Spatial Prediction of Organic Matter Quality in German Agricultural Topsoils
Abstract
1. Introduction
2. Materials and Methods
2.1. Research Area and Response Variables
2.2. Predictor Set
2.2.1. Soil and Parent Materials
2.2.2. Climate
2.2.3. Land Use and Land Cover
2.2.4. Relief
2.3. Algorithms and Modeling Framework
2.3.1. Ensemble Learning
2.3.2. Multi-Target Regression
2.4. Performance Evaluation
Parameter Optimization
2.5. Model Interpretation
2.5.1. Predictor Importance and Effect for Global Model Interpretation
2.5.2. Predictor Importance for Local Model Interpretation
3. Results and Discussion
3.1. Predictive Performance of the Ensemble Models
3.2. Interpretation of the Models
3.2.1. The Bigger Picture Using Global Model Interpretation
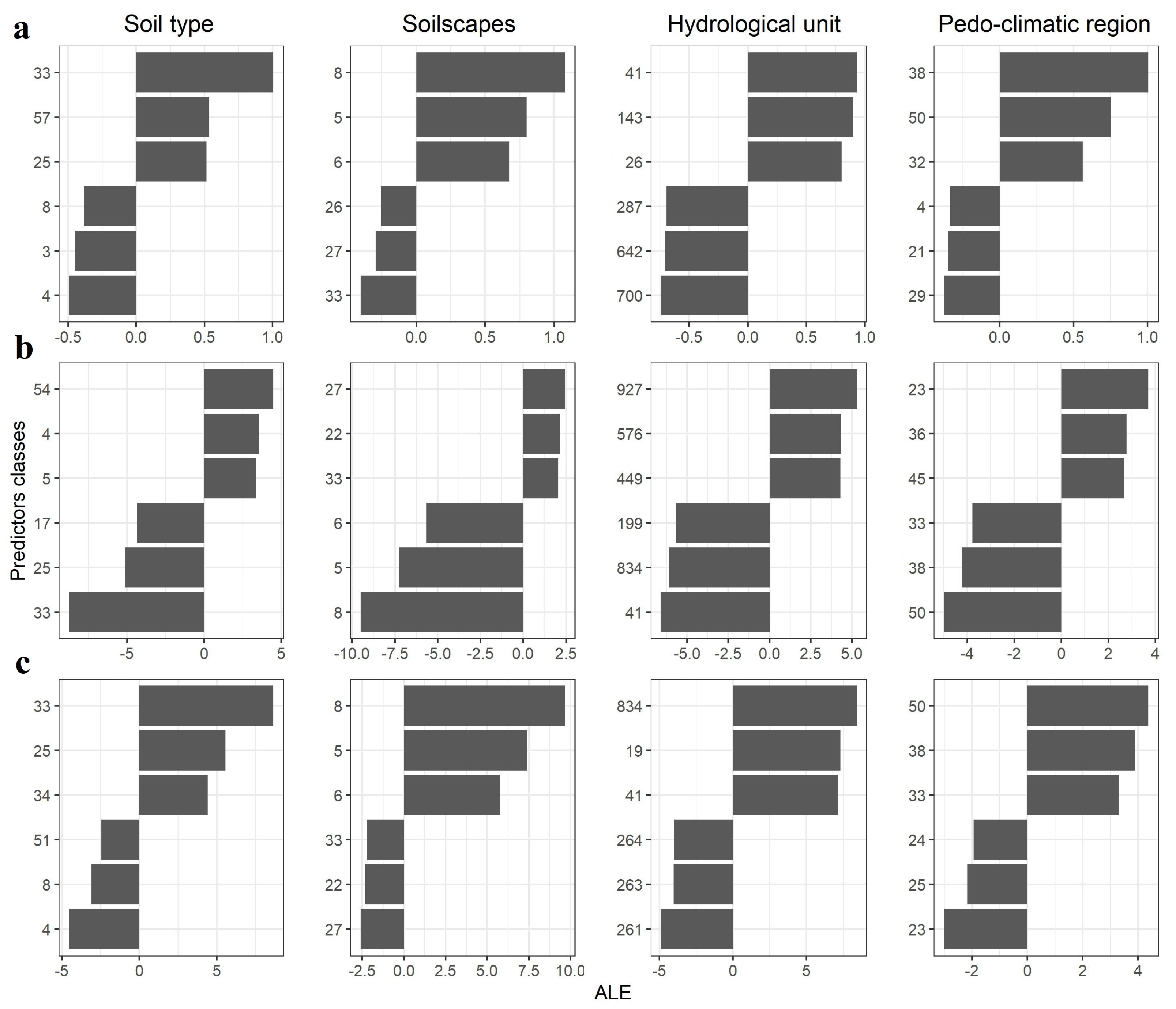
3.2.2. The Main Effect of Predictors
3.3. Spatial Prediction of the Response Variables
3.3.1. From Global to Local Model Interpretation
3.4. Modeling the Underlying Relationship between Response Variables
4. Conclusions
Supplementary Materials
Author Contributions
Funding
Data Availability Statement
Acknowledgments
Conflicts of Interest
References
- Keesstra, S.D.; Bouma, J.; Wallinga, J.; Tittonell, P.; Smith, P.; Cerdà, A.; Montanarella, L.; Quinton, J.N.; Pachepsky, Y.; Van Der Putten, W.H.; et al. The significance of soils and soil science towards realization of the United Nations sustainable development goals. SOIL 2016, 2, 111–128. [Google Scholar] [CrossRef]
- de Brogniez, D.; Ballabio, C.; Stevens, A.; Jones, R.J.; Montanarella, L.; van Wesemael, B. A map of the topsoil organic carbon content of Europe generated by a generalized additive model. Eur. J. Soil Sci. 2015, 66, 121–134. [Google Scholar] [CrossRef]
- Lavallee, J.M.; Soong, J.L.; Cotrufo, M.F. Conceptualizing soil organic matter into particulate and mineral-associated forms to address global change in the 21st century. Glob. Chang. Biol. 2020, 26, 261–273. [Google Scholar] [CrossRef] [PubMed]
- Cotrufo, M.F.; Ranalli, M.G.; Haddix, M.L.; Six, J.; Lugato, E. Soil carbon storage informed by particulate and mineral-associated organic matter. Nat. Geosci. 2019, 12, 989–994. [Google Scholar] [CrossRef]
- Kauer, K.; Pärnpuu, S.; Talgre, L.; Eremeev, V.; Luik, A. Soil Particulate and Mineral-Associated Organic Matter Increases in Organic Farming under Cover Cropping and Manure Addition. Agriculture 2021, 11, 903. [Google Scholar] [CrossRef]
- Li, J.; Ren, T.; Li, Y.; Chen, N.; Yin, Q.; Li, M.; Liu, H.; Liu, G. Organic materials with high C/N ratio: More beneficial to soil improvement and soil health. Biotechnol. Lett. 2022, 44, 1415–1429. [Google Scholar] [CrossRef] [PubMed]
- Fierer, N.; Strickland, M.S.; Liptzin, D.; Bradford, M.A.; Cleveland, C.C. Global patterns in belowground communities. Ecol. Lett. 2009, 12, 1238–1249. [Google Scholar] [CrossRef]
- Blanco, J.A.; Durán, M.; Luquin, J.; San Emeterio, L.; Yeste, A.; Canals, R.M. Soil C/N ratios cause opposing effects in forests compared to grasslands on decomposition rates and stabilization factors in southern European ecosystems. Sci. Total Environ. 2023, 888, 164118. [Google Scholar] [CrossRef] [PubMed]
- Wadoux, A.M.C.; Heuvelink, G.B.; Lark, R.M.; Lagacherie, P.; Bouma, J.; Mulder, V.L.; Libohova, Z.; Yang, L.; McBratney, A.B. Ten challenges for the future of pedometrics. Geoderma 2021, 401, 115155. [Google Scholar] [CrossRef]
- Ließ, M. Modeling the Agricultural Soil Landscape of Germany—A Data Science Approach Involving Spatially Allocated Functional Soil Process Units. Agriculture 2022, 12, 1784. [Google Scholar] [CrossRef]
- Behrens, T.; Scholten, T. Digital soil mapping in Germany—A review. J. Plant Nutr. Soil Sci. 2006, 169, 434–443. [Google Scholar] [CrossRef]
- Wadoux, A.M.C.; Minasny, B.; McBratney, A.B. Machine learning for digital soil mapping: Applications, challenges and suggested solutions. Earth Sci. Rev. 2020, 210, 103359. [Google Scholar] [CrossRef]
- Poeplau, C.; Jacobs, A.; Don, A.; Vos, C.; Schneider, F.; Wittnebel, M.; Tiemeyer, B.; Heidkamp, A.; Prietz, R.; Flessa, H. Stocks of organic carbon in German agricultural soils—Key results of the first comprehensive inventory. J. Plant Nutr. Soil Sci. 2020, 183, 665–681. [Google Scholar] [CrossRef]
- Zhou, T.; Geng, Y.; Ji, C.; Xu, X.; Wang, H.; Pan, J.; Bumberger, J.; Haase, D.; Lausch, A. Prediction of soil organic carbon and the C:N ratio on a national scale using machine learning and satellite data: A comparison between Sentinel-2, Sentinel-3 and Landsat-8 images. Sci. Total Environ. 2021, 755, 142661. [Google Scholar] [CrossRef] [PubMed]
- Sakhaee, A.; Gebauer, A.; Ließ, M.; Don, A. Spatial prediction of organic carbon in German agricultural topsoil using machine learning algorithms. Soil 2022, 8, 587–604. [Google Scholar] [CrossRef]
- Dong, X.; Yu, Z.; Cao, W.; Shi, Y.; Ma, Q. A survey on ensemble learning. Front. Comput. Sci. 2020, 14, 241–258. [Google Scholar] [CrossRef]
- Hengl, T.; Miller, M.A.; Križan, J.; Shepherd, K.D.; Sila, A.; Kilibarda, M.; Antonijević, O.; Glušica, L.; Dobermann, A.; Haefele, S.M.; et al. African soil properties and nutrients mapped at 30 m spatial resolution using two-scale ensemble machine learning. Sci. Rep. 2021, 11, 6130. [Google Scholar] [CrossRef] [PubMed]
- Sun, Y.; Ma, J.; Zhao, W.; Qu, Y.; Gou, Z.; Chen, H.; Tian, Y.; Wu, F. Digital mapping of soil organic carbon density in China using an ensemble model. Environ. Res. 2023, 231, 116131. [Google Scholar] [CrossRef] [PubMed]
- Adeniyi, O.D.; Brenning, A.; Bernini, A.; Brenna, S.; Maerker, M. Digital Mapping of Soil Properties Using Ensemble Machine Learning Approaches in an Agricultural Lowland Area of Lombardy, Italy. Land 2023, 12, 494. [Google Scholar] [CrossRef]
- Padarian, J.; Minasny, B.; McBratney, A.B. Using deep learning for digital soil mapping. Soil 2019, 5, 79–89. [Google Scholar] [CrossRef]
- Ng, W.; Minasny, B.; Montazerolghaem, M.; Padarian, J.; Ferguson, R.; Bailey, S.; McBratney, A.B. Convolutional neural network for simultaneous prediction of several soil properties using visible/near-infrared, mid-infrared, and their combined spectra. Geoderma 2019, 352, 251–267. [Google Scholar] [CrossRef]
- van der Westhuizen, S.; Heuvelink, G.B.; Hofmeyr, D.P. Multivariate random forest for digital soil mapping. Geoderma 2023, 431, 116365. [Google Scholar] [CrossRef]
- Spyromitros-Xioufis, E.; Tsoumakas, G.; Groves, W.; Vlahavas, I. Multi-target regression via input space expansion: Treating targets as inputs. Mach. Learn. 2016, 104, 55–98. [Google Scholar] [CrossRef]
- Santana, E.J.; Geronimo, B.C.; Mastelini, S.M.; Carvalho, R.H.; Barbin, D.F.; Ida, E.I.; Barbon, S. Predicting poultry meat characteristics using an enhanced multi-target regression method. Biosyst. Eng. 2018, 171, 193–204. [Google Scholar] [CrossRef]
- Geiß, C.; Brzoska, E.; Aravena Pelizari, P.; Lautenbach, S.; Taubenböck, H. Multi-target regressor chains with repetitive permutation scheme for characterization of built environments with remote sensing. Int. J. Appl. Earth Obs. Geoinf. 2022, 106, 102657. [Google Scholar] [CrossRef]
- Santana, E.J.; Rodrigues dos Santos, F.; Mastelini, S.M.; Melquiades, F.L.; Barbon, S. Improved prediction of soil properties with multi-target stacked generalisation on EDXRF spectra. Chemom. Intell. Lab. Syst. 2021, 209, 104231. [Google Scholar] [CrossRef]
- Jaconi, A.; Poeplau, C.; Ramirez-Lopez, L.; Van Wesemael, B.; Don, A. Log-ratio transformation is the key to determining soil organic carbon fractions with near-infrared spectroscopy. Eur. J. Soil Sci. 2019, 70, 127–139. [Google Scholar] [CrossRef]
- Schneider, F.; Amelung, W.; Don, A. Origin of carbon in agricultural soil profiles deduced from depth gradients of C:N ratios, carbon fractions, δ13C and δ15N values. Plant Soil 2021, 460, 123–148. [Google Scholar] [CrossRef]
- Eurostat. Eurostat Grid Generation Tool for ArcGIS. 2012. Available online: https://www.efgs.info/information-base/best-practices/tools/eurostat-grid-generation-tool-arcgis/ (accessed on 15 February 2021).
- Environmental Systems Research Institute (ESRI). ArcGIS 10.2 for Desktop; Environmental Systems Research Institute (ESRI): Redlands, CA, USA, 2013. [Google Scholar]
- Federal Institute for Geosciences and Natural Resources (BGR); German State Geological Surveys (SDG). Hydrogeological Map of Germany 1:250,000 (HÜK250). 2019. Available online: https://produktcenter.bgr.de/terraCatalog/DetailResult.do?fileIdentifier=61ac4628-6b62-48c6-89b8-46270819f0d6 (accessed on 15 February 2021).
- Federal Institute for Geosciences and Natural Resources (BGR). Soil Scapes in Germany 1:5,000,000 (BGL5000). 2008. Available online: https://produktcenter.bgr.de/terraCatalog/DetailResult.do?fileIdentifier=57399937-858F-4065-AC1E-62C1788AFCEE (accessed on 15 February 2021).
- Gebauer, A.; Ellinger, M.; Brito Gomez, V.M.; Ließ, M. Development of pedotransfer functions for water retention in tropical mountain soil landscapes: Spotlight on parameter tuning in machine learning. Soil 2020, 6, 215–229. [Google Scholar] [CrossRef]
- Roßberg, D.; Michel, V.; Graf, R.; Neukampf, R. Definition von Boden-Klima-Räumen für die Bundesrepublik Deutschland. Nachrichtenblatt Des Dtsch. Pflanzenschutzdienstes 2007, 59, 155–161. [Google Scholar]
- Federal Institute for Geosciences and Natural Resources (BGR). Soil Map of Germany 1:1,000,000 (BÜK1000). 2013. Available online: https://geoportal.bgr.de/mapapps/resources/apps/geoportal/index.html?lang=en#/datasets/portal/1AA9B216-33F8-48F5-850F-8C6A4E6978AC (accessed on 15 February 2021).
- DWD Climate Data Center (CDC). Multi-Annual Grids of Annual Sunshine Duration over Germany 1981–2010, Version v1.0. 2017. Available online: https://opendata.dwd.de/climate_environment/CDC/grids_germany/multi_annual/sunshine_duration/ (accessed on 15 February 2021).
- DWD Climate Data Center (CDC). Multi-Annual Grids of Monthly Averaged Daily Minimum Air Temperature (2m) over Germany, Version v1.0. 2018. Available online: https://opendata.dwd.de/climate_environment/CDC/grids_germany/multi_annual/air_temperature_min/ (accessed on 15 February 2021).
- DWD Climate Data Center (CDC). Multi-Annual Grids of Number of Summer Days over Germany, Version v1.0. 2018. Available online: https://opendata.dwd.de/climate_environment/CDC/grids_germany/multi_annual/summer_days/ (accessed on 15 February 2021).
- DWD Climate Data Center (CDC). Multi-Annual Grids of Precipitation Height over Germany 1981–2010, Version v1.0. 2018. Available online: https://opendata.dwd.de/climate_environment/CDC/grids_germany/multi_annual/precipitation/ (accessed on 15 February 2021).
- Pulleman, M.M.; Bouma, J.; van Essen, E.A.; Meijles, E.W. Soil Organic Matter Content as a Function of Different Land Use History. Soil Sci. Soc. Am. J. 2000, 64, 689–693. [Google Scholar] [CrossRef]
- Federal Agency for Cartography and Geodesy (BKG). Digitales Basis-Landschaftsmodell (Basis-DLM); Federal Agency for Cartography and Geodesy (BKG): Leipzig, Germany, 2019. [Google Scholar]
- Gupta, K.; Mukhopadhyay, A.; Giri, S.; Chanda, A.; Datta Majumdar, S.; Samanta, S.; Mitra, D.; Samal, R.N.; Pattnaik, A.K.; Hazra, S. An index for discrimination of mangroves from non-mangroves using LANDSAT 8 OLI imagery. MethodsX 2018, 5, 1129–1139. [Google Scholar] [CrossRef] [PubMed]
- Huang, J.; Chen, D.; Cosh, M.H. Sub-pixel reflectance unmixing in estimating vegetation water content and dry biomass of corn and soybeans cropland using normalized difference water index (NDWI) from satellites. Int. J. Remote Sens. 2009, 30, 2075–2104. [Google Scholar] [CrossRef]
- Casamitjana, M.; Torres-Madroñero, M.C.; Bernal-Riobo, J.; Varga, D. Soil moisture analysis by means of multispectral images according to land use and spatial resolution on andosols in the colombian andes. Appl. Sci. 2020, 10, 5540. [Google Scholar] [CrossRef]
- Nega, W.; Nigussie, W.; Balew, A. Investigating spatial relationship between vegetation cover and soil moisture using sentinel satellites: A case study of North Gondar Zone, Ethiopia. J. Spat. Sci. 2022, 68, 667–683. [Google Scholar] [CrossRef]
- Scholten, T.; Goebes, P.; Kuhn, P.; Seitz, S.; Assmann, T.; Bauhus, J.; Bruelheide, H.; Buscot, F.; Erfmeier, A.; Fischer, M.; et al. On the combined effect of soil fertility and topography on tree growth in subtropical forest ecosystems—A study from SE China. J. Plant Ecol. 2017, 10, 111–127. [Google Scholar] [CrossRef]
- Bockheim, J.G.; Gennadiyev, A.N.; Hartemink, A.E.; Brevik, E.C. Soil-forming factors and Soil Taxonomy. Geoderma 2014, 226–227, 231–237. [Google Scholar] [CrossRef]
- European Union Copernicus Land Monitoring Service European Environment Agency (EEA). European Digital Elevation Model (EU-DEM), Version 1.1. 2016. Available online: https://land.copernicus.eu/imagery-in-situ/eu-dem/eu-dem-v1.1. (accessed on 15 February 2021).
- Sørensen, R.; Zinko, U.; Seibert, J. On the calculation of the topographic wetness index: Evaluation of different methods based on field observations. Hydrol. Earth Syst. Sci. 2006, 10, 101–112. [Google Scholar] [CrossRef]
- Schmidt, F.; Persson, A. Comparison of DEM data capture and topographic wetness indices. Precis. Agric. 2003, 4, 179–192. [Google Scholar] [CrossRef]
- Federal Institute for Geosciences and Natural Resources (BGR). Geomorphographic Map of Germany (GMK1000). 2007. Available online: https://produktcenter.bgr.de/terraCatalog/DetailResult.do?fileIdentifier=60ab5e4e-9493-44b0-9cae-d9ce603de742 (accessed on 15 February 2021).
- Smola, A.J.; Schölkopf, B. A tutorial on support vector regression. Stat. Comput. 2004, 14, 199–222. [Google Scholar] [CrossRef]
- Lang, M.; Binder, M.; Richter, J.; Schratz, P.; Pfisterer, F.; Coors, S.; Au, Q.; Casalicchio, G.; Kotthoff, L.; Bischl, B. mlr3: A modern object-oriented machine learning framework in R. J. Open Source Softw. 2019, 4, 1903. [Google Scholar] [CrossRef]
- Dietterichl, T.G. Ensemble Learning. In The Handbook of Brain Theory and Neural Networks; MIT: Cambridge, MA, USA, 2002; Volume 40, pp. 405–408. [Google Scholar]
- Varma, S.; Simon, R. Bias in error estimation when using cross-validation for model selection. BMC Bioinform. 2006, 7, 91. [Google Scholar] [CrossRef]
- Gebauer, A.; Sakhaee, A.; Don, A.; Poggio, M.; Ließ, M. Topsoil Texture Regionalization for Agricultural Soils in Germany—An Iterative Approach to Advance Model Interpretation. Front. Soil Sci. 2022, 1, 770326. [Google Scholar] [CrossRef]
- Lewis, C.D. Industrial and Business Forecasting Methods: A Practical Guide to Exponential Smoothing and Curve Fitting; Butterworth Scientific: London, UK, 1982; p. 143. [Google Scholar]
- Storn, R.; Price, K. Differential Evolution—A Simple and Efficient Heuristic for Global Optimization over Continuous Spaces. J. Glob. Optim. 1997, 11, 341–359. [Google Scholar] [CrossRef]
- Shahhosseini, M.; Hu, G.; Pham, H. Optimizing ensemble weights and hyperparameters of machine learning models for regression problems. Mach. Learn. Appl. 2022, 7, 100251. [Google Scholar] [CrossRef]
- Ardia, D.; Boudt, K.; Carl, P.; Mullen, K.M.; Peterson, B.G. Differential Evolution with DEoptim. R J. 2011, 3, 27. [Google Scholar] [CrossRef]
- Mullen, K.; Ardia, D.; Gil, D.; Windover, D.; Cline, J. DEoptim: An R Package for Global Optimization by Differential Evolution. J. Stat. Softw. 2011, 40, 1–26. [Google Scholar] [CrossRef]
- Molnar, C.; Casalicchio, G.; Bischl, B. Quantifying model complexity via functional decomposition for better post-hoc interpretability. Commun. Comput. Inf. Sci. 2020, 1167, 193–204. [Google Scholar] [CrossRef]
- Molnar, C.; Casalicchio, G.; Bischl, B. Interpretable Machine Learning—A Brief History, State-of-the-Art and Challenges. Commun. Comput. Inf. Sci. 2020, 1323, 417–431. [Google Scholar] [CrossRef]
- Molnar, C. iml: An R package for Interpretable Machine Learning. J. Open Source Softw. 2018, 3, 786. [Google Scholar] [CrossRef]
- Štrumbelj, E.; Kononenko, I. Explaining prediction models and individual predictions with feature contributions. Knowl. Inf. Syst. 2014, 41, 647–665. [Google Scholar] [CrossRef]
- Molnar, C.; König, G.; Herbinger, J.; Freiesleben, T.; Dandl, S.; Scholbeck, C.A.; Casalicchio, G.; Grosse-Wentrup, M.; Bischl, B. General Pitfalls of Model-Agnostic Interpretation Methods for Machine Learning Models. In xxAI—Beyond Explainable AI; Springer International Publishing: Cham, Switzerland, 2022; Volume 13200, pp. 39–68. [Google Scholar] [CrossRef]
- Au, Q.; Herbinger, J.; Stachl, C.; Bischl, B.; Casalicchio, G. Grouped feature importance and combined features effect plot. Data Min. Knowl. Discov. 2022, 36, 1401–1450. [Google Scholar] [CrossRef]
- Guio Blanco, C.M.; Brito Gomez, V.M.; Crespo, P.; Ließ, M. Spatial prediction of soil water retention in a Páramo landscape: Methodological insight into machine learning using random forest. Geoderma 2018, 316, 100–114. [Google Scholar] [CrossRef]
- Mulder, V.; Lacoste, M.; Richer-de Forges, A.; Martin, M.; Arrouays, D. National versus global modelling the 3D distribution of soil organic carbon in mainland France. Geoderma 2016, 263, 16–34. [Google Scholar] [CrossRef]
- Ribeiro, R.P.; Moniz, N. Imbalanced Regression and Extreme Value Prediction. Mach. Learn. 2020, 109, 1803–1835. [Google Scholar] [CrossRef]
- Silva, A.; Ribeiro, R.P.; Moniz, N. Model Optimization in Imbalanced Regression. In Discovery Science; Springer: Cham, Switzerland, 2022; Volume 13601, pp. 3–21. [Google Scholar] [CrossRef]
- Poeplau, C.; Don, A. Sensitivity of soil organic carbon stocks and fractions to different land-use changes across Europe. Geoderma 2013, 192, 189–201. [Google Scholar] [CrossRef]
- Vos, C.; Jaconi, A.; Jacobs, A.; Don, A. Hot regions of labile and stable soil organic carbon in Germany-Spatial variability and driving factors. Soil 2018, 4, 153–167. [Google Scholar] [CrossRef]
- Haddix, M.L.; Gregorich, E.G.; Helgason, B.L.; Janzen, H.; Ellert, B.H.; Francesca Cotrufo, M. Climate, carbon content, and soil texture control the independent formation and persistence of particulate and mineral-associated organic matter in soil. Geoderma 2020, 363, 114160. [Google Scholar] [CrossRef]
- Müller, T.S.; Dechow, R.; Flessa, H. Inventory and assessment of pH in cropland and grassland soils in Germany. J. Plant Nutr. Soil Sci. 2022, 185, 145–158. [Google Scholar] [CrossRef]
- Ramírez, P.B.; Calderón, F.J.; Haddix, M.; Lugato, E.; Cotrufo, M.F. Using Diffuse Reflectance Spectroscopy as a High Throughput Method for Quantifying Soil C and N and Their Distribution in Particulate and Mineral-Associated Organic Matter Fractions. Front. Environ. Sci. 2021, 9, 634472. [Google Scholar] [CrossRef]
- Ballabio, C.; Lugato, E.; Fernández-Ugalde, O.; Orgiazzi, A.; Jones, A.; Borrelli, P.; Montanarella, L.; Panagos, P. Mapping LUCAS topsoil chemical properties at European scale using Gaussian process regression. Geoderma 2019, 355, 113912. [Google Scholar] [CrossRef]
- Khoda Bakhshi, A.; Ahmed, M.M. Utilizing black-box visualization tools to interpret non-parametric real-time risk assessment models. Transp. A Transp. Sci. 2021, 17, 739–765. [Google Scholar] [CrossRef]
- Reuter, G. Profilmorphologische Studie zur ‘disharmonischen’ Polygenese von Podsolen. J. Plant Nutr. Soil Sci. 1999, 162, 97–105. [Google Scholar] [CrossRef]
- Burghardt, W.; Morel, J.L.; Zhang, G.L. Development of the soil research about urban, industrial, traffic, mining and military areas (SUITMA). Soil Sci. Plant Nutr. 2015, 61, 3–21. [Google Scholar] [CrossRef]
- Frank, T.; Zimmermann, I.; Horn, R. Lime application in marshlands of Northern Germany—Influence of liming on the physicochemical and hydraulic properties of clayey soils. Soil Tillage Res. 2020, 204, 104730. [Google Scholar] [CrossRef]
- Angst, G.; Pokorný, J.; Mueller, C.W.; Prater, I.; Preusser, S.; Kandeler, E.; Meador, T.; Straková, P.; Hájek, T.; van Buiten, G.; et al. Soil texture affects the coupling of litter decomposition and soil organic matter formation. Soil Biol. Biochem. 2021, 159. [Google Scholar] [CrossRef]
- Driessen, P.; Deckers, J.; Spaargaren, O.; Nachtergaele, F. Lecture Notes on the Major Soils of the World; Food and Agriculture Organization of the United Nations (FAO): Rome, Italy, 2001; Volume 94, pp. 2–47. [Google Scholar]
- Ehlers, J.; Grube, A.; Stephan, H.J.; Wansa, S. Pleistocene Glaciations of North Germany—New Results. Dev. Quat. Sci. 2011, 15, 149–162. [Google Scholar] [CrossRef]
- Meschede, M.; Warr, L.N. Germany During the Glacial Periods. In The Geology of Germany; Springer: Cham, Switzerland, 2019; pp. 259–282. [Google Scholar] [CrossRef]
- Fiebig, M.; Ellwanger, D.; Doppler, G. Pleistocene Glaciations of Southern Germany. Dev. Quat. Sci. 2011, 15, 163–173. [Google Scholar] [CrossRef]
- Mauser, W.; Prasch, M. Regional Assessment of Global Change Impacts; Springer: Cham, Switzerland, 2016; pp. 75–82. [Google Scholar] [CrossRef]
- Lehmkuhl, F.; Pötter, S.; Pauligk, A.; Bösken, J. Loess and other Quaternary sediments in Germany. J. Maps 2018, 14, 330–340. [Google Scholar] [CrossRef]
- Sprafke, T.; Obreht, I. Loess: Rock, sediment or soil—What is missing for its definition? Quat. Int. 2016, 399, 198–207. [Google Scholar] [CrossRef]
- Western, A.W.; Grayson, R.B.; Blöschl, G. Scaling of soil moisture: A hydrologic perspective. Annu. Rev. Earth Planet. Sci. 2002, 30, 149–180. [Google Scholar] [CrossRef]
- Ghezzehei, T.A.; Sulman, B.; Arnold, C.L.; Bogie, N.A.; Asefaw Berhe, A. On the role of soil water retention characteristic on aerobic microbial respiration. Biogeosciences 2019, 16, 1187–1209. [Google Scholar] [CrossRef]
- Shabtai, I.A.; Das, S.; Inagaki, T.M.; Azimzadeh, B.; Richards, B.; Martínez, C.E.; Kögel-Knabner, I.; Lehmann, J. Soil organic carbon accrual due to more efficient microbial utilization of plant inputs at greater long-term soil moisture. Geochim. Cosmochim. Acta 2022, 327, 170–185. [Google Scholar] [CrossRef]
- Butcher, K.R.; Nasto, M.K.; Norton, J.M.; Stark, J.M. Physical mechanisms for soil moisture effects on microbial carbon-use efficiency in a sandy loam soil in the western United States. Soil Biol. Biochem. 2020, 150, 107969. [Google Scholar] [CrossRef]
- Roßkopf, N.; Fell, H.; Zeitz, J. Organic soils in Germany, their distribution and carbon stocks. Catena 2015, 133, 157–170. [Google Scholar] [CrossRef]
- Kleber, M.; Eusterhues, K.; Keiluweit, M.; Mikutta, C.; Mikutta, R.; Nico, P.S. Mineral-Organic Associations: Formation, Properties, and Relevance in Soil Environments. Adv. Agron. 2015, 130, 1–140. [Google Scholar] [CrossRef]
- Poeplau, C.; Don, A.; Flessa, H.; Heidkamp, A.; Jacobs, A.; Prietz, R. Erste Bodenzustandserhebung Landwirtschaft—Kerndatensatz. 2020. [Google Scholar] [CrossRef]











| MAPE | Accuracy Interpretation |
|---|---|
| 10% | Highly accurate forecasting |
| 10–20% | Good forecasting |
| 20–50% | Reasonable forecasting |
| 50% | Inaccurate forecasting |
| Model | RMSE | MAPE |
|---|---|---|
| EL C/N | 1.4 | 8.2% |
| EL MAOM | 8.8% | 14.8% |
| EL POM | 8.8% | 28.6% |
| 100%—MAOM | 8.8% | 28.0% |
Disclaimer/Publisher’s Note: The statements, opinions and data contained in all publications are solely those of the individual author(s) and contributor(s) and not of MDPI and/or the editor(s). MDPI and/or the editor(s) disclaim responsibility for any injury to people or property resulting from any ideas, methods, instructions or products referred to in the content. |
© 2024 by the authors. Licensee MDPI, Basel, Switzerland. This article is an open access article distributed under the terms and conditions of the Creative Commons Attribution (CC BY) license (https://creativecommons.org/licenses/by/4.0/).
Share and Cite
Sakhaee, A.; Scholten, T.; Taghizadeh-Mehrjardi, R.; Ließ, M.; Don, A. Spatial Prediction of Organic Matter Quality in German Agricultural Topsoils. Agriculture 2024, 14, 1298. https://doi.org/10.3390/agriculture14081298
Sakhaee A, Scholten T, Taghizadeh-Mehrjardi R, Ließ M, Don A. Spatial Prediction of Organic Matter Quality in German Agricultural Topsoils. Agriculture. 2024; 14(8):1298. https://doi.org/10.3390/agriculture14081298
Chicago/Turabian StyleSakhaee, Ali, Thomas Scholten, Ruhollah Taghizadeh-Mehrjardi, Mareike Ließ, and Axel Don. 2024. "Spatial Prediction of Organic Matter Quality in German Agricultural Topsoils" Agriculture 14, no. 8: 1298. https://doi.org/10.3390/agriculture14081298
APA StyleSakhaee, A., Scholten, T., Taghizadeh-Mehrjardi, R., Ließ, M., & Don, A. (2024). Spatial Prediction of Organic Matter Quality in German Agricultural Topsoils. Agriculture, 14(8), 1298. https://doi.org/10.3390/agriculture14081298

