Unveiling a New Perspective on Cadmium-Induced Hormesis in Soil Enzyme Activity: The Relative Importance of Enzymatic Reaction Kinetics and Microbial Communities
Abstract
1. Introduction
2. Materials and Methods
2.1. Soil Sample Collection and Soil Properties
2.2. Soil Incubation Experiment under Cd Stress
2.2.1. Preincubation
2.2.2. Soil Enzyme Activity Test
2.2.3. Soil Enzyme Kinetics Experiment
2.3. Determination of Soil Enzyme Activity
2.3.1. Urease
2.3.2. Dehydrogenase
2.3.3. Denitrifying Enzyme
2.3.4. Alkaline Phosphatase
2.4. Extraction of DNA and 16s rDNA Sequencing
2.5. Fitting of Kinetic Parameters of Enzymatic Reaction
2.6. Dose–Response Curve Fitting
2.7. Statistical Analysis
3. Results
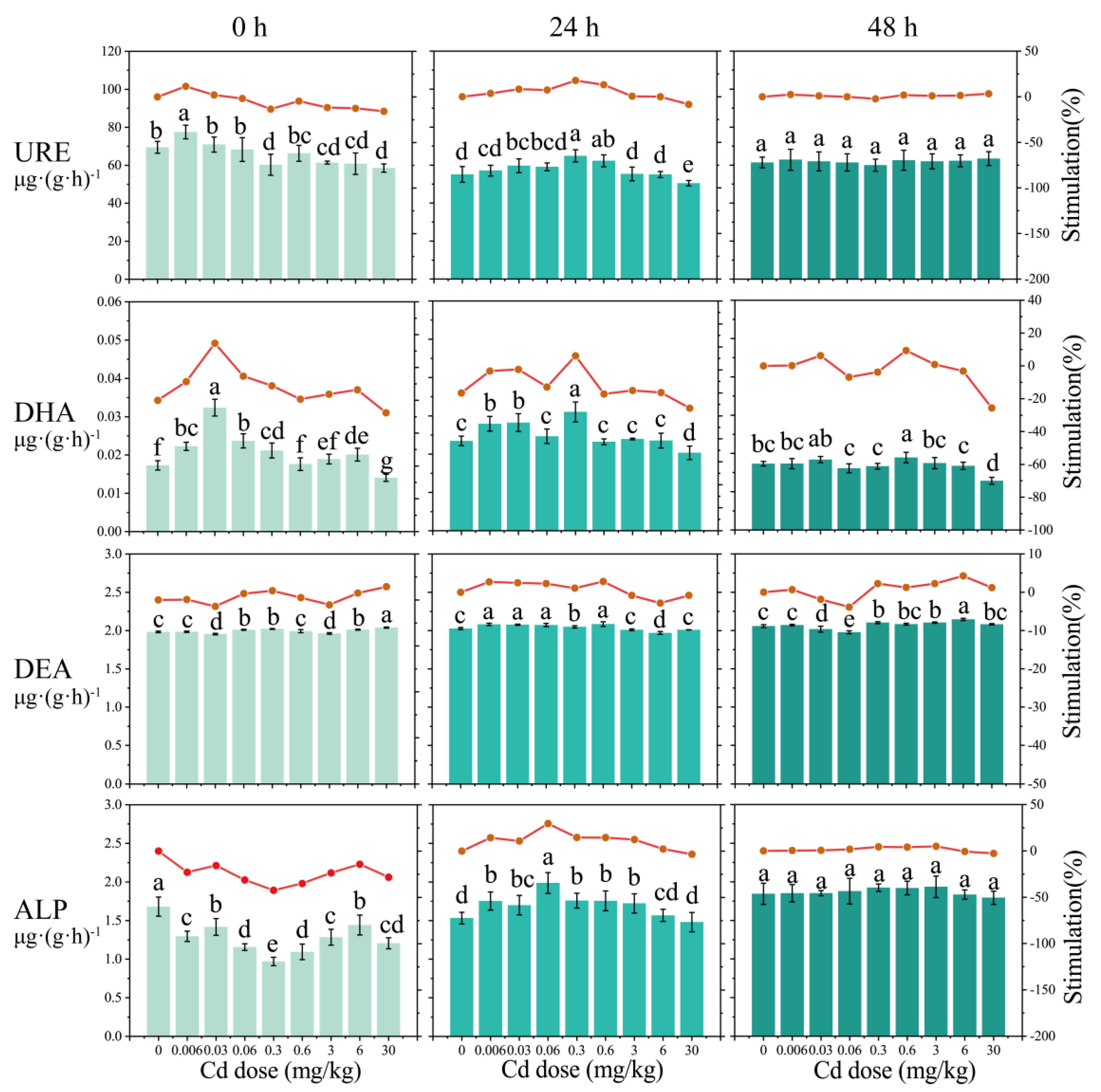
3.1. Responses of Four Soil Enzymes to Exogenous Cd Stress
3.2. Fitting of Soil Hormesis Parameters
3.3. Kinetic Parameters of Enzymatic Reaction of Soil Enzymes
3.4. Soil Bacterial Communities
3.4.1. Abundance Distribution, α-Diversity, and β-Diversity
3.4.2. Relative Abundance of G+ and G− Bacteria
3.4.3. The Relative Abundance of AT and RT Bacteria
4. Discussion
4.1. Cd-Induced Hormesis of Multi-Enzyme System in Soil
4.2. Response of Kinetic Parameters of Enzymatic Reaction
4.3. Responses of Microbial Communities
4.4. A Possible Pathway through Which Low-Dose Cd Affects Enzyme Activities
5. Conclusions
Supplementary Materials
Author Contributions
Funding
Institutional Review Board Statement
Data Availability Statement
Conflicts of Interest
References
- Calabrese, E.J.; Baldwin, L.A. Toxicology rethinks its central belief. Nature 2003, 421, 691–692. [Google Scholar] [CrossRef]
- Kaiser, J. Sipping from a poisoned chalice. Science 2003, 302, 376. [Google Scholar] [CrossRef]
- Renner, R. Redrawing the dose—Response curve. Environ. Sci. Technol. 2004, 38, 90–95. [Google Scholar] [CrossRef] [PubMed]
- Agathokleous, E.; Calabrese, E.J. Environmental toxicology and ecotoxicology: How clean is clean? Rethinking dose-response analysis. Sci. Total Environ. 2020, 746, 138769. [Google Scholar] [CrossRef]
- Wang, Q.; Gu, M.; Ma, X.; Zhang, H.; Wang, Y.; Cui, J.; Gao, W.; Gui, J. Model optimization of cadmium and accumulation in switchgrass (Panicum virgatum L.): Potential use for ecological phytoremediation in Cd-contaminated soils. Environ. Sci. Pollut. Res. 2015, 22, 16758–16771. [Google Scholar] [CrossRef]
- Shahid, M.; Dumat, C.; Khalid, S.; Niazi, N.K.; Antunes, P.M. Cadmium bioavailability, uptake, toxicity and detoxification in soil-plant system. Rev. Environ. Contam. Toxicol. 2017, 241, 73–137. [Google Scholar] [PubMed]
- Kuppusamy, S.; Thavamani, P.; Megharaj, M.; Venkateswarlu, K.; Lee, Y.B.; Naidu, R. Pyrosequencing analysis of bacterial diversity in soils contaminated long-term with PAHs and heavy metals: Implications to bioremediation. J. Hazard. Mater. 2016, 317, 169–179. [Google Scholar] [CrossRef] [PubMed]
- Chen, X.; Wang, X.; Gu, X.; Jiang, Y.; Ji, R. Oxidative stress responses and insights into the sensitivity of the earthworms Metaphire guillelmi and Eisenia fetida to soil cadmium. Sci. Total Environ. 2017, 574, 300–306. [Google Scholar] [CrossRef] [PubMed]
- Calabrese, E.J. Hormesis: A revolution in toxicology, risk assessment and medicine: Re-framing the dose–response relationship. EMBO Rep. 2004, 5, S37–S40. [Google Scholar] [CrossRef]
- Milosevic, L.; Osipitan, O.A.; Scott, J.E.; Knezevic, S.Z. Soybean Tolerance to ultra-low doses of dicamba: Hormesis or not. Crop Prot. 2023, 173, 106356. [Google Scholar] [CrossRef]
- Guo, Z.; Chen, G.Q.; Zeng, G.M.; Huang, Z.Z.; Chen, A.W.; Hu, L.; Wang, J.J.; Jiang, L.B. Cysteine-induced hormesis effect of silver nanoparticles. Toxicol. Res. 2016, 5, 1268–1272. [Google Scholar] [CrossRef] [PubMed]
- Gu, Z.; Xie, Y.; Huang, P.; Ding, T.; Tao, M.; Liu, S. Time-dependent hormetic dose responses of skin care product mixtures to Vibrio qinghaiensis sp.-Q67: Appearance and quantification. Sci. Total Environ. 2023, 904, 166651. [Google Scholar] [CrossRef] [PubMed]
- Siddhu, G.; Sirohi, D.S.; Kashyap, K.; Khan, I.A.; Khan, M. Toxicity of cadmium on the growth and yield of Solanum melongena L. J. Environ. Biol. 2008, 29, 853–857. [Google Scholar]
- Zhang, Y.; Shen, G.; Yu, Y.; Zhu, H. The hormetic effect of cadmium on the activity of antioxidant enzymes in the earthworm Eisenia fetida. Environ. Pollut. 2009, 157, 3064–3068. [Google Scholar] [CrossRef] [PubMed]
- Liu, Z.; Chen, W.; He, X.; Jia, L.; Huang, Y.; Zhang, Y.; Yu, S. Cadmium-Induced Physiological Response in Lonicera japonica Thunb. CLEAN–Soil Air Water 2013, 41, 478–484. [Google Scholar] [CrossRef]
- Jia, L.; Liu, Z.; Chen, W.; Ye, Y.; Yu, S.; He, X. Hormesis effects induced by cadmium on growth and photosynthetic performance in a Hyperaccumulator, Lonicera japonica Thunb. J. Plant Growth Regul. 2015, 34, 13–21. [Google Scholar] [CrossRef]
- Wang, T.J.; Wang, S.L.; Tang, X.C.; Fan, X.P.; Yang, S.; Yao, L.G.; Li, Y.D.; Han, H. Isolation of urease-producing bacteria and their effects on reducing Cd and Pb accumulation in lettuce (Lactuca sativa L.). Environ. Sci. Pollut. Res. 2020, 27, 8707–8718. [Google Scholar] [CrossRef]
- Zhang, Y.; Wu, C.; Deng, S.; Zhang, J.; Hou, J.; Wang, C.; Fu, Z. Effect of different washing solutions on soil enzyme activity and microbial community in agricultural soil severely contaminated with cadmium. Environ. Sci. Pollut. Res. 2022, 29, 54641–54651. [Google Scholar] [CrossRef]
- Gianfreda, L.; Rao, M.A. Potential of extra cellular enzymes in remediation of polluted soils: A review. Enzyme Microb. Technol. 2004, 35, 339–354. [Google Scholar] [CrossRef]
- Xu, H.; Qu, Q.; Chen, Y.; Liu, G.; Xue, S. Responses of soil enzyme activity and soil organic carbon stability over time after cropland abandonment in different vegetation zones of the Loess Plateau of China. Catena 2021, 196, 104812. [Google Scholar] [CrossRef]
- Zhu, J.; Peng, H.; Ji, X.; Li, C.; Li, S. Effects of reduced inorganic fertilization and rice straw recovery on soil enzyme activities and bacterial community in double-rice paddy soils. Eur. J. Soil Biol. 2019, 94, 103–116. [Google Scholar] [CrossRef]
- Fan, D.W.; Han, J.G.; Chen, Y.; Zhu, Y.L.; Li, P.P. Hormetic effects of Cd on alkaline phosphatase in soils across particle-size fractions in a typical coastal wetland. Sci. Total Environ. 2018, 613, 792–797. [Google Scholar] [CrossRef]
- Frederick, O.O.; Iroha, A.E.; Oswald, E.C. Evaluation of the concentration of selected heavy metals and the effects on soil enzymatic activities in an abandoned cement factory Nigercem Nkalagu and its environs. Int. J. Biochem. Res. Rev. 2014, 4, 16–27. [Google Scholar] [CrossRef]
- Tian, H.; Kong, L.; Megharaj, M.; He, W. Contribution of attendant anions on cadmium toxicity to soil enzymes. Chemosphere 2017, 187, 19–26. [Google Scholar] [CrossRef] [PubMed]
- Khan, S.; El-Latif Hesham, A.; Qiao, M.; Rehman, S.; He, J.-Z. Effects of Cd and Pb on soil microbial community structure and activities. Environ. Sci. Pollut. Res. 2010, 17, 288–296. [Google Scholar] [CrossRef] [PubMed]
- Lorenz, N.; Hintemann, T.; Kramarewa, T.; Katayama, A.; Yasuta, T.; Marschner, P.; Kandeler, E. Response of microbial activity and microbial community composition in soils to long-term arsenic and cadmium exposure. Soil Biol. Biochem. 2006, 38, 1430–1437. [Google Scholar] [CrossRef]
- Aponte, H.; Meli, P.; Butler, B.; Paolini, J.; Matus, F.; Merino, C.; Cornejo, P.; Kuzyakov, Y. Meta-analysis of heavy metal effects on soil enzyme activities. Sci. Total Environ. 2020, 737, 139744. [Google Scholar] [CrossRef]
- Wang, J.; Shi, J.; Yang, S.T.; Lv, X.L. Effects of applying accumulator straw in soil on nutrient uptake and soil enzyme activity of capsella bursa-pastoris under Cadmium stress. In Proceedings of the 2015 6th International Conference on Manufacturing Science and Engineering, Guangzhou, China, 28–29 November 2015; pp. 719–723. [Google Scholar]
- Xian, Y.; Wang, M.; Chen, W. Quantitative assessment on soil enzyme activities of heavy metal contaminated soils with various soil properties. Chemosphere 2015, 139, 604–608. [Google Scholar] [CrossRef]
- Liu, S.; Wang, Z.Y.; Niu, J.F.; Dang, K.K.; Zhang, S.K.; Wang, S.Q.; Wang, Z.Z. Changes in physicochemical properties, enzymatic activities, and the microbial community of soil significantly influence the continuous cropping of Panax quinquefolius L. (American ginseng). Plant Soil 2021, 463, 427–446. [Google Scholar] [CrossRef]
- Guo, Q.; Majeed, S.; Xu, R.; Zhang, K.; Kakade, A.; Khan, A.; Hafeez, F.Y.; Mao, C.L.; Liu, P.; Li, X.K. Heavy metals interact with the microbial community and affect biogas production in anaerobic digestion: A review. J. Environ. Manag. 2019, 240, 266–272. [Google Scholar] [CrossRef]
- Zuber, S.M.; Villamil, M.B. Meta-analysis approach to assess effect of tillage on microbial biomass and enzyme activities. Soil Biol. Biochem. 2016, 97, 176–187. [Google Scholar] [CrossRef]
- Kaur, G.; Sharma, R.; Singh, K.; Sharma, P.K. Delineating bacterial community structure of polluted soil samples collected from cancer prone belt of Punjab, India. Biotech 2015, 5, 727–734. [Google Scholar] [CrossRef] [PubMed]
- Mounaouer, B.; Nesrine, A.; Abdennaceur, H. Identification and characterization of heavy metal-resistant bacteria selected from different polluted sources. Desalin. Water Treat. 2014, 52, 7037–7052. [Google Scholar] [CrossRef]
- Jousset, A.; Bienhold, C.; Chatzinotas, A.; Gallien, L.; Gobet, A.; Kurm, V.; Kusel, K.; Rillig, M.C.; Rivett, D.W.; Salles, J.F.; et al. Where less may be more: How the rare biosphere pulls ecosystems strings. ISME J. 2017, 11, 853–862. [Google Scholar] [CrossRef] [PubMed]
- Klimenko, A.I.; Matushkin, Y.G.; Kolchanov, N.A.; Lashin, S.A. Spatial heterogeneity promotes antagonistic evolutionary scenarios in microbial community explained by ecological stratification: A simulation study. Ecol. Model. 2019, 399, 66–76. [Google Scholar] [CrossRef]
- Wu, S.J.; Zhou, Z.J.; Zhu, L.; Zhong, L.M.; Dong, Y.X.; Wang, G.J.; Shi, K.X. Cd immobilization mechanisms in a Pseudomonas strain and its application in soil Cd remediation. J. Hazard. Mater. 2022, 425, 127919. [Google Scholar] [CrossRef] [PubMed]
- Solomon, C.M.; Alexander, J.A.; Glibert, P.M. Measuring urease activity in aquatic environmental samples. Limnol. Oceanogr. Methods 2007, 5, 280–288. [Google Scholar] [CrossRef]
- Januszek, K.; Blonska, E.; Dluga, J.; Socha, J. Dehydrogenase activity of forest soils depends on the assay used. Int. Agrophysics 2015, 29, 47–59. [Google Scholar] [CrossRef]
- Knowles, R. Denitrification. Microbiol. Rev. 1982, 46, 43–70. [Google Scholar] [CrossRef]
- Liu, S.; Wang, X.; Guo, G.; Yan, Z. Status and environmental management of soil mercury pollution in China: A review. J. Environ. Manag. 2021, 277, 111442. [Google Scholar] [CrossRef]
- Fan, D.W.; Sun, J.W.; Liu, C.L.; Wang, S.Y.; Han, J.G.; Agathokleous, E.; Zhu, Y.L. Measurement and modeling of hormesis in soil bacteria and fungi under single and combined treatments of Cd and Pb. Sci. Total Environ. 2021, 783, 147494. [Google Scholar] [CrossRef]
- Zhao, Z.; Ma, Y.; Feng, T.; Kong, X.; Wang, Z.; Zheng, W.; Zhai, B. Assembly processes of abundant and rare microbial communities in orchard soil under a cover crop at different periods. Geoderma 2022, 406, 115543. [Google Scholar] [CrossRef]
- Xu, M.; Huang, Q.; Xiong, Z.; Liao, H.; Lv, Z.; Chen, W.; Luo, X.; Hao, X. Distinct Responses of rare and abundant microbial taxa to in situ chemical stabilization of cadmium-contaminated soil. mSystems 2021, 6, 21. [Google Scholar] [CrossRef]
- Zhang, J.Y.; Tang, Z.; Agathokleous, E.; Zheng, G.L.; Xu, L.; Li, P. Hormesis in the heavy metal accumulator plant Tillandsia ionantha under Cd exposure: Frequency and function of different biomarkers. Sci. Total Environ. 2023, 889, 164328. [Google Scholar] [CrossRef]
- Tao, M.T.; Liu, S.S.; Gu, Z.W.; Ding, T.T.; Huang, P. Beneficial or harmful: Time-dependent hormesis induced by typical disinfectants and their mixtures with toxicological interaction. Sci. Total Environ. 2023, 904, 167204. [Google Scholar] [CrossRef] [PubMed]
- Cao, X.; Chen, Q.; Xu, L.; Zhao, R.; Li, T.; Ci, L. The intrinsic and extrinsic mechanisms regulated by functional carbon nanodots for the phytoremediation of multi-metal pollution in soils. J. Hazard. Mater. 2024, 462, 132646. [Google Scholar] [CrossRef]
- Zhang, C.; Li, H.; Yang, Y.; Zhou, X.; Zhuang, D.; Liu, W.; Wang, K.; Wang, P.; Zhang, W.; Bai, Y.; et al. Induced mechanism of phosphatase hormesis by Cd ions and rhizosphere metabolites of Trifolium repens L. Chemosphere 2023, 344, 140219. [Google Scholar] [CrossRef]
- Calabrese, E.J.; Baldwin, L.A. Defining hormesis. Hum. Exp. Toxicol. 2002, 21, 91–97. [Google Scholar] [CrossRef] [PubMed]
- Calabrese, E.J.; Agathokleous, E.; Kozumbo, W.J.; Stanek, E.J.; Leonard, D. Estimating the range of the maximum hormetic stimulatory response. Environ. Res. 2019, 170, 337–343. [Google Scholar] [CrossRef]
- Zhu, Y.; Liu, C.; You, Y.; Liu, J.; Guo, Y.; Han, J. Magnitude of the mixture hormetic response of soil alkaline phosphatase can be predicted based on single conditions of Cd and Pb. Ecotoxicology 2019, 28, 790–800. [Google Scholar]
- Tan, X.P.; Liu, Y.J.; Yan, K.H.; Wang, Z.Q.; Lu, G.N.; He, Y.K.; He, W.X. Differences in the response of soil dehydrogenase activity to Cd contamination are determined by the different substrates used for its determination. Chemosphere 2017, 169, 324–332. [Google Scholar] [CrossRef] [PubMed]
- Wang, S.Y.; Huang, B.; Fan, D.W.; Agathokleous, E.; Guo, Y.H.; Zhu, Y.L.; Han, J.G. Hormetic responses of soil microbiota to exogenous Cd: A step toward linking community-level hormesis to ecological risk assessment. J. Hazard. Mater. 2021, 416, 125760. [Google Scholar] [CrossRef] [PubMed]
- Guo, Y.H.; Sun, Y.; Fan, D.W.; Wang, S.Y.; Agathokleous, E.; Zhu, Y.L.; Han, J.G. New insights into the role of soil properties in driving cadmium-induced hormesis in soil alkaline phosphatase under vegetation cover change. Sci. Total Environ. 2023, 892, 164798. [Google Scholar] [CrossRef] [PubMed]
- Liu, N.; Liao, P.; Zhang, J.; Zhou, Y.; Luo, L.; Huang, H.; Zhang, L. Characteristics of denitrification genes and relevant enzyme activities in heavy-metal polluted soils remediated by biochar and compost. Sci. Total Environ. 2020, 739, 139987. [Google Scholar] [PubMed]
- Holtan-Hartwig, L.; Bechmann, M.; Hoyas, T.R.; Linjordet, R.; Bakken, L.R. Heavy metals tolerance of soil denitrifying communities: N2O dynamics. Soil Biol. Biochem. 2002, 34, 1181–1190. [Google Scholar] [CrossRef]
- Wang, Z.; Wang, H.; Wang, H.; Li, Q.; Li, Y. Effect of soil washing on heavy metal removal and soil quality: A two-sided coin. Ecotoxicol. Environ. Saf. 2020, 203, 110981. [Google Scholar] [CrossRef]
- Schnell, S.; Maini, P.K. A century of enzyme kinetics. Should we believe in the Km and vmax estimates? Comments Theor. Biol. 2003, 8, 169–187. [Google Scholar]
- Allison, S.D.; Romero-Olivares, A.L.; Lu, Y.; Taylor, J.W.; Treseder, K.K. Temperature sensitivities of extracellular enzyme Vmax and Km across thermal environments. Glob. Chang. Biol. 2018, 24, 2884–2897. [Google Scholar] [CrossRef] [PubMed]
- Li, W.L.; Fishman, A.; Achal, V. Whole cell evaluation and the enzymatic kinetic study of urease from ureolytic bacteria affected by potentially toxic elements. Microbiol. Res. 2022, 265, 127208. [Google Scholar] [CrossRef]
- Witkowska, D.; Slowik, J.; Chilicka, K. Heavy Metals and Human Health: Possible Exposure Pathways and the Competition for Protein Binding Sites. Molecules 2021, 26, 6060. [Google Scholar] [CrossRef]
- Xia, D.; Lin, L.J.; Li, X.X.; Liao, M.A. Effects of grape seedlings intercropping with bidens species on soil organic matter and soil enzyme activity under cadmium stress. In Proceedings of the Advances in Engineering Research, Shenzhen, China, 25–26 November 2017; pp. 2148–2151. [Google Scholar]
- Wang, Z.; Tian, H.; Lei, M.; Megharaj, M.; Tan, X.; Wang, F.; Jia, H.; He, W. Soil enzyme kinetics indicate ecotoxicity of long-term arsenic pollution in the soil at field scale. Ecotoxicol. Environ. Saf. 2020, 191, 110215. [Google Scholar] [CrossRef] [PubMed]
- Tian, P.; Razavi, B.S.; Zhang, X.; Wang, Q.; Blagodatskaya, E. Microbial growth and enzyme kinetics in rhizosphere hotspots are modulated by soil organics and nutrient availability. Soil Biol. Biochem. 2020, 141, 107662. [Google Scholar] [CrossRef]
- Pan, J.; Yu, L. Effects of Cd or/and Pb on soil enzyme activities and microbial community structure. Ecol. Eng. 2011, 37, 1889–1894. [Google Scholar] [CrossRef]
- Sheik, C.S.; Mitchell, T.W.; Rizvi, F.Z.; Rehman, Y.; Faisal, M.; Hasnain, S.; McInerney, M.J.; Krumholz, L.R. Exposure of soil microbial communities to chromium and arsenic alters their diversity and structure. PLoS ONE 2012, 7, e40059. [Google Scholar] [CrossRef] [PubMed]
- Tipayno, S.C.; Truu, J.; Samaddar, S.; Truu, M.; Preem, J.K.; Oopkaup, K.; Espenberg, M.; Chatterjee, P.; Kang, Y.; Kim, K. The bacterial community structure and functional profile in the heavy metal contaminated paddy soils, surrounding a nonferrous smelter in South Korea. Ecol. Evol. 2018, 8, 6157–6168. [Google Scholar] [CrossRef] [PubMed]
- Pascoal, F.; Magalhaes, C.; Costa, R. The Link Between the Ecology of the Prokaryotic Rare Biosphere and Its Biotechnological Potential. Front. Microbiol. 2020, 11, 231. [Google Scholar] [CrossRef] [PubMed]
- Wei, X.; Hu, Y.; Razavi, B.S.; Zhou, J.; Shen, J.; Nannipieri, P.; Wu, J.; Ge, T. Rare taxa of alkaline phosphomonoesterase-harboring microorganisms mediate soil phosphorus mineralization. Soil Biol. Biochem. 2019, 131, 62–70. [Google Scholar] [CrossRef]
- Gao, C.X.; Zhu, Y.; Xiao, X.; Liu, R.; Zhu, X.S.; Zhao, Y. Rare soil species impact the rhizosphere bacterial communities and cadmium uptake by Lolium multiflorum Lam. Plant Soil. 2022, 473, 337–350. [Google Scholar] [CrossRef]
- Xun, W.; Huang, T.; Zhao, J.; Ran, W.; Wang, B.; Shen, Q.; Zhang, R. Environmental conditions rather than microbial inoculum composition determine the bacterial composition, microbial biomass and enzymatic activity of reconstructed soil microbial communities. Soil Biol. Biochem. 2015, 90, 10–18. [Google Scholar] [CrossRef]
- Li, X.; Meng, D.; Li, J.; Yin, H.; Liu, H.; Liu, X.; Cheng, C.; Xiao, Y.; Liu, Z.; Yan, M. Response of soil microbial communities and microbial interactions to long-term heavy metal contamination. Environ. Pollut. 2017, 231, 908–917. [Google Scholar] [CrossRef]
- Fan, D.W.; Wang, S.Y.; Guo, Y.H.; Liu, J.; Agathokleous, E.; Zhu, Y.L.; Han, J.G. The role of bacterial communities in shaping Cd-induced hormesis in ‘living’ soil as a function of land-use change. J. Hazard. Mater. 2021, 409, 124996. [Google Scholar] [CrossRef] [PubMed]
- Fan, D.; Wang, S.; Guo, Y.; Zhu, Y.; Han, J. Cd induced biphasic response in soil alkaline phosphatase and changed soil bacterial community composition: The role of background Cd contamination and time as additional factors. Sci. Total Environ. 2021, 757, 143771. [Google Scholar] [CrossRef] [PubMed]
- Han, J.; Wang, S.; Fan, D.; Guo, Y.; Liu, C.; Zhu, Y. Time-dependent hormetic response of soil alkaline phosphatase induced by Cd and the association with bacterial community composition. Microb. Ecol. 2019, 78, 961–973. [Google Scholar] [CrossRef] [PubMed]
- Guo, Y.; Li, X.; Fan, D.; Xue, J.; Han, J.; Zhu, Y. Lysobacter may drive the hormetic effects of Pb on soil alkaline phosphatase. Environ. Sci. Pollut. Res. 2020, 27, 17779–17788. [Google Scholar] [CrossRef] [PubMed]
- Fan, D.; Jing, Y.; Zhu, Y.; Ahmad, S.; Han, J. Toluene induces hormetic response of soil alkaline phosphatase and the potential enzyme kinetic mechanism. Ecotox. Environ. Saf. 2020, 206, 111123. [Google Scholar] [CrossRef] [PubMed]
- Yin, J.; Fan, D.W.; Xu, S.; Han, J.G.; Zhu, Y.L.; Xue, J.H. Hormetic effects of Cr3+, Pb2+ and Cd2+ on nitrate reductase in soils in Chongming Dongtan wetlands. J. NJFU. Nat. 2016, 59, 21–26. [Google Scholar]
- Fan, D.W.; Tang, Y.F.; Chen, Y.; Dou, L.S.; Zhu, Y.L.; Han, J.G. Hormetic Effects of Cd2+ and Pb2+ on the Activity of Urease in Soils of Dongtan Wetlands in Chongming Island. Wetl. Sci. 2016, 14, 421–427. [Google Scholar]
- Zhu, S.M.; Dong, Y.Y.; Sha, Z.X.; Fang, Z.; Zou, X.J. Effect of Macrolide Antibiotics on the Urease Activity and Photobacterium phosphoreum. Asian J. Ecotox. 2020, 15, 116–122. [Google Scholar]
- Nweke, C.O.; Ahumibe, N.C.; Orji, J.C. Toxicity of binary mixtures of formulated glyphosate and phenols to Rhizobium species dehydrogenase activity. J. Microbiol. Res. 2014, 4, 161–169. [Google Scholar]
- Zhang, Y.; Yang, S.; Yang, J.; Wu, Z.; Liu, H.; Nie, Z.; Qu, J.; Hu, Y.; Shao, Y.; Liu, J. Temporal hormetic response of soil microbes to cadmium: A metagenomic perspective. Sci. Total Environ. 2023, 891, 164190. [Google Scholar] [CrossRef]





| pH | EC ms·cm−1 | SOC g·kg−1 | DOC mg·L−1 | TN g·kg−1 | NH4+-N mg·kg−1 | NO3−-N mg·kg−1 |
|---|---|---|---|---|---|---|
| 7.95 ± 0.05 | 245 ± 18 | 13.62 ± 1.11 | 14.75 ± 1.05 | 1.31 ± 0.05 | 6.99 ± 1.15 | 3.44 ± 0.84 |
| Time (h) | Cd (mg·kg−1) | URE | DHA | DEA | ALP | ||||
|---|---|---|---|---|---|---|---|---|---|
| Vmax μg·g−1·h−1 | Km μg·mL−1 | Vmax μg·g−1·h−1 | Km μg·mL−1 | Vmax μg·g−1·h−1 | Km μg·mL−1 | Vmax μg·g−1·h−1 | Km μg·mL−1 | ||
| 0 | 0 | 73 ± 6 | 0.006 ± 0.0002 | 0.0191 ± 0.0012 | 0.000038 ± 0.000002 | 11.4 ± 0.8 | 631 ± 29 | 250 ± 8 | 2225 ± 105 |
| 0.03 | 105 ± 10 | 0.032 ± 0.0013 | 0.0205 ± 0.0017 | 0.000062 ± 0.000003 | 6.5 ± 0.5 | 387 ± 9 | 167 ± 3 | 1415 ± 45 | |
| 0.3 | 104 ± 10 | 0.01 ± 0.0002 | 0.0212 ± 0.0012 | 0.00017 ± 0.000003 | 4.9 ± 0.3 | 336 ± 8 | 333 ± 3 | 2883 ± 70 | |
| 3 | 60 ± 3 | 0.006 ± 0.0018 | 0.0199 ± 0.0018 | 0.00016 ± 0.000005 | 3.6 ± 0.3 | 276 ± 12 | 50 ± 4 | 436 ± 15 | |
| 30 | 79 ± 3 | 0.024 ± 0.0011 | 0.0182 ± 0.0011 | 0.00027 ± 0.000005 | 5.2 ± 0.4 | 345 ± 11 | 16 ± 1 | 140 ± 6 | |
| 0 | 67 ± 6 | 0.0026 ± 0.0016 | 0.0313 ± 0.0016 | 0.00066 ± 0.000012 | 4.7 ± 0.3 | 334 ± 8 | 7.3 ± 0.4 | 39 ± 1 | |
| 0.03 | 71 ± 5 | 0.0035 ± 0.0002 | 0.0303 ± 0.0022 | 0.00018 ± 0.000003 | 5.5 ± 0.5 | 375 ± 12 | 10.4 ± 0.8 | 63 ± 3 | |
| 24 | 0.3 | 125 ± 7 | 0.05 ± 0.0024 | 0.03 ± 0.0024 | 0.00027 ± 0.000012 | 6.8 ± 0.5 | 435 ± 17 | 12.8 ± 0.9 | 82 ± 2 |
| 3 | 91 ± 7 | 0.0182 ± 0.0022 | 0.0282 ± 0.0022 | 0.00017 ± 0.000007 | 6 ± 0.5 | 386 ± 12 | 10.5 ± 0.8 | 66 ± 2 | |
| 30 | 71 ± 5 | 0.0143 ± 0.0025 | 0.028 ± 0.0025 | 0.00025 ± 0.000003 | 4.4 ± 0.4 | 324 ± 11 | 6.6 ± 0.4 | 41 ± 1 | |
| 0 | 114 ± 7 | 0.011 ± 0.0020 | 0.0276 ± 0.0019 | 0.00077 ± 0.000012 | 4.7 ± 0.3 | 213 ± 4 | 12.7 ± 0.7 | 90 ± 2 | |
| 0.03 | 104 ± 6 | 0.01 ± 0.0003 | 0.031 ± 0.0030 | 0.00108 ± 0.000025 | 5.5 ± 0.4 | 233 ± 11 | 22.2 ± 1.7 | 166 ± 3 | |
| 48 | 0.3 | 94 ± 6 | 0.003 ± 0.0018 | 0.0344 ± 0.0018 | 0.00145 ± 0.000042 | 6.8 ± 0.5 | 417 ± 12 | 55.6 ± 5.5 | 446 ± 21 |
| 3 | 98 ± 10 | 0.008 ± 0.0018 | 0.0311 ± 0.0018 | 0.00112 ± 0.000024 | 6 ± 0.4 | 182 ± 9 | 66.7 ± 6.5 | 559 ± 27 | |
| 30 | 75 ± 4 | 0.002 ± 0.0026 | 0.0274 ± 0.0026 | 0.00142 ± 0.000032 | 4.4 ± 0.3 | 204 ± 8 | 22.2 ± 2.0 | 183 ± 9 |
Disclaimer/Publisher’s Note: The statements, opinions and data contained in all publications are solely those of the individual author(s) and contributor(s) and not of MDPI and/or the editor(s). MDPI and/or the editor(s) disclaim responsibility for any injury to people or property resulting from any ideas, methods, instructions or products referred to in the content. |
© 2024 by the authors. Licensee MDPI, Basel, Switzerland. This article is an open access article distributed under the terms and conditions of the Creative Commons Attribution (CC BY) license (https://creativecommons.org/licenses/by/4.0/).
Share and Cite
Wu, J.; Wu, Z.; Agathokleous, E.; Zhu, Y.; Fan, D.; Han, J. Unveiling a New Perspective on Cadmium-Induced Hormesis in Soil Enzyme Activity: The Relative Importance of Enzymatic Reaction Kinetics and Microbial Communities. Agriculture 2024, 14, 904. https://doi.org/10.3390/agriculture14060904
Wu J, Wu Z, Agathokleous E, Zhu Y, Fan D, Han J. Unveiling a New Perspective on Cadmium-Induced Hormesis in Soil Enzyme Activity: The Relative Importance of Enzymatic Reaction Kinetics and Microbial Communities. Agriculture. 2024; 14(6):904. https://doi.org/10.3390/agriculture14060904
Chicago/Turabian StyleWu, Junyang, Zhongwei Wu, Evgenios Agathokleous, Yongli Zhu, Diwu Fan, and Jiangang Han. 2024. "Unveiling a New Perspective on Cadmium-Induced Hormesis in Soil Enzyme Activity: The Relative Importance of Enzymatic Reaction Kinetics and Microbial Communities" Agriculture 14, no. 6: 904. https://doi.org/10.3390/agriculture14060904
APA StyleWu, J., Wu, Z., Agathokleous, E., Zhu, Y., Fan, D., & Han, J. (2024). Unveiling a New Perspective on Cadmium-Induced Hormesis in Soil Enzyme Activity: The Relative Importance of Enzymatic Reaction Kinetics and Microbial Communities. Agriculture, 14(6), 904. https://doi.org/10.3390/agriculture14060904

