Interpretable Digital Soil Organic Matter Mapping Based on Geographical Gaussian Process-Generalized Additive Model (GGP-GAM)
Abstract
1. Introduction
2. Materials and Methods
2.1. Study Area
2.2. Data
2.3. Methods
2.3.1. Geographic Gaussian Process-Generalized Additive Model
2.3.2. Model Selection for Accuracy Comparison
- •
- For RK, ordinary linear regression was selected as the regression model. For the semivariogram of the kriging model for residual interpolation, the stable model was chosen, and the a sill, range, and nugget were set to 5, 7000, and 15, respectively.
- •
- For GRF: n-trees, m-try, local weight, and global weight were set to 500, 2, 0.6, and 0.4, respectively.
- •
- For GWR: kernel type was Gaussian and selected bandwidth was 9843.53.
2.3.3. Accuracy Evaluation
3. Results
3.1. Mapping Result of SOM Content in Leizhou
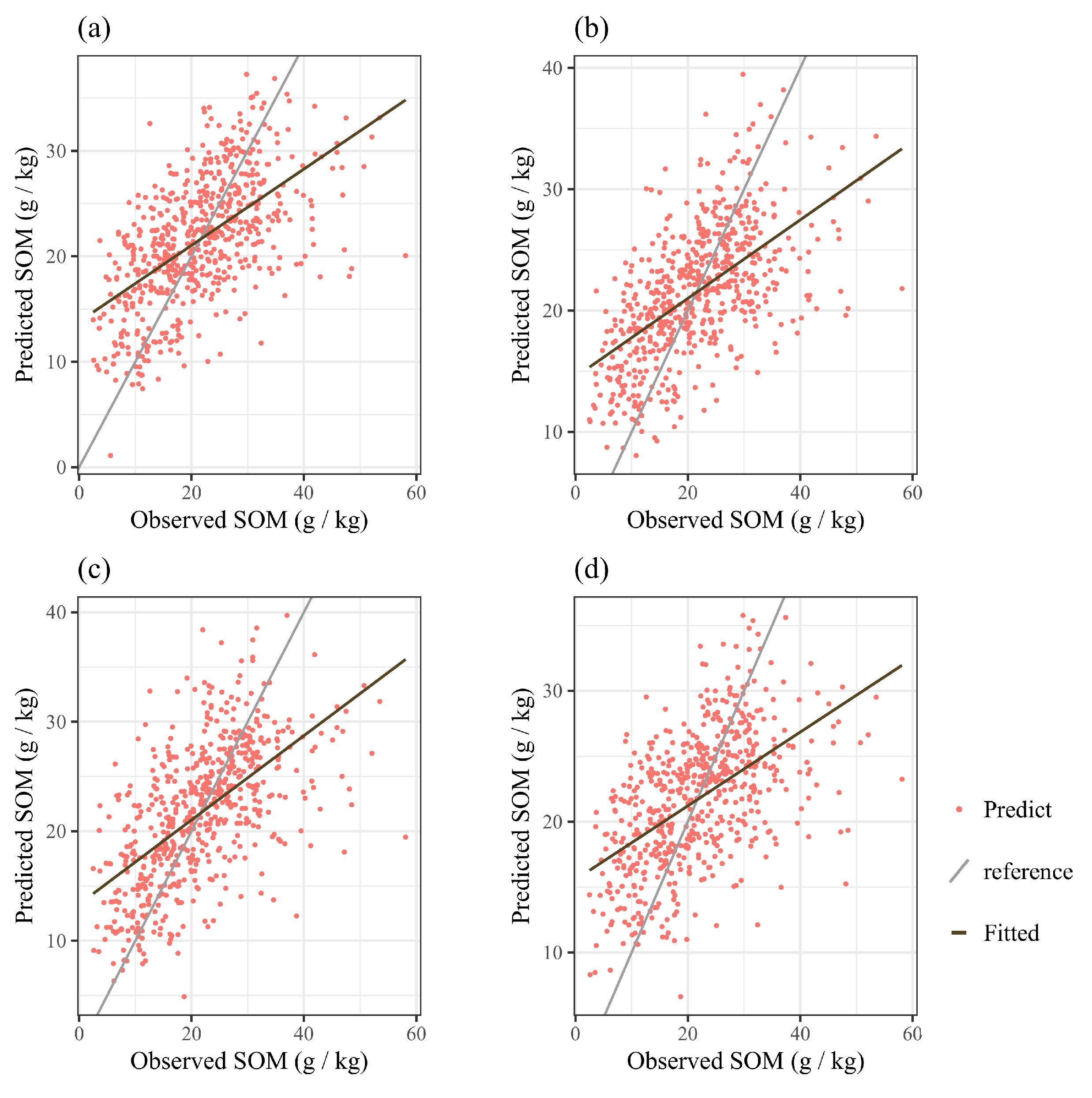
3.2. Accuracy
3.3. Model Interpretation
3.4. Effective Degrees of Freedom
4. Discussion
4.1. The Influence of Knot Numbers on GGP-GAM SOM Interpolation
4.2. Limitations
5. Conclusions
Author Contributions
Funding
Institutional Review Board Statement
Data Availability Statement
Acknowledgments
Conflicts of Interest
References
- Wood, S.A.; Tirfessa, D.; Baudron, F. Soil organic matter underlies crop nutritional quality and productivity in smallholder agriculture. Agric. Ecosyst. Environ. 2018, 266, 100–108. [Google Scholar] [CrossRef]
- Kane, D.A.; Bradford, M.A.; Fuller, E.; Oldfield, E.E.; Wood, S.A. Soil organic matter protects US maize yields and lowers crop insurance payouts under drought. Environ. Res. Lett. 2021, 16, 044018. [Google Scholar] [CrossRef]
- Dias, P.M.S.; Portela, J.C.; Gondim, J.E.F.; Batista, R.O.; Rossi, L.S.; Medeiros, J.L.F.; Farias, P.K.P.; Mota, P.J.; Bandeira, D.J.D.C.; Filho, L.C.D.A.L.; et al. Soil Attributes and Their Interrelationships with Resistance to Root Penetration and Water Infiltration in Areas with Different Land Uses in the Apodi Plateau, Semiarid Region of Brazil. Agriculture 2023, 13, 1921. [Google Scholar] [CrossRef]
- Phiwdaeng, N.; Polpinit, P.; Poltanee, A.; Kaewpradit, W. Land use change from paddy rice to sugarcane under long-term no-till conditions: Increase P balance, soil organic matter and sugarcane productivity. Arch. Agron. Soil Sci. 2024, 70, 1–17. [Google Scholar] [CrossRef]
- He, W.; Xiao, Z.; Lu, Q.; Wei, L.; Liu, X. Digital Mapping of Soil Particle Size Fractions in the Loess Plateau, China, Using Environmental Variables and Multivariate Random Forest. Remote Sens. 2024, 16, 785. [Google Scholar] [CrossRef]
- McBratney, A.; Mendonça Santos, M.; Minasny, B. On digital soil mapping. Geoderma 2003, 117, 3–52. [Google Scholar] [CrossRef]
- Wang, S.; Zhuang, Q.; Wang, Q.; Jin, X.; Han, C. Mapping stocks of soil organic carbon and soil total nitrogen in Liaoning Province of China. Geoderma 2017, 305, 250–263. [Google Scholar] [CrossRef]
- Martínez Pastur, G.; Aravena Acuña, M.C.; Chaves, J.E.; Cellini, J.M.; Silveira, E.M.O.; Rodriguez-Souilla, J.; von Müller, A.; La Manna, L.; Lencinas, M.V.; Peri, P.L. Nitrogenous and Phosphorus Soil Contents in Tierra del Fuego Forests: Relationships with Soil Organic Carbon, Climate, Vegetation and Landscape Metrics. Land 2023, 12, 983. [Google Scholar] [CrossRef]
- Zhang, W.; Cheng, L.; Xu, R.; He, X.; Mo, W.; Xu, J. Assessing Spatial Variation and Driving Factors of Available Phosphorus in a Hilly Area (Gaozhou, South China) Using Modeling Approaches and Digital Soil Mapping. Agriculture 2023, 13, 1541. [Google Scholar] [CrossRef]
- Saffari, M.; Yasrebi, J.; Fathi, H.; Karimian, N.; Moazallahi, M.; Gazni, R. Evaluation and Comparison of Ordinary Kriging and Inverse Distance Weighting Methods for Prediction of Spatial Variability of Some Soil Chemical Parameters. Res. J. Biol. Sci. 2009, 4, 93–102. [Google Scholar]
- Hani, A.; Abari, S.A.H. Determination of Cd, Zn, K, pH, TNV, Organic Material and Electrical Conductivity (EC) Distribution in Agricultural Soils using Geostatistics and GIS (Case Study: South- Western of Natanz-Iran). Int. J. Agric. Biosyst. Eng. 2011, 5, 852–855. [Google Scholar]
- Bhunia, G.S.; Shit, P.K.; Maiti, R. Spatial variability of soil organic carbon under different land use using radial basis function (RBF). Model. Earth Syst. Environ. 2016, 2, 17. [Google Scholar] [CrossRef]
- Odeh, I.O.A.; McBratney, A.B.; Chittleborough, D.J. Further results on prediction of soil properties from terrain attributes: Heterotopic cokriging and regression-kriging. Geoderma 1995, 67, 215–226. [Google Scholar] [CrossRef]
- Hengl, T.; Heuvelink, G.B.M.; Stein, A. A generic framework for spatial prediction of soil variables based on regression-kriging. Geoderma 2004, 120, 75–93. [Google Scholar] [CrossRef]
- Wälder, K.; Wälder, O.; Rinklebe, J.; Menz, J. Estimation of soil properties with geostatistical methods in floodplains. Arch. Agron. Soil Sci. 2008, 54, 275–295. [Google Scholar] [CrossRef]
- Grimm, R.; Behrens, T.; Märker, M.; Elsenbeer, H. Soil organic carbon concentrations and stocks on Barro Colorado Island—Digital soil mapping using Random Forests analysis. Geoderma 2008, 146, 102–113. [Google Scholar] [CrossRef]
- Hengl, T.; Leenaars, J.G.B.; Shepherd, K.D.; Walsh, M.G.; Heuvelink, G.B.M.; Mamo, T.; Tilahun, H.; Berkhout, E.; Cooper, M.; Fegraus, E.; et al. Soil nutrient maps of Sub-Saharan Africa: Assessment of soil nutrient content at 250 m spatial resolution using machine learning. Nutr. Cycl. Agroecosyst. 2017, 109, 77–102. [Google Scholar] [CrossRef] [PubMed]
- Saygın, F.; Aksoy, H.; Alaboz, P.; Dengiz, O. Different approaches to estimating soil properties for digital soil map integrated with machine learning and remote sensing techniques in a sub-humid ecosystem. Environ. Monit. Assess. 2023, 195, 1061. [Google Scholar] [CrossRef]
- Burgess, T.M.; Webster, R. Optimal Interpolation and Isarithmic Mapping of Soil Properties: I The Semi-Variogram and Punctual Kriging. J. Soil Sci. 1980, 31, 315–331. [Google Scholar] [CrossRef]
- Karydas, C.G.; Gitas, I.Z.; Koutsogiannaki, E.; Lydakis-Simantiris, N.; Silleos, G.N. Evaluation of spatial interpolation techniques for mapping agricultural topsoil properties in Crete. EARSeL eProc. 2009, 8, 26–39. [Google Scholar]
- John, K.; Lawani, S.; Ayito, E.; Kebonye, N.; Ogeh, J.; Penížek, V. Predictive Mapping of Soil Properties for Precision Agriculture Using Geographic Information System (GIS) Based Geostatistics Models. Mod. Appl. Sci. 2019, 10, 60–77. [Google Scholar] [CrossRef][Green Version]
- Kalambukattu, J.G.; Kumar, S.; Arya Raj, R. Digital soil mapping in a Himalayan watershed using remote sensing and terrain parameters employing artificial neural network model. Environ. Earth Sci. 2018, 77, 203. [Google Scholar] [CrossRef]
- Gao, B.; Stein, A.; Wang, J. A two-point machine learning method for the spatial prediction of soil pollution. Int. J. Appl. Earth Obs. Geoinf. 2022, 108, 102742. [Google Scholar] [CrossRef]
- Pereira, G.W.; Valente, D.S.M.; de Queiroz, D.M.; Santos, N.T.; Fernandes-Filho, E.I. Soil mapping for precision agriculture using support vector machines combined with inverse distance weighting. Precis. Agric. 2022, 23, 1189–1204. [Google Scholar] [CrossRef]
- Suleymanov, A.; Gabbasova, I.; Komissarov, M.; Suleymanov, R.; Garipov, T.; Tuktarova, I.; Belan, L. Random Forest Modeling of Soil Properties in Saline Semi-Arid Areas. Agriculture 2023, 13, 976. [Google Scholar] [CrossRef]
- Wang, J.; Feng, C.; Hu, B.; Chen, S.; Hong, Y.; Arrouays, D.; Peng, J.; Shi, Z. A novel framework for improving soil organic matter prediction accuracy in cropland by integrating soil, vegetation and human activity information. Sci. Total. Environ. 2023, 903, 166112. [Google Scholar] [CrossRef] [PubMed]
- Marcinkevičs, R.; Vogt, J.E. Interpretable and explainable machine learning: A methods-centric overview with concrete examples. WIREs Data Min. Knowl. Discov. 2023, 13, e1493. [Google Scholar] [CrossRef]
- Lundberg, S.; Lee, S.I. A Unified Approach to Interpreting Model Predictions. arXiv 2017, arXiv:1705.07874. [Google Scholar]
- Qiu, H.; Xu, Y.; Tang, B.; Su, L.; Li, Y.; Yang, D.; Ullah, M. Interpretable Landslide Susceptibility Evaluation Based on Model Optimization. Land 2024, 13, 639. [Google Scholar] [CrossRef]
- Padarian, J.; McBratney, A.B.; Minasny, B. Game theory interpretation of digital soil mapping convolutional neural networks. Soil 2020, 6, 389–397. [Google Scholar] [CrossRef]
- Lin, K.; Gao, Y. Model interpretability of financial fraud detection by group SHAP. Expert Syst. Appl. 2022, 210, 118354. [Google Scholar] [CrossRef]
- Comber, A.; Harris, P.; Brunsdon, C. Multiscale spatially varying coefficient modelling using a Geographical Gaussian Process GAM. Int. J. Geogr. Inf. Sci. 2024, 38, 27–47. [Google Scholar] [CrossRef]
- Yang, J.; Huang, X. The 30 m annual land cover dataset and its dynamics in China from 1990 to 2019. Earth Syst. Sci. Data 2021, 13, 3907–3925. [Google Scholar] [CrossRef]
- Walkley, A.; Black, I.A. An Examination of the Degtjareff Method for Determining Soil Organic Matter, and a Proposed Modification of the Chromic Acid Titration Method. Soil Sci. 1934, 37, 29–38. [Google Scholar] [CrossRef]
- Jiang, H.; Zou, Q.; Zhou, B.; Hu, Z.; Li, C.; Yao, S.; Yao, H. Susceptibility Assessment of Debris Flows Coupled with Ecohydrological Activation in the Eastern Qinghai-Tibet Plateau. Remote Sens. 2022, 14, 1444. [Google Scholar] [CrossRef]
- Gou, Y.; Chen, H.; Wu, W.; Liu, H.B. Effects of slope position, aspect and cropping system on soil nutrient variability in hilly areas. Soil Res. 2015, 53, 338–348. [Google Scholar] [CrossRef]
- Zhu, M.; Feng, Q.; Qin, Y.; Cao, J.; Zhang, M.; Liu, W.; Deo, R.C.; Zhang, C.; Li, R.; Li, B. The role of topography in shaping the spatial patterns of soil organic carbon. Catena 2019, 176, 296–305. [Google Scholar] [CrossRef]
- McCune, B.; Keon, D. Equations for potential annual direct incident radiation and heat load. J. Veg. Sci. 2002, 13, 603–606. [Google Scholar] [CrossRef]
- Sigua, G.C.; Coleman, S.W.; Albano, J.; Williams, M. Spatial distribution of soil phosphorus and herbage mass in beef cattle pastures: Effects of slope aspect and slope position. Nutr. Cycl. Agroecosyst. 2011, 89, 59–70. [Google Scholar] [CrossRef]
- Khanifar, J.; Khademalrasoul, A. Multiscale computation of different plan curvature forms to enhance the prediction of soil properties in a low-relief watershed. Acta Geophys. 2024, 72, 933–944. [Google Scholar] [CrossRef]
- Riihimäki, H.; Kemppinen, J.; Kopecký, M.; Luoto, M. Topographic Wetness Index as a Proxy for Soil Moisture: The Importance of Flow-Routing Algorithm and Grid Resolution. Water Resour. Res. 2021, 57, e2021WR029871. [Google Scholar] [CrossRef]
- Brown, R.L.; Hangs, R.; Schoenau, J.; Bedard-Haughn, A. Soil Nitrogen and Phosphorus Dynamics and Uptake by Wheat Grown in Drained Prairie Soils under Three Moisture Scenarios. Soil Sci. Soc. Am. J. 2017, 81, 1496–1504. [Google Scholar] [CrossRef]
- Benbi, D.K.; Khosa, M.K. Effects of Temperature, Moisture, and Chemical Composition of Organic Substrates on C Mineralization in Soils. Commun. Soil Sci. Plant Anal. 2014, 45, 2734–2753. [Google Scholar] [CrossRef]
- Ng, C.W.W.; Tasnim, R.; Capobianco, V.; Coo, J.L. Influence of soil nutrients on plant characteristics and soil hydrological responses. Géotech. Lett. 2018, 8, 19–24. [Google Scholar] [CrossRef]
- Johnson, B.G.; Verburg, P.S.J.; Arnone, J.A. Plant species effects on soil nutrients and chemistry in arid ecological zones. Oecologia 2016, 182, 299–317. [Google Scholar] [CrossRef]
- Nketia, K.A.; Asabere, S.B.; Erasmi, S.; Sauer, D. A new method for selecting sites for soil sampling, coupling global weighted principal component analysis and a cost-constrained conditioned Latin hypercube algorithm. MethodsX 2019, 6, 284–299. [Google Scholar] [CrossRef] [PubMed]
- Zeng, P.; Song, X.; Yang, H.; Wei, N.; Du, L. Digital Soil Mapping of Soil Organic Matter with Deep Learning Algorithms. ISPRS Int. J. Geo-Inf. 2022, 11, 299. [Google Scholar] [CrossRef]
- Arroyo, I.; Tamariz-Flores, V.; Castelan, R. Mapping Forest Cover and Estimating Soil Organic Matter by GIS-Data and an Empirical Model at the Subnational Level in Mexico. Forests 2023, 14, 539. [Google Scholar] [CrossRef]
- Lu, Q.; Tian, S.; Wei, L. Digital mapping of soil pH and carbonates at the European scale using environmental variables and machine learning. 2023, 856, 159171. [CrossRef]
- Brunsdon, C.; Fotheringham, S.; Charlton, M. Geographically Weighted Regression. J. R. Stat. Soc. Ser. D (Stat.) 1998, 47, 431–443. [Google Scholar] [CrossRef]
- Chen, L.; Ren, C.; Li, L.; Wang, Y.; Zhang, B.; Wang, Z.; Li, L. A Comparative Assessment of Geostatistical, Machine Learning, and Hybrid Approaches for Mapping Topsoil Organic Carbon Content. ISPRS Int. J. Geo-Inf. 2019, 8, 174. [Google Scholar] [CrossRef]
- Wang, S.; Zhuang, Q.; Jin, X.; Yang, Z.; Liu, H. Predicting Soil Organic Carbon and Soil Nitrogen Stocks in Topsoil of Forest Ecosystems in Northeastern China Using Remote Sensing Data. Remote Sens. 2020, 12, 1115. [Google Scholar] [CrossRef]
- Georganos, S.; Grippa, T.; Niang Gadiaga, A.; Linard, C.; Lennert, M.; Vanhuysse, S.; Mboga, N.; Wolff, E.; Kalogirou, S. Geographical random forests: A spatial extension of the random forest algorithm to address spatial heterogeneity in remote sensing and population modelling. Geocarto Int. 2021, 36, 121–136. [Google Scholar] [CrossRef]
- Wiesmeier, M.; Barthold, F.; Blank, B.; Kögel-Knabner, I. Digital mapping of soil organic matter stocks using Random Forest modeling in a semi-arid steppe ecosystem. Plant Soil 2011, 340, 7–24. [Google Scholar] [CrossRef]
- Wang, L.; Zhou, Y. Combining Multitemporal Sentinel-2A Spectral Imaging and Random Forest to Improve the Accuracy of Soil Organic Matter Estimates in the Plough Layer for Cultivated Land. Agriculture 2023, 13, 8. [Google Scholar] [CrossRef]
- Wood, S.N. Generalized Additive Models: An Introduction with R, 2nd ed.; Chapman & Hall/CRC Texts in Statistical Science; CRC Press/Taylor & Francis Group: Boca Raton, FL, USA, 2017. [Google Scholar]
- Ruppert, D. Selecting the Number of Knots for Penalized Splines. J. Comput. Graph. Stat. 2002, 11, 735–757. [Google Scholar] [CrossRef]
- Pribyl, D.W. A critical review of the conventional SOC to SOM conversion factor. Geoderma 2010, 156, 75–83. [Google Scholar] [CrossRef]









| Statistic | Max | Min | Mean | 1st Quartile | 3rd Quartile | Std |
|---|---|---|---|---|---|---|
| SOM Content (g/kg) | 48.5 | 2.5 | 21.4 | 14.5 | 27.7 | 2.6 |
| Environment Variables | Elevation | Curvature | NDVI | EVI | Aspect | TWI |
|---|---|---|---|---|---|---|
| Importance | 9168.286 | 7437.733 | 7168.667 | 6888.217 | 4590.151 | 3296.906 |
| Model | Min (g/kg) | 1st Quartile (g/kg) | Median (g/kg) | Mean (g/kg) | 3rd Quartile (g/kg) | Max (g/kg) |
|---|---|---|---|---|---|---|
| Observed | 2.50 | 14.53 | 21.35 | 21.35 | 27.68 | 48.50 |
| GGP-GAM | 0.14 | 16.67 | 21.02 | 21.01 | 25.33 | 40.59 |
| RK | 7.01 | 18.31 | 22.60 | 22.70 | 27.15 | 46.37 |
| GRF | 7.49 | 17.67 | 21.37 | 21.48 | 24.96 | 41.92 |
| GWR | −1.12 | 16.62 | 21.30 | 21.24 | 25.50 | 50.31 |
| Model | RMSE (g ) | MAE () | Adjusted | |
|---|---|---|---|---|
| GGP-GAM | 7.7957 | 6.0119 | 0.3425 | 0.3343 |
| RK | 7.8663 | 6.1299 | 0.3382 | 0.3314 |
| GRF | 7.9253 | 5.9502 | 0.3170 | 0.3085 |
| GWR | 8.0754 | 6.1791 | 0.2897 | 0.2809 |
| Statistic | Min | 1st Quartile | Median | 3rd Quartile | Average | Max |
|---|---|---|---|---|---|---|
| aspect | −0.27 | −0.04 | 0.09 | 0.23 | 0.09 | 0.43 |
| plan curvature | −6239.5 | −2430.2 | −212.70 | 2042.8 | −137.7 | 6288.9 |
| elevation | −0.19 | −0.13 | −0.03 | 0.04 | −0.04 | 0.16 |
| EVI | −18.66 | −8.55 | −5.54 | −3.13 | −5.59 | 6.35 |
| NDVI | −15.55 | −4.20 | 0.96 | 6.16 | 0.99 | 17.71 |
| TWI | −3.09 | −0.26 | −0.07 | 0.30 | −0.03 | 1.27 |
| Predictor | EDF |
|---|---|
| Aspect | 2.50 |
| Elevation | 11.00 |
| Plan curvature | 2.00 |
| TWI | 18.641 |
| EVI | 2.50 |
| NDVI | 6.579 |
Disclaimer/Publisher’s Note: The statements, opinions and data contained in all publications are solely those of the individual author(s) and contributor(s) and not of MDPI and/or the editor(s). MDPI and/or the editor(s) disclaim responsibility for any injury to people or property resulting from any ideas, methods, instructions or products referred to in the content. |
© 2024 by the authors. Licensee MDPI, Basel, Switzerland. This article is an open access article distributed under the terms and conditions of the Creative Commons Attribution (CC BY) license (https://creativecommons.org/licenses/by/4.0/).
Share and Cite
Cheng, L.; Yan, M.; Zhang, W.; Guan, W.; Zhong, L.; Xu, J. Interpretable Digital Soil Organic Matter Mapping Based on Geographical Gaussian Process-Generalized Additive Model (GGP-GAM). Agriculture 2024, 14, 1578. https://doi.org/10.3390/agriculture14091578
Cheng L, Yan M, Zhang W, Guan W, Zhong L, Xu J. Interpretable Digital Soil Organic Matter Mapping Based on Geographical Gaussian Process-Generalized Additive Model (GGP-GAM). Agriculture. 2024; 14(9):1578. https://doi.org/10.3390/agriculture14091578
Chicago/Turabian StyleCheng, Liangwei, Mingzhi Yan, Wenhui Zhang, Weiyan Guan, Lang Zhong, and Jianbo Xu. 2024. "Interpretable Digital Soil Organic Matter Mapping Based on Geographical Gaussian Process-Generalized Additive Model (GGP-GAM)" Agriculture 14, no. 9: 1578. https://doi.org/10.3390/agriculture14091578
APA StyleCheng, L., Yan, M., Zhang, W., Guan, W., Zhong, L., & Xu, J. (2024). Interpretable Digital Soil Organic Matter Mapping Based on Geographical Gaussian Process-Generalized Additive Model (GGP-GAM). Agriculture, 14(9), 1578. https://doi.org/10.3390/agriculture14091578
