Lighting Patterns Regulate Flowering and Improve the Energy Use Efficiency of Calendula Cultivated in Plant Factories with Artificial Lighting
Abstract
1. Introduction
2. Materials and Methods
2.1. The Plant Materials and Growth Conditions
2.2. Measurements
2.2.1. Growth and Flowering Parameters
2.2.2. Secondary Metabolites and Antioxidative Activity
2.2.3. EUE
2.2.4. Statistical Analysis
3. Results
3.1. Growth and Flowering
3.2. Secondary Metabolites and Antioxidative Activity
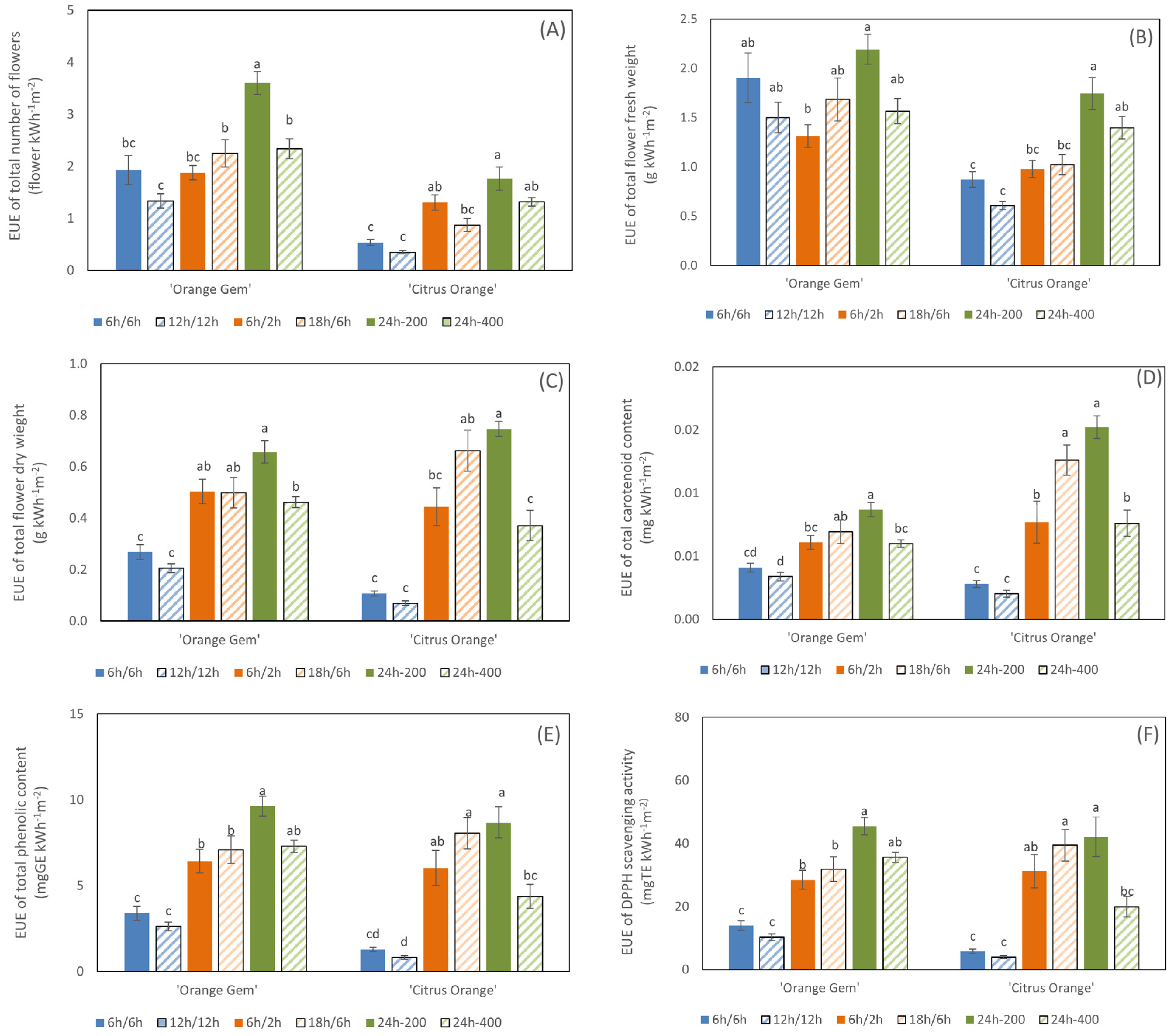
3.3. EUE
4. Discussion
4.1. A Long Photoperiod with Low Light Intensity Has a Greater Influence on the Growth and Flowering of Calendula Than a Shorter Photoperiod with High Light Intensity Under the Same DLI
4.2. Increased Light Intensity Affects the TCC, While an Increased Photoperiod Influences the TPC Under the Same DLI
4.3. Application of Lighting Patterns Could Optimize the EUE and Alleviate Production Costs in PFALs
5. Conclusions
Supplementary Materials
Author Contributions
Funding
Institutional Review Board Statement
Data Availability Statement
Conflicts of Interest
Correction Statement
References
- Chitrakar, B.; Zhang, M.; Bhandari, B. Edible flowers with the common name “marigold”: Their therapeutic values and processing. Trends Food Sci. Technol. 2019, 89, 76–87. [Google Scholar] [CrossRef]
- Ashwlayan, V.D.; Kumar, A.; Verma, M.; Garg, V.K.; Gupta, S. Therapeutic Potential of Calendula officinalis. Pharm. Pharmacol. Int. J. 2018, 6, 149–155. [Google Scholar] [CrossRef]
- Chroho, M.; Drioiche, A.; Saidi, S.; Zair, T.; Bouissane, L. Total phenolic and flavonoids contents and in vitro evaluation of antioxidant activity of several Calendula officinalis (Marigold) extracts. J. Biol. Res.—Boll. Soc. Ital. Biol. Sper. 2021, 94, 21–26. [Google Scholar] [CrossRef]
- Khalid, K.A.; Da Silva, J.a.T. Yield, essential oil and pigment content of Calendula officinalis L. flower heads cultivated under salt stress conditions. Sci. Hortic. 2010, 126, 297–305. [Google Scholar] [CrossRef]
- Jaeger, S.R. Vertical farming (plant factory with artificial lighting) and its produce: Consumer insights. Curr. Opin. Food Sci. 2024, 56, 101145. [Google Scholar] [CrossRef]
- Kelly, N.; Choe, D.; Meng, Q.; Runkle, E.S. Promotion of lettuce growth under an increasing daily light integral depends on the combination of the photosynthetic photon flux density and photoperiod. J. Am. Soc. Hortic. Sci. 2020, 272, 109565. [Google Scholar] [CrossRef]
- Warner, R.M.; Erwin, J.E. Prolonged High Temperature Exposure and Daily Light Integral Impact Growth and Flowering of Five Herbaceous Ornamental Species. J. Am. Soc. Hortic. Sci. 2005, 130, 319–325. [Google Scholar] [CrossRef]
- Whitman, C.; Padhye, S.; Runkle, E.S. A high daily light integral can influence photoperiodic flowering responses in long day herbaceous ornamentals. Sci. Hortic. 2022, 295, 110897. [Google Scholar]
- Wellburn, A.R. The Spectral Determination of Chlorophylls a and b, as well as Total Carotenoids, Using Various Solvents with Spectrophotometers of Different Resolution. J. Plant Physiol. 1994, 144, 307–313. [Google Scholar] [CrossRef]
- Qin, W.; Yamada, R.; Araki, T.; Ogawa, Y. Influence of manufacturing system scale for commercial Japanese green tea (Sencha) production on biochemical characteristics of tea leaf and infusion. J. Food Process Eng. 2022, 46, e14185. [Google Scholar] [CrossRef]
- Donlao, N.; Ogawa, Y. Impacts of processing conditions on digestive recovery of polyphenolic compounds and stability of the antioxidant activity of green tea infusion during in vitro gastrointestinal digestion. LWT—Food Sci. Technol. 2018, 89, 648–656. [Google Scholar] [CrossRef]
- Nguyen, D.T.P.; Lu, N.; Kagawa, N.; Kitayama, M.; Takagaki, M. Short-Term Root-Zone Temperature Treatment Enhanced the Accumulation of Secondary Metabolites of Hydroponic Coriander (Coriandrum sativum L.) Grown in a Plant Factory. Agronomy 2020, 10, 413. [Google Scholar] [CrossRef]
- Treder, J. Effects of supplementary lighting on flowering, plant quality and nutrient requirements of lily ‘Laura Lee’ during winter forcing. J. Am. Soc. Hortic. Sci. 2003, 98, 37–47. [Google Scholar] [CrossRef]
- Park, Y.G.; Jeong, B.R. How Supplementary or Night-Interrupting Low-Intensity Blue Light Affects the Flower Induction in Chrysanthemum, A Qualitative Short-Day Plant. Plants 2020, 9, 1694. [Google Scholar] [CrossRef]
- Lam, V.P.; Choi, J.; Park, J. Enhancing Growth and Glucosinolate Accumulation in Watercress (Nasturtium officinale L.) by Regulating Light Intensity and Photoperiod in Plant Factories. Agriculture 2021, 11, 723. [Google Scholar] [CrossRef]
- Shafiq, I.; Hussain, S.; Raza, M.A.; Iqbal, N.; Asghar, M.A.; Raza, A.; Fan, Y.-F.; Mumtaz, M.; Shoaib, M.; Ansar, M.; et al. Crop photosynthetic response to light quality and light intensity. J. Integr. Agric. 2020, 20, 4–23. [Google Scholar] [CrossRef]
- Elkins, C.; Van Iersel, M.W. Longer Photoperiods with the Same Daily Light Integral Improve Growth of Rudbeckia Seedlings in a Greenhouse. HortScience 2020, 55, 1676–1682. [Google Scholar] [CrossRef]
- Elkins, C.; Van Iersel, M.W. Longer Photoperiods with the Same Daily Light Integral Increase Daily Electron Transport through Photosystem II in Lettuce. Plants 2020, 9, 1172. [Google Scholar] [CrossRef]
- Erwin, J.; Warner, R. Determination of photoperiodic response group and effect of supplemental irradiance on flowering of several bedding plant species. Acta Hortic. 2002, 580, 95–99. [Google Scholar] [CrossRef]
- Carvalho, S.M.; Heuvelink, E.; Harbinson, J.; Van Kooten, O. Role of sink—Source relationships in chrysanthemum flower size and total biomass production. Physiol. Plant. 2006, 128, 263–273. [Google Scholar] [CrossRef]
- Wang, M.; Wang, Z.; Yang, Y.; Zhao, X.; Zhou, H.; Zhou, S.; Yin, X.; Ren, Y.; Dong, H.; Zhang, L.; et al. Influences of elevational gradient on flower size and number of Gentiana lawrencei var. farreri. Ecol. Evol. 2024, 14, e11393. [Google Scholar] [CrossRef] [PubMed]
- Takahashi, S.; Badger, M.R. Photoprotection in plants: A new light on photosystem II damage. Trends. Plant. Sci. 2010, 16, 53–60. [Google Scholar] [CrossRef]
- Xu, W.; Lu, N.; Kikuchi, M.; Takagaki, M. Continuous Lighting and High Daily Light Integral Enhance Yield and Quality of Mass-Produced Nasturtium (Tropaeolum majus L.) in Plant Factories. Plants 2021, 10, 1203. [Google Scholar] [CrossRef] [PubMed]
- Sausserde, R.; Kampuss, K. Composition of Carotenoids in Calendula (Calendula officinalis L.). In Proceedings of the 9th Baltic Conference on Food Science and Technology “Food for Consumer Well-Being”, Jelgava, Latvia, 8–9 May 2014; Straumite, E., Ed.; LLU: Jelgava, Latvia, 2014. [Google Scholar]
- Pratama, A.N.; Grandmottet, F.; Kongbangkerd, A.; Sujipuli, K.; Ratanasut, K. Low-light intensity reprogramed flower pigmentation in Dendrobium Sonia via downregulation of dihydroflavonol 4-reductase and anthocyanidin synthase genes. J. Am. Soc. Hortic. Sci. 2023, 312, 111853. [Google Scholar] [CrossRef]
- Zha, L.; Liu, W.; Zhang, Y.; Zhou, C.; Shao, M. Morphological and Physiological Stress Responses of Lettuce to Different Intensities of Continuous Light. Front. Plant Sci. 2019, 10, 01440. [Google Scholar] [CrossRef]
- Tong, Y.; Yang, Q.; Shimamura, S. Analysis of Electric-Energy Utilization Efficiency in a Plant Factory with Artificial Light for Lettuce Production. Acta Hortic. 2014, 1037, 277–284. [Google Scholar] [CrossRef]
- Energy Regulatory Commission. Available online: https://www.erc.or.th/th/infographics/3050 (accessed on 11 November 2024). (In Thai).
- Zhuang, Y.; Lu, N.; Shimamura, S.; Maruyama, A.; Kikuchi, M.; Takagaki, M. Economies of scale in constructing plant factories with artificial lighting and the economic viability of crop production. Front. Plant Sci. 2022, 13, 992194. [Google Scholar] [CrossRef]











![]() |
Disclaimer/Publisher’s Note: The statements, opinions and data contained in all publications are solely those of the individual author(s) and contributor(s) and not of MDPI and/or the editor(s). MDPI and/or the editor(s) disclaim responsibility for any injury to people or property resulting from any ideas, methods, instructions or products referred to in the content. |
© 2024 by the authors. Licensee MDPI, Basel, Switzerland. This article is an open access article distributed under the terms and conditions of the Creative Commons Attribution (CC BY) license (https://creativecommons.org/licenses/by/4.0/).
Share and Cite
Munyanont, M.; Lu, N.; Rachma, D.F.; Ruangsangaram, T.; Takagaki, M. Lighting Patterns Regulate Flowering and Improve the Energy Use Efficiency of Calendula Cultivated in Plant Factories with Artificial Lighting. Agriculture 2024, 14, 2208. https://doi.org/10.3390/agriculture14122208
Munyanont M, Lu N, Rachma DF, Ruangsangaram T, Takagaki M. Lighting Patterns Regulate Flowering and Improve the Energy Use Efficiency of Calendula Cultivated in Plant Factories with Artificial Lighting. Agriculture. 2024; 14(12):2208. https://doi.org/10.3390/agriculture14122208
Chicago/Turabian StyleMunyanont, Maitree, Na Lu, Dannisa Fathiya Rachma, Thanit Ruangsangaram, and Michiko Takagaki. 2024. "Lighting Patterns Regulate Flowering and Improve the Energy Use Efficiency of Calendula Cultivated in Plant Factories with Artificial Lighting" Agriculture 14, no. 12: 2208. https://doi.org/10.3390/agriculture14122208
APA StyleMunyanont, M., Lu, N., Rachma, D. F., Ruangsangaram, T., & Takagaki, M. (2024). Lighting Patterns Regulate Flowering and Improve the Energy Use Efficiency of Calendula Cultivated in Plant Factories with Artificial Lighting. Agriculture, 14(12), 2208. https://doi.org/10.3390/agriculture14122208


