Rainfall-Driven Nitrogen Dynamics in Catchment Ponds: Comparing Forest, Paddy Field, and Orchard Systems
Abstract
1. Introduction
2. Materials and Methods
2.1. Study Area
2.2. Background of the Monitoring Ponds
2.3. Rainfall Events, Sampling, and Analysis
2.4. Data Processing
3. Results
3.1. Pond Water Depth Changes
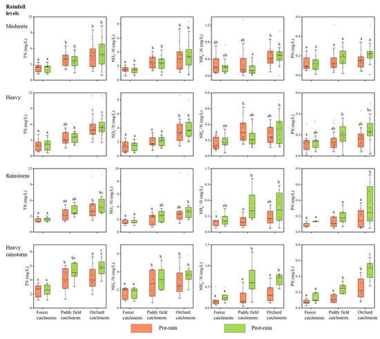
3.2. N Concentration Changes
3.3. N Load Changes
3.4. Driving Factors Affecting Pond N Dynamics
4. Discussion
4.1. Rainfall Affects N Dynamics in Ponds
4.2. The Role of Catchment Characteristics in Pond N Changes
4.3. Water Quality Management in Response to Storms
5. Conclusions
Author Contributions
Funding
Institutional Review Board Statement
Data Availability Statement
Conflicts of Interest
References
- Basu, N.B.; Van Meter, K.J.; Byrnes, D.K.; Van Cappellen, P.; Brouwer, R.; Jacobsen, B.H.; Jarsjö, J.; Rudolph, D.L.; Cunha, M.C.; Nelson, N.; et al. Managing nitrogen legacies to accelerate water quality improvement. Nat. Geosci. 2022, 15, 97–105. [Google Scholar] [CrossRef]
- Schulte-Uebbing, L.F.; Beusen, A.H.W.; Bouwman, A.F.; de Vries, W. From planetary to regional boundaries for agricultural nitrogen pollution. Nature 2022, 610, 507–512. [Google Scholar] [CrossRef] [PubMed]
- Beal, M.R.W.; Wilkinson, G.M.; Block, P.J. Large scale seasonal forecasting of peak season algae metrics in the Midwest and Northeast U.S. Water Res. 2023, 229, 119402. [Google Scholar] [CrossRef]
- Jargal, N.; An, K.G. Seasonal and interannual responses of blue-green algal taxa and chlorophyll to a monsoon climate, flow regimes, and N:P ratios in a temperate drinking-water reservoir. Sci. Total Environ. 2023, 896, 165306. [Google Scholar] [CrossRef]
- Xiao, H.B.; Luo, Y.; Jiang, M.D.; Su, R.L.; Li, J.L.; Xiang, R.B.; Hu, R.G. Landscape patterns are the main regulator of pond water chlorophyll α concentrations in subtropical agricultural catchments of China. J. Clean. Prod. 2023, 425, 139013. [Google Scholar] [CrossRef]
- Richardson, J.; Feuchtmayr, H.; Miller, C.; Hunter, P.D.; Maberly, S.C.; Carvalho, L. Response of cyanobacteria and phytoplankton abundance to warming, extreme rainfall events and nutrient enrichment. Glob. Change Biol. 2019, 25, 3365–3380. [Google Scholar] [CrossRef] [PubMed]
- Zhang, X.Y.; Chen, L.; Yu, Y.; Shen, Z.Y. Water quality variability affected by landscape patterns and the associated temporal observation scales in the rapidly urbanizing watershed. J. Environ. Manag. 2021, 298, 113523. [Google Scholar] [CrossRef]
- Wilson, H.F.; Casson, N.J.; Glenn, A.J.; Badiou, P.; Boychuk, L. Landscape Controls on Nutrient Export during Snowmelt and an Extreme Rainfall Runoff Event in Northern Agricultural Watersheds. J. Environ. Qual. 2019, 48, 841–849. [Google Scholar] [CrossRef]
- Gao, X.J.; Chen, N.W.; Yu, D.; Wu, Y.Q.; Huang, B.Q. Hydrological controls on nitrogen (ammonium versus nitrate) fluxes from river to coast in a subtropical region: Observation and modeling. J. Environ. Manag. 2018, 213, 382–391. [Google Scholar] [CrossRef]
- Li, W.C.; Lei, Q.L.; Yen, H.; Zhai, L.M.; Hu, W.L.; Li, Y.; Wang, H.Y.; Ren, T.Z.; Liu, H.B. Investigation of watershed nutrient export affected by extreme events and the corresponding sampling frequency. J. Environ. Manag. 2019, 250, 109477. [Google Scholar] [CrossRef]
- Ramos, M.C.; Lizaga, I.; Gaspar, L.; Quijano, L.; Navas, A. Effects of rainfall intensity and slope on sediment, nitrogen and phosphorous losses in soils with different use and soil hydrological properties. Agric. Water Manag. 2019, 226, 105789. [Google Scholar] [CrossRef]
- Luo, Y.; Wu, X.; Liu, J.; Xiao, H.B.; Liao, B.; Hu, R.G. Mitigating runoff nitrate loss from soil organic nitrogen mineralization in citrus orchard catchments using green manure. Water Res. 2023, 243, 120398. [Google Scholar] [CrossRef] [PubMed]
- Yan, L.; Xue, L.H.; Petropoulos, E.; Qian, C.; Hou, P.F.; Xu, D.F.; Yang, L.Z. Nutrient loss by runoff from rice-wheat rotation during the wheat season is dictated by rainfall duration. Environ. Pollut. 2021, 285, 117382. [Google Scholar] [CrossRef]
- Nobre, R.L.G.; Caliman, A.; Cabral, C.R.; Araujo, F.C.; Guerin, J.; Dantas, F.; Quesado, L.B.; Venticinque, E.M.; Guariento, R.D.; Amado, A.M.; et al. Precipitation, landscape properties and land use interactively affect water quality of tropical freshwaters. Sci. Total Environ. 2020, 716, 137044. [Google Scholar] [CrossRef] [PubMed]
- Qin, B.Q.; Zhou, J.; Elser, J.J.; Gardner, W.S.; Deng, J.M.; Brookes, J.D. Water depth underpins the relative roles and fates of nitrogen and phosphorus in lakes. Environ. Sci. Technol. 2020, 54, 3191–3198. [Google Scholar] [CrossRef]
- Chen, W.J.; He, B.; Nover, D.; Lu, H.M.; Liu, J.; Sun, W.; Chen, W. Farm ponds in southern China: Challenges and solutions for conserving a neglected wetland ecosystem. Sci. Total Environ. 2019, 659, 1322–1334. [Google Scholar] [CrossRef] [PubMed]
- Abduljaleel, Y.; Salem, A.; Ul Haq, F.; Awad, A.; Amiri, M. Improving detention ponds for effective stormwater management and water quality enhancement under future climate change: A simulation study using the PCSWMM model. Sci. Rep. 2023, 13, 5555. [Google Scholar] [CrossRef]
- Janke, B.D.; Finlay, J.C.; Taguchi, V.J.; Gulliver, J.S. Hydrologic processes regulate nutrient retention in stormwater detention ponds. Sci. Total Environ. 2022, 823, 153722. [Google Scholar] [CrossRef]
- Zhang, W.S.; Li, H.P.; Pueppke, S.G.; Diao, Y.Q.; Nie, X.F.; Geng, J.W.; Chen, D.Q.; Pang, J.P. Nutrient loss is sensitive to land cover changes and slope gradients of agricultural hillsides: Evidence from four contrasting pond systems in a hilly catchment. Agric. Water Manag. 2020, 237, 106165. [Google Scholar] [CrossRef]
- Xiao, H.B.; Jiang, M.D.; Su, R.L.; Luo, Y.; Jiang, Y.B.; Hu, R.G. Fertilization intensities at the buffer zones of ponds regulate nitrogen and phosphorus pollution in an agricultural watershed. Water Res. 2024, 250, 121033. [Google Scholar] [CrossRef]
- Xie, H.; Gao, T.T.; Wan, N.S.; Xiong, Z.Y.; Dong, J.W.; Lin, C.; Lai, X.J. Controls for multi-temporal patterns of riverine nitrogen and phosphorus export to lake: Implications for catchment management by high-frequency observations. J. Environ. Manag. 2022, 320, 115858. [Google Scholar] [CrossRef] [PubMed]
- Hou, G.R.; Zheng, J.K.; Cui, X.L.; He, F.; Zhang, Y.Q.; Wang, Y.; Li, X.W.; Fan, C.; Tan, B. Suitable coverage and slope guided by soil and water conservation can prevent non-point source pollution diffusion: A case study of grassland. Ecotoxicol. Environ. Saf. 2022, 241, 113804. [Google Scholar] [CrossRef]
- Pérez-Gutiérrez, J.D.; Paz, J.O.; Tagert, M.L.M.; Sepehrifar, M. Impact of rainfall characteristics on the NO3−-N concentration in a tailwater recovery ditch. Agric. Water Manag. 2020, 233, 106079. [Google Scholar] [CrossRef]
- State Environmental Protection Administration of China (SEPA). Methods of Monitoring and Analyzing for Water and Wastewater, 4th ed.; China Environmental Science Press: Beijing, China, 2002. [Google Scholar]
- Ketchen, D.J. A primer on partial least squares structural equation modeling. Long Range Plan. 2013, 46, 184–185. [Google Scholar] [CrossRef]
- Gao, Y.; Zhu, B.; Yu, G.R.; Chen, W.L.; He, N.P.; Wang, T.; Miao, C.Y. Coupled effects of biogeochemical and hydrological processes on C, N, and P export during extreme rainfall events in a purple soil watershed in southwestern China. J. Hydrol. 2014, 511, 692–702. [Google Scholar] [CrossRef]
- Baumgartner, S.; Bauters, M.; Drake, T.W.; Barthel, M.; Alebadwa, S.; Bahizire, N.; Bazirake, B.M.; Six, J.; Boeckx, P.; Van Oost, K. Substantial Organic and Particulate Nitrogen and Phosphorus Export from Geomorphologically Stable African Tropical Forest Landscapes. Ecosystems 2022, 26, 553–567. [Google Scholar] [CrossRef]
- Yang, J.L.; Zhang, G.L.; Shi, X.Z.; Wang, H.J.; Cao, Z.H.; Ritsema, C.J. Dynamic changes of nitrogen and phosphorus losses in ephemeral runoff processes by typical storm events in Sichuan Basin, Southwest China. Soil Till. Res. 2009, 105, 292–299. [Google Scholar] [CrossRef]
- Fu, B.; Xu, P.; Wang, Y.K.; Yan, K.; Chaudhary, S. Assessment of the ecosystem services provided by ponds in hilly areas. Sci. Total Environ. 2018, 642, 979–987. [Google Scholar] [CrossRef]
- Senzia, M.A.; Mayo, A.W.; Mbwette, T.S.; Katima, J.H.; Jorgensen, S.E. Modelling nitrogen transformation and removal in primary facultative ponds. Ecol. Model. 2002, 154, 207–215. [Google Scholar] [CrossRef]
- Lebar, K.; Kastelec, D.; Rusjan, S. Investigating the interplay of the hydrometeorological and seasonal forest vegetation role in regulating the nitrate flushing in a small torrential catchment. Sci. Total Environ. 2023, 874, 162475. [Google Scholar] [CrossRef]
- Tang, J.L.; Zhang, B.; Gao, C.; Zepp, H. Hydrological pathway and source area of nutrient losses identified by a multi-scale monitoring in an agricultural catchment. Catena 2008, 72, 374–385. [Google Scholar] [CrossRef]
- Cole, L.J.; Stockan, J.; Helliwell, R. Managing riparian buffer strips to optimise ecosystem services: A review. Agric. Ecosyst. Environ. 2020, 296, 106891. [Google Scholar] [CrossRef]
- Liu, J.; Liu, X.L.; Wang, Y.; Li, Y.; Jiang, Y.X.; Wang, M.H.; Wu, J.S. Landscape pattern at the class level regulates the stream water nitrogen and phosphorus levels in a Chinese subtropical agricultural catchment. Agric. Ecosyst. Environ. 2020, 295, 106897. [Google Scholar] [CrossRef]
- Lin, K.N.; Zhu, Y.; Zhang, Y.B.; Lin, H. Determination of ammonia nitrogen in natural waters: Recent advances and applications. Trends Environ. Anal. Chem. 2019, 24, e00073. [Google Scholar]
- Schwammberger, P.F.; Yule, C.M.; Tindale, N.W. Rapid plant responses following relocation of a constructed floating wetland from a construction site into an urban stormwater retention pond. Sci. Total Environ. 2020, 699, 134372. [Google Scholar] [CrossRef]
- Xue, J.F.; Li, H.C.; Du, J.Z.; Zhou, M.Y.; Mei, Y. Temporal variation pollution source and decontamination characteristics of the Myriophyllum spicatum treatment pond. Ecol. Eng. 2020, 143, 105675. [Google Scholar] [CrossRef]
- Wang, W.; Wu, X.H.; Yin, C.M.; Xie, X.L. Nutrition loss through surface runoff from slope lands and its implications for agricultural management. Agric. Water Manag. 2019, 212, 226–231. [Google Scholar] [CrossRef]






| Catchments | Ponds | Catchment Area (ha) | Average Slope of Catchment (°) | Pond Area (ha) | Water Depth (m) |
|---|---|---|---|---|---|
| Forest | F1 | 2.42 | 12.22 | 0.32 | 1.68 |
| F2 | 5.35 | 5.27 | 0.39 | 1.44 | |
| F3 | 17.30 | 7.29 | 1.28 | 1.61 | |
| F4 | 4.35 | 7.65 | 0.73 | 1.76 | |
| F5 | 6.60 | 10.12 | 0.52 | 1.65 | |
| Paddy field | P1 | 2.51 | 2.21 | 0.25 | 0.95 |
| P2 | 3.93 | 2.65 | 0.33 | 0.66 | |
| P3 | 4.42 | 2.62 | 0.44 | 0.83 | |
| P4 | 6.21 | 2.71 | 0.16 | 1.28 | |
| P5 | 6.59 | 2.53 | 0.55 | 0.72 | |
| P6 | 5.51 | 2.42 | 0.65 | 1.45 | |
| P7 | 7.61 | 2.13 | 0.63 | 0.75 | |
| Orchard | O1 | 7.99 | 3.67 | 0.39 | 1.55 |
| O2 | 5.50 | 5.70 | 0.70 | 1.56 | |
| O3 | 5.94 | 5.08 | 0.61 | 1.72 | |
| O4 | 15.54 | 5.04 | 1.34 | 1.85 | |
| O5 | 6.40 | 4.11 | 0.53 | 1.64 | |
| O6 | 14.99 | 7.77 | 0.53 | 1.28 | |
| O7 | 21.76 | 5.12 | 2.21 | 1.57 | |
| O8 | 11.67 | 3.71 | 1.31 | 1.46 |
| Parameters | Rainfall Intensities | Forest Catchments (kg/ha) | Paddy Field Catchments (kg/ha) | Orchard Catchments (kg/ha) |
|---|---|---|---|---|
| TN | Moderate | 0.21 ± 0.59 a | −0.87 ± 1.36 a | 7.06 ± 3.76 b |
| Heavy | 2.63 ± 1.59 a | 5.55 ± 2.23 ab | 10.12 ± 2.00 b | |
| Rainstorm | 5.01 ± 1.54 a | 13.01 ± 1.97 b | 20.22 ± 3.05 c | |
| Heavy rainstorm | 6.68 ± 1.72 a | 20.93 ± 3.04 b | 34.62 ± 4.84 c | |
| NO3−-N | Moderate | −0.07 ± 0.46 a | −0.04 ± 1.27 a | 4.57 ± 2.11 b |
| Heavy | 1.96 ± 0.88 a | 3.60 ± 1.40 a | 7.21 ± 1.59 b | |
| Rainstorm | 3.71 ± 0.64 a | 8.23 ± 1.71 b | 11.37 ± 2.03 b | |
| Heavy rainstorm | 4.04 ± 1.18 a | 13.59 ± 3.48 b | 21.44 ± 4.10 b | |
| NH4+-N | Moderate | −0.22 ± 0.53 a | −1.52 ± 0.74 a | 0.57 ± 0.73 b |
| Heavy | 0.49 ± 0.41 ab | −0.70 ± 0.34 a | 1.30 ± 0.63 b | |
| Rainstorm | 1.05 ± 0.18 a | 3.96 ± 1.35 b | 3.77 ± 1.35 b | |
| Heavy rainstorm | 1.73 ± 0.33 a | 6.18 ± 1.02 b | 6.60 ± 1.09 b | |
| PN | Moderate | 0.09 ± 0.25 a | 0.34 ± 0.24 a | 1.10 ± 0.37 b |
| Heavy | 0.34 ± 0.16 a | 0.89 ± 0.22 b | 1.47 ± 0.39 b | |
| Rainstorm | 0.68 ± 0.15 a | 1.03 ± 0.35 ab | 3.25 ± 1.44 b | |
| Heavy rainstorm | 1.24 ± 0.39 a | 1.99 ± 0.32 b | 4.60 ± 0.57 c |
Disclaimer/Publisher’s Note: The statements, opinions and data contained in all publications are solely those of the individual author(s) and contributor(s) and not of MDPI and/or the editor(s). MDPI and/or the editor(s) disclaim responsibility for any injury to people or property resulting from any ideas, methods, instructions or products referred to in the content. |
© 2025 by the authors. Licensee MDPI, Basel, Switzerland. This article is an open access article distributed under the terms and conditions of the Creative Commons Attribution (CC BY) license (https://creativecommons.org/licenses/by/4.0/).
Share and Cite
Jiang, M.; Luo, Y.; Xiao, H.; Xu, P.; Hu, R.; Su, R. Rainfall-Driven Nitrogen Dynamics in Catchment Ponds: Comparing Forest, Paddy Field, and Orchard Systems. Agriculture 2025, 15, 1459. https://doi.org/10.3390/agriculture15141459
Jiang M, Luo Y, Xiao H, Xu P, Hu R, Su R. Rainfall-Driven Nitrogen Dynamics in Catchment Ponds: Comparing Forest, Paddy Field, and Orchard Systems. Agriculture. 2025; 15(14):1459. https://doi.org/10.3390/agriculture15141459
Chicago/Turabian StyleJiang, Mengdie, Yue Luo, Hengbin Xiao, Peng Xu, Ronggui Hu, and Ronglin Su. 2025. "Rainfall-Driven Nitrogen Dynamics in Catchment Ponds: Comparing Forest, Paddy Field, and Orchard Systems" Agriculture 15, no. 14: 1459. https://doi.org/10.3390/agriculture15141459
APA StyleJiang, M., Luo, Y., Xiao, H., Xu, P., Hu, R., & Su, R. (2025). Rainfall-Driven Nitrogen Dynamics in Catchment Ponds: Comparing Forest, Paddy Field, and Orchard Systems. Agriculture, 15(14), 1459. https://doi.org/10.3390/agriculture15141459
