Effects of Particle Size Distribution on the Physicochemical, Functional, and Structural Properties of Alfalfa Leaf Powder
Abstract
1. Introduction
2. Materials and Methods
2.1. Materials
2.2. Reagents
2.3. Preparation of Alfalfa Leaf
2.4. Particle Size Distribution
2.5. Bulk Density, Tap Density and Compressibility
2.6. Solubility
2.7. Color
2.8. Transition Temperature and Melting Temperature
2.9. Swelling Capacity
2.10. Angiotensin-Converting Enzyme Inhibitory Activity
2.11. Tyrosinase Inhibitory Activity
2.12. Surface Micromorphology
2.13. Functional Groups
2.14. Crystallinity Index
2.15. Statistical Analysis
3. Results and Discussion
3.1. Physicochemical Properties of Alfalfa Leaf Powder
3.1.1. Particle Size Distribution
3.1.2. Bulk Density, Tap Density, and Compressibility
3.1.3. Solubility and Color
3.1.4. Transition Temperature and Melting Temperature
3.2. Functional Properties of Alfalfa Leaf Powder
3.2.1. Swelling Capacity
3.2.2. Angiotensin-Converting Enzyme Inhibitory Activity
3.2.3. Tyrosinase Inhibitory Activity
3.3. Structural Properties of Alfalfa Leaf Powder
3.3.1. Surface Micromorphology
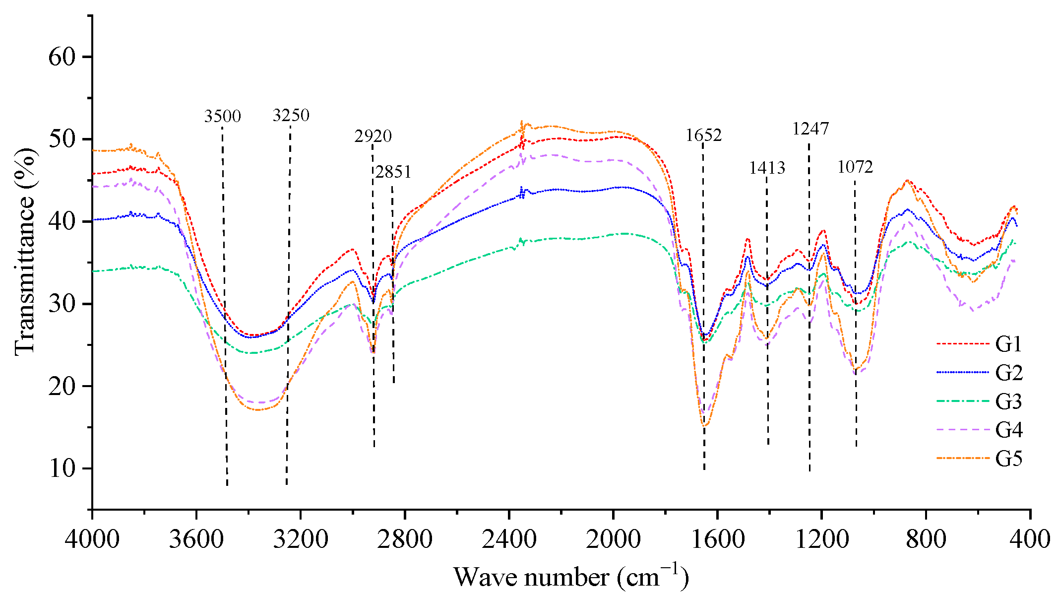
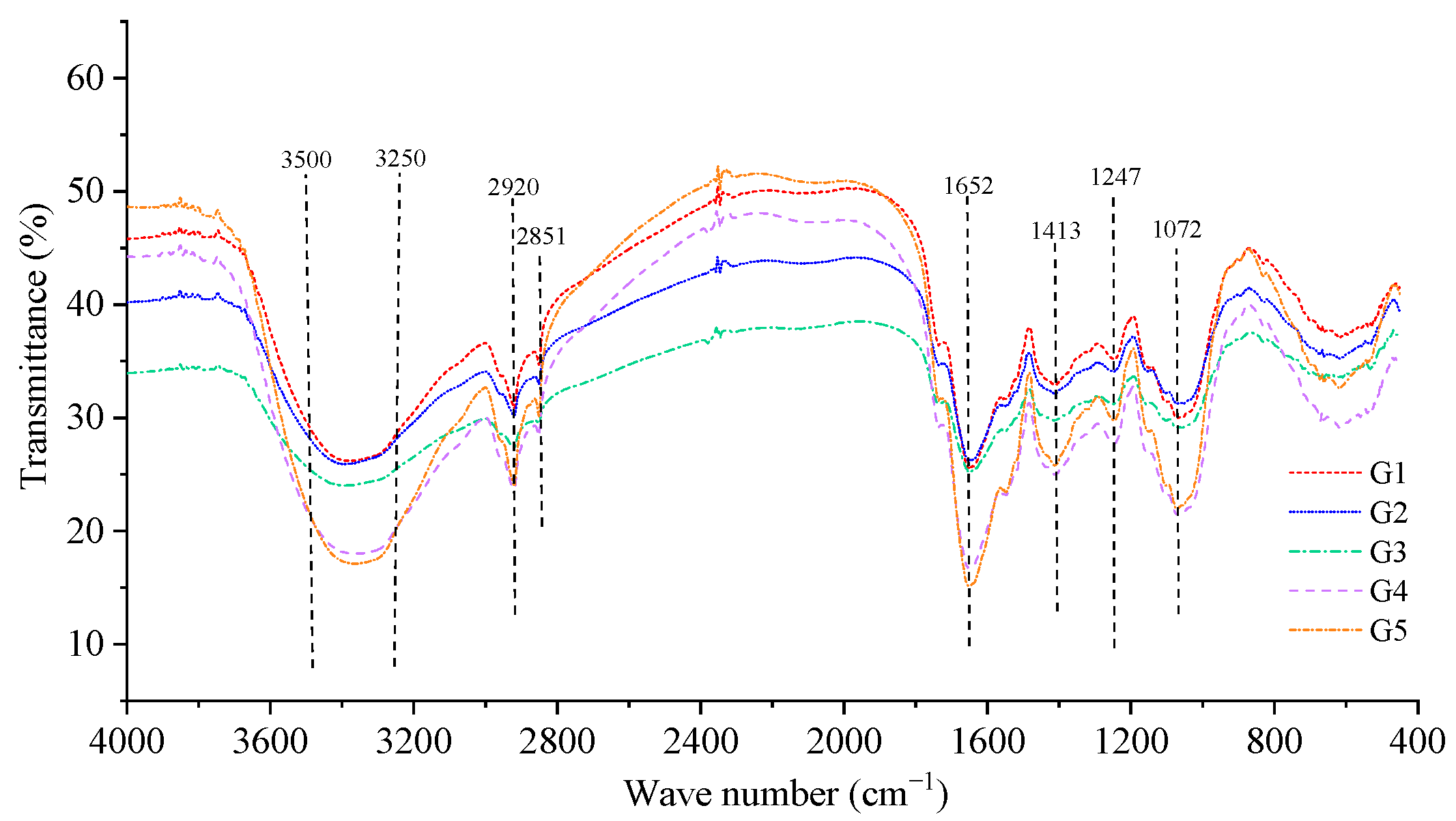
3.3.2. Functional Group
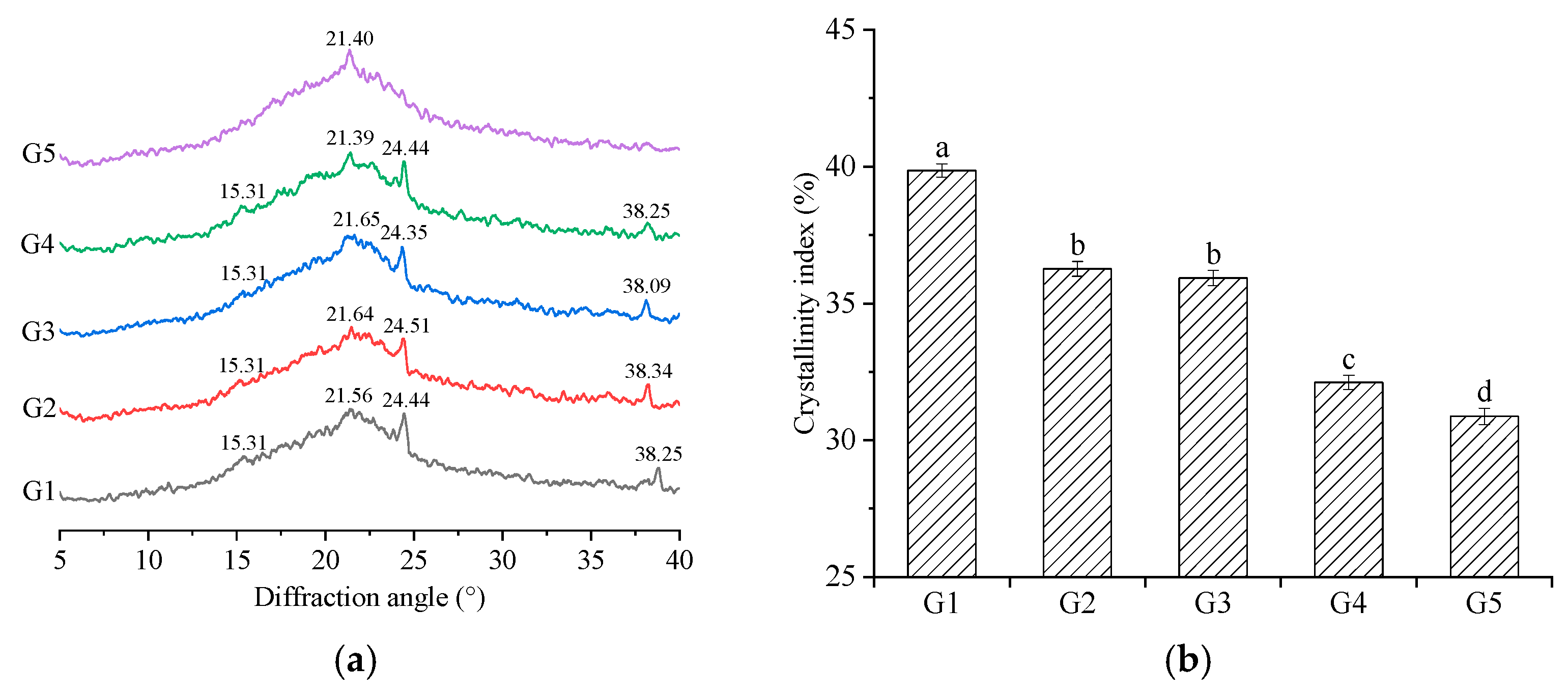
3.3.3. Crystal Structure
3.4. Analysis of Correlation and Principal Components
3.4.1. Correlation Analysis
3.4.2. Principal Component Analysis
4. Conclusions
Author Contributions
Funding
Institutional Review Board Statement
Data Availability Statement
Acknowledgments
Conflicts of Interest
References
- Hadidi, M.; Rostamabadi, H.; Moreno, A.; Jafari, S.M. Nanoencapsulation of essential oils from industrial hemp (Cannabis sativa L.) by-products into alfalfa protein nanoparticles. Food Chem. 2022, 386, 132765. [Google Scholar] [CrossRef] [PubMed]
- Delannoy-Bruno, O.; Desai, C.; Raman, A.S.; Chen, R.Y.; Gordon, J.I. Evaluating microbiome-directed fibre snacks in gnotobiotic mice and humans. Nature 2021, 595, 91–94. [Google Scholar] [CrossRef] [PubMed]
- Zhao, L.; Zhang, F.; Ding, X.; Wu, G.; Lam, Y.; Wang, X. Gut bacteria selectively promoted by dietary fibers alleviate type 2 diabetes. Science 2018, 359, 1151–1156. [Google Scholar] [CrossRef] [PubMed]
- Fazmiya, M.J.A.; Sultana, A.; Rahman, K.; Heyat, M.B.B.; Akhtar, F.; Khan, S.; Appiah, S.C.Y. Current insights on bioactive molecules, antioxidant, anti-inflammatory, and other pharmacological activities of Cinnamomum camphora Linn. Oxid. Med. Cell. Longev. 2022, 2022, 9354555. [Google Scholar] [CrossRef] [PubMed]
- Hadidi, M.; Palacios, J.C.O.; McClements, D.J.; Mahfouzi, M.; Moreno, A. Alfalfa as a sustainable source of plant-based food proteins. Trends Food Sci. Technol. 2023, 135, 202–214. [Google Scholar] [CrossRef]
- Augustin, M.A.; Cole, M.B. Towards a sustainable food system by design using faba bean protein as an example. Trends Food Sci. Technol. 2022, 125, 1–11. [Google Scholar] [CrossRef]
- Hu, H.; Zhou, X.Y.; Wang, Y.S.; Zhang, Y.X.; Zhou, W.H.; Zhang, L. Effects of particle size on the structure, cooking quality and anthocyanin diffusion of purple sweet potato noodles. Food Chem. 2023, 18, 100672. [Google Scholar] [CrossRef] [PubMed]
- Troilo, M.; Difonzo, G.; Paradiso, V.M.; Pasqualone, A.; Caponio, F. Grape pomace as innovative flour for the formulation of functional muffins: How particle size affects the nutritional, textural and sensory properties. Foods 2022, 11, 1799. [Google Scholar] [CrossRef] [PubMed]
- Liu, H.; Duan, J.; Zhu, J.; Liu, X. Effects of highland barley flour with different particle sizes on the characteristics of reconstituted flour and noodles. Foods 2023, 12, 1074. [Google Scholar] [CrossRef]
- Lai, S.; Liu, J.; Zhang, Y.; Wang, Y.; Li, G.; Cui, Q. Effects of wheat bran micronization on the quality of reconstituted whole-wheat flour and its cooked noodles. Processes 2022, 10, 1001. [Google Scholar] [CrossRef]
- Lai, S.; Cui, Q.; Liu, J.; Liu, J.; Sun, D. Determination and analysis of functional characteristics of alfalfa stems and leaves. Food Sci. 2020, 41, 6. (In Chinese) [Google Scholar]
- Drakos, A.; Kyriakakis, G.; Evageliou, V.; Protonotariou, S.; Mandala, I.; Ritzoulis, C. Influence of jet milling and particle size on the composition, physicochemical and mechanical properties of barley and rye flours. Food Chem. 2017, 215, 326–332. [Google Scholar] [CrossRef] [PubMed]
- Kanatt, S.R. Irradiation as a tool for modifying tapioca starch and development of an active food packaging film with irradiated starch. Radiat. Phys. Chem. 2020, 173, 108873. [Google Scholar] [CrossRef]
- Huang, X.; Dou, J.Y.; Li, D.; Wang, L.J. Effects of superfine grinding on properties of sugar beet pulp powders. LWT 2018, 87, 203–209. [Google Scholar] [CrossRef]
- Lai, S.; Chen, Z.; Zhang, Y.; Li, G.; Wang, Y.; Cui, Q. Micronization effects on structural, functional, and antioxidant properties of wheat bran. Foods 2022, 12, 98. [Google Scholar] [CrossRef] [PubMed]
- Rodríguez-Hernández, G.; Rentería-Monterrubio, A.L.; Gutiérrez-Méndez, N.; Ortega-Gutiérrez, J.A.; Santellano-Estrada, E.; Rojas-González, S.; Chávez-Martínez, A. Effect of probiotic cultures on the angiotensin converting enzyme inhibitory activity of whey-based fermented beverages. J. Food Sci. Technol. 2020, 57, 3731–3738. [Google Scholar] [CrossRef] [PubMed]
- Lu, H.; Yang, K.; Zhan, L.; Lu, T.; Chen, X.; Cai, X.; Zhou, C.; Li, H.; Qian, L.; Lv, G.; et al. Optimization of flavonoid extraction in Dendrobium officinale leaves and their inhibitory effects on tyrosinase activity. Int. J. Anal. 2019, 2019, 7849198. [Google Scholar] [CrossRef] [PubMed]
- Zhang, Y.; Xiao, W.; Ji, G.; Chen, X.; Han, L.; Gao, C. Effects on physicochemical properties of black tea by mechanical superfine and general grinding. T. Chinese Soc. Agric. Eng. 2016, 41, 1670–1677. (In Chinese) [Google Scholar]
- Liang, K.; Zhu, H.; Zhang, Y. Effect of mechanical grinding on the physicochemical, structural, and functional properties of foxtail millet (Setaria italica (L.) P. Beauv) bran powder. Foods 2022, 11, 2688. [Google Scholar] [CrossRef]
- Zhang, Y.; Li, R.; Shang, G.; Zhu, H. Mechanical grinding alters physicochemical, structural, and functional properties of tobacco (Nicotiana tabacum L.) leaf powders. Ind. Crop Prod. 2021, 173, 114149. [Google Scholar] [CrossRef]
- Ding, H.; Li, B.; Boiarkina, I.; Wilson, D.I.; Yu, W.; Young, B.R. Effects of morphology on the bulk density of instant whole milk powder. Foods 2020, 9, 1024. [Google Scholar] [CrossRef] [PubMed]
- Rayo, L.M.; Carvalho, L.C.; Sardá, F.A.; Dacanal, G.C.; Menezes, E.W.; Tadini, C.C. Production of instant green banana flour (Musa cavendischii, var. Nanicão) by a pulsed-fluidized bed agglomeration. LWT Food Sci. Technol. 2015, 63, 461–469. [Google Scholar] [CrossRef]
- He, S.; Li, J.; He, Q.; Jian, H.; Zhang, Y.; Wang, J.; Sun, H. Physicochemical and antioxidant properties of hard white winter wheat (Triticum aestivm L.) bran superfine powder produced by eccentric vibratory milling. Powder Technol. 2018, 325, 126–133. [Google Scholar] [CrossRef]
- Savlak, N.; Türker, B.; Yeşilkanat, N. Effects of particle size distribution on some physical, chemical and functional properties of unripe banana flour. Food Chem. 2016, 213, 180–186. [Google Scholar] [CrossRef]
- Liu, Z.; Muzzio, F.J.; Callegari, G. Powder property change after passing through a feeder: The effect of electrostatics on powder flow. Powder Technol. 2023, 425, 118532. [Google Scholar] [CrossRef]
- Bala, M.; Handa, S.; Mridula, D.; Singh, R.K. Physicochemical, functional and rheological properties of grass pea (Lathyrus sativus L.) flour as influenced by particle size. Heliyon 2020, 6, e05471. [Google Scholar] [CrossRef] [PubMed]
- Xia, X.; Li, F.; Ran, H.; Zhao, J.; Lei, X.; Lei, L.; Xiao, G.; Ming, J. Effect of jujube kernel powder addition on moisture absorption performance, color stability, texture properties and agglomeration characteristics of jujube powder. LWT 2023, 174, 114452. [Google Scholar] [CrossRef]
- Lapčíková, B.; Lapčík, L.; Valenta, T.; Majar, P.; Ondroušková, K. Effect of the rice flour particle size and variety type on water holding capacity and water diffusivity in aqueous dispersions. LWT 2021, 142, 111082. [Google Scholar] [CrossRef]
- Zhu, R.; Tan, S.; Wang, Y.; Zhang, L.; Huang, L. Physicochemical properties and hypolipidemic activity of dietary fiber from rice bran meal obtained by three oil-production methods. Foods 2023, 12, 3695. [Google Scholar] [CrossRef]
- Auffret, A.; Ralet, M.C.; Guillon, F.; Barry, J.L.; Thibault, J.F. Effect of grinding and experimental conditions on the measurement of hydration properties of dietary fibres. LWT Food Sci. Technol. 1994, 27, 166–172. [Google Scholar] [CrossRef]
- Ambigaipalan, P.; Shahidi, F. Bioactive peptides from shrimp shell processing discards: Antioxidant and biological activities. J. Funct. Foods 2017, 34, 7–17. [Google Scholar] [CrossRef]
- Gammoh, S.; Alu’datt, M.H.; Tranchant, C.C.; Alhamad, M.N.; Rababah, T.; Kubow, S.; Haddain, M.; Ammari, Z.; Maghaydah, S.; Banat, H. Modification of the functional and bioactive properties of camel milk casein and whey proteins by ultrasonication and fermentation with Lactobacillus delbrueckii subsp. lactis. LWT 2020, 129, 109501. [Google Scholar] [CrossRef]
- Fan, M.; Ding, H.; Zhang, G.; Hu, X.; Gong, D. Relationships of dietary flavonoid structure with its tyrosinase inhibitory activity and affinity. LWT 2019, 107, 25–34. [Google Scholar] [CrossRef]
- Wu, L.; Dong, K.; Chu, W.; Hu, X. Effects of microwave modification on the structure and functional properties of oat bran dietary fiber. J. Chin. I. Food Sci. Technol. 2021, 21, 30–37. (In Chinese) [Google Scholar]
- Nishiyama, Y.; Langan, P.; Chanzy, H. Crystal structure and hydrogen-bonding system in cellulose Iβ from synchrotron X-ray and neutron fiber diffraction. J. Am. Chem. Soc. 2002, 124, 9074–9082. [Google Scholar] [CrossRef] [PubMed]
- Bhattacharyya, S.S.; Galerne, Y. Elongation of discotic liquid crystal strands and lubricant effects. ChemPhysChem 2014, 15, 1432–1446. [Google Scholar] [CrossRef] [PubMed]
- Lu, H.; Gui, Y.; Zheng, L.; Liu, X. Morphological, crystalline, thermal and physicochemical properties of cellulose nanocrystals obtained from sweet potato residue. Food Res. Int. 2013, 50, 121–128. [Google Scholar] [CrossRef]
- Ji, G.; Gao, C.; Xiao, W.; Han, L. Mechanical fragmentation of corncob at different plant scales: Impact and mechanism on microstructure features and enzymatic hydrolysis. Bioresour. Technol. 2016, 205, 159–165. [Google Scholar] [CrossRef]
- Hu, G.; Li, X.; Lai, A.; Liu, Y.; Zhang, Y.; Wang, J.; Sun, S.; Zhu, J.; Yang, M. Comparative analysis of the nutritional quality of Zizania latifolia cultivars harvested in different growing seasons. Foods 2024, 13, 30. [Google Scholar] [CrossRef]










| Sample | D10 (μm) | D50 (μm) | D90 (μm) | VAPS (μm) |
|---|---|---|---|---|
| G1 | 86.85 ± 5.00 a | 506.1 ± 7.41 a | 1152 ± 24.19 a | 577.4 ± 6.56 a |
| G2 | 10.02 ± 1.32 b | 246.3 ± 5.74 b | 395.8 ± 5.31 b | 225.1 ± 7.90 b |
| G3 | 9.128 ± 0.36 b | 209.8 ± 3.55 c | 321.4 ± 8.51 c | 192.1 ± 7.72 c |
| G4 | 6.055 ± 0.48 c | 92.01 ± 2.95 d | 188.0 ± 8.44 d | 92.7 ± 5.50 d |
| G5 | 3.789 ± 0.36 d | 20.68 ± 1.80 e | 82.66 ± 3.62 e | 33.08 ± 7.11 e |
| Sample | Bulk Density (mL/g) | Tap Density (mL/g) | Compressibility (%) |
|---|---|---|---|
| G1 | 0.22 ± 0.02 b | 0.28 ± 0.02 c | 19.57 ± 1.85 c |
| G2 | 0.30 ± 0.02 a | 0.37 ± 0.02 b | 17.6 ± 1.47 cd |
| G3 | 0.32 ± 0.01 a | 0.38 ± 0.02 b | 15.63 ± 1.60 d |
| G4 | 0.32 ± 0.02 a | 0.42 ± 0.01 a | 24.93 ± 1.76 b |
| G5 | 0.25 ± 0.02 b | 0.37 ± 0.02 b | 32.50 ± 1.15 a |
| Sample | Solubility (%) | L* |
|---|---|---|
| G1 | 24.15 ± 0.34 e | 55.48 ± 0.17 d |
| G2 | 25.99 ± 0.39 d | 56.68 ± 0.27 c |
| G3 | 27.13 ± 0.32 c | 56.87 ± 0.07 c |
| G4 | 28.19 ± 0.42 b | 58.14 ± 0.29 b |
| G5 | 29.09 ± 0.36 a | 60.80 ± 0.96 a |
| Principal Component | Eigenvalue | Contribution Rate (%) | Cumulative Contribution Rate (%) |
|---|---|---|---|
| 1 | 10.47 | 69.79 | 69.79 |
| 2 | 3.88 | 25.90 | 95.69 |
| 3 | 0.45 | 3.03 | 98.72 |
| 4 | 0.19 | 1.29 | 100 |
| 5 | 0 | 0 | 100 |
| Indicators | Component Matrix | |
|---|---|---|
| PC1 | PC2 | |
| D10 (μm) | 0.28 | 0.20 |
| D50 (μm) | 0.31 | 0 |
| D90 (μm) | 0.30 | 0.10 |
| APS (μm) | 0.31 | 0.06 |
| Bulk density (mL/g) | −0.15 | −0.42 |
| Tap density (mL/g) | −0.26 | −0.22 |
| Compressibility (%) | −0.20 | 0.39 |
| Solubility (%) | −0.31 | 0.04 |
| L* | −0.27 | 0.22 |
| TP1 (°C) | 0.11 | 0.43 |
| TP2 (°C) | 0.25 | 0.28 |
| Swelling capacity (mL/g) | 0.16 | −0.43 |
| ACE inhibitory activity (%) | −0.28 | 0.22 |
| Tyrosinase inhibitory activity (%) | −0.29 | 0.11 |
| Crystal index (%) | 0.30 | −0.10 |
Disclaimer/Publisher’s Note: The statements, opinions and data contained in all publications are solely those of the individual author(s) and contributor(s) and not of MDPI and/or the editor(s). MDPI and/or the editor(s) disclaim responsibility for any injury to people or property resulting from any ideas, methods, instructions or products referred to in the content. |
© 2024 by the authors. Licensee MDPI, Basel, Switzerland. This article is an open access article distributed under the terms and conditions of the Creative Commons Attribution (CC BY) license (https://creativecommons.org/licenses/by/4.0/).
Share and Cite
Lai, S.; Cui, Q.; Sun, Y.; Liu, R.; Niu, Y. Effects of Particle Size Distribution on the Physicochemical, Functional, and Structural Properties of Alfalfa Leaf Powder. Agriculture 2024, 14, 634. https://doi.org/10.3390/agriculture14040634
Lai S, Cui Q, Sun Y, Liu R, Niu Y. Effects of Particle Size Distribution on the Physicochemical, Functional, and Structural Properties of Alfalfa Leaf Powder. Agriculture. 2024; 14(4):634. https://doi.org/10.3390/agriculture14040634
Chicago/Turabian StyleLai, Sitong, Qingliang Cui, Yuanlin Sun, Rui Liu, and Yajie Niu. 2024. "Effects of Particle Size Distribution on the Physicochemical, Functional, and Structural Properties of Alfalfa Leaf Powder" Agriculture 14, no. 4: 634. https://doi.org/10.3390/agriculture14040634
APA StyleLai, S., Cui, Q., Sun, Y., Liu, R., & Niu, Y. (2024). Effects of Particle Size Distribution on the Physicochemical, Functional, and Structural Properties of Alfalfa Leaf Powder. Agriculture, 14(4), 634. https://doi.org/10.3390/agriculture14040634

