Effect of Artificial Humic Acids Derived from Municipal Sludge on Plant Growth, Soil Fertility, and Dissolved Organic Matter
Abstract
1. Introduction
2. Materials and Methods
2.1. Materials
2.2. Incubation Experiments
2.3. Determination of Rice Biomass, Heavy Metal Concentration, and Soil Nitrogen Status
2.4. Characterization of DOM in Rhizosphere Zones
2.5. Data Analysis
3. Results
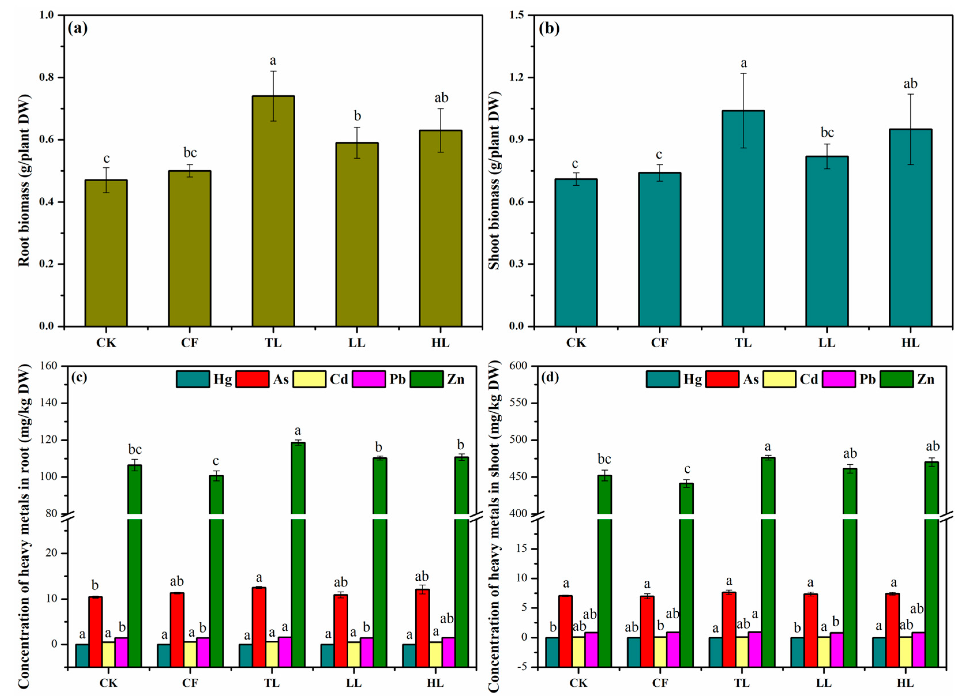
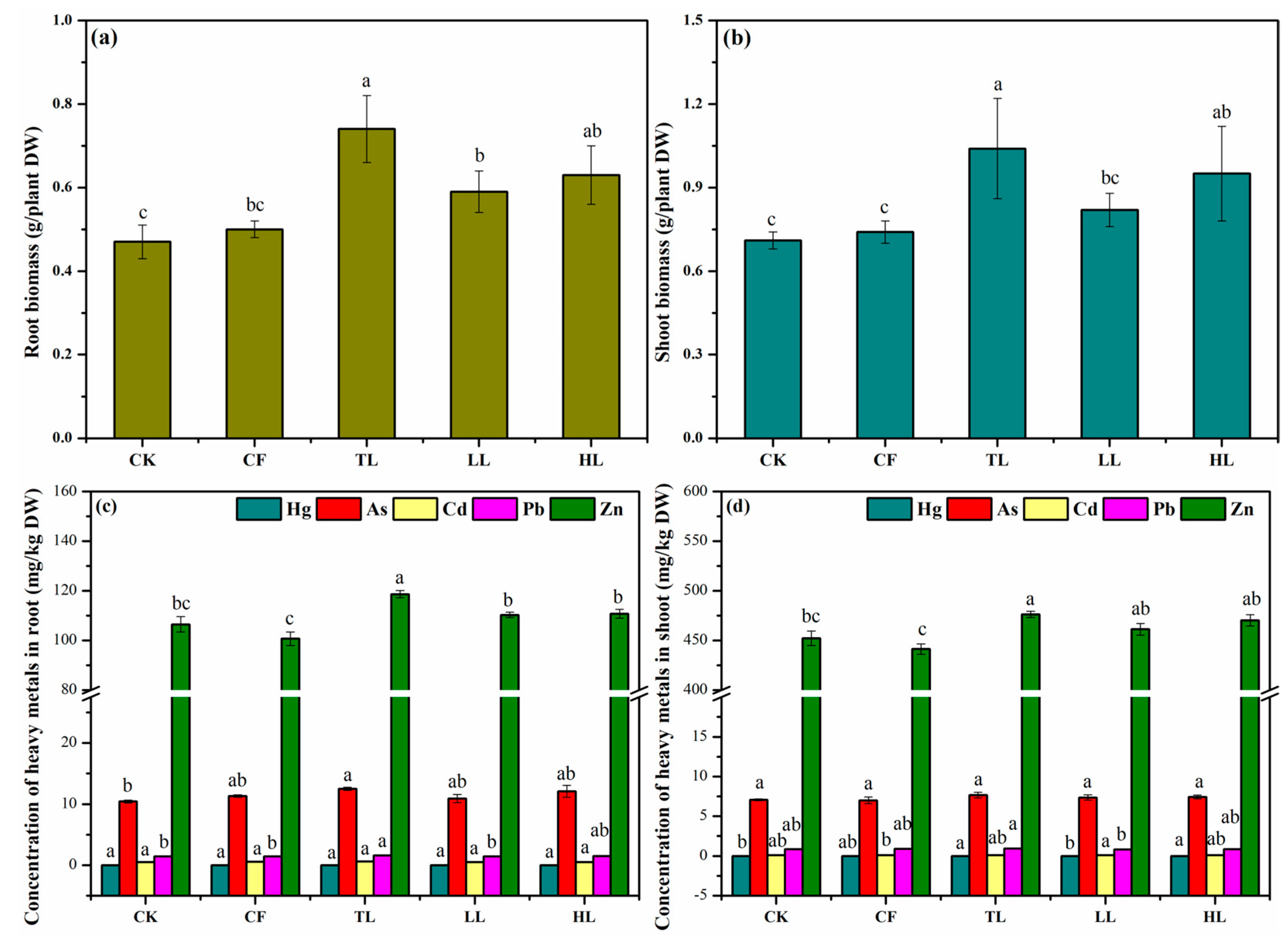
3.1. Changes in the Rice Biomass and Heavy Metal Concentration
3.2. Changes in the Soil Fertility of Rice in Root Zones
3.3. Changes in the DOC of Rhizosphere Zones
3.4. Changes in the DOM Components of Root Zones
3.5. Changes in the DOM Properties of Root Zones
3.6. Correlation Analysis Between Soil Properties and DOM Spectral Properties
4. Discussion
4.1. Effect of Artificial Humic Acids on Biomass, Heavy Metals Accumulation, and Soil Properties
4.2. Effect of Artificial Humic Acids on the Amount of DOM
4.3. Effects of Artificial Humic Acids on Soil DOM Components and Properties
5. Conclusions
Author Contributions
Funding
Institutional Review Board Statement
Data Availability Statement
Conflicts of Interest
References
- Zhou, X.X.; Zhang, B.; Li, L.M. From waste to resource: Assessing the feasibility of municipal sludge as a fertilizer from a soil and microbial perspective. Chem. Eng. J. Adv. 2024, 19, 100630. [Google Scholar] [CrossRef]
- Li, L.Y.; Hua, Y.; Zhao, S.Q.; Yang, D.H.; Chen, S.X.; Song, Q.; Gao, J.Q.; Dai, X.H. Worldwide research progress and trend in sludge treatment and disposal: A bibliometric analysis. ACS EST Eng. 2023, 3, 1083–1097. [Google Scholar] [CrossRef]
- Hoang, S.A.; Bolan, N.; Madhubashani, A.M.P.; Vithanage, M.; Perera, V.; Wijesekara, H.; Wang, H.L.; Srivastava, P.; Kirkham, M.B.; Mickan, B.S.; et al. Treatment processes to eliminate potential environmental hazards and restore agronomic value of sewage sludge: A review. Environ. Pollut. 2022, 293, 118564. [Google Scholar] [CrossRef] [PubMed]
- Badawi, A.K.; Hassan, R. Optimizing sludge extract reuse from physico-chemical processes for zero-waste discharge: A critical review. Desalin. Water Treat. 2024, 319, 100527. [Google Scholar] [CrossRef]
- Sun, H.; Luo, L.; Wang, J.X.; Wang, D.; Huang, R.X.; Ma, C.Y.; Zhu, Y.G.; Liu, Z.G. Speciation evolution of phosphorus and sulfur derived from sewage sludge biochar in soil: Ageing effects. Environ. Sci. Tech. 2022, 56, 6639–6646. [Google Scholar] [CrossRef]
- Seruga, P.; Krzywonos, M.; Paluszak, Z.; Urbanowska, A.; Pawlak-Kruczek, H.; Niedźwiecki, Ł.; Pińkowska, H. Pathogen reduction potential in anaerobic digestion of organic fraction of municipal solid waste and food waste. Molecules 2020, 25, 275. [Google Scholar] [CrossRef]
- Ma, M.S.; Duan, W.Y.; Huang, X.; Zeng, D.J.; Hu, L.S.; Gui, W.J.; Zhu, G.M.; Jiang, J.H. Application of calcium peroxide in promoting resource recovery from municipal sludge: A review. Chemosphere 2024, 354, 141704. [Google Scholar] [CrossRef]
- Yang, F.; Zhang, S.S.; Cheng, K.; Antonietti, M. A hydrothermal process to turn waste biomass into artificial fulvic and humic acids for soil remediation. Sci. Total Environ. 2019, 686, 1140–1151. [Google Scholar] [CrossRef]
- Wang, M.; Li, Y.T.; Peng, H.; Wang, J.L.; Li, Q.C.; Li, P.F.; Fan, J.X.; Liu, S.; Zheng, G.X. Review: Biotic and abiotic approaches to artificial humic acids production. Renew. Sust. Energ. Rev. 2023, 187, 113771. [Google Scholar] [CrossRef]
- Liu, C.H.; Yue, Z.B.; Ma, D.; Li, K.Y.; Xie, Z.L.; Zhang, T.Q.; Wang, J. Effect of hydrothermal carbonization on pyrolysis behavior, nutrients and metal species distribution in municipal sludge. Bioresour. Technol. 2024, 399, 130524. [Google Scholar] [CrossRef]
- Zhao, P.; Huang, Z.B.; Ma, Q.; Zhang, B.L.; Wang, P. Artificial humic acid synthesized from food wastes: An efficient and recyclable adsorbent of Pb (II) and Cd (II) from aqueous solution. Environ. Technol. Innov. 2022, 27, 102399. [Google Scholar] [CrossRef]
- Tiwari, J.; Ramanathan, A.L.; Bauddh, K.; Korstad, J. Humic substances: Structure, function and benefits for agroecosystems—A review. Pedosphere 2023, 33, 237–249. [Google Scholar] [CrossRef]
- Wang, R.X.; Li, D.; Deng, F.; Cao, Z.L.; Zheng, G.X. Production of artificial humic acid from rice straw for fertilizer production and soil improvement. Sci. Total Environ. 2024, 906, 167548. [Google Scholar] [CrossRef] [PubMed]
- Yuan, Y.; Gai, S.; Tang, C.Y.; Jin, Y.X.; Cheng, K.; Antonietti, M.; Yang, F. Artificial humic acid improves maize growth and soil phosphorus utilization efficiency. Appl. Soil Ecol. 2022, 179, 104587. [Google Scholar] [CrossRef]
- Ekin, Z. Integrated use of humic acid and plant growth promoting rhizobacteria to ensure higher potato productivity in sustainable agriculture. Sustainability 2019, 11, 3417. [Google Scholar] [CrossRef]
- Mockeviciene, I.; Repsiene, R.; Amaleviciute-Volunge, K.; Karcauskiene, D.; Slepetiene, A.; Lepane, V. Effect of long-term application of organic fertilizers on improving organic matter quality in acid soil. Arch. Agron. Soil Sci. 2021, 68, 1192–1204. [Google Scholar] [CrossRef]
- Pan, H.W.; Shi, L.L.; Liu, X.; Lei, H.J.; Yu, J.; Yang, G. Characteristics of soil DOM and its effect on the transformation of potentially toxic elements (PTE) forms under organic fertilizer return conditions. Agronomy 2023, 13, 630. [Google Scholar] [CrossRef]
- Wu, Y.; Si, W.; Yan, S.C.; Wu, L.F.; Zhao, W.J.; Zhang, J.L.; Zhang, F.C.; Fan, J.L. Water consumption, soil nitrate-nitrogen residue and fruit yield of drip-irrigated greenhouse tomato under various irrigation levels and fertilization practices. Agric. Water Manag. 2023, 277, 108092. [Google Scholar] [CrossRef]
- Ai, S.; Meng, X.H.; Zhang, Z.X.; Li, R.H.; Teng, W.H.; Cheng, K.; Yang, F. Artificial humic acid regulates the impact of fungal community on soil macroaggregates formation. Chemosphere 2023, 332, 138822. [Google Scholar] [CrossRef]
- Lapierre, J.F.; del Giorgio, P.A. Partial coupling and differential regulation of biologically and photochemically labile dissolved organic carbon across boreal aquatic networks. Biogeosciences 2014, 11, 5969–5985. [Google Scholar] [CrossRef]
- Jutaporn, P.; Muenphukhiaw, N.; Phungsai, P.; Leungprasert, S.; Musikavong, C. Characterization of DBP precursor removal by magnetic ion exchange resin using spectroscopy and high-resolution mass spectrometry. Water Res. 2022, 217, 118435. [Google Scholar] [CrossRef] [PubMed]
- D’Andrilli, J.; Foreman, C.M.; Sigl, M.; Priscu, J.C.; McConnell, J.R. A 21 000-year record of fluorescent organic matter markers in the WAIS Divide ice core. Clim. Past 2017, 13, 533–544. [Google Scholar] [CrossRef]
- Song, Y.G.; Li, M.; Wang, Y.F.; Yang, W.S. Characteristics of dissolved organic matter as affected by decomposition of different organic materials in alpine wetland. Agronomy 2024, 14, 1979. [Google Scholar] [CrossRef]
- Lin, Z.Y.; Lee, K.H.; Lim, J.Y.; Kim, J.H.; Eun, B.J.; Lee, S.J.; Park, J.Y.; Oh, H.S.; Oh, J.M. Revealing spatial-temporal impact of industrial effluent towards DOM in Riverine employing PARAFAC and MW-2D COS. J. Environ. Chem. Eng. 2024, 12, 113412. [Google Scholar] [CrossRef]
- Liu, D.P.; Nie, L.; Xi, B.D.; Gao, H.J.; Yang, F.; Yu, H.B. A novel-approach for identifying sources of fluvial DOM using fluorescence spectroscopy and machine learning model. npj Clean Water 2024, 7, 79. [Google Scholar] [CrossRef]
- Peng, Y.M.; Niu, L.G.; Hu, Y.L.; Huo, C.P.; Shi, J.; Fan, Z.M.; Yan, Y.X.; Zhang, Z.Y.; Wang, X. Long-term effects of nitrogen and phosphorus fertilization on profile distribution and characteristics of dissolved organic matter in fluvo-aquic soil. J. Environ. Manag. 2024, 366, 121834. [Google Scholar] [CrossRef]
- Zhi, Y.C.; Li, X.N.; Wang, X.W.; Jia, M.H.; Wang, Z.Y. Photosynthesis promotion mechanisms of artificial humic acid depend on plant types: A hydroponic study on C3 and C4 plants. Sci. Total Environ. 2024, 917, 170404. [Google Scholar] [CrossRef]
- Ji, R.T.; Dong, G.Q.; Shi, W.M.; Min, J. Effects of liquid organic fertilizers on plant growth and rhizosphere soil characteristics of chrysanthemum. Sustainability 2017, 9, 841. [Google Scholar] [CrossRef]
- Li, X.N.; Zhi, Y.C.; Jia, M.H.; Wang, X.W.; Tao, M.N.; Wang, Z.Y.; Xing, B.S. Properties and photosynthetic promotion mechanisms of artificial humic acid are feedstock-dependent. Carbon Res. 2024, 3, 4. [Google Scholar] [CrossRef]
- Zhao, Y.; Hao, Y.; Cheng, K.; Wang, L.L.; Dong, W.C.; Liu, Z.Q.; Yang, F. Artificial humic acid mediated migration of phosphorus in soil: Experiment and modelling. CATENA 2024, 238, 107896. [Google Scholar] [CrossRef]
- Gai, S.; Liu, B.; Lan, Y.B.; Han, L.; Hu, Y.X.; Dongye, G.H.; Cheng, K.; Liu, Z.Q.; Yang, F. Artificial humic acid coated ferrihydrite strengthens the adsorption of phosphate and increases soil phosphate retention. Sci. Total Environ. 2024, 915, 169870. [Google Scholar] [CrossRef] [PubMed]
- Czerwińska, K.; Wierońska-Wiśniewska, F.; Bytnar, K.; Mikusińska, J.; Śliz, M.; Wilk, M. The effect of an acidic environment during the hydrothermal carbonization of sewage sludge on solid and liquid products: The fate of heavy metals, phosphorus and other compounds. J. Environ. Manag. 2024, 365, 121637. [Google Scholar] [CrossRef] [PubMed]
- Mao, C.P.; Song, Y.X.; Chen, L.X.; Ji, J.F.; Li, J.Z.; Yuan, X.Y.; Yang, Z.F.; Ayoko, G.A.; Frost, R.L.; Theiss, F. Human health risks of heavy metals in paddy rice based on transfer characteristics of heavy metals from soil to rice. CATENA 2019, 175, 339–348. [Google Scholar] [CrossRef]
- Yang, S.Y.; Zhou, Q.H.; Sun, L.J.; Sun, Y.F.; Qin, Q.; Song, K.; Zhu, Z.Y.; Liu, X.M.; Xue, Y. A prospective health risks analysis of regulatory limits for heavy metals in rice from representative organizations and countries worldwide: Are they protective? Sci. Total Environ. 2023, 904, 167130. [Google Scholar] [CrossRef]
- Shao, Y.C.; Bao, M.G.; Huo, W.Z.; Ye, R.; Liu, Y.Q.; Lu, W.J. Production of artificial humic acid from biomass residues by a non-catalytic hydrothermal process. J. Clean. Prod. 2022, 335, 130302. [Google Scholar] [CrossRef]
- Yang, F.; Tang, C.; Antonietti, M. Natural and artificial humic substances to manage minerals, ions, water, and soil microorganisms. Chem. Soc. Rev. 2021, 50, 6221–6239. [Google Scholar] [CrossRef]
- Bei, S.K.; Li, X.; Kuyper, T.W.; Chadwick, D.R.; Zhang, J.L. Nitrogen availability mediates the priming effect of soil organic matter by preferentially altering the straw carbon-assimilating microbial community. Sci. Total Environ. 2022, 815, 152882. [Google Scholar] [CrossRef]
- Jin, Y.X.; Zhang, X.; Yuan, Y.; Lan, Y.B.; Cheng, K.; Yang, F. Synthesis of artificial humic acid-urea complex improves nitrogen utilization. J. Environ. Manag. 2023, 344, 118377. [Google Scholar] [CrossRef]
- Elrys, A.S.; Chen, Z.X.; Wang, J.; Uwiragiye, Y.; Helmy, A.M.; Desoky, E.M.; Cheng, Y.; Zhang, J.B.; Cai, Z.C.; Muller, C. Global patterns of soil gross immobilization of ammonium and nitrate in terrestrial ecosystems. Glob. Chang. Biol. 2022, 28, 4472–4488. [Google Scholar] [CrossRef]
- Wu, L.N.; Jiang, Y.; Zhao, F.Y.; He, X.F.; Liu, H.F.; Yu, K. Increased organic fertilizer application and reduced chemical fertilizer application affect the soil properties and bacterial communities of grape rhizosphere soil. Sci. Rep. 2020, 10, 9568. [Google Scholar] [CrossRef]
- Zhang, X.; Li, H.; La, S.K.; Tian, Y.Q.; Gao, L.H. Biochar addition combined with daily fertigation improves overall soil quality and enhances water-fertilizer productivity of cucumber in alkaline soils of a semi-arid region. Geoderma 2020, 363, 114170. [Google Scholar] [CrossRef]
- Xiong, Q.Z.; Wang, S.J.; Lu, X.W.; Xu, Y.T.; Zhang, L.; Chen, X.H.; Xu, G.; Tian, D.; Zhang, L.G.; Jing, J.Y.; et al. The effective combination of humic acid phosphate fertilizer regulating the form transformation of phosphorus and the chemical and microbial mechanism of its phosphorus availability. Agronomy 2023, 13, 1581. [Google Scholar] [CrossRef]
- Tang, C.Y.; Cheng, K.; Liu, B.L.; Antonietti, M.; Yang, F. Artificial humic acid facilitates biological carbon sequestration under freezing-thawing conditions. Sci. Total Environ. 2022, 849, 157841. [Google Scholar] [CrossRef] [PubMed]
- Yang, F.; Zhang, S.S.; Fu, Q.; Antonietti, M. Conjugation of artificial humic acids with inorganic soil matter to restore land for improved conservation of water and nutrients. Land Degrad. Dev. 2019, 31, 884–893. [Google Scholar] [CrossRef]
- Zhao, X.C.; Tian, P.; Sun, Z.L.; Liu, S.G.; Wang, Q.K.; Zeng, Z.Q. Rhizosphere effects on soil organic carbon processes in terrestrial ecosystems: A meta-analysis. Geoderma 2022, 412, 115739. [Google Scholar] [CrossRef]
- Benitez, M.; Ewing, P.M.; Osborne, S.L.; Lehman, R.M. Rhizosphere microbial communities explain positive effects of diverse crop rotations on maize and soybean performance. Soil Biol. Biochem. 2021, 159, 108309. [Google Scholar] [CrossRef]
- Dong, S.S.; Gong, Y.S.; Zeng, Z.X.; Chen, S.H.; Ye, J.; Wang, Z.Y.; Dionysiou, D.D. Dissolved organic matter promotes photocatalytic degradation of refractory organic pollutants in water by forming hydrogen bonding with photocatalyst. Water Res. 2023, 242, 120297. [Google Scholar] [CrossRef]
- Jia, Y.F.; Liu, Z.G.; Zhou, L.; Liu, X.J.; Ma, K.P.; Feng, X.J. Soil organic carbon sourcing variance in the rhizosphere vs. non-rhizosphere of two mycorrhizal tree species. Soil Biol. Biochem. 2023, 176, 108884. [Google Scholar] [CrossRef]
- Wu, D.M.; Ren, C.Q.; Ren, D.; Tian, Y.J.; Li, Y.P.; Wu, C.Y.; Li, Q.F. New insights into carbon mineralization in tropical paddy soil under land use conversion: Coupled roles of soil microbial community, metabolism, and dissolved organic matter chemodiversity. Geoderma 2023, 432, 116393. [Google Scholar] [CrossRef]
- Polyakov, V.; Abakumov, E.; Lodygin, E.; Vasilevich, R.; Lapidus, A. Distribution of molecular weight of humic substances isolated from soils of tallgrass temperate rainforests (Chernevaya Taiga). Agronomy 2022, 12, 1760. [Google Scholar] [CrossRef]
- Peng, X.X.; Li, R.H.; Tang, C.Y.; Teng, W.H.; Cheng, K.; Liu, Z.Q.; Yang, F. Effects of artificial humic acid on decomposition of returning straw and enhancement of carbon sequestration. Appl. Soil Ecol. 2024, 203, 105619. [Google Scholar] [CrossRef]
- Wang, Y.X.; Liu, X.Y.; Di, H.H.; He, X.S.; Sun, Y.; Xiang, S.; Huang, Z.B. The mechanism of microbial community succession and microbial co-occurrence network in soil with compost application. Sci. Total Environ. 2024, 906, 167409. [Google Scholar] [CrossRef] [PubMed]









| Treatment | Chemical Fertilizer Applied (mg Fertilizer per kg Dry Soil) | Artificial Humic Acids Applied (mL per kg Dry Soil) | Total Nutrients Input (mg Nutrients per kg Dry Soil) | ||||
|---|---|---|---|---|---|---|---|
| CO(NH2)2 | KH2PO4 | KCl | Liquid Volume | N | P2O5 | K2O | |
| CK | 0 | 0 | 0 | 0 | 0 | 0 | 0 |
| CF | 214.1 | 47.9 | 33.2 | 0 | 100 | 25 | 37.5 |
| TL | 0 | 47.9 | 33.2 | 8 | 25.6 | 25 | 37.5 |
| LL | 149.9 | 47.9 | 33.2 | 0.2 | 70 | 25 | 37.5 |
| HL | 149.9 | 47.9 | 33.2 | 0.4 | 70 | 25 | 37.5 |
Disclaimer/Publisher’s Note: The statements, opinions and data contained in all publications are solely those of the individual author(s) and contributor(s) and not of MDPI and/or the editor(s). MDPI and/or the editor(s) disclaim responsibility for any injury to people or property resulting from any ideas, methods, instructions or products referred to in the content. |
© 2024 by the authors. Licensee MDPI, Basel, Switzerland. This article is an open access article distributed under the terms and conditions of the Creative Commons Attribution (CC BY) license (https://creativecommons.org/licenses/by/4.0/).
Share and Cite
Ji, R.; Liu, C.; Xu, Q.; Zhang, Y.; Chen, M.; Zhang, L.; Hu, F. Effect of Artificial Humic Acids Derived from Municipal Sludge on Plant Growth, Soil Fertility, and Dissolved Organic Matter. Agriculture 2024, 14, 1946. https://doi.org/10.3390/agriculture14111946
Ji R, Liu C, Xu Q, Zhang Y, Chen M, Zhang L, Hu F. Effect of Artificial Humic Acids Derived from Municipal Sludge on Plant Growth, Soil Fertility, and Dissolved Organic Matter. Agriculture. 2024; 14(11):1946. https://doi.org/10.3390/agriculture14111946
Chicago/Turabian StyleJi, Rongting, Chenwei Liu, Qiujin Xu, Yue Zhang, Mei Chen, Longjiang Zhang, and Feilong Hu. 2024. "Effect of Artificial Humic Acids Derived from Municipal Sludge on Plant Growth, Soil Fertility, and Dissolved Organic Matter" Agriculture 14, no. 11: 1946. https://doi.org/10.3390/agriculture14111946
APA StyleJi, R., Liu, C., Xu, Q., Zhang, Y., Chen, M., Zhang, L., & Hu, F. (2024). Effect of Artificial Humic Acids Derived from Municipal Sludge on Plant Growth, Soil Fertility, and Dissolved Organic Matter. Agriculture, 14(11), 1946. https://doi.org/10.3390/agriculture14111946

