Intensive Annual Forage Cultivation via Diversified Sowing Under a Mixed-Cropping System to Increase Production and Decrease Greenhouse Gas Emissions
Abstract
1. Introduction
2. Materials and Methods
2.1. Experimental Site
2.2. Experimental Design
2.3. Experimental Field Management
2.4. Yield Measurements and Economic Benefit
2.5. Energy Calculations
2.6. EEI and GHGI
2.7. Statistical Analysis
3. Results
3.1. Productivity and Economic Profitability
3.2. Energy Requirements and Energy Indicator Analysis
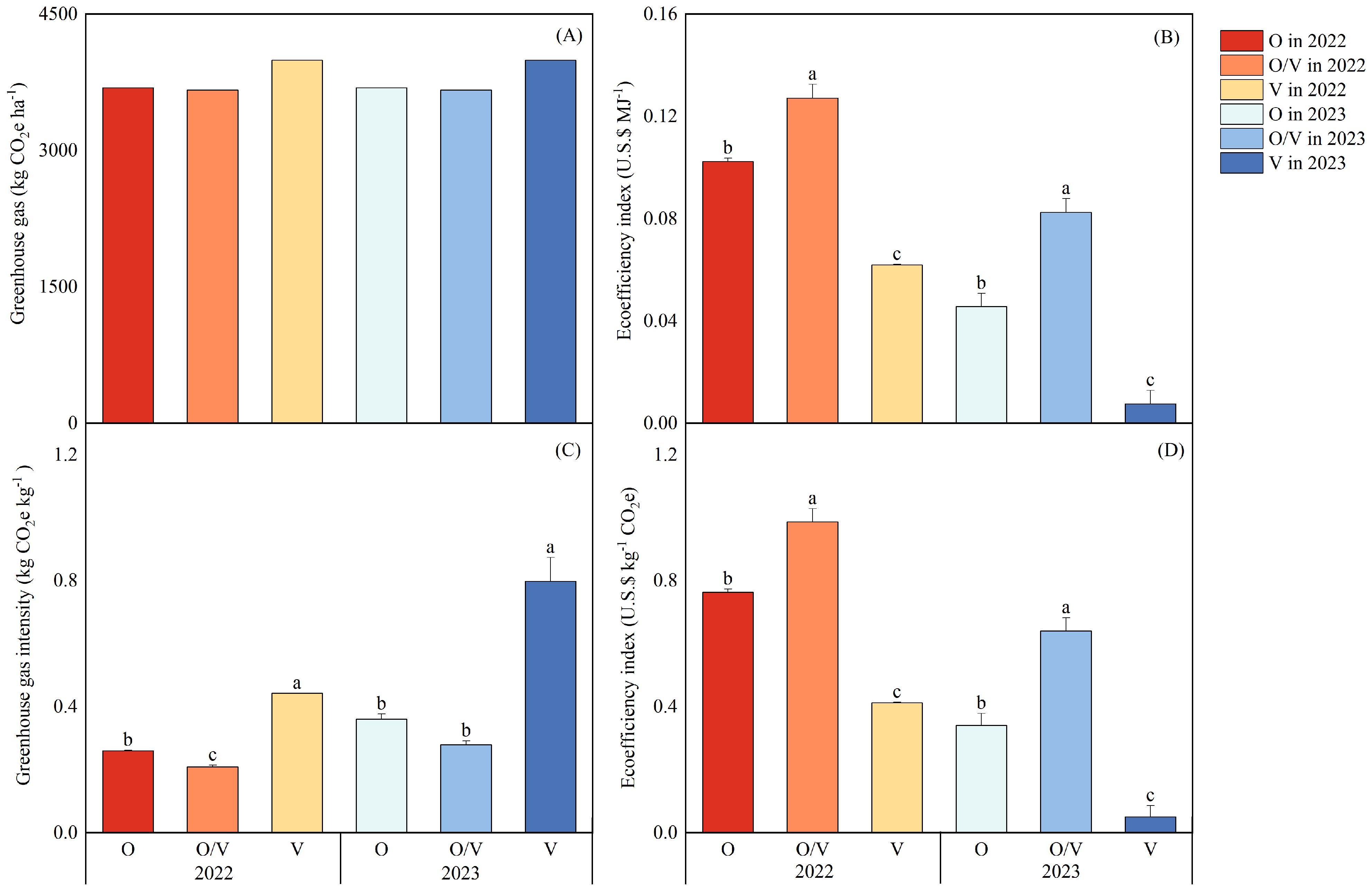
3.3. GHGs, GHGI, and EEI
4. Discussion
4.1. DM Yield and Economic Benefits
4.2. Energy Efficiency and Ecological Benefits
5. Conclusions
Author Contributions
Funding
Institutional Review Board Statement
Data Availability Statement
Acknowledgments
Conflicts of Interest
Abbreviations
| ANOVA | Analysis of variance |
| CO2 | Carbon dioxide |
| CP | Cropping system |
| DM | Dry matter |
| EE | Energy efficiency |
| EEI | Ecoefficiency index |
| EEIEI | Ecoefficiency index in terms of the economic return |
| EEIGHG | Ecoefficiency index in terms of greenhouse gas emission |
| EI | Energy intensiveness |
| EP | Energy productivity |
| ER | Energy ratio |
| GHGs | Greenhouse gases |
| GHGI | Greenhouse gas intensity |
| HEUE | Human energy-use efficiency |
| N | Nitrogen |
| N2O | Nitrous oxide |
| NA | Not available |
| NEO | Net energy output |
| O | Forage oat monoculture |
| O/V | Forage oat–common vetch mixed-cropping |
| P2O5 | Phosphorus pentoxide |
| SS | Sowing season |
| USD | United States dollar |
| V | Common vetch monoculture |
| Y | Year |
Appendix A
| Forage | 2022 | 2023 |
|---|---|---|
| Oat | 0.294 | 0.287 |
| Common vetch | 0.336 | 0.322 |
| Variable | Unit | Equivalent Energy (MJ) | Emission Coefficient from Production of Materials (kg CO2 e unit−1) | Emission Coefficient (kg CO2 e unit−1) |
|---|---|---|---|---|
| Tractor | h | 332 | 3.32 | |
| Diesel | L | 56.31 | 53.27 | 3.32 |
| Adult woman | h | 1.96 | 0.035 | |
| Adult man | h | 1.57 | 0.035 | |
| Common vetch seed | kg | 14.7 | ||
| Oat seed | kg | 14 | ||
| Pesticide | kg | 120 | 5.1 | |
| Fertilizer N | kg | 60.14 | 0.81 | 4.96 |
| Fertilizer P | kg | 12.44 | 0.11 | 1.35 |
| Water for irrigation | m3 | 0.63 | ||
| Electricity | kWh | 3.6 | ||
| Common vetch dry | kg | 18 | ||
| Oat dry | kg | 17 |
| Year | Sowing Season | Crop System | Planting | Fertilizer | Pesticides | Irrigation | Harvesting | Sum |
|---|---|---|---|---|---|---|---|---|
| 2022 | Spring | O | 315.84 | 126.80 | 19.66 | 102.22 | 115.50 | 680.02 |
| O/V | 444.64 | 126.80 | 9.83 | 102.22 | 115.50 | 798.99 | ||
| V | 324.24 | 126.80 | 6.55 | 102.22 | 138.60 | 698.41 | ||
| Summer | O | 315.84 | 126.80 | 19.66 | 102.22 | 115.50 | 680.02 | |
| O/V | 444.64 | 126.80 | 9.83 | 102.22 | 115.50 | 798.99 | ||
| V | 324.24 | 126.80 | 6.55 | 102.22 | 138.60 | 698.41 | ||
| 2023 | Spring | O | 366.24 | 130.20 | 28.35 | 82.39 | 126.00 | 733.18 |
| O/V | 508.76 | 130.20 | 14.18 | 82.39 | 126.00 | 861.53 | ||
| V | 366.24 | 130.20 | 9.45 | 82.39 | 151.20 | 739.48 | ||
| Summer | O | 366.24 | 130.20 | 28.35 | 82.39 | 126.00 | 733.18 | |
| O/V | 508.76 | 130.20 | 14.18 | 82.39 | 126.00 | 861.53 | ||
| V | 366.24 | 130.20 | 9.45 | 82.39 | 151.20 | 739.48 |
| Year | Spring Growing Season | Summer Growing Season | ||
|---|---|---|---|---|
| Precipitation (mm) | Air Temperature (°C) | Precipitation (mm) | Air Temperature (°C) | |
| 2022 | 55.2 | 22.3 | 55.8 | 22.2 |
| 2023 | 8.2 | 22.6 | 3.9 | 23.4 |
| Long term average (2012–2021) | 31.5 | 22.3 | 38.8 | 22.0 |

References
- Pamucar, D.; Ecer, F.; Deveci, M. Assessment of alternative fuel vehicles for sustainable road transportation of United States using integrated fuzzy FUCOM and neutrosophic fuzzy MARCOS methodology. Sci. Total Environ. 2021, 788, 147763. [Google Scholar] [CrossRef] [PubMed]
- IPCC; Stocker, T.; Qin, D.; Plattner, G.K.; Tignor, M.; Allen, S.K.; Boschung, J.; Nauels, A.; Xia, Y.; Bex, V.; et al. The physical science basis. Contribution of working group I to the fifth assessment report of the intergovernmental panel on climate change. Clim. Chang. 2013, 77, 187. [Google Scholar]
- Tongwane, M.I.; Moeletsi, M.E. A review of greenhouse gas emissions from the agriculture sector in Africa. Agric. Syst. 2018, 166, 124–134. [Google Scholar] [CrossRef]
- Wang, B.; Deng, J.; Wang, T.; Ni, W.; Feng, Q.; Lan, J. Effect of Seeding Options on Interspecific Competition in Oat (Avena sativa L.)–Common Vetch (Vicia sativa L.) Forage Crops. Agronomy 2022, 12, 3119. [Google Scholar] [CrossRef]
- Wang, T.; Wang, B.; Deng, J.; Li, M.; Ni, W.; Feng, Q.; Tuo, Y.; Lan, J. Effect of sowing rate on yield and forage quality of a Dolichos lablab-Sorghum bicolor mixture under drip irrigation in arid areas of Ningxia. Acta Pratacult. Sin. 2023, 32, 30–40. [Google Scholar] [CrossRef]
- Zhang, K.; Yu, Z.; Li, X.; Zhou, W.; Zhang, D. Land use change and land degradation in China from 1991 to 2001. Land Degrad. Dev. 2007, 18, 209–219. [Google Scholar] [CrossRef]
- Vasilakoglou, I.; Dhima, K.; Lithourgidis, A.; Eleftherohorinos, I. Competitive ability of winter cereal–common vetch intercrops against sterile oat. Exp. Agric. 2008, 44, 509–520. [Google Scholar] [CrossRef]
- Hamzei, J.; Seyyedi, M. Energy use and input–output costs for sunflower production in sole and intercropping with soybean under different tillage systems. Soil Tillage Res. 2016, 157, 73–82. [Google Scholar] [CrossRef]
- Komarek, A.M.; Bell, L.W.; Whish, J.P.M.; Robertson, M.J.; Bellotti, W.D. Wholefarm economic, risk and resource-use trade-offs associated with integrating forages into crop–livestock systems in western China. Agric. Syst. 2015, 133, 63–72. [Google Scholar] [CrossRef]
- Zhang, Q.; Bell, L.W.; Shen, Y.; Whish, J.P.M. Indices of forage nutritional yield and water use efficiency amongst spring-sown annual forage crops in north-west China. Eur. J. Agron. 2018, 93, 1–10. [Google Scholar] [CrossRef]
- Ranells, N.N.; Wagger, M.G. Grass–legume bicultures as winter annual cover crops. Agron. J. 1997, 89, 659–665. [Google Scholar] [CrossRef]
- Lithourgidis, A.S.; Dhima, K.V.; Vasilakoglou, I.B.; Dordas, C.A.; Yiakoulaki, M.D. Sustainable production of barley and wheat by intercropping common vetch. Agron. Sustain. Dev. 2007, 27, 95–99. [Google Scholar] [CrossRef]
- Dhima, K.V.; Lithourgidis, A.S.; Vasilakoglou, I.B.; Dordas, C.A. Competition indices of common vetch and cereal intercrops in two seeding ratio. Field Crops Res. 2007, 100, 249–256. [Google Scholar] [CrossRef]
- Wang, S.; Chen, G.; Yang, Y.; Zeng, Z.; Hu, Y.; Zang, H. Sowing ratio determines forage yields and economic benefits of oat and common vetch intercropping. Agron. J. 2021, 113, 2607–2617. [Google Scholar] [CrossRef]
- Lithourgidis, A.S.; Vasilakoglou, I.B.; Dhima, K.V.; Dordas, C.A.; Yiakoulaki, M.D. Forage yield and quality of common vetch mixtures with oat and triticale in two seeding ratios. Field Crops Res. 2006, 99, 106–113. [Google Scholar] [CrossRef]
- Hou, L.; Bai, W.; Zhang, Q.; Liu, Y.; Sun, H.; Luo, Y.; Song, S.; Zhang, W. A new model of two-sown regime for oat forage production in an alpine region of northern China. Environ. Sci. Pollut. Res. Int. 2022, 29, 70520–70531. [Google Scholar] [CrossRef] [PubMed]
- Feng, T.; De, K.; Xiang, X.; Wei, X.; Xu, C.; Wang, W.; Lin, W.; Qian, S. Effects of Different Mixtures and Proportions of Avena sativa and Pea on Forage Yield and Quality in Alpine Cold Region. Acta Agrestia Sin. 2022, 30, 487–494. [Google Scholar] [CrossRef]
- Frank, S.; Havlík, P.; Stehfest, E.; Meijl, H.V.; Witzke, P.; Perez-Domínguez, I.; Dijk, M.V.; Doelman, J.C.; Fellmann, T.; Koopman, J.F.L.; et al. Agricultural non-CO2 emission reduction potential in the context of the 1.5 °C target. Nat. Clim. Chang. 2019, 9, 66–72. [Google Scholar] [CrossRef]
- Choudhary, M.; Rana, K.S.; Bana, R.S.; Ghasal, P.C.; Choudhary, G.L.; Jakhar, P.; Verma, R.K. Energy budgeting and carbon footprint of pearl millet-mustardcropping system under conventional and conservation agriculture in rainfed semiarid agro-ecosystem. Energy 2017, 141, 1052–1058. [Google Scholar] [CrossRef]
- Zahedi, M.; Mondani, F.; Eshghizadeh, H.R. Analyzing the energy balances of double-cropped cereals in an arid region. Energy Rep. 2015, 1, 43–49. [Google Scholar] [CrossRef]
- Li, Y.; Li, Z.; Cui, S.; Liang, G.P.; Zhang, Q.P. Microbial-derived carbon components are critical for enhancing soil organic carbon in no-tillage croplands: A global perspective. Soil Tillage Res. 2021, 205, 104758. [Google Scholar] [CrossRef]
- Lou, Y.; Li, J.; Guo, J.; Pan, D.; Zhang, Z.; Ma, L.; Li, R.; Ren, L. Water-saving irrigation and delayed sowing increased the emission intensity of CH4 and N2O in the rice-wheat rotated field under nighttime warming. Agric. Ecosyst. Environ. 2024, 365, 108896. [Google Scholar] [CrossRef]
- Liu, Y.; Tang, H.; Muhammad, A.; Huang, G. Emission mechanism and reduction countermeasures of agricultural greenhouse gases—A review. Greenh. Gases 2019, 9, 160–174. [Google Scholar] [CrossRef]
- Mohammadzadeh, A.; Mahdavi Damghani, A.; Vafabakhsh, J.; Deihimfard, R. Assessing energy efficiencies, economy, and global warming potential (GWP) effects of major crop production systems in Iran: A case study in East Azerbaijan province. Environ. Sci. Pollut. Res. Int. 2017, 24, 16971–16984. [Google Scholar] [CrossRef] [PubMed]
- Moitzi, G.; Wagentristl, H.; Kaul, H.; Bernas, J.; Neugschwandtner, R.W. Energy Efficiency of Oat:Pea Intercrops Affected by Sowing Ratio and Nitrogen Fertilization. Agronomy 2023, 13, 42. [Google Scholar] [CrossRef]
- Zhu, X.; Li, Y.; Peng, X.; Zhang, S. Soils of the loess region in China. Geoderma 1983, 29, 237–255. [Google Scholar] [CrossRef]
- Ningxia Hui Autonomous Region Bureau of Statistics. Ningxia Statistical Yearbook 2022; China Statistics Press: Beijing, China, 2017. [Google Scholar]
- Ningxia Hui Autonomous Region Bureau of Statistics. Ningxia Statistical Yearbook 2023; China Statistics Press: Beijing, China, 2017. [Google Scholar]
- Yadav, G.S.; Das, A.; Lal, R.; Babu, S.; Meena, R.S.; Saha, P.; Singh, R.; Datta, M. Energy budget and carbon footprint in a no-till and mulch based rice-mustard cropping system. J. Clean. Prod. 2018, 191, 144–157. [Google Scholar] [CrossRef]
- Datta, M.; Yadav, G.S.; Chakraborty, S. Integrated nutrient management in groundnut (Arachis hypogaea) in a subtropical humid climate of north-east India. Indian J. Agron. 2014, 59, 322–326. [Google Scholar] [CrossRef]
- Deng, J.; Ni, H.; Zhang, Z.; Usman, S.; Yang, X.; Shen, Y.; Li, Y. Designing productive, energy-efficient, and environmentally friendly production systems by replacing fallow period with annual forage cultivation on the Loess Plateau of China. J. Clean. Prod. 2021, 320, 128660. [Google Scholar] [CrossRef]
- UNESCAP. Eco-Efficiency Indicators: Measuring Resource-Use Efficiency and the Impact of Economic Activities on the Environment; United Nations: New York, NY, USA, 2009. [Google Scholar]
- Zhang, Z.; Whish, J.P.M.; Bell, L.W.; Nan, Z. Forage production, quality and water-use-efficiency of four warm-season annual crops at three sowing times in the Loess Plateau region of China. Eur. J. Agron. 2017, 84, 84–94. [Google Scholar] [CrossRef]
- Deng, J.; Zhang, Z.; Liang, Z.; Li, Z.; Yang, X.; Wang, Z.; Coulter, J.A.; Shen, Y. Replacing summer fallow with annual forage improves crude protein productivity and water use efficiency of the summer fallow-winter wheat cropping system. Agric. Water Manag. 2020, 230, 105980. [Google Scholar] [CrossRef]
- Wang, Z.; Zhao, X.; Wu, P.; Chen, X. Effects of water limitation on yield advantage and water use in wheat (Triticum aestivum L.)/maize (Zea mays L.) strip intercropping. Eur. J. Agron. 2015, 71, 149–159. [Google Scholar] [CrossRef]
- Umesh, M.R.; Angadi, S.; Begna, S.; Gowda, P.; Lauriault, L.; Hagevoort, R.; Darapuneni, M. Intercropping and species interactions on physiological and light use characteristics of forage cereals-legumes combinations in semi-arid regions. Field Crops Res. 2023, 290, 108755. [Google Scholar] [CrossRef]
- Xu, R.; Zhao, H.; Liu, G.; You, Y.; Ma, L.; Liu, N.; Zhang, Y. Effects of nitrogen and maize plant density on forage yield and nitrogen uptake in an alfalfa–silage maize relay intercropping system in the North China Plain. Field Crops Res. 2021, 263, 108068. [Google Scholar] [CrossRef]
- Uzun, A.; Acikgoz, E. Effect of sowing season and seeding rate on the morphological traits and yields in pea cultivars of differing leaf types. J. Agron. Crop Sci. 1998, 181, 215–222. [Google Scholar] [CrossRef]
- Contreras-Govea, F.E.; Albrecht, K.A. Forage production and nutritive value of oat in autumn and early summer. Crop Sci. 2006, 46, 2382–2386. [Google Scholar] [CrossRef]
- Abdulai, A.L.; Kouressy, M.; Vaksmann, M.; Asch, F.; Giese, M.; Holger, B. Latitude and date of sowing influences phenology of photoperiod-sensitive sorghums. J. Agron. Crop Sci. 2012, 198, 340–348. [Google Scholar] [CrossRef]
- Santos, R.D.; Boote, K.; Sollenberger, L.; Neves, A.L.A.; Pereira, L.G.R.; Scherer, C.B.; Goncalves, L.C. Simulated optimum sowing date for forage pearl millet cultivars in multilocation trials in Brazilian semi-arid region. Front. Plant Sci. 2016, 7, 1320. [Google Scholar] [CrossRef]
- Topak, R.; Süheri, S.; Acar, B. Comparison of energy of irrigation regimes in sugar beet production in a semi-arid region. Energy 2010, 35, 5464–5471. [Google Scholar] [CrossRef]
- Jat, S.L.; Parihar, C.M.; Singh, A.K.; Kumar, B.; Choudhary, M.; Nayak, H.S.; Parihar, M.D.; Parihar, N.; Meena, B.R. Energy auditing and carbon footprint under longterm conservation agriculture-based intensive maize systems with diverse inorganic nitrogen management options. Sci. Total Environ. 2019, 664, 659–668. [Google Scholar] [CrossRef]
- Nguyen, M.L.; Haynes, R.J. Energy and labour efficiency for three pairs of conventional and alternative mixed cropping (pasture-arable) farms in Canterbury, New Zealand. Agric. Ecosyst. Environ. 1995, 52, 163–172. [Google Scholar] [CrossRef]
- Puniya, R.; Palsaniya, S.; Chand, L.; Sharma, A.; Thakur, N.P.; Bazaya, B.R. Influence of sowing dates and varieties on the yield, heat use efficiency, energy utilization and economics of summer mungbean. Legume Res. 2017, 41, 710–715. [Google Scholar] [CrossRef]
- Moreno, M.M.; Lacasta, C.; Meco, R.; Moreno, C. Rainfed crop energy balance of different farming systems and crop rotations in a semi-arid environment: Results of a long-term trial. Soil Tillage Res. 2011, 114, 18–27. [Google Scholar] [CrossRef]
- Iqbal, S.; Xu, J.; Khan, S.; Worthy, F.R.; Khan, H.Z.; Nadir, S.; Ranjitkar, S. Regenerative fertilization strategies for climate-smart agriculture: Consequences for greenhouse gas emissions from global drylands. J. Clean. Prod. 2023, 398, 136650. [Google Scholar] [CrossRef]
- Wang, X.; Chen, Y.; Yang, K.; Duan, F.; Liu, P.; Wang, Z.; Wang, J. Effects of legume intercropping and nitrogen input on net greenhouse gas balances, intensity, carbon footprint and crop productivity in sweet maize cropland in South China. J. Clean. Prod. 2021, 314, 127997. [Google Scholar] [CrossRef]
- Huppes, G.; Ishikawa, M. Eco-efficiency and Its Terminology. J. Ind. Ecol. 2005, 9, 43–46. [Google Scholar] [CrossRef]
- Keating, B.A.; Carberry, P.S.; Bindraban, P.S.; Asseng, S.; Meinke, H.; Dixon, J. Eco-efficient agriculture: Concepts, challenges, and opportunities. Crop Sci. 2010, 50, 109–119. [Google Scholar] [CrossRef]
- Kulak, M.; Nemecek, T.; Frossard, E.; Gaillard, G. How Eco-Efficient Are Low-Input Cropping Systems in Western Europe, and What Can Be Done to Improve Their Eco-Efficiency? Sustainability 2013, 5, 3722–3743. [Google Scholar] [CrossRef]







| Cropping System | Sowing Method | Rowing Space (cm) | Sowing Rate (kg ha−1) | |
|---|---|---|---|---|
| O | V | |||
| O | Drilling | 30 | 180 | NA |
| O/V | 30 | 169 | 60 | |
| V | 30 | NA | 150 | |
| Variables | Dry Matter Yield | Economic Return | ||||
|---|---|---|---|---|---|---|
| Oat | Common Vetch | Total System | Annual System | Total System | Annual System | |
| Year | <0.001 | <0.001 | 0.001 | 0.006 | <0.001 | <0.001 |
| Cropping system | <0.001 | <0.001 | <0.001 | <0.001 | <0.001 | <0.001 |
| Sowing season | 0.472 | 0.707 | 0.361 | NA | 0.302 | NA |
| Y × CP | 0.782 | <0.001 | 0.672 | 0.776 | 0.928 | 0.581 |
| Y × SS | <0.001 | <0.001 | 0.003 | NA | <0.001 | NA |
| CP × SS | 0.948 | 0.353 | 0.157 | NA | 0.162 | NA |
| Y × CP × SS | 0.007 | <0.001 | 0.030 | NA | 0.029 | NA |
| Year | Sowing Season | Crop System | Dry Matter Yield (t ha−1) | Economic Return (USD ha−1) | ||
|---|---|---|---|---|---|---|
| Oat | Common Vetch | Total System | Total System | |||
| 2022 | Spring | O | 6.1 ± 0.2 b | NA | 6.1 ± 0.2 c | 1119.7 ± 70.0 b |
| O/V | 8.3 ± 0.4 a | 0.3 ± 0.1 e | 8.6 ± 0.3 ab | 1739.4 ± 97.7 a | ||
| V | NA | 3.6 ± 0.1 d | 3.6 ± 0.1 d | 515.4 ± 43.3 c | ||
| Summer | O | 8.1 ± 0.1 a | NA | 8.1 ± 0.1 b | 1694.7 ± 28.4 a | |
| O/V | 8.5 ± 0.2 a | 0.5 ± 0.1 e | 9.0 ± 0.2 a | 1875.5 ± 49.8 a | ||
| V | NA | 5.4 ± 0.2 c | 5.4 ± 0.2 c | 1127.9 ± 51.8 b | ||
| 2023 | Spring | O | 6.4 ± 0.4 a | NA | 6.4 ± 0.4 a | 1092.5 ± 284.0 a |
| O/V | 6.7 ± 0.5 a | 0.5 ± 0.1 d | 7.1 ± 0.5 a | 1199.7 ± 361.7 a | ||
| V | NA | 3.4 ± 0.4 b | 3.4 ± 0.4 b | 341.9 ± 298.9 bc | ||
| Summer | O | 4.0 ± 0.3 b | NA | 4.0 ± 0.3 b | 417.0 ± 200.5 bc | |
| O/V | 6.0 ± 0.7 a | 0.1 ± 0.0 d | 6.1 ± 0.7 a | 887.6 ± 514.0 ab | ||
| V | NA | 1.9 ± 0.1 c | 1.9 ± 0.1 c | −142.1 ± 109.9 c | ||
| Year | Sowing Season | Crop System | Land Preparation | Seed | Fertilizer | Pesticides | Labor | Diesel | Irrigation | Harvesting | Sum |
|---|---|---|---|---|---|---|---|---|---|---|---|
| 2022 | Spring | O | 996.0 | 2520.0 | 5801.9 | 648.0 | 222.9 | 844.7 | 2218.4 | 498.0 | 13,749.9 |
| O/V | 996.0 | 3248.0 | 5801.9 | 324.0 | 288.8 | 844.7 | 2218.4 | 498.0 | 14,219.8 | ||
| V | 996.0 | 2205.0 | 5801.9 | 216.0 | 223.5 | 1013.6 | 2218.4 | 597.6 | 13,272.0 | ||
| Summer | O | 996.0 | 2520.0 | 5801.9 | 655.0 | 212.7 | 844.7 | 2218.4 | 512.0 | 13,760.7 | |
| O/V | 996.0 | 3248.0 | 5801.9 | 320.0 | 283.1 | 844.7 | 2218.4 | 512.0 | 14,224.1 | ||
| V | 996.0 | 2205.0 | 5801.9 | 228.0 | 214.6 | 1013.6 | 2218.4 | 611.6 | 13,289.1 | ||
| 2023 | Spring | O | 996.0 | 2520.0 | 5801.9 | 631.0 | 235.7 | 844.7 | 2218.4 | 486.0 | 13,733.7 |
| O/V | 996.0 | 3248.0 | 5801.9 | 316.0 | 278.8 | 844.7 | 2218.4 | 486.0 | 14,189.8 | ||
| V | 996.0 | 2205.0 | 5801.9 | 221.0 | 218.4 | 1013.6 | 2218.4 | 594.6 | 13,268.9 | ||
| Summer | O | 996.0 | 2520.0 | 5801.9 | 639.0 | 215.9 | 844.7 | 2218.4 | 501.0 | 13,736.9 | |
| O/V | 996.0 | 3248.0 | 5801.9 | 311.0 | 286.7 | 844.7 | 2218.4 | 501.0 | 14,207.7 | ||
| V | 996.0 | 2205.0 | 5801.9 | 213.0 | 228.5 | 1013.6 | 2218.4 | 600.1 | 13,276.5 |
| Variables | EE | GHGI | EEIEI | EEIGHG | ||||
|---|---|---|---|---|---|---|---|---|
| Total System | Annual System | Total System | Annual System | Total System | Annual System | Total System | Annual System | |
| Year | <0.001 | <0.001 | 0.001 | <0.001 | <0.001 | <0.001 | <0.001 | <0.001 |
| Cropping system | <0.001 | <0.001 | <0.001 | <0.001 | <0.001 | <0.001 | <0.001 | <0.001 |
| Sowing season | 0.606 | NA | 0.053 | NA | 0.290 | NA | 0.310 | NA |
| Y × CP | 0.914 | 0.892 | 0.002 | 0.003 | 0.904 | 0.455 | 0.855 | 0.555 |
| Y × SS | <0.001 | NA | 0.002 | NA | <0.001 | NA | 0.001 | NA |
| CP × SS | 0.646 | NA | 0.010 | NA | 0.166 | NA | 0.158 | NA |
| Y × CP × SS | 0.022 | NA | <0.001 | NA | 0.020 | NA | 0.035 | NA |
| Year | Sowing Season | Crop System | Energy Inputs (MJ ha−1) | Gross Energy Outputs (MJ ha−1) | NEO (MJ ha−1) | EI (MJ USD −1) | ER | HEUE | EP (MJ ha−1) | EE (g MJ−1) |
|---|---|---|---|---|---|---|---|---|---|---|
| 2022 | Spring | O | 13,749.9 | 104,065.8 | 90,315.9 | 20.2 | 7.6 | 466.9 | 6.6 | 445.2 ± 17.3 b |
| O/V | 14,219.8 | 146,391.1 | 132,171.3 | 17.8 | 10.3 | 506.9 | 9.3 | 604.5 ± 23.5 a | ||
| V | 13,272.0 | 65,025.5 | 51,753.5 | 19.0 | 4.9 | 291.0 | 3.9 | 272.2 ± 9.7 c | ||
| Summer | O | 13,760.7 | 137,313.9 | 123,553.2 | 20.2 | 10.0 | 645.6 | 9.0 | 587.4 ± 7.0 a | |
| O/V | 14,224.1 | 153,930.7 | 139,706.6 | 17.8 | 10.8 | 543.7 | 9.8 | 634.7 ± 11.7 a | ||
| V | 13,289.1 | 97,838.1 | 84,549.0 | 19.0 | 7.4 | 456.0 | 6.4 | 409.5 ± 11.6 b | ||
| 2023 | Spring | O | 13,733.7 | 108,142.3 | 94,408.6 | 18.7 | 7.9 | 458.7 | 6.9 | 462.6 ± 29.4 a |
| O/V | 14,189.8 | 121,613.3 | 107,423.5 | 16.5 | 8.6 | 436.3 | 7.6 | 501.2 ± 35.9 a | ||
| V | 13,268.9 | 60,449.9 | 47,181.0 | 17.9 | 4.6 | 276.8 | 3.6 | 253.0 ± 28.5 b | ||
| Summer | O | 13,736.9 | 68,130.7 | 54,393.8 | 18.7 | 5.0 | 315.6 | 4.0 | 291.5 ± 20.7 b | |
| O/V | 14,207.7 | 103,522.4 | 89,314.7 | 16.5 | 7.3 | 361.1 | 6.3 | 427.9 ± 51.4 a | ||
| V | 13,276.5 | 33,393.4 | 20,116.9 | 18.0 | 2.5 | 146.2 | 1.5 | 139.8 ± 10.5 c |
| Year | Annual System | Energy Inputs (MJ ha−1) | Gross Energy Outputs (MJ ha−1) | NEO (MJ ha−1) | EI (MJ U.S. $−1) | ER | HEUE | EP (MJ ha−1) | EE (g MJ−1) |
|---|---|---|---|---|---|---|---|---|---|
| 2022 | O | 27,515.4 | 241,379.8 | 213,864.4 | 20.2 | 8.8 | 547.8 | 7.8 | 516.3 ± 4.5 b |
| O/V | 28,443.7 | 300,321.8 | 271,878.1 | 17.8 | 10.6 | 525.1 | 9.6 | 619.6 ± 18.0 a | |
| V | 26,560.9 | 162,863.6 | 136,302.7 | 19.0 | 6.1 | 371.8 | 5.1 | 340.9 ± 10.0 c | |
| 2023 | O | 27,470.4 | 176,273.0 | 148,802.6 | 18.7 | 6.4 | 390.3 | 5.4 | 377.1 ± 17.8 b |
| O/V | 28,397.2 | 225,135.7 | 196,738.5 | 16.5 | 7.9 | 398.1 | 6.9 | 464.6 ± 18.6 a | |
| V | 26,545.2 | 93,843.4 | 67,298.2 | 18.0 | 3.5 | 210.0 | 2.5 | 196.4 ± 16.6 c |
Disclaimer/Publisher’s Note: The statements, opinions and data contained in all publications are solely those of the individual author(s) and contributor(s) and not of MDPI and/or the editor(s). MDPI and/or the editor(s) disclaim responsibility for any injury to people or property resulting from any ideas, methods, instructions or products referred to in the content. |
© 2024 by the authors. Licensee MDPI, Basel, Switzerland. This article is an open access article distributed under the terms and conditions of the Creative Commons Attribution (CC BY) license (https://creativecommons.org/licenses/by/4.0/).
Share and Cite
Wei, X.; Feng, Q.; Deng, J.; Hu, H.; Ma, Q.; Lan, J. Intensive Annual Forage Cultivation via Diversified Sowing Under a Mixed-Cropping System to Increase Production and Decrease Greenhouse Gas Emissions. Agriculture 2025, 15, 32. https://doi.org/10.3390/agriculture15010032
Wei X, Feng Q, Deng J, Hu H, Ma Q, Lan J. Intensive Annual Forage Cultivation via Diversified Sowing Under a Mixed-Cropping System to Increase Production and Decrease Greenhouse Gas Emissions. Agriculture. 2025; 15(1):32. https://doi.org/10.3390/agriculture15010032
Chicago/Turabian StyleWei, Xiangyu, Qin Feng, Jianqiang Deng, Haiying Hu, Qiaoli Ma, and Jian Lan. 2025. "Intensive Annual Forage Cultivation via Diversified Sowing Under a Mixed-Cropping System to Increase Production and Decrease Greenhouse Gas Emissions" Agriculture 15, no. 1: 32. https://doi.org/10.3390/agriculture15010032
APA StyleWei, X., Feng, Q., Deng, J., Hu, H., Ma, Q., & Lan, J. (2025). Intensive Annual Forage Cultivation via Diversified Sowing Under a Mixed-Cropping System to Increase Production and Decrease Greenhouse Gas Emissions. Agriculture, 15(1), 32. https://doi.org/10.3390/agriculture15010032

