Longevity and Culling Dynamics of Holstein–Friesian Cows in Hungary
Abstract
1. Introduction
2. Materials and Methods
2.1. Animals
2.2. Dataset
2.3. Statistical Analyses
3. Results
3.1. Distribution of Culling Reasons
3.2. Age at Culling
3.3. Parity at Culling
3.4. Survival Analysis
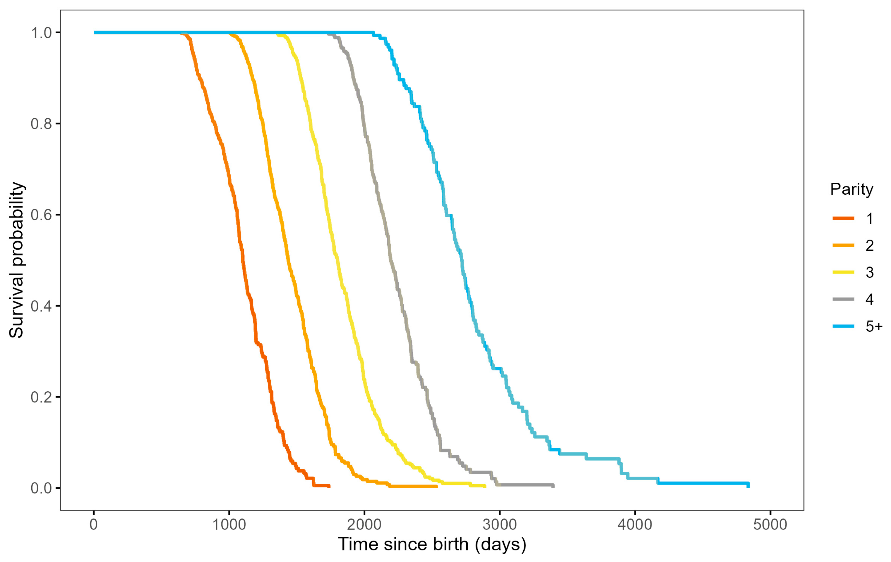
3.5. Survival by Parity
3.6. Survival by Culling Reason
4. Discussion
4.1. Health-Related Drivers of Culling
4.2. Age and Parity Patterns
4.3. Survival Analysis and Longevity
4.4. Implications for Farm Management, Welfare and Sustainability
5. Conclusions
Author Contributions
Funding
Institutional Review Board Statement
Data Availability Statement
Acknowledgments
Conflicts of Interest
References
- De Vries, A. Economic Trade-Offs between Genetic Improvement and Longevity in Dairy Cattle. J. Dairy Sci. 2017, 100, 4184–4192. [Google Scholar] [CrossRef] [PubMed]
- Dallago, G.M.; Wade, K.M.; Cue, R.I.; McClure, J.T.; Lacroix, R.; Pellerin, D.; Vasseur, E. Keeping Dairy Cows for Longer: A Critical Literature Review on Dairy Cow Longevity in High Milk-Producing Countries. Animals 2021, 11, 808. [Google Scholar] [CrossRef]
- Han, R.; Mourits, M.; Hogeveen, H. The Association of Dairy Cattle Longevity with Farm Level Technical Inefficiency. Front. Vet. Sci. 2022, 9, 1001015. [Google Scholar] [CrossRef]
- Owusu-Sekyere, E.; Nyman, A.-K.; Lindberg, M.; Adamie, B.A.; Agenäs, S.; Hansson, H. Dairy Cow Longevity: Impact of Animal Health and Farmers’ Investment Decisions. J. Dairy Sci. 2023, 106, 3509–3524. [Google Scholar] [CrossRef]
- Langford, F.; Stott, A. Culled Early or Culled Late: Economic Decisions and Risks to Welfare in Dairy Cows. Anim. Welf. 2012, 21, 41–55. [Google Scholar] [CrossRef]
- Yanga, D.S.; Jaja, I.F. Culling and Mortality of Dairy Cows: Why It Happens and How It Can Be Mitigated. F1000Research 2022, 10, 1014. [Google Scholar] [CrossRef]
- Adamie, B.A.; Owusu-Sekyere, E.; Lindberg, M.; Agenäs, S.; Nyman, A.-K.; Hansson, H. Dairy Cow Longevity and Farm Economic Performance: Evidence from Swedish Dairy Farms. J. Dairy Sci. 2023, 106, 8926–8941. [Google Scholar] [CrossRef]
- Bognar, A.; Stanciu, G.; Cziszter, L.T.; Acatincăi, S.; Tripon, I.; Baul, S.; Gavojdian, D. Comparative Study on The Milk Production in two Romanian Black and White Cow Populations from Western Romania. Sci. Pap. Anim. Sci. Biotechnol. 2009, 42, 221–224. [Google Scholar]
- Miglior, F.; Fleming, A.; Malchiodi, F.; Brito, L.F.; Martin, P.; Baes, C.F. A 100-Year Review: Identification and Genetic Selection of Economically Important Traits in Dairy Cattle. J. Dairy Sci. 2017, 100, 10251–10271. [Google Scholar] [CrossRef] [PubMed]
- Almeida, R.D.; Paula, S.D.; Marquetti, M.M.; Poczynek, M.; Silva, D.F.F.D.; Navarro, R.B.; Valloto, A.A.; Horst, J.A.; Pedrosa, V.B. Longevity and Culling Reasons in Dairy Herds in Southern Brazil. Animals 2025, 15, 2232. [Google Scholar] [CrossRef] [PubMed]
- Pinedo, P.J.; De Vries, A.; Webb, D.W. Dynamics of Culling Risk with Disposal Codes Reported by Dairy Herd Improvement Dairy Herds. J. Dairy Sci. 2010, 93, 2250–2261. [Google Scholar] [CrossRef] [PubMed]
- Gussmann, M.; Denwood, M.; Kirkeby, C.; Farre, M.; Halasa, T. Associations between Udder Health and Culling in Dairy Cows. Prev. Vet. Med. 2019, 171, 104751. [Google Scholar] [CrossRef]
- Tóth, V.; Nagypál, V.; Süli, Á.; Mikó, E. Investigation of Culling Practices on a Dairy Farm. Rev. Agric. Rural Dev. 2019, 8, 96–101. [Google Scholar] [CrossRef]
- Tóth, V.; Gráff, M.; Süli, Á.; Mikó, E.; Gulyás, L. Investigation of factors influencing quit from production in Holstein-Friesian dairy farms. In 18th Wellmann International Scientific Conference—Book of Abstracts; University of Szeged Faculty of Agriculture: Hódmezővásárhely, Hungary, 2021; p. 77. [Google Scholar]
- Mikó, E.; Gráff, M.; Süli, Á.; Szilágyi, S.; Tóth, Z.; Pinnyey, S. The effect of milking technology on the behavior pattern of dairy cows. In 16th Wellmann International Scientific Conference—Book of Abstracts; University of Szeged Faculty of Agriculture: Hódmezővásárhely, Hungary, 2018; p. 68. [Google Scholar]
- Mikó, E.; Süli, Á.; Gráff, M. Effect of milking system on the milk quality and quantity. In 18th Wellmann International Scientific Conference—Book of Abstracts; University of Szeged Faculty of Agriculture: Hódmezővásárhely, Hungary, 2021; p. 52. [Google Scholar]
- Rajala-Schultz, P.J.; Gröhn, Y.T. Culling of Dairy Cows. Part II. Effects of Diseases and Reproductive Performance on Culling in Finnish Ayrshire Cows. Prev. Vet. Med. 1999, 41, 279–294. [Google Scholar] [CrossRef]
- Ahlman, T.; Berglund, B.; Rydhmer, L.; Strandberg, E. Culling Reasons in Organic and Conventional Dairy Herds and Genotype by Environment Interaction for Longevity. J. Dairy Sci. 2011, 94, 1568–1575. [Google Scholar] [CrossRef]
- Rilanto, T.; Reimus, K.; Orro, T.; Emanuelson, U.; Viltrop, A.; Mõtus, K. Culling Reasons and Risk Factors in Estonian Dairy Cows. BMC Vet. Res. 2020, 16, 173. [Google Scholar] [CrossRef]
- Kour, S.; Sharma, N.; N, B.; Kumar, P.; Soodan, J.S.; Santos, M.V.D.; Son, Y.-O. Advances in Diagnostic Approaches and Therapeutic Management in Bovine Mastitis. Vet. Sci. 2023, 10, 449. [Google Scholar] [CrossRef]
- Bar, D.; Tauer, L.W.; Bennett, G.; González, R.N.; Hertl, J.A.; Schukken, Y.H.; Schulte, H.F.; Welcome, F.L.; Gröhn, Y.T. The Cost of Generic Clinical Mastitis in Dairy Cows as Estimated by Using Dynamic Programming. J. Dairy Sci. 2008, 91, 2205–2214. [Google Scholar] [CrossRef]
- Yu, J.; Ao, Y.; Chen, H.; Deng, T.; Liu, C.; Wang, D.; Wan, P.; Xiang, M.; Cheng, L. Investigating the Alleviating Effects of Dihydromyricetin on Subclinical Mastitis in Dairy Cows: Insights from Gut Microbiota and Metabolomic Analysis. Microorganisms 2025, 13, 1890. [Google Scholar] [CrossRef] [PubMed]
- Huxley, J.N. Impact of Lameness and Claw Lesions in Cows on Health and Production. Livest. Sci. 2013, 156, 64–70. [Google Scholar] [CrossRef]
- Lucy, M.C. Reproductive Loss in High-Producing Dairy Cattle: Where Will It End? J. Dairy Sci. 2001, 84, 1277–1293. [Google Scholar] [CrossRef] [PubMed]
- Walsh, S.W.; Williams, E.J.; Evans, A.C.O. A Review of the Causes of Poor Fertility in High Milk Producing Dairy Cows. Anim. Reprod. Sci. 2011, 123, 127–138. [Google Scholar] [CrossRef] [PubMed]
- Crowe, M.A. Transition cow management and cattle fertility. Vet. Irel. J. 2022, 12, 514–515. [Google Scholar]
- Ingvartsen, K.L.; Dewhurst, R.J.; Friggens, N.C. On the Relationship between Lactational Performance and Health: Is It Yield or Metabolic Imbalance That Cause Production Diseases in Dairy Cattle? A Position Paper. Livest. Prod. Sci. 2003, 83, 277–308. [Google Scholar] [CrossRef]
- Portner, S.L.; Heins, B.J. Reasons for Disposal and Cull Cow Value of Holstein Cows Compared with Holstein, Jersey, Montbéliarde, Normande, and Viking Red Crossbred Cows. J. Dairy Sci. 2024, 107, 9656–9665. [Google Scholar] [CrossRef] [PubMed]
- Roche, J.R.; Friggens, N.C.; Kay, J.K.; Fisher, M.W.; Stafford, K.J.; Berry, D.P. Invited Review: Body Condition Score and Its Association with Dairy Cow Productivity, Health, and Welfare. J. Dairy Sci. 2009, 92, 5769–5801. [Google Scholar] [CrossRef]
- Green, L.E.; Hedges, V.J.; Schukken, Y.H.; Blowey, R.W.; Packington, A.J. The Impact of Clinical Lameness on the Milk Yield of Dairy Cows. J. Dairy Sci. 2002, 85, 2250–2256. [Google Scholar] [CrossRef]
- Puerto, M.A.; Shepley, E.; Cue, R.I.; Warner, D.; Dubuc, J.; Vasseur, E. The Hidden Cost of Disease: II. Impact of the First Incidence of Lameness on Production and Economic Indicators of Primiparous Dairy Cows. J. Dairy Sci. 2021, 104, 7944–7955. [Google Scholar] [CrossRef]
- Bicalho, R.C.; Warnick, L.D.; Guard, C.L. Strategies to Analyze Milk Losses Caused by Diseases with Potential Incidence Throughout the Lactation: A Lameness Example. J. Dairy Sci. 2008, 91, 2653–2661. [Google Scholar] [CrossRef]
- Džermeikaitė, K.; Krištolaitytė, J.; Anskienė, L.; Šertvytytė, G.; Lembovičiūtė, G.; Arlauskaitė, S.; Girdauskaitė, A.; Rutkauskas, A.; Baumgartner, W.; Antanaitis, R. Effects of Lameness on Milk Yield, Milk Quality Indicators, and Rumination Behaviour in Dairy Cows. Agriculture 2025, 15, 286. [Google Scholar] [CrossRef]
- Von Keyserlingk, M.A.G.; Rushen, J.; De Passillé, A.M.; Weary, D.M. Invited Review: The Welfare of Dairy Cattle—Key Concepts and the Role of Science. J. Dairy Sci. 2009, 92, 4101–4111. [Google Scholar] [CrossRef] [PubMed]
- Compton, C.W.R.; Heuer, C.; Thomsen, P.T.; Carpenter, T.E.; Phyn, C.V.C.; McDougall, S. Invited Review: A Systematic Literature Review and Meta-Analysis of Mortality and Culling in Dairy Cattle. J. Dairy Sci. 2017, 100, 1–16. [Google Scholar] [CrossRef]
- Leblanc, S. Monitoring Metabolic Health of Dairy Cattle in the Transition Period. J. Reprod. Dev. 2010, 56, S29–S35. [Google Scholar] [CrossRef]
- Shabalina, T.; Yin, T.; König, S. Survival Analyses in Holstein Cows Considering Direct Disease Diagnoses and Specific SNP Marker Effects. J. Dairy Sci. 2020, 103, 8257–8273. [Google Scholar] [CrossRef]
- Caraviello, D.Z.; Weigel, K.A.; Fricke, P.M.; Wiltbank, M.C.; Florent, M.J.; Cook, N.B.; Nordlund, K.V.; Zwald, N.R.; Rawson, C.L. Survey of Management Practices on Reproductive Performance of Dairy Cattle on Large US Commercial Farms. J. Dairy Sci. 2006, 89, 4723–4735. [Google Scholar] [CrossRef]
- Han, R.; Kok, A.; Mourits, M.; Hogeveen, H. Effects of Extending Dairy Cow Longevity by Adjusted Reproduction Management Decisions on Partial Net Return and Greenhouse Gas Emissions: A Dynamic Stochastic Herd Simulation Study. J. Dairy Sci. 2024, 107, 6902–6912. [Google Scholar] [CrossRef] [PubMed]
- Grandl, F.; Furger, M.; Kreuzer, M.; Zehetmeier, M. Impact of Longevity on Greenhouse Gas Emissions and Profitability of Individual Dairy Cows Analysed with Different System Boundaries. Animal 2019, 13, 198–208. [Google Scholar] [CrossRef] [PubMed]
- Whay, H.R.; Main, D.C.J.; Green, L.E.; Webster, A.J.F. Assessment of the Welfare of Dairy Caftle Using Animal-based Measurements: Direct Observations and Investigation of Farm Records. Vet. Rec. 2003, 153, 197–202. [Google Scholar] [CrossRef]





Disclaimer/Publisher’s Note: The statements, opinions and data contained in all publications are solely those of the individual author(s) and contributor(s) and not of MDPI and/or the editor(s). MDPI and/or the editor(s) disclaim responsibility for any injury to people or property resulting from any ideas, methods, instructions or products referred to in the content. |
© 2025 by the authors. Licensee MDPI, Basel, Switzerland. This article is an open access article distributed under the terms and conditions of the Creative Commons Attribution (CC BY) license (https://creativecommons.org/licenses/by/4.0/).
Share and Cite
Mikó, E.; Kusza, S.; Kocsis-Gráff, M.; Tóth, V.; Sudár, G. Longevity and Culling Dynamics of Holstein–Friesian Cows in Hungary. Agriculture 2025, 15, 2529. https://doi.org/10.3390/agriculture15242529
Mikó E, Kusza S, Kocsis-Gráff M, Tóth V, Sudár G. Longevity and Culling Dynamics of Holstein–Friesian Cows in Hungary. Agriculture. 2025; 15(24):2529. https://doi.org/10.3390/agriculture15242529
Chicago/Turabian StyleMikó, Edit, Szilvia Kusza, Myrtill Kocsis-Gráff, Violetta Tóth, and Gergő Sudár. 2025. "Longevity and Culling Dynamics of Holstein–Friesian Cows in Hungary" Agriculture 15, no. 24: 2529. https://doi.org/10.3390/agriculture15242529
APA StyleMikó, E., Kusza, S., Kocsis-Gráff, M., Tóth, V., & Sudár, G. (2025). Longevity and Culling Dynamics of Holstein–Friesian Cows in Hungary. Agriculture, 15(24), 2529. https://doi.org/10.3390/agriculture15242529

