossRef]
- Wu, Z.; Huang, Y.; Zhang, K. Remote Sensing Image Fusion Method Based on PCA and Curvelet Transform. J. Indian Soc. Remote Sens. 2018, 46, 687–695. [Google Scholar] [CrossRef]
- Liu, S.; Jin, X.; Bai, Y.; Wu, W.; Cui, N.; Cheng, M.; Liu, Y.; Meng, L.; Jia, X.; Nie, C.; et al. UAV Multispectral Images for Accurate Estimation of the Maize LAI Considering the Effect of Soil Background. Int. J. Appl. Earth Obs. Geoinf. 2023, 121, 103383. [Google Scholar] [CrossRef]
- Yu, X.; Huo, X.; Qian, L.; Du, Y.; Liu, D.; Cao, Q.; Wang, W.; Hu, X.; Yang, X.; Fan, S. Combining UAV Multispectral and Thermal Infrared Data for Maize Growth Parameter Estimation. Agriculture 2024, 14, 2004. [Google Scholar] [CrossRef]
- Li, W.; Jiang, J.; Guo, T.; Zhou, M.; Tang, P.; Wang, Y.; Zhang, Y.; Cheng, T.; Zhu, Y.; Cao, W.; et al. Generating Red-Edge Images at 3 M Spatial Resolution by Fusing Sentinel-2 and Planet Satellite Products. Remote Sens. 2019, 11, 1422. [Google Scholar] [CrossRef]
- Zhai, W.; Li, C.; Fei, S.; Liu, Y.; Ding, F.; Cheng, Q.; Chen, Z. CatBoost Algorithm for Estimating Maize Above-Ground Biomass Using Unmanned Aerial Vehicle-Based Multi-Source Sensor Data and SPAD Values. Comput. Electron. Agric. 2023, 214, 108306. [Google Scholar] [CrossRef]
- Yang, W.; Wang, J.; Guo, J. A Novel Algorithm for Satellite Images Fusion Based on Compressed Sensing and PCA. Math. Probl. Eng. 2013, 2013, 708985. [Google Scholar] [CrossRef]
- Jia, Y.; Gao, J.; Huang, W.; Yuan, Y.; Wang, Q. Exploring Hard Samples in Multi-View for Few-Shot Remote Sensing Scene Classification. IEEE Trans. Geosci. Remote Sens. 2023, 61, 1–14. [Google Scholar] [CrossRef]
- Li, X.; He, H.; Shi, J. HDCCT: Hybrid Densely Connected CNN and Transformer for Infrared and Visible Image Fusion. Electronics 2024, 13, 3470. [Google Scholar] [CrossRef]










| Description | S-2 Bands | S-2 Center Wavelength (nm) | UAV Bands | UAV Center Wavelength (nm) | S-2 Acquisition Time | UAV Acquisition Time |
|---|---|---|---|---|---|---|
| Green | B3 | 560 | B1 | 560 | 2024-08-05 2024-08-20 2024-09-09 2024-09-24 | 2024-08-03 2024-08-20 2024-09-10 2024-09-26 |
| Red | B4 | 665 | B2 | 650 | ||
| Red Edge (REG) | B6 | 740 | B3 | 730 | ||
| Near Infrared (NIR) | B8 | 842 | B4 | 860 |
| Vegetation Index | Formulation | Reference | ||
|---|---|---|---|---|
| Index Class | Abbreviation | Full Name | ||
| Atmospheric VIs | EVI2 | Enhanced Vegetation Index 2 | 2.5 ∗ (NIR − Red)/(NIR + 2.4 ∗ Red + 1) | [37] |
| Structural VIs | DVI | Difference Vegetation Index | NIR − Red | [38] |
| MDD | Modified Difference in DVI | (NIR − REG) − (REG − Green) | [39] | |
| NDVI | Normalized Difference Vegetation Index | (NIR − Red)/(NIR + Red) | [40] | |
| RVI | Ratio Vegetation Index | NIR/Red | [41] | |
| Pigment VIs | GCI | Green Chlorophyll Index | NIR/Green − 1 | [42] |
| GNDVI | Green Normalized Difference Vegetation Index | (NIR − Green)/(NIR + Green) | [43] | |
| MCARI2 | Modified Chlorophyll Absorption Ratio Index 2 | 1.5 ∗ (2.5 ∗ (NIR − Red) − 1.3 ∗ (NIR − REG))/sqrt((2 ∗ NIR + 1)2 − (6 ∗ NIR − 5 ∗ sqrt(Red))) | [39] | |
| NDRE | Normalized Difference Red Edge Index | (NIR − REG)/(NIR + REG) | [44] | |
| NGI | Normalized Green Index | Green/(NIR + REG + Green) | [45] | |
| RENDVI | Red Edge NDVI | (REG − Red)/(REG + Red) | [46] | |
| RESR | Red Edge Simple Ratio | REG/Red | [47] | |
| Water VIs | NDWI | Normalized Difference Water Index | (Green − NIR)/(Green + NIR) | [48] |
| Soil VIs | MSAVI | Modified Soil-Adjusted Vegetation Index | (2 ∗ NIR + 1 − sqrt((2 ∗ NIR + 1)2 − 8 ∗ (NIR − Red)))/2 | [49] |
| SAVI | Soil-Adjusted Vegetation Index | (NIR − Red)/(NIR + Red + 0.5) ∗ 1.5 | [50] | |
| Model | n_Estimators | Max_Depth | Learning_Rate | Min_Samples_Split | R2 | MAE (m2/m2) | RMSE (m2/m2) |
|---|---|---|---|---|---|---|---|
| XGBoost | 20 | 1 | 0.01 | - | 0.81 | 0.39 | 0.52 |
| Decision Tree | - | 2 | - | 11 | 0.80 | 0.39 | 0.52 |
| AdaBoost | 100 | - | 0.11 | - | 0.86 | 0.37 | 0.44 |
| Gradient Boosting | 30 | 1 | 0.1 | 2 | 0.84 | 0.40 | 0.47 |
| Random Forest | 140 | 18 | - | 9 | 0.90 | 0.32 | 0.38 |
| Model | Jointing | Tasseling | Filling | All Stages | ||||
|---|---|---|---|---|---|---|---|---|
| RMSE (m2/m2) | RMSE (m2/m2) | RMSE (m2/m2) | RMSE (m2/m2) | |||||
| Linear Regression | 0.70 | 0.69 | 0.56 | 0.38 | 0.60 | 0.47 | 0.83 | 0.48 |
| Decision Tree | 0.79 | 0.38 | 0.57 | 0.32 | 0.61 | 0.44 | 0.80 | 0.52 |
| AdaBoost | 0.90 | 0.23 | 0.70 | 0.26 | 0.60 | 0.45 | 0.86 | 0.44 |
| Gradient Boosting | 0.74 | 0.44 | 0.77 | 0.26 | 0.67 | 0.39 | 0.84 | 0.47 |
| XGBoost | 0.83 | 0.31 | 0.64 | 0.27 | 0.53 | 0.48 | 0.81 | 0.52 |
| Random Forest | 0.87 | 0.28 | 0.86 | 0.15 | 0.62 | 0.42 | 0.90 | 0.38 |
Disclaimer/Publisher’s Note: The statements, opinions and data contained in all publications are solely those of the individual author(s) and contributor(s) and not of MDPI and/or the editor(s). MDPI and/or the editor(s) disclaim responsibility for any injury to people or property resulting from any ideas, methods, instructions or products referred to in the content. |
© 2025 by the authors. Licensee MDPI, Basel, Switzerland. This article is an open access article distributed under the terms and conditions of the Creative Commons Attribution (CC BY) license (https://creativecommons.org/licenses/by/4.0/).
Share and Cite
Yao, Y.; Wang, H.; Yang, X.; Gao, X.; Yang, S.; Zhao, Y.; Li, S.; Zhang, X.; Liu, Z. Interpretable LAI Fine Inversion of Maize by Fusing Satellite, UAV Multispectral, and Thermal Infrared Images. Agriculture 2025, 15, 243. https://doi.org/10.3390/agriculture15030243
Yao Y, Wang H, Yang X, Gao X, Yang S, Zhao Y, Li S, Zhang X, Liu Z. Interpretable LAI Fine Inversion of Maize by Fusing Satellite, UAV Multispectral, and Thermal Infrared Images. Agriculture. 2025; 15(3):243. https://doi.org/10.3390/agriculture15030243
Chicago/Turabian StyleYao, Yu, Hengbin Wang, Xiao Yang, Xiang Gao, Shuai Yang, Yuanyuan Zhao, Shaoming Li, Xiaodong Zhang, and Zhe Liu. 2025. "Interpretable LAI Fine Inversion of Maize by Fusing Satellite, UAV Multispectral, and Thermal Infrared Images" Agriculture 15, no. 3: 243. https://doi.org/10.3390/agriculture15030243
APA StyleYao, Y., Wang, H., Yang, X., Gao, X., Yang, S., Zhao, Y., Li, S., Zhang, X., & Liu, Z. (2025). Interpretable LAI Fine Inversion of Maize by Fusing Satellite, UAV Multispectral, and Thermal Infrared Images. Agriculture, 15(3), 243. https://doi.org/10.3390/agriculture15030243

