The Differentiation of the Infestation of Wheat Grain with Fusarium poae from Three Other Fusarium Species by GC–MS and Electronic Nose Measurements
Abstract
1. Introduction
1.1. New Problem with Cereal Imports across the EU’s Eastern Border
1.2. Disadvantage of Classical Diagnosis of Fusarium poae and Possible Solution
2. Materials and Methods
2.1. Preparation of Infected Wheat Samples
2.2. GC–MS Measurement of Volatiles
2.3. Electronic Nose Measurements
PEN3 Electronic Nose Device
2.4. Measurements with the Electronic Nose
Sensor Response
2.5. Machine Learning Classification Models
- (i)
- The accuracy is the proportion of correctly classified observations compared to the total number of observations;
- (ii)
- Precision is the ratio between the number of correctly classified observations and the number of observations classified as belonging to this category. This means that precision focuses on the confidence that the classified case really belongs to that category;
- (iii)
- Recall is the ratio between the number of correctly classified observations and the total number of observations in the category in question. Recall focuses on the ability to recognize observations that belong to the category of interest and is not penalized if the cases from the other category are misclassified.
2.6. Data Visualization by LDA and PCA Analysis
2.7. Software Packages
3. Results of GC–MS Measurements
3.1. Detected Chemical Components
- The most common group of chemical compounds found in the samples is alcohols. The exception is for the case of samples containing F. poae, for which the alcohol proportion reached about 24% of the TIC. In the case of other studied samples with other Fusarium species, the proportion of detected alcohols reached even as much as 51% and 66% of TIC for F. avenaceum and F. langsethiae, respectively. In all studied variants, the same alcohol (1-octen-3-ol) was dominant. It is worth mentioning that this chemical component has been demonstrated [36] as present in ‘wheat aroma’. This is an alkenyl alcohol known as ‘mushroom alcohol’ that is produced by plants and fungi [37].
- The proportion of emitted ketones is similar in each of the studied variants, ranging from 22% form F. sporotrichioides up to 37% of TIC for F. avenaceum. 3-Octanone was detected in the four studied Fusarium species, whereas 1-octen-3-one only in F. avenaceum.
- Sesquiterpenes are the most abundant group of chemical components found in samples containing F. poae, reaching 34% of TIC. About half of that (16%) was found in the case of F. sporotrichioides, and they were not detected in F. avenaceum and F. langsethiae samples. However, the presence of this group of chemical components in the case of F. sporotrichioides was limited to -Bazzanene, while in the case of F. poae, ten chemical components from this group were detected. We would like to mention here the work of Becker et al. [38], which reported that Fusarium spp. induced the emission of volatile sesquiterpenes in corn samples.
- Monoterpenes’ presence in F. sporotrichioides was found to be quite high (24%), while in other studied species, they were found in much smaller proportions (4–9%).
- Other components had a much lower proportion of TIC.
- First of all is the already mentioned alcohol—1-octen-3-ol with the proportion of TIC in the range of 23–66%.
- Ketone-3-octanone had a significant presence in all treatments (23–37%). In all treatments, except F. avenaceum, it was the only chemical compound from this group. 3-Octanone, together with 1-octen-3-ol are considered as natural biopesticides [37].
- Limonene (monoterpene) was present in a proportion of 24% of TIC in the case of F. sporotrichioides and in a much smaller proportion in the range of 3–8% in three other studied variants.
3.2. Patterns in Volatile Profiles by Principal Component Analysis
4. Results of Electronic Nose Measurements
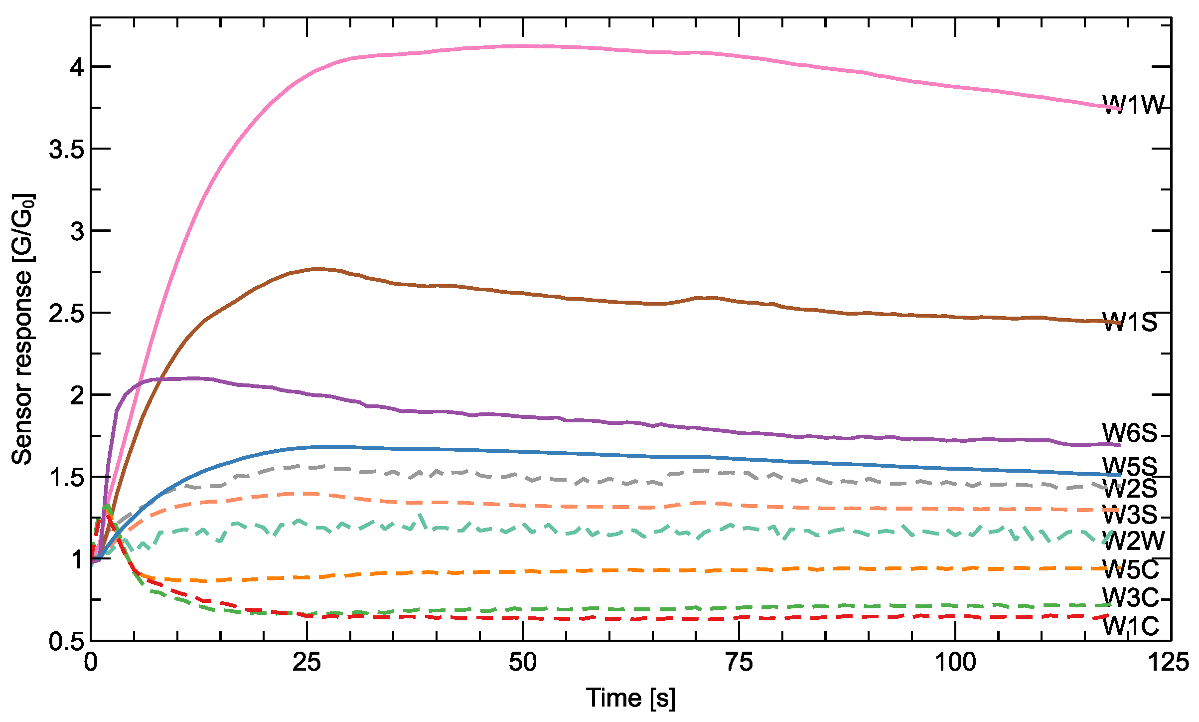
4.1. Signals Collected by the Electronic Nose
4.2. Classification Modeling
4.2.1. Distinction between Investigated Types of Fusarium
4.2.2. Meaning of Sensors for the Detection of Classification Features
4.3. Comparison of GC–MS and Electronic Nose Results
5. Discussion
Mycotoxins Produced by F. poae
6. Summary and Conclusions
- The analysis of the chemical compounds detected by GC–MS revealed that F. poae has the richest profile of emitted volatiles (in terms of the diversity of emitted compounds) compared to the other species studied (F. avanceum, F. langsethiae, and F. sporotrichioides).
- The measurements of the PEN3 (Airsense Analytics GmbH, Schwerin, Germany) electronic nose showed the strongest reaction of the sensors to F. poae.
- The accuracy of Random Forest classification between the four analyzed variants reached 70%. The precision for the detection of F. poae (the confidence that an observation recognized as belonging to the category F. poae was correctly classified) reached 87%. The recognition accuracy (the proportion of F. poae observations recognized) reached 91%.
- Electronic nose measurement proved to be very weak in distinguishing between the other three species (F. avanceum, F. langsethiae, and F. sporotrichioides).
- The mycotoxins produced by F. poae were reviewed and compared with the other species studied. It was found that this species has the greatest diversity of toxins produced, which also corresponds to the greatest diversity of volatiles detected.
- Fusarium poae mainly synthesizes alcohols, ketones, sesquiterpenes, and monoterpenes, which were identified by GC–MS and were absorbed by the electronic nose.
- The experiments presented showed that the new methods for differentiating between pathogenic fungal species, such as electronic nose measurements, can provide an alternative to more costly and time-consuming techniques.
Author Contributions
Funding
Institutional Review Board Statement
Data Availability Statement
Conflicts of Interest
Appendix A. PEN3 Electronic Nose Sensors and Measurement Conditions
| Sensor | Main Gas Targets |
|---|---|
| W1C | Aromatic organic compounds. |
| W5S | Very sensitive; broad-range sensitivity; reacts to nitrogen oxides; very sensitive with negative signals. |
| W3C | Ammonia; often used as a sensor for aromatic compounds. |
| W6S | Detects mainly hydrogen gas; selective; breath gases. |
| W5C | Alkanes, aromatic compounds, and less polar organic compounds. |
| W1S | Sensitive to methane (environmental); a broad range of organic compounds detected. |
| W1W | Detects inorganic sulfur compounds, e.g., H2S; also sensitive to many terpenes and sulfur-containing organic compounds. |
| W2S | Detects alcohol; partially sensitive to aromatic compounds; broad-range. |
| W2W | Aromatic compounds; sulfur organic compounds. |
| W3S | Reacts to high concentrations of methane (very selective). |
| Sampling interval | 1 s |
| Pre sampling time | 5 s |
| Measurement time | 120 s |
| Flush time | 300 s |
| Chamber flow | 7.7 mL/min |
| Temperature | 25 °C |
| Humidity | 60% |
References
- Stenglein, S. Fusarium poae: A pathogen that needs more attention. J. Plant Pathol. 2009, 91, 25–36. [Google Scholar]
- Presicce, D.S.; Forleo, A.; Taurino, A.M.; Zuppa, M.; Siciliano, P.; Laddomada, B.; Logrieco, A.; Visconti, A. Response evaluation of an E-nose towards contaminated wheat by Fusarium poae fungi. Sens. Actuators B Chem. 2006, 118, 433–438. [Google Scholar] [CrossRef]
- Laddomada, B.; Del Coco, L.; Durante, M.; Presicce, D.; Siciliano, P.; Fanizzi, F.; Logrieco, A. Volatile Metabolite Profiling of Durum Wheat Kernels Contaminated by Fusarium poae. Metabolites 2014, 4, 932–945. [Google Scholar] [CrossRef] [PubMed]
- Eifler, J.; Martinelli, E.; Santonico, M.; Capuano, R.; Schild, D.; Natale, C.D. Differential Detection of Potentially Hazardous Fusarium Species in Wheat Grains by an Electronic Nose. PLoS ONE 2011, 6, e21026. [Google Scholar] [CrossRef] [PubMed]
- Ji, J.; Huang, H.; Li, L.; Ye, J.; Sun, J.; Sheng, L.; Ye, Y.; Zheng, Y.; Zhang, Z.; Sun, X. Volatile Metabolite Profiling of Wheat Kernels Contaminated by Fusarium graminearum. J. Agric. Food Chem. 2023, 71, 3508–3517. [Google Scholar] [CrossRef] [PubMed]
- Dong, L.; Liu, R.; Dong, H.; Piao, Y.; Hu, X.; Li, C.; Cong, L.; Zhao, C. Volatile metabolite profiling of malt contaminated by Fusarium poae during malting. J. Cereal Sci. 2015, 66, 37–45. [Google Scholar] [CrossRef]
- Nelson, P.; Toussoun, T.; Marasas, W. Fusarium Species: An Illustrated Manual for Identification; Pennsylvania State University Press: University Park, PA, USA, 1983. [Google Scholar]
- Stenglein, S.A.; Dinolfo, M.I.; Barros, G.; Bongiorno, F.; Chulze, S.N.; Moreno, M.V. Fusarium poae Pathogenicity and Mycotoxin Accumulation on Selected Wheat and Barley Genotypes at a Single Location in Argentina. Plant Dis. 2014, 98, 1733–1738. [Google Scholar] [CrossRef] [PubMed]
- Okorski, A.; Milewska, A.; Pszczółkowska, A.; Karpiesiuk, K.; Kozera, W.; Dąbrowska, J.A.; Radwińska, J. Prevalence of Fusarium fungi and Deoxynivalenol Levels in Winter Wheat Grain in Different Climatic Regions of Poland. Toxins 2022, 14, 102. [Google Scholar] [CrossRef]
- Supronienė, S.; Kadžienė, G.; Shamshitov, A.; Veršulienė, A.; Šneideris, D.; Ivanauskas, A.; Žvirdauskienė, R. Soil Fungistasis against Fusarium graminearum under Different tillage Systems. Plants 2023, 12, 966. [Google Scholar] [CrossRef]
- Pereira, C.B.; Ward, T.J.; Del Ponte, E.M.; Mara Moreira, G.; Busman, M.; McCormick, S.P.; Feksa, H.R.; De Almeida, J.L.; Tessmann, D.J. Five-year survey uncovers extensive diversity and temporal fluctuations among fusarium head blight pathogens of wheat and barley in Brazil. Plant Pathol. 2020, 70, 426–435. [Google Scholar] [CrossRef]
- Ghimire, B.; Martinez-Espinoza, A.D.; Ghimire, B.; Harrelson, B.C.; Youmans, J.; Mergoum, M.; Buck, J.W. First Report of Fusarium poae Causing Fusarium Head Blight of Wheat in Georgia, USA. Plant Dis. 2021, 105, 491. [Google Scholar] [CrossRef] [PubMed]
- Covarelli, L.; Beccari, G.; Prodi, A.; Generotti, S.; Etruschi, F.; Meca, G.; Juan, C.; Mañes, J. Biosynthesis of beauvericin and enniatins in-vitro by wheat Fusarium species and natural grain contamination in an area of central Italy. Food Microbiol. 2015, 46, 618–626. [Google Scholar] [CrossRef] [PubMed]
- Drakopoulos, D.; Sulyok, M.; Jenny, E.; Kägi, A.; Bänziger, I.; Logrieco, A.F.; Krska, R.; Vogelgsang, S. Fusarium Head Blight and Associated Mycotoxins in Grains and Straw of Barley: Influence of Agricultural Practices. Agronomy 2021, 11, 801. [Google Scholar] [CrossRef]
- Hegde, G.M.; Devaiah, M.; Uday, G.; Patil, P.V. First Report of Fusarium poae Causing Head Blight of Wheat in India. Plant Disease 2023, 107, 3302. [Google Scholar] [CrossRef] [PubMed]
- Summerell, B.A.; Leslie, J.F.; Liew, E.C.Y.; Laurence, M.H.; Bullock, S.; Petrovic, T.; Bentley, A.R.; Howard, C.G.; Peterson, S.A.; Walsh, J.L.; et al. Fusarium species associated with plants in Australia. Fungal Divers. 2010, 46, 1–27. [Google Scholar] [CrossRef]
- Tan, J.; De Zutter, N.; De Saeger, S.; De Boevre, M.; Tran, T.M.; van der Lee, T.; Waalwijk, C.; Willems, A.; Vandamme, P.; Ameye, M.; et al. Presence of the Weakly Pathogenic Fusarium poae in the Fusarium Head Blight Disease Complex Hampers Biocontrol and Chemical Control of the Virulent Fusarium graminearum Pathogen. Front. Plant Sci. 2021, 12, 641890. [Google Scholar] [CrossRef]
- Tini, F.; Covarelli, L.; Cowger, C.; Sulyok, M.; Benincasa, P.; Beccari, G. Infection timing affects Fusarium poae colonization of bread wheat spikes and mycotoxin accumulation in the grain. J. Sci. Food Agric. 2022, 102, 6358–6372. [Google Scholar] [CrossRef] [PubMed]
- McMullen, M.; Bergstrom, G.; De Wolf, E.; Dill-Macky, R.; Hershman, D.; Shaner, G.; Van Sanford, D. A Unified Effort to Fight an Enemy of Wheat and Barley: Fusarium Head Blight. Plant Dis. 2012, 96, 1712–1728. [Google Scholar] [CrossRef] [PubMed]
- Wegulo, S.N.; Baenziger, P.S.; Hernandez Nopsa, J.; Bockus, W.W.; Hallen-Adams, H. Management of Fusarium head blight of wheat and barley. Crop Prot. 2015, 73, 100–107. [Google Scholar] [CrossRef]
- Joffe, A.Z.; Palti, J. Taxonomic Study of Fusaria of the Sporotrichiella Used in Recent Toxicological Work. Appl. Microbiol. 1975, 29, 575–579. [Google Scholar] [CrossRef]
- Leslie, J.F.; Summerell, B.A. The Fusarium Laboratory Manual; Blackewell Publishing: Oxford, UK, 2006. [Google Scholar]
- Torp, M.; Nirenberg, H.I. Fusarium langsethiae sp. nov. on cereals in Europe. Int. J. Food Microbiol. 2004, 95, 247–256. [Google Scholar] [CrossRef] [PubMed]
- Aamot, H.U.; Mousavi, H.; Razzaghian, J.; Brodal, G.; Sulyok, M.; Krska, R.; Edwards, S.G.; Hofgaard, I.S. Fusarium langsethiae and mycotoxin contamination in oat grain differed with growth stage at inoculation. Eur. J. Plant Pathol. 2022, 164, 59–78. [Google Scholar] [CrossRef]
- Stakheev, A.A.; Khairulina, D.R.; Zavriev, S.K. Four-locus phylogeny of Fusarium avenaceum and related species and their species-specific identification based on partial phosphate permease gene sequences. Int. J. Food Microbiol. 2016, 225, 27–37. [Google Scholar] [CrossRef] [PubMed]
- Niessen, L.; Schmidt, H.; Vogel, R.F. The use of tri5 gene sequences for PCR detection and taxonomy of trichothecene-producing species in the Fusarium section Sporotrichiella. Int. J. Food Microbiol. 2004, 95, 305–319. [Google Scholar] [CrossRef] [PubMed]
- Sohlberg, E.; Virkajärvi, V.; Parikka, P.; Rämö, S.; Laitila, A.; Sarlin, T. Taqman qPCR Quantification and Fusarium Community Analysis to Evaluate Toxigenic Fungi in Cereals. Toxins 2022, 14, 45. [Google Scholar] [CrossRef] [PubMed]
- Kulik, T.; Jestoi, M.; Okorski, A. Development of TaqMan assays for the quantitative detection of Fusarium avenaceum/Fusarium tricinctum and Fusarium poae esyn1 genotypes from cereal grain. FEMS Microbiol. Lett. 2011, 314, 49–56. [Google Scholar] [CrossRef] [PubMed]
- Nicolaisen, M.; Supronienė, S.; Nielsen, L.K.; Lazzaro, I.; Spliid, N.H.; Justesen, A.F. Real-time PCR for quantification of eleven individual Fusarium species in cereals. J. Microbiol. Methods 2009, 76, 234–240. [Google Scholar] [CrossRef] [PubMed]
- Zitnick-Anderson, K.; Simons, K.; Pasche, J.S. Detection and qPCR quantification of seven Fusarium species associated with the root rot complex in field pea. Can. J. Plant Pathol. 2018, 40, 261–271. [Google Scholar] [CrossRef]
- Yan, J.; Guo, X.; Duan, S.; Jia, P.; Wang, L.; Peng, C.; Zhang, S. Electronic Nose Feature Extraction Methods: A Review. Sensors 2015, 15, 27804–27831. [Google Scholar] [CrossRef] [PubMed]
- Breiman, L. Random Forests. Mach. Learn. 2001, 45, 5–32. [Google Scholar] [CrossRef]
- Pedregosa, F.; Varoquaux, G.; Gramfort, A.; Michel, V.; Thirion, B.; Grisel, O.; Blondel, M.; Prettenhofer, P.; Weiss, R.; Dubourg, V.; et al. Scikit-learn: Machine Learning in Python. J. Mach. Learn. Res. 2011, 12, 2825–2830. [Google Scholar]
- Hastie, T.; Tibshirani, R.; Friedman, J. The Elements of Statistical Learning. Data Mining, Inference, and Prediction; Springer Series in Statistics; Springer: New York, NY, USA, 2009. [Google Scholar]
- Virtanen, P.; Gommers, R.; Oliphant, T.E.; Haberland, M.; Reddy, T.; Cournapeau, D.; Burovski, E.; Peterson, P.; Weckesser, W.; Bright, J.; et al. SciPy 1.0: Fundamental Algorithms for Scientific Computing in Python. Nat. Methods 2020, 17, 261–272. [Google Scholar] [CrossRef] [PubMed]
- Sun, Q.; Zhang, R.; Liu, Y.; Niu, L.; Liu, H.; Ren, P.; Xu, B.; Guo, B.; Zhang, B. Insights into “wheat aroma”: Analysis of volatile components in wheat grains cultivated in saline–alkali soil. Food Res. Int. 2024, 183, 114211. [Google Scholar] [CrossRef] [PubMed]
- Tonks, A.J.; Roberts, J.M.; Midthassel, A.; Pope, T. Exploiting volatile organic compounds in crop protection: A systematic review of 1-octen-3-ol and 3-octanone. Ann. Appl. Biol. 2023, 183, 121–134. [Google Scholar] [CrossRef]
- Becker, E.M.; Herrfurth, C.; Irmisch, S.; Köllner, T.G.; Feussner, I.; Karlovsky, P.; Splivallo, R. Infection of Corn Ears by Fusarium spp. Induces the Emission of Volatile Sesquiterpenes. J. Agric. Food Chem. 2014, 62, 5226–5236. [Google Scholar] [CrossRef] [PubMed]
- Boeker, P. On ‘Electronic Nose’ methodology. Sens. Actuators B Chem. 2014, 204, 2–17. [Google Scholar] [CrossRef]
- Ferrigo, D.; Raiola, A.; Causin, R. Fusarium Toxins in Cereals: Occurrence, Legislation, Factors Promoting the Appearance and Their Management. Molecules 2016, 21, 627. [Google Scholar] [CrossRef] [PubMed]
- Desjardins, A.E. Fusarium mycotoxins: Chemistry, Genetics, and Biology; American Phytopathological Society (APS Press): Peoria, IL, USA, 2006. [Google Scholar]
- Witte, T.E.; Hicks, C.; Hermans, A.; Shields, S.; Overy, D.P. Debunking the Myth of Fusarium poae T-2/HT-2 Toxin Production. J. Agric. Food Chem. 2024, 72, 3949–3957. [Google Scholar] [CrossRef] [PubMed]
- Morcia, C.; Tumino, G.; Ghizzoni, R.; Badeck, F.; Lattanzio, V.; Pascale, M.; Terzi, V. Occurrence of Fusarium langsethiae and T-2 and HT-2 Toxins in Italian Malting Barley. Toxins 2016, 8, 247. [Google Scholar] [CrossRef]
- Janik, E.; Niemcewicz, M.; Podogrocki, M.; Ceremuga, M.; Stela, M.; Bijak, M. T-2 Toxin—The Most Toxic Trichothecene Mycotoxin: Metabolism, Toxicity, and Decontamination Strategies. Molecules 2021, 26, 6868. [Google Scholar] [CrossRef]
- Wu, Q.; Dohnal, V.; Huang, L.; Kuča, K.; Yuan, Z. Metabolic pathways of trichothecenes. Drug Metab. Rev. 2010, 42, 250–267. [Google Scholar] [CrossRef] [PubMed]
- Karlovsky, P.; Suman, M.; Berthiller, F.; De Meester, J.; Eisenbrand, G.; Perrin, I.; Oswald, I.P.; Speijers, G.; Chiodini, A.; Recker, T.; et al. Impact of food processing and detoxification treatments on mycotoxin contamination. Mycotoxin Res. 2016, 32, 179–205. [Google Scholar] [CrossRef] [PubMed]
- Lindblad, M.; Gidlund, A.; Sulyok, M.; Börjesson, T.; Krska, R.; Olsen, M.; Fredlund, E. Deoxynivalenol and other selected Fusarium toxins in Swedish wheat—Occurrence and correlation to specific Fusarium species. Int. J. Food Microbiol. 2013, 167, 284–291. [Google Scholar] [CrossRef]
- Stepień, Ł.; Jestoi, M.; Chełkowski, J. Cyclic hexadepsipeptides in wheat field samples and esyn1 gene divergence among enniatin producing Fusarium avenaceum strains. World Mycotoxin J. 2013, 6, 399–410. [Google Scholar] [CrossRef]
- Tittlemier, S.A.; Roscoe, M.; Trelka, R.; Gaba, D.; Chan, J.M.; Patrick, S.K.; Sulyok, M.; Krska, R.; McKendry, T.; Gräfenhan, T. Fusarium Damage in Small Cereal Grains from Western Canada. 2. Occurrence of Fusarium Toxins and Their Source Organisms in Durum Wheat Harvested in 2010. J. Agric. Food Chem. 2013, 61, 5438–5448. [Google Scholar] [CrossRef]
- Ezekiel, C.; Bandyopadhyay, R.; Sulyok, M.; Warth, B.; Krska, R. Fungal and bacterial metabolites in commercial poultry feed from Nigeria. Food Addit. Contam. Part A 2012, 29, 1288–1299. [Google Scholar] [CrossRef] [PubMed]
- Jarolim, K.; Wolters, K.; Woelflingseder, L.; Pahlke, G.; Beisl, J.; Puntscher, H.; Braun, D.; Sulyok, M.; Warth, B.; Marko, D. The secondary Fusarium metabolite aurofusarin induces oxidative stress, cytotoxicity and genotoxicity in human colon cells. Toxicol. Lett. 2018, 284, 170–183. [Google Scholar] [CrossRef] [PubMed]
- Křížová, L.; Dadáková, K.; Dvořáčková, M.; Kašparovský, T. Feedborne Mycotoxins Beauvericin and Enniatins and Livestock Animals. Toxins 2021, 13, 32. [Google Scholar] [CrossRef]
- Taevernier, L.; Veryser, L.; Roche, N.; Peremans, K.; Burvenich, C.; Delesalle, C.; De Spiegeleer, B. Human skin permeation of emerging mycotoxins (beauvericin and enniatins). J. Expo. Sci. Environ. Epidemiol. 2015, 26, 277–287. [Google Scholar] [CrossRef]
- Sotnichenko, A.; Pantsov, E.; Shinkarev, D.; Okhanov, V. Hydrophobized Reversed-Phase Adsorbent for Protection of Dairy Cattle against Lipophilic Toxins from Diet. Efficiensy In Vitro and In Vivo. Toxins 2019, 11, 256. [Google Scholar] [CrossRef]
- Inbaia, S.; Farooqi, A.; Ray, R.V. Aggressiveness and mycotoxin profile of Fusarium avenaceum isolates causing Fusarium seedling blight and Fusarium head blight in UK malting barley. Front. Plant Sci. 2023, 14, 1121553. [Google Scholar] [CrossRef] [PubMed]
- Laraba, I.; Busman, M.; Geiser, D.M.; O’Donnell, K. Phylogenetic Diversity and Mycotoxin Potential of Emergent Phytopathogens within the Fusarium tricinctum Species Complex. Phytopathology® 2022, 112, 1284–1298. [Google Scholar] [CrossRef] [PubMed]
- Dinolfo, M.I.; Stenglein, S.A. Fusarium poae and mycotoxins: Potential risk for consumers. Bol. Soc. Argent. Bot. 2014, 49, 5–20. [Google Scholar] [CrossRef]
- Kahla, A.; Verheecke-Vaessen, C.; Delpino-Deelias, M.; Gutierrez-Pozo, M.; Medina, A.; Magan, N.; Doohan, F. Acclimatisation of Fusarium langsethiae, F. poae and F. sporotrichioides to elevated CO2: Impact on fungal growth and mycotoxin production on oat-based media. Int. J. Food Microbiol. 2023, 394, 110176. [Google Scholar] [CrossRef] [PubMed]
- Girotti, J.; Malbrán, I.; Lori, G.; Juarez, M. Use of solid phase microextraction coupled to capillary gas chromatography-mass spectrometry for screening Fusarium spp. based on their volatile sesquiterpenes. World Mycotoxin J. 2010, 3, 121–128. [Google Scholar] [CrossRef]
- Jiang, C.-X.; Li, J.; Zhang, J.-M.; Jin, X.-J.; Yu, B.; Fang, J.-G.; Wu, Q.-X. Isolation, Identification, and Activity Evaluation of Chemical Constituents from Soil Fungus Fusarium avenaceum SF-1502 and Endophytic Fungus Fusarium proliferatum AF-04. J. Agric. Food Chem. 2009, 67, 1839–1846. [Google Scholar] [CrossRef]
- Erler, A.; Riebe, D.; Beitz, T.; Löhmannsröben, H.G.; Grothusheitkamp, D.; Kunz, T.; Methner, F.J. Detection of volatile organic compounds in the headspace above mold fungi by GC-soft X-radiation–based APCI-MS. J. Mass Spectrom. 2018, 53, 911–920. [Google Scholar] [CrossRef]







| Compounds | F. avenaceum | F. langsethiae | F. poae | F. sporotrichioides |
|---|---|---|---|---|
| Alcohols | 50.57 ± 2.19 | 66.24 ± 1.12 | 23.56 ± 1.22 | 33.23 ± 3.46 |
| Isopentanol | 0.98 ± 0.05 | |||
| 2-Methyl-1-butanol | 0.68 ± 0.07 | |||
| 1-Octen-3-ol | 46.83 ± 2.18 | 66.24 ± 1.12 | 21.89 ± 1.25 | 33.23 ± 3.46 |
| 3-Octanol | 3.73 ± 0.25 | |||
| Ketones | 37.21 ± 1.96 | 25.49 ± 1.08 | 30.38 ± 1.08 | 22.56 ± 1.53 |
| 1-Octen-3-one | 3.91 ± 0.38 | |||
| 3-Octanone | 33.31 ± 1.95 | 25.49 ± 1.08 | 30.38 ± 1.08 | 22.56 ± 1.53 |
| Sesquiterpenes | 34.41 ± 0.46 | 16.32 ± 0.87 | ||
| Isoledene | 0.50 ± 0.03 | |||
| -Longipinene | 0.93 ± 0.08 | |||
| Longifolene | 7.85 ± 0.44 | |||
| -Barbatene | 0.00–0.11 | |||
| cis-Thujopsene | 8.51 ± 0.59 | |||
| -Copaene | 2.04 ± 0.13 | |||
| cis-Muurola-3.5-diene | 4.10 ± 0.18 | |||
| -Acoradiene | 3.34 ± 0.32 | |||
| 10-epi--Acoradiene | 1.16 ± 0.16 | |||
| -Bazzanene | 5.95 ± 0.60 | 16.32 ± 0.87 | ||
| Monoterpenes | 4.15 ± 0.27 | 5.73 ± 0.12 | 8.59 ± 0.42 | 24.35 ± 2.84 |
| -Phellandrene | 0.00–0.09 | |||
| p-Cymene | 0.40 ± 0.03 | |||
| Limonene | 4.15 ± 0.27 | 5.73 ± 0.12 | 8.16 ± 0.45 | 24.35 ± 2.84 |
| cis-Piperitol | 0.00–0.08 | |||
| Other compounds | 8.06 ± 0.37 | 2.54 ± 0.39 | 3.07 ± 0.33 | 3.54 ± 0.41 |
| Hexane | 2.54 ± 0.39 | 0.92 ± 0.13 | 3.54 ± 0.41 | |
| Styrene | 4.94 ± 0.20 | 2.12 ± 0.25 | ||
| Pentyl propanoate | 0.00–0.10 | |||
| 1.3-Dimethoxybenzene | 2.79 ± 0.13 | |||
| Dodecane | 0.00–0.25 | 0.00–0.06 | ||
| Tridecane | 0.00–0.21 | |||
| Tetradecane | 0.00–0.26 | 0.00–0.06 |
| Precision | Recall | |
|---|---|---|
| F. avanceum | 79.8% | 71.2% |
| F. langsethiae | 59.0% | 55.7% |
| F. poae | 87.2% | 90.7% |
| F. sporotrichioides | 56.0% | 62.8% |
| Accuracy | 70.1 | |
| Mycotoxins | F. avenaceum | F. poae | F. langsethiae | F. sporotrichioides | |
|---|---|---|---|---|---|
| [55,56] | [13,42,57] | [24,42] | [42,58] | ||
| Trichothecene A | T-2/HT-2 | − | − | + | + |
| MAS | − | + | + | + | |
| DAS | − | + | + | + | |
| SCR | − | + | + | − | |
| NEO | − | + | + | + | |
| Trichothecene B | NIV | − | + | − | − |
| (FUS-X) | − | + | − | − | |
| BEA | − | + | − | + | |
| ENNs | ENNA | + | + | − | − |
| ENNA1 | + | + | − | − | |
| ENNB | + | + | − | − | |
| ENNB1 | + | + | − | − | |
| MON | + | − | − | − | |
| AOD-ol | + | − | − | − | |
| AUR | + | + | − | + | |
Disclaimer/Publisher’s Note: The statements, opinions and data contained in all publications are solely those of the individual author(s) and contributor(s) and not of MDPI and/or the editor(s). MDPI and/or the editor(s) disclaim responsibility for any injury to people or property resulting from any ideas, methods, instructions or products referred to in the content. |
© 2024 by the authors. Licensee MDPI, Basel, Switzerland. This article is an open access article distributed under the terms and conditions of the Creative Commons Attribution (CC BY) license (https://creativecommons.org/licenses/by/4.0/).
Share and Cite
Borowik, P.; Stocki, M.; Tkaczyk, M.; Pluta, P.; Oszako, T.; Tarakowski, R.; Okorski, A. The Differentiation of the Infestation of Wheat Grain with Fusarium poae from Three Other Fusarium Species by GC–MS and Electronic Nose Measurements. Agriculture 2024, 14, 1028. https://doi.org/10.3390/agriculture14071028
Borowik P, Stocki M, Tkaczyk M, Pluta P, Oszako T, Tarakowski R, Okorski A. The Differentiation of the Infestation of Wheat Grain with Fusarium poae from Three Other Fusarium Species by GC–MS and Electronic Nose Measurements. Agriculture. 2024; 14(7):1028. https://doi.org/10.3390/agriculture14071028
Chicago/Turabian StyleBorowik, Piotr, Marcin Stocki, Miłosz Tkaczyk, Przemysław Pluta, Tomasz Oszako, Rafał Tarakowski, and Adam Okorski. 2024. "The Differentiation of the Infestation of Wheat Grain with Fusarium poae from Three Other Fusarium Species by GC–MS and Electronic Nose Measurements" Agriculture 14, no. 7: 1028. https://doi.org/10.3390/agriculture14071028
APA StyleBorowik, P., Stocki, M., Tkaczyk, M., Pluta, P., Oszako, T., Tarakowski, R., & Okorski, A. (2024). The Differentiation of the Infestation of Wheat Grain with Fusarium poae from Three Other Fusarium Species by GC–MS and Electronic Nose Measurements. Agriculture, 14(7), 1028. https://doi.org/10.3390/agriculture14071028

