Erosive Rainfall Thresholds Identification Using Statistical Approaches in a Karst Yellow Soil Mountain Erosion-Prone Region in Southwest China
Abstract
1. Introduction
2. Materials and Methods
2.1. Study Area
2.2. Research Methods
2.2.1. Data Collection and Processing
2.2.2. Rainfall and Surface Runoff Parameter Determination
2.2.3. Runoff Sediment Concentration and Soil Loss Calculation
2.2.4. Erosive Rainfall Threshold Identification Methods
3. Results
3.1. Rainfall Characteristics Analysis
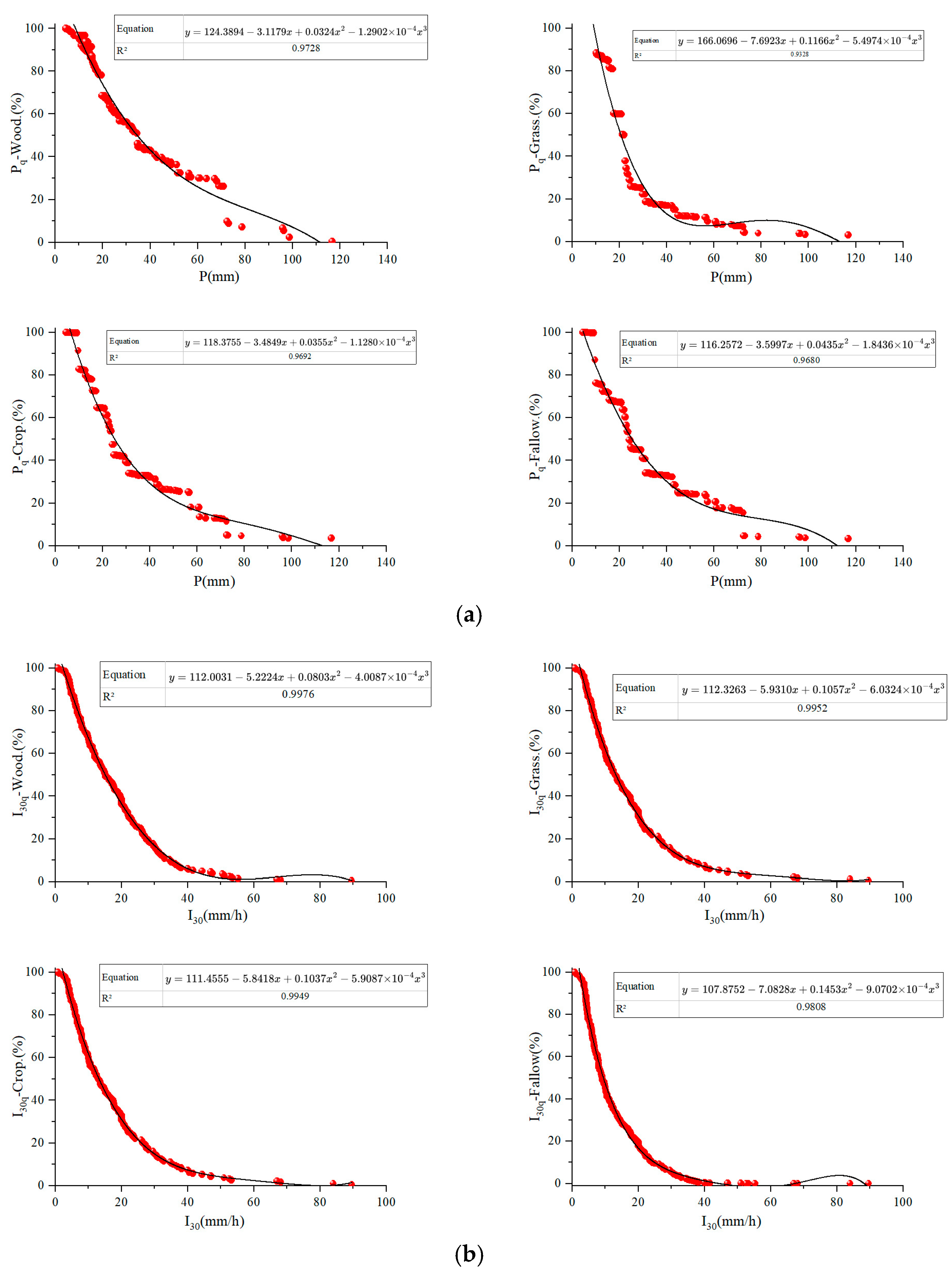
3.2. Erosive Rainfall Thresholds Identification
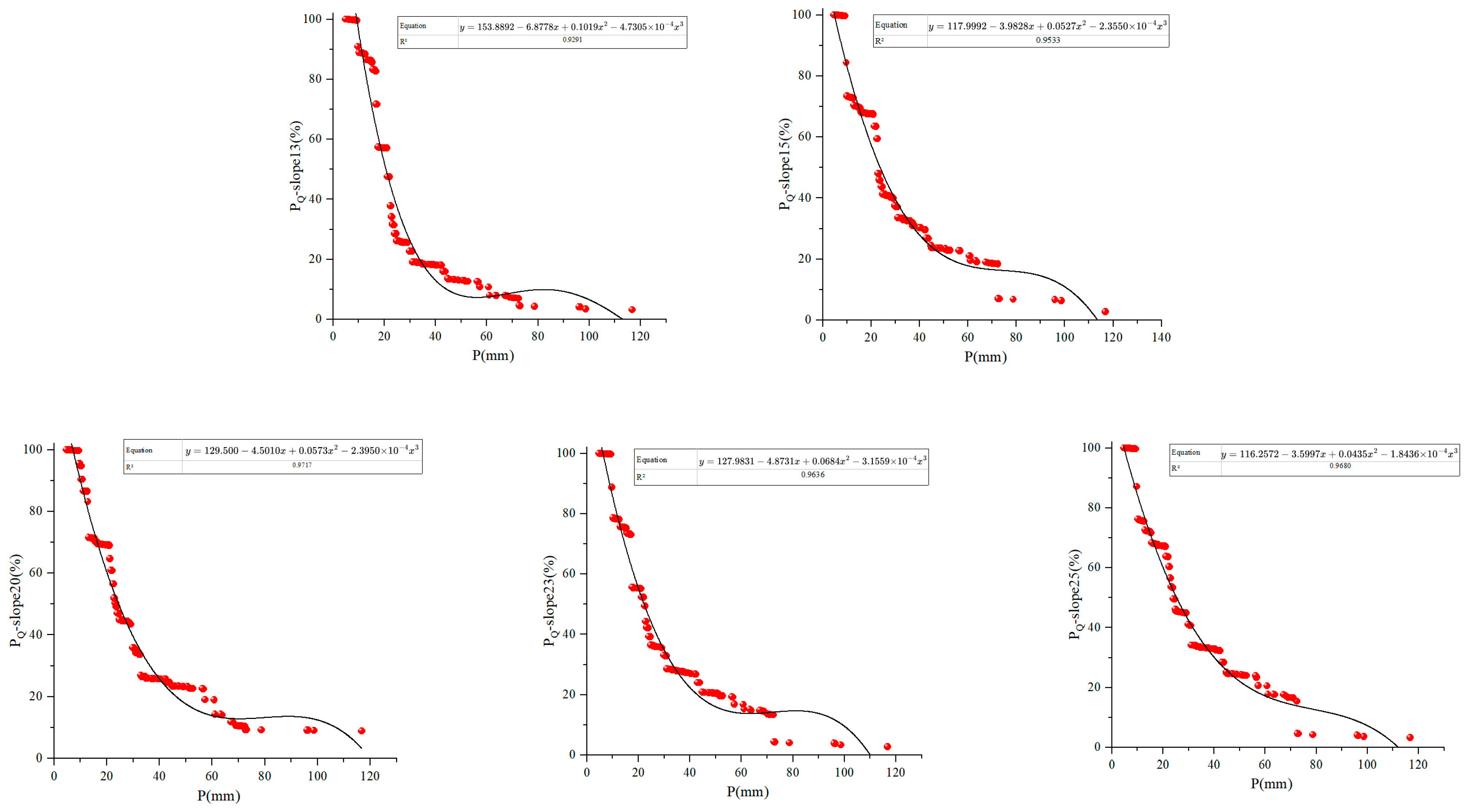
3.3. Rainfall Thresholds of Farmland with Different Slopes
4. Discussion
4.1. Rainfall Characteristics Comparative Analysis
4.2. Erosive Rainfall Thresholds in Different Zones in China
4.3. Erosive Rainfall Thresholds in Karst Yellow Soil Region
5. Conclusions
Author Contributions
Funding
Institutional Review Board Statement
Informed Consent Statement
Data Availability Statement
Conflicts of Interest
References
- Wang, Y.; Li, H.; Xu, Z. Rainfall-induced nutrient losses from manure-fertilized farmland in an alluvial plain. Environ. Monit. Assess. 2016, 188, 8. [Google Scholar] [CrossRef] [PubMed]
- Vijith, H.; Dodge-Wan, D. Spatial and statistical trend characteristics of rainfall erosivity (R) in upper catchment of Baram River. Borneo. Environ. Monit. Assess. 2019, 191, 494. [Google Scholar] [CrossRef]
- Borrelli, P.; Robinson, D.A.; Fleischer, L.R.; Lugato, E.; Ballabio, C.; Alewell, C.; Meusburger, K.; Modugno, S.; Schütt, B.; Ferro, V. An assessment of the global impact of 21st century land use change on soil erosion. Nat. Commun. 2017, 8, 2013. [Google Scholar] [CrossRef]
- Wang, W.Z. Study on the Relations between Rainfall Characteristics and Loss of Soil in Loess Region (III). Bull. Soil Water Conserv. 1984, 4, 5862. [Google Scholar]
- Xie, Y.; Liu, B.Y.; Zhang, W.B. Study on Standard of Erosive Rainfall. J. Soil Water Conserv. 2000, 14, 6–11. [Google Scholar]
- Todisco, F.; Vergni, L.; Vinci, A.; Pampalone, V. Practical thresholds to distinguish erosive and rill rainfall events. J. Hydrol. 2019, 579, 124173. [Google Scholar] [CrossRef]
- Li, Y.Q.; Deng, O.; Yang, G.B.; Fang, Q.B. Distribution characteristics of rainfall erosivity R value in yellow soil area of karst mountainous region in Central Guizhou Province. Bull. Soil Water Conserv. 2021, 41, 39–45. [Google Scholar]
- Wischmeier, W.H. Storms and soil conservation. J. Soil Water Conserv. 1962, 17, 55–59. [Google Scholar]
- Jia, S.; Xu, X. Study on rainfall characteristics of small watersheds in sub-region I of hilly loess area. In Mathematical Models and Applying Research on Runoff and Erosion Process of Small Basins in Sub-Region of Hilly Loess Area; Scientific Experiment Station of Soil and Water Conversation in Suide: Xian, China, 1992; pp. 16–35. [Google Scholar]
- Wang, W.Z. Study on the Relations between Rainfall Characteristics and Loss of Soil in Loess Region. Bull. Soil Water Conserv. 1983, 3, 7–13. [Google Scholar]
- Wischmeier, W.H.; Smith, D.D. Rainfall energy and its relationship to soil loss. Trans. Am. Geophys. Union. 1958, 39, 285. [Google Scholar]
- Wang, W.Z.; Jiao, J.Y. Quantitative Evaluation on Factors Influencing Soil Erosion in China. Bull. Soil. Water Conserv. 1996, 16, 1–20. [Google Scholar]
- Xie, Y.; Liu, B.; Nearing, M.A. Practical thresholds for separating erosive and non-erosive storms. Trans. ASAE 2002, 45, 1843–1847. [Google Scholar]
- Xie, Y.; Yin, S.; Liu, B.; Nearing, M.A.; Zhao, Y. Models for estimating daily rainfall erosivity in China. J. Hydrol. 2016, 535, 547–558. [Google Scholar] [CrossRef]
- Dunkerley, D. What does I30 tell us? An assessment using high-resolution rainfall event data from two Australian locations. Catena 2019, 180, 320–332. [Google Scholar] [CrossRef]
- Renard, K.G.; Foster, G.R.; Weesies, G.A.; McCool, D.K.; Yoder, D.C. Predicting Soil Erosion by Water: A Guide to Conservation Planning with the Revised Universal Soil Loss Equation (RUSLE); USDA Agriculture Handbook No. 703; United States Department of Agriculture: Washington, DC, USA, 1997.
- Efthimiou, N. Evaluating the performance of different empirical rainfall erosivity (R) factor formulas using sediment yield measurements. Catena 2018, 169, 195–208. [Google Scholar] [CrossRef]
- Cooley, K.R.; Hanson, C.L.; Johnson, C.W. Precipitation erosivity index estimates in cold climates. Trans. Am. Soc. Agric. Eng. 1988, 31, 1445–1450. [Google Scholar] [CrossRef]
- Yu, B. A comparison of the R-factor in the universal soil loss equation and revised universal soil loss equation. Trans. ASAE 1999, 42, 1615–1620. [Google Scholar] [CrossRef]
- Wang, B.W.; Fang, S.W.; Song, Y.J.; Yang, E. Research for standard of erosive rainfall on Quaternary Red Soil area in north of Jiangxi province in China. Trans. CSAE 2013, 29, 100–106. [Google Scholar]
- Wischmeier, W.H.; Smith, D.D. Predicting Rainfall Erosion Losses: A Guide to Conservation Planning; USDA Agricultural Handbook No. 537; USDA: Washington, DC, USA, 1978; Volume 1.
- Angulo-Martínez, M.; López-Vicente, M.; Vicente-Serrano, S.M.; Beguería, S. Mapping rainfall erosivity at a regional scale: A comparison of interpolation methods in the Ebro Basin (NE Spain). Hydrol. Earth Syst. Sci. 2009, 13, 1907–1920. [Google Scholar] [CrossRef]
- Meusburger, K.; Steel, A.; Panagos, P.; Montanarella, L.; Alewell, C. Spatial and temporal variability of rainfall erosivity factor for Switzerland. Hydrol. Earth Syst. Sci. 2012, 16, 167–177. [Google Scholar] [CrossRef]
- Porto, P. Exploring the effect of different time resolutions to calculate the rainfall erosivity factor R in Calabria, southern Italy. Hydrol. Process. 2016, 30, 1551–1562. [Google Scholar] [CrossRef]
- Hudson, N.W. Soil Conservation; Cornell Univ. Press: Ithaca, NY, USA, 1971. [Google Scholar]
- Hudson, N. Soil Conservation, 3rd ed.; Iowa State University Press: Ames, IA, USA, 1995. [Google Scholar]
- Elwell, H.A.; Stocking, M.A. Parameters for estimating annual runoff and soil loss from agricultural lands in Rhodesia. Water Resour. Res. 1975, 11, 601–605. [Google Scholar] [CrossRef]
- Sinzot, A.; Bollinne, A.; Laurant, A.; Erpicum, M.; Pissart, A. A contribution to the development of an erosivity index adapted to the prediction of erosion in Belgium. Earth Surf. Proc. Land 1989, 14, 509–515. [Google Scholar] [CrossRef]
- Zhang, H.; Wang, W. Rainfall characteristics and its distribution on Loess Plateau. Bull. Soil Water Conserv. 1982, 1, 35–44. [Google Scholar]
- Jiang, Z.S.; Song, W.J.; Li, X.Y. Characterization of natural rainfall raindrops in loess areas. Soil Water Conserv. 1983, 3, 32–36. [Google Scholar]
- Liu, B.Y.; Xie, Y.; Zhang, K.L. Soil Erosion Forecasting Model; Science and Technology Press: Beijing, China, 2001. [Google Scholar]
- Xia, L.; Song, X.Y.; Fu, N.; Li, H.Y.; Li, Y.B. Threshold standard of erosive rainfall under different underlying surface conditions in the Loess Plateau Gully Region of East Gansu, China. Advances Water Sci. 2018, 29, 828–838. [Google Scholar]
- Gao, F.; Zhan, M.; Zhan, H. Study on criteria of erosive rain in farmland of chernozem in Heilongjiang Province. Soil Water Conserv. China 1989, 11, 19–21. [Google Scholar]
- Zhang, X.K.; Xu, L.K.; Lu, X.Q.; Deng, Y.J.; Gao, D.W. A Study on the Soil Loss Equation in Heilongjiang Province. Bull. Soil Water Conserv. 1992, 12, 1–9, 18. [Google Scholar]
- Liu, H.P.; Yuan, A.P.; Lu, B.J.; Chao, D.I. Study on erosive rainfall standard of Beijing. Res. Soil Water Conserv. 2007, 14, 215–217, 220. [Google Scholar]
- Zhao, G.Y. Temporal and Spatial Variations of Erosive Rainfall and Rainfall Erosivity in Tang-Qin Areas; Hebei Agriculture University: Baoding, China, 2019. [Google Scholar]
- Chen, F.Y.; Wang, Z.M. Research on the kinetic energy of rainfall erosion at Xiaoliang water and soil conservation experiment station. Bull. Soil Water Conserv. 1992, 12, 42–51. [Google Scholar]
- Zheng, H.J.; Yang, J.; Zuo, C.Q.; Yu, R.G.; Zhang, H.M.; Zhang, L. Analysis of the Erosive Rainfall and Rainfall Erosion Energy on Red soil Slope land. Res. Soil Water Conserv. 2009, 16, 30–33. [Google Scholar]
- Ma, L.; Zuo, C.Q.; Qiu, G.J. Erosive rainfall characteristics on red soil slope land in Northern Jiangxi Province. Bull. Soil Water Conserv. 2010, 30, 74–79. [Google Scholar]
- Zhang, Q. A preliminary study on the erosion law of J2s Parent Material. Bull. Soil Water Conserv. 1992, 12, 34–39. [Google Scholar]
- Li, L.Y.; Wang, Z.J.; Jiao, J.Y. Erosive rainfall and rainfall erosivity in purple hilly area. Sci. Soil Water Conserv. 2013, 11, 8–16. [Google Scholar]
- Lin, C.H. Research on the erosive rainfall factor in arenaceous shale mountain lands. Bull. Bull. Soil Water Conserv. 1991, 11, 11–14. [Google Scholar]
- Dai, H.L.; Yuan, S.; Zhang, K.L.; Zhu, Q. Spatial and temporal variation of rainfall erosion force in Guizhou Province. Res. Soil Water Conserv. 2013, 20, 37–41. [Google Scholar]
- Cai, X.F. Influencing Factors Analysis and Numerical Simulation on Erosion of Yellow Soil in Southwest Karst Area. Master’s Thesis, Guizhou Normal University, Guiyang, China, 2009. [Google Scholar]
- Liang, W.L.; Chan, M.C. Spatial and temporal variations in the effects of soil depth and topographic wetness index of bedrock topography on subsurface saturation generation in a steep natural forested headwater catchment. J. Hydrol. 2017, 546, 405–418. [Google Scholar] [CrossRef]
- Wischmeier, W.H. Estimating the loss equation’s cover and management factor for undisturbed areas. In Proceedings of Sediment Yield Workshop; U.S. Department of Agriculture Sedimentation Laboratory: Oxford, MS, USA, 1972. [Google Scholar]
- Feng, P.; Li, J. Infiltration mechanism of soil moisture and its application in runoff generation modelling. J. Arid Land Resour. Environ. 2008, 22, 95–98. [Google Scholar]
- GB T 20486-2017; Surface Rainfall Grade in River Basin. China Standards Press: Beijing, China, 2017.
- Xie, B.; Yang, G.B.; Li, Y.Q.; Li, M.; Fang, Q.B. Analysis of erosion rainfall characteristics and erosion response in karst mountain of central Guizhou. Ecol. Sci. 2021, 40, 222–230. [Google Scholar]
- Ministry of Water Resources of the People’s Republic of China. SL 190-2007 Standards for Classification and Gradation of Soil Erosion; China Water & Power Press: Beijing, China, 2008.
- Wang, Y.; Yang, Y.; Liu, B.Y.; Liu, Y.N. Erosive rainfall thresholds for five typical soils in water erosion region of China. Bull. Soil Water Conserv. 2022, 42, 227–233. [Google Scholar]
- Zhang, W.Y.; Wang, B.T.; Yang, G.X.; Zhang, K.L. Erosive rainfall and characteristics analysis of sediment yield on yellow soil area in karst mountainous. Ecol. Environ. Sci. 2014, 23, 1776–1782. [Google Scholar]





| Stations | Initial Observation Year | Land Use Types | No. of Plots | Slope/ Degree | Plot Size Width × Length, m |
|---|---|---|---|---|---|
| YJC | 2006 | Woodland | 6 | 25.0 | 20.0 × 5.0 |
| Grassland | 2 | 25.0 | 20.0 × 5.0 | ||
| Farmland | 8 | 20.0 | 20.0 × 5.0 | ||
| Fallow | 2 | 25.0 | 20.0 × 5.0 | ||
| HYS | 2008 | Woodland | 5 | 13.0 | 20.0 × 10.0 |
| Farmland | 1 | 13.0 | 20.0 × 10.0 | ||
| KZ | 2008 | Woodland | 2 | 15.0 | 20.0 × 5.0 |
| Grassland | 1 | 13.0 | 20.0 × 5.0 | ||
| Farmland | 2 | 15.0 | 20.0 × 5.0 | ||
| YW | 2007 | Woodland | 2 | 25.0 | 20.0 × 5.0 |
| Grassland | 1 | 25.0 | 20.0 × 5.0 | ||
| Farmland | 2 | 25.0 | 20.0 × 5.0 | ||
| LC | 2010 | Woodland | 1 | 15.0 | 20.0 × 5.0 |
| Grassland | 1 | 15.0 | 20.0 × 5.0 | ||
| Farmland | 3 | 15.0 | 20.0 × 5.0 | ||
| SGS | 2008 | Woodland | 1 | 15.0 | 20.0 × 5.0 |
| Grassland | 1 | 15.0 | 20.0 × 5.0 | ||
| Farmland | 1 | 15.0 | 20.0 × 5.0 | ||
| JM | 2015 | Woodland | 1 | 15.0 | 20.0 × 5.0 |
| Grassland | 2 | 15.0 | 20.0 × 5.0 | ||
| Farmland | 2 | 15.0 | 20.0 × 5.0 | ||
| Fallow | 1 | 15.0 | 20.0 × 10.0 | ||
| YM | 2017 | Woodland | 1 | 23.0 | 20.0 × 5.0 |
| Grassland | 1 | 23.0 | 20.0 × 5.0 | ||
| Farmland | 2 | 23.0 | 20.0 × 5.0 | ||
| MLK | 2017 | Woodland | 1 | 15.0 | 20.0 × 5.0 |
| Farmland | 3 | 15.0 | 20.0 × 5.0 | ||
| Fallow | 1 | 15.0 | 20.0 × 5.0 | ||
| SQ | 2009 | Woodland | 2 | 25.0 | 20.0 × 10.0 |
| Grassland | 2 | 25.0 | 20.0 × 5.0 | ||
| Farmland | 6 | 25.0 | 20.0 × 5.0 | ||
| Fallow | 2 | 25.0 | 20.0 × 5.0 |
| Characteristic Parameters | Minimum Value | Maximum Value | Average Value |
|---|---|---|---|
| Rainfall (mm) | 2.45 | 102.10 | 26.32 |
| Duration (min) | 7.12 | 2980 | 621.64 |
| (mm·h−1) | 2.86 | 89.60 | 20.34 |
| Average rainfall intensity (mm·h−1) | 0.53 | 50.30 | 6.15 |
| Rainfall erosivity value (MJ·mm·ha−1·h−1) | 4.01 | 2661.13 | 78.82 |
| Sta. | Rainfall Amount Grade | Rainfall Intensity Grade | ||||||||
|---|---|---|---|---|---|---|---|---|---|---|
| Light Rain <10 mm | Moderate Rain 10–25 mm | Heavy Rain 25–50 mm | Rainstorm 50–100 mm | Heavy Rainstorm 100–250 mm | <15 mm·h−1 | 15–30 mm·h−1 | 30–45 mm·h−1 | 45–60 mm·h−1 | >60 mm·h−1 | |
| YJC | 0.45 | 18.77 | 32.13 | 27.77 | 20.66 | 8.14 | 31.38 | 35.21 | 12.55 | 12.74 |
| HYS | 3.12 | 20.56 | 31.88 | 31.79 | 12.85 | 5.66 | 30.44 | 28.26 | 23.53 | 11.94 |
| KZ | 2.48 | 21.94 | 37.89 | 23.36 | 13.93 | 15.41 | 32.86 | 24.13 | 13.88 | 13.76 |
| YW | 0.32 | 12.33 | 23.92 | 34.28 | 29.46 | 4.74 | 28.82 | 22.31 | 24.47 | 19.74 |
| LC | 4.56 | 19.21 | 30.24 | 26.09 | 20.58 | 8.76 | 34.64 | 24.85 | 14.24 | 17.65 |
| SGS | 1.24 | 29.24 | 46.66 | 15.04 | 7.99 | 11.44 | 37.65 | 21.21 | 11.51 | 18.24 |
| JM | 2.14 | 25.59 | 38.97 | 22.42 | 10.66 | 8.11 | 30.38 | 27.52 | 24.19 | 9.66 |
| YM | 2.01 | 20.34 | 38.92 | 27.16 | 12.01 | 10.41 | 30.54 | 26.76 | 25.33 | 7.31 |
| MLK | 2.88 | 19.42 | 30.78 | 26.24 | 20.05 | 8.56 | 33.66 | 27.97 | 13.51 | 16.01 |
| SQ | 1.06 | 20.66 | 39.26 | 28.48 | 10.18 | 7.46 | 29.49 | 38.36 | 20.44 | 4.68 |
| Ave. | 2.03 | 20.81 | 35.07 | 26.26 | 15.84 | 8.87 | 31.99 | 27.66 | 18.37 | 13.17 |
| Landcover Types | Index Types | Rainfall Thresholds | REI (%) | WSI (%) | EFF (%) |
|---|---|---|---|---|---|
| woodland | TP (mm) | 12.66 | 0.13 | 2.28 | 80.43 |
| TI30 (mm·h−1) | 4.52 | 0.22 | 1.65 | 86.14 | |
| Grassland | TP (mm) | 10.57 | 0.18 | 4.46 | 81.86 |
| TI30 (mm·h−1) | 4.05 | 0.11 | 3.87 | 87.36 | |
| Farmland | TP (mm) | 9.94 | 0.31 | 6.35 | 83.17 |
| TI30 (mm·h−1) | 3.93 | 0.25 | 4.86 | 82.05 | |
| Fallow | TP (mm) | 8.93 | 0.43 | 4.11 | 85.43 |
| TI30 (mm·h−1) | 3.51 | 0.32 | 3.04 | 90.25 |
| Landcover Types | Index Types | Rainfall Thresholds | REI (%) | WSI (%) | EFF (%) |
|---|---|---|---|---|---|
| 13° | TP (mm) | 10.41 | 0.26 | 7.81 | 83.47 |
| 15° | TP (mm) | 10.28 | 0.37 | 5.26 | 81.22 |
| 20° | TP (mm) | 9.66 | 0.32 | 6.24 | 84.12 |
| 23° | TP (mm) | 9.52 | 0.28 | 7.33 | 86.24 |
| 25° | TP (mm) | 9.15 | 0.35 | 5.58 | 85.36 |
| Regions | Soil Types | Experimental Sites | TP (mm) | TI10 (mm·h−1) | TI30 (mm·h−1) | References |
|---|---|---|---|---|---|---|
| Northwest | Loess | Zizou, Shanxi | 9.9 | 5.2 | 7.2 | Wang Wanzhong, 1983 [10] |
| Xifeng, Gansu | 10.0 | 7.5 | Jiang Zhongshan et al., 1983 [30] | |||
| Zizou, Shanxi | 9.6 | 7.1 | Liu Baoyuan, 2001 [31] | |||
| Qingyang, Gansu | 8.7 | 12.3 | Xia Lu et al., 2018 [32] | |||
| Mizhi, Shanxi | 9.5 | 8.9 | Wang Ying et al., 2022 [51] | |||
| Northeast | Black soil | Binxian, Heilongjiang | 8.9 | 5.0 | 8.0 | Gao Feng et al., 1989 [33] |
| Lengjiang, Heilongjiang | 10.0 | 10.2 | Wang Ying et al., 2022 [51] | |||
| Keshan, Heilongjiang | 9.8 | 7.6 | Zhang Xiankui et al., 1992 [34] | |||
| North | Brown soil | Miyun, Beijing | 18.9 | 17.8 | Liu Heping et al., 2007 [35] | |
| Miyun, Beijing | 10.0 | 10.2 | Wang Ying et al., 2022 [51] | |||
| Weixian, Hebei | 16.0 | Zhao Guangyao, 2019 [36] | ||||
| South | Red soil | Dianbai, Guangdong | 9.4 | Chen and Wang, 1992 [37] | ||
| Dean, Jiangxi | 9.97 11.2 | Zheng Haijin et al., 2009 [38]; Ma Liang et al., 2010 [39] | ||||
| Dean, Jiangxi | 11.4 | 10 | Wang Bangwen et al., 2013 [20] | |||
| Anxi, Fujian | 6.1 | 5.2 | Wang Ying et al., 2022 [51] | |||
| Southwest | Purple soil | Ziyang, Sichuan | 8.9 | 10.7 | Zhang Qi, 1992 [40] | |
| West Sichuan | 11.3 | Li Linyu et al., 2013 [41] | ||||
| Bijie, Guizhou | 7.0 | Lin Changhu, 1991 [42] | ||||
| Nanchong, Sichuan | 5.4 | 3.2 | Wang Ying et al., 2022 [51] | |||
| Yellow soil | Longli, Guizhou Bijie, Guizhou | 11.6–25.8 | 8.9–15.2 | Zhang Wenyuan et al., 2014 [52] |
Disclaimer/Publisher’s Note: The statements, opinions and data contained in all publications are solely those of the individual author(s) and contributor(s) and not of MDPI and/or the editor(s). MDPI and/or the editor(s) disclaim responsibility for any injury to people or property resulting from any ideas, methods, instructions or products referred to in the content. |
© 2024 by the authors. Licensee MDPI, Basel, Switzerland. This article is an open access article distributed under the terms and conditions of the Creative Commons Attribution (CC BY) license (https://creativecommons.org/licenses/by/4.0/).
Share and Cite
Deng, O.; Li, M.; Yang, B.; Yang, G.; Li, Y. Erosive Rainfall Thresholds Identification Using Statistical Approaches in a Karst Yellow Soil Mountain Erosion-Prone Region in Southwest China. Agriculture 2024, 14, 1421. https://doi.org/10.3390/agriculture14081421
Deng O, Li M, Yang B, Yang G, Li Y. Erosive Rainfall Thresholds Identification Using Statistical Approaches in a Karst Yellow Soil Mountain Erosion-Prone Region in Southwest China. Agriculture. 2024; 14(8):1421. https://doi.org/10.3390/agriculture14081421
Chicago/Turabian StyleDeng, Ou, Man Li, Binglan Yang, Guangbin Yang, and Yiqiu Li. 2024. "Erosive Rainfall Thresholds Identification Using Statistical Approaches in a Karst Yellow Soil Mountain Erosion-Prone Region in Southwest China" Agriculture 14, no. 8: 1421. https://doi.org/10.3390/agriculture14081421
APA StyleDeng, O., Li, M., Yang, B., Yang, G., & Li, Y. (2024). Erosive Rainfall Thresholds Identification Using Statistical Approaches in a Karst Yellow Soil Mountain Erosion-Prone Region in Southwest China. Agriculture, 14(8), 1421. https://doi.org/10.3390/agriculture14081421

