Effect of Fertilization on Methane and Nitrous Oxide Emissions and Global Warming Potential on Agricultural Land in China: A Meta-Analysis
Abstract
:1. Introduction
2. Materials and Methods
2.1. Data Sources
2.2. Data Collection
2.3. Data Analysis
2.3.1. Response Ratio of CH4 and N2O Emissions and GGWP
2.3.2. Emission Factor of N2O
2.3.3. Redundancy Analysis
2.3.4. Meta-Analysis
2.3.5. Machine Learning Model
2.3.6. Sensitivity Analysis
3. Results
3.1. Effects of Fertilization on N2O and CH4 Emissions, N2O Emission Factors, and GGWP
3.2. Relationship between Response Ratios and Explanatory Variables
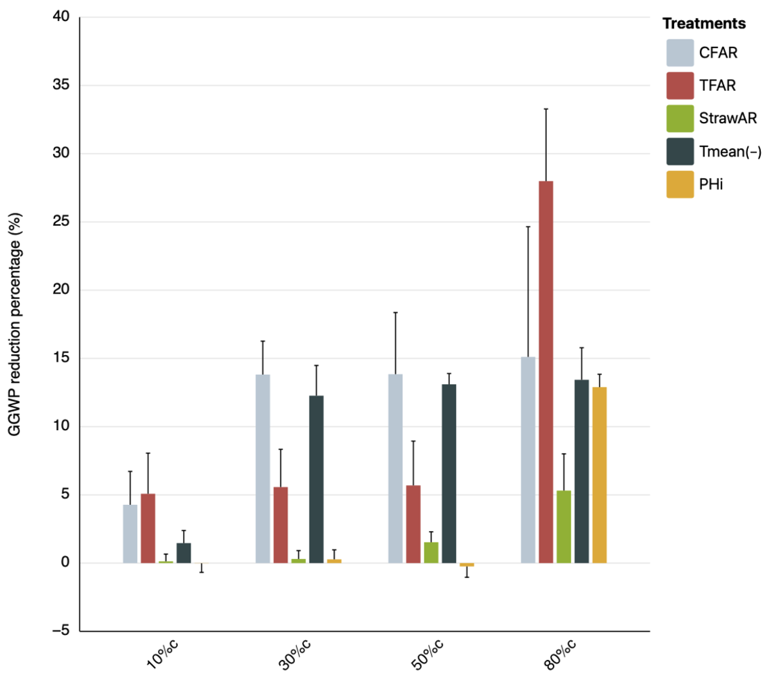
3.3. Estimates of Mitigation Potential
4. Discussion
4.1. N2O Emission Factor
4.2. Factors Affecting N2O and CH4 Emissions and GGWP under Fertilization
4.3. Alternative Management Practices to Reduce GHG Emissions and GGWP under Fertilization
4.4. Limitations
5. Conclusions
Supplementary Materials
Author Contributions
Funding
Data Availability Statement
Acknowledgments
Conflicts of Interest
References
- Tian, H.; Xu, R.; Canadell, J.G.; Thompson, R.L.; Winiwarter, W.; Suntharalingam, P.; Davidson, E.A.; Ciais, P.; Jackson, R.B.; Janssens-Maenhout, G. A comprehensive quantification of global nitrous oxide sources and sinks. Nature 2020, 586, 248–256. [Google Scholar] [CrossRef] [PubMed]
- Trenberth, K.E. Stronger evidence of human influences on climate—The IPCC assessment. Environment 2001, 43, 8–19. [Google Scholar]
- Xiang, Q.; Chen, Q.-L.; Zhu, D.; Yang, X.-R.; Qiao, M.; Hu, H.-W.; Zhu, Y.-G. Microbial functional traits in phyllosphere are more sensitive to anthropogenic disturbance than in soil. Environ. Pollut. 2020, 265, 114954. [Google Scholar] [CrossRef] [PubMed]
- Norse, D. Non-point pollution from crop production: Global, regional and national issues. Pedosphere 2005, 15, 499–508. [Google Scholar]
- Bouwman, L.A.; Hoenderboom, G.H.J.; Van der Maas, K.J.; De Ruiter, P.C. Effects of nematophagous fungi on numbers and death rates of bacterivorous nematodes in arable soil. J. Nematol. 1996, 28, 26. [Google Scholar] [PubMed]
- Chen, X.; Cui, Z.; Fan, M.; Vitousek, P.; Zhao, M.; Ma, W.; Wang, Z.; Zhang, W.; Yan, X.; Yang, J.; et al. Producing more grain with lower environmental costs. Nature 2014, 514, 486–489. [Google Scholar] [CrossRef] [PubMed]
- Gao, B.; Ju, X.; Su, F.; Meng, Q.; Oenema, O.; Christie, P.; Zhang, F. Nitrous oxide and methane emissions from optimized and alternative cereal cropping systems on the North China Plain: A two-year field study. Sci. Total Environ. 2014, 472, 112–124. [Google Scholar] [CrossRef]
- Meng, L.; Ding, W.; Cai, Z. Long-term application of organic manure and nitrogen fertilizer on N2O emissions, soil quality and crop production in a sandy loam soil. Soil Biol. Biochem. 2005, 37, 2037–2045. [Google Scholar] [CrossRef]
- Zou, J.; Huang, Y.; Jiang, J.; Zheng, X.; Sass, R.L. A 3-year field measurement of methane and nitrous oxide emissions from rice paddies in China: Effects of water regime, crop residue, and fertilizer application. Glob. Biogeochem. Cycles 2005, 19. [Google Scholar] [CrossRef]
- Zhang, Y.; Mu, Y.; Zhou, Y.; Liu, J.; Zhang, C. Nitrous oxide emissions from maize-wheat field during 4 successive years in the North China Plain. Biogeosciences 2014, 11, 1717–1726. [Google Scholar] [CrossRef]
- Cai, Z.; Xing, G.; Yan, X.; Xu, H.; Tsuruta, H.; Yagi, K.; Minami, K. Methane and nitrous oxide emissions from rice paddy fields as affected by nitrogen fertilizers and water management. Plant Soil 1997, 196, 7–14. [Google Scholar] [CrossRef]
- Shang, Z.; Abdalla, M.; Xia, L.; Zhou, F.; Sun, W.; Smith, P. Can cropland management practices lower net greenhouse emissions without compromising yield? Glob. Chang. Biol. 2021, 27, 4657–4670. [Google Scholar] [CrossRef] [PubMed]
- Venterea, R.T.; Burger, M.; Spokas, K.A. Nitrogen oxide and methane emissions under varying tillage and fertilizer management. J. Environ. Qual. 2005, 34, 1467–1477. [Google Scholar] [CrossRef] [PubMed]
- Mosier, A.R.; Halvorson, A.D.; Reule, C.A.; Liu, X.J. Net global warming potential and greenhouse gas intensity in irrigated cropping systems in northeastern Colorado. J. Environ. Qual. 2006, 35, 1584–1598. [Google Scholar] [CrossRef] [PubMed]
- Cai, Y.; Ding, W.; Luo, J. Nitrous oxide emissions from Chinese maize-wheat rotation systems: A 3-year field measurement. Atmos. Environ. 2013, 65, 112–122. [Google Scholar] [CrossRef]
- Ju, X.; Lu, X.; Gao, Z.; Chen, X.; Su, F.; Kogge, M.; Römheld, V.; Christie, P.; Zhang, F. Processes and factors controlling N2O production in an intensively managed low carbon calcareous soil under sub-humid monsoon conditions. Environ. Pollut. 2011, 159, 1007–1016. [Google Scholar] [CrossRef]
- Tian, S.; Wang, Y.; Ning, T.; Zhao, H.; Wang, B.; Li, N.; Li, Z.; Chi, S. Greenhouse gas flux and crop productivity after 10 years of reduced and no tillage in a wheat-maize cropping system. PLoS ONE 2013, 8, e73450. [Google Scholar] [CrossRef]
- Zhang, Y.; Sheng, J.; Wang, Z.; Chen, L.; Zheng, J. Nitrous oxide and methane emissions from a Chinese wheat-rice cropping system under different tillage practices during the wheat-growing season. Soil Tillage Res. 2015, 146, 261–269. [Google Scholar] [CrossRef]
- Liang, D.; Lu, X.; Zhuang, M.; Shi, G.; Hu, C.; Wang, S.; Hao, J. China’s greenhouse gas emissions for cropping systems from 1978–2016. Sci. Data 2021, 8, 171. [Google Scholar] [CrossRef]
- The World Bank. World Development Indicators, 2021, Fertilizer Consumption. Available online: https://data.worldbank.org/indicator/AG.CON.FERT.ZS (accessed on 1 November 2023).
- Liu, X.J.; Zhang, F.S. Nitrogen fertilizer induced greenhouse gas emissions in China. Curr. Opin. Environ. Sustain. 2011, 3, 407–413. [Google Scholar]
- Banger, K.; Tian, H.Q.; Lu, C.Q. Do nitrogen fertilizers stimulate or inhibit methane emissions from rice fields? Glob. Chang. Biol. 2012, 18, 3259–3267. [Google Scholar] [CrossRef]
- Linquist, B.A.; Adviento-Borbe, M.A.; Pittelkow, C.M.; van Kessel, C.; van Groenigen, K.J. Fertilizer management practices and greenhouse gas emissions from rice systems: A quantitative review and analysis. Field Crops Res. 2012, 135, 10–21. [Google Scholar] [CrossRef]
- Sun, B.; Zhao, H.; Lv, Y.; Lu, F.; Wang, X. The effects of nitrogen fertilizer application on methane and nitrous oxide emission/uptake in Chinese croplands. J. Integr. Agric. 2016, 15, 440–450. [Google Scholar] [CrossRef]
- Guo, C.X.; Liu, X. He A global meta-analysis of crop yield and agricultural greenhouse gas emissions under nitrogen fertilizer application. Sci. Total Environ. 2022, 831, 154982. [Google Scholar] [CrossRef]
- Yang, B.; Xiong, Z.; Wang, J.; Xu, X.; Huang, Q.; Shen, Q. Mitigating net global warming potential and greenhouse gas intensities by substituting chemical nitrogen fertilizers with organic fertilization strategies in rice-wheat annual rotation systems in China: A 3-year field experiment. Ecol. Eng. 2015, 81, 289–297. [Google Scholar] [CrossRef]
- Qiao, Y.; Miao, S.; Han, X.; You, M.; Zhu, X.; Horwath, W.R. The effect of fertilizer practices on N balance and global warming potential of maize-soybean-wheat rotations in Northeastern China. Field Crops Res. 2014, 161, 98–106. [Google Scholar] [CrossRef]
- Ma, Y.C.; Kong, X.W.; Yang, B.; Zhang, X.L.; Yan, X.Y.; Yang, J.C.; Xiong, Z.Q. Net global warming potential and greenhouse gas intensity of annual rice-wheat rotations with integrated soil-crop system management. Agric. Ecosyst. Environ. 2013, 164, 209–219. [Google Scholar] [CrossRef]
- Liu, Y.; Zhou, Z.; Zhang, X.; Xu, X.; Chen, H.; Xiong, Z. Net global warming potential and greenhouse gas intensity from the double rice system with integrated soil-crop system management: A three-year field study. Atmos. Environ. 2015, 116, 92–101. [Google Scholar] [CrossRef]
- Sun, Y.Y. Research of Tillage-Cropping Systems on Greenhouse Gas Emissions from Permanently Flooded Rice Fields in a Central Sichuan Hilly Area of Southwest China: In a Case of Jingtang in Sichuan Province. Master’s Thesis, Sichuan Agricultural University, Ya’an, China, 2007. [Google Scholar]
- Ding, W.; Cai, Y.; Cai, Z.; Yagi, K.; Zheng, X. Nitrous oxide emissions from an intensively cultivated maize-wheat rotation soil in the North China Plain. Sci. Total Environ. 2007, 373, 501–511. [Google Scholar] [CrossRef] [PubMed]
- Fu, Z.; Huang, H.; Liao, X.; Hu, Y.; Xie, W.; He, B. Effect of ducks on CH4 emission from paddy soils and its mechanism research in the rice-duck ecosystem. Acta Ecol. Sin. 2008, 28, 2107–2114. [Google Scholar]
- Wang, Z.; Zeng, J.; Zhang, Y. Affecting factors of N2O emissions in cropland soil. Agric. Environ. Conserv. 1994, 13, 40–42. [Google Scholar]
- Xia, L.; Xia, Y.; Li, B.; Wang, J.; Wang, S.; Zhou, W.; Yan, X. Integrating agronomic practices to reduce greenhouse gas emissions while increasing the economic return in a rice-based cropping system. Agric. Ecosyst. Environ. 2016, 231, 24–33. [Google Scholar] [CrossRef]
- Liu, C.; Wang, K.; Zheng, X. Responses of N2O and CH4 fluxes to fertilizer nitrogen addition rates in an irrigated wheat-maize cropping system in northern China. Biogeosciences 2012, 9, 839–850. [Google Scholar] [CrossRef]
- Liu, C.; Yao, Z.; Wang, K.; Zheng, X. Three-year measurements of nitrous oxide emissions from cotton and wheat-maize rotational cropping systems. Atmos. Environ. 2014, 96, 201–208. [Google Scholar] [CrossRef]
- Cheng, C.; Yang, X.; Wang, J.; Luo, K.; Rasheed, A.; Zeng, Y.; Shang, Q. Mitigating net global warming potential and greenhouse gas intensity by intermittent irrigation under straw incorporation in Chinese double-rice cropping systems. Paddy Water Environ. 2020, 18, 99–109. [Google Scholar] [CrossRef]
- Lv, J.; Liu, X.; Liu, H.; Wang, X.; Li, K.; Tian, C.; Christie, P. Greenhouse gas intensity and net annual global warming potential of cotton cropping systems in an extremely arid region. Nutr. Cycl. Agroecosyst. 2014, 98, 15–26. [Google Scholar] [CrossRef]
- Zhai, Z.; Wang, L.G.; Li, H.; Qiu, J.J.; Yang, J.; Dong, X.Y. Nitrous oxide emissions and net greenhouse effect from spring-maize field as influenced by combined application of manure and inorganic fertilizer. J. Agro-Environ. Sci. 2013, 32, 2502–2510. [Google Scholar]
- Huang, T.; Gao, B.; Christie, P.; Ju, X. Net global warming potential and greenhouse gas intensity in a double-cropping cereal rotation as affected by nitrogen and straw management. Biogeosciences 2013, 10, 7897–7911. [Google Scholar] [CrossRef]
- Cui, F.; Yan, G.; Zhou, Z.; Zheng, X.; Deng, J. Annual emissions of nitrous oxide and nitric oxide from a wheat-maize cropping system on a silt loam calcareous soil in the North China Plain. Soil. Biol. Biochem. 2012, 48, 10–19. [Google Scholar] [CrossRef]
- Yan, G.; Zheng, X.; Cui, F.; Yao, Z.; Zhou, Z.; Deng, J.; Xu, Y. Two-year simultaneous records of N2O and NO fluxes from a farmed cropland in the northern China plain with a reduced nitrogen addition rate by one-third. Agric. Ecosyst. Environ. 2013, 178, 39–50. [Google Scholar] [CrossRef]
- Gao, B.; Ju, X.T.; Meng, Q.F.; Cui, Z.L.; Christie, P.; Chen, X.P.; Zhang, F.S. The impact of alternative cropping systems on global warming potential, grain yield and groundwater use. Agric. Ecosyst. Environ. 2015, 203, 46–54. [Google Scholar] [CrossRef]
- Zhou, M.H.; Zhu, B.; Butterbach-Bahl, K.; Zheng, X.H.; Wang, T.; Wang, Y.Q. Nitrous oxide emissions and nitrate leaching from a rain-fed wheat-maize rotation in the Sichuan Basin, China. Plant Soil 2013, 362, 149–159. [Google Scholar] [CrossRef]
- Zeng, X.F.; Zhao, S.W.; Li, X.X.; Li, T.; Liu, J. Main crops carbon footprint in Pingluo County of the Ningxia Hui autonomous region. Bull. Soil Water Conserv. 2012, 32, 61–65. [Google Scholar]
- Zou, J.; Huang, Y.; Lu, Y.; Zheng, X.; Wang, Y. Direct emission factor for N2O from rice-winter wheat rotation systems in southeast China. Atmos. Environ. 2005, 39, 4755–4765. [Google Scholar] [CrossRef]
- Xia, L.; Wang, S.; Yan, X. Effects of long-term straw incorporation on the net global warming potential and the net economic benefit in a rice-wheat cropping system in China. Agric. Ecosyst. Environ. 2014, 197, 118–127. [Google Scholar] [CrossRef]
- Peng, S.; Hou, H.; Xu, J.; Yang, S.; Mao, Z. Lasting effects of controlled irrigation during rice-growing season on nitrous oxide emissions from winter wheat croplands in Southeast China. Paddy Water Environ. 2013, 11, 583–591. [Google Scholar] [CrossRef]
- Jiang, C.; Wang, Y.; Zheng, X.; Zhu, B.; Huang, Y.; Hao, Q. Methane and nitrous oxide emissions from three paddy rice based cultivation systems in southwest China. Adv. Atmos. Sci. 2006, 23, 415–424. [Google Scholar] [CrossRef]
- Hedges, L.V.; Gurevitch, J.; Curtis, P.S. The meta-analysis of response ratios in experimental ecology. Ecology 1999, 80, 1150–1156. [Google Scholar] [CrossRef]
- Rosenberg, D.M.; McCully, P.; Pringle, C.M. Global-scale environmental effects of hydrological alterations: Introduction. BioScience 2000, 50, 746–751. [Google Scholar] [CrossRef]
- Royston, P. Approximating the Shapiro-Wilk W-test for non-normality. Stat. Comput. 1992, 2, 117–119. [Google Scholar] [CrossRef]
- IPCC. 2019 Refinement to the 2006 IPCC Guidelines for National Greenhouse Gas Inventories; Calvo Buendia, E., Tanabe, K., Kranjc, A., Baasansuren, J., Fukuda, M., Ngarize, S., Osako, A., Pyrozhenko, Y., Shermanau, P., Federici, S., Eds.; IPCC: Geneva, Switzerland, 2019. [Google Scholar]
- Aliyu, G.; Luo, J.; Di, H.J.; Lindsey, S.; Liu, D.; Yuan, J.; Ding, W. Nitrous oxide emissions from China’s croplands based on regional and crop-specific emission factors deviate from IPCC 2006 estimates. Sci. Total Environ. 2019, 669, 547–558. [Google Scholar] [CrossRef] [PubMed]
- Xing, G. N2O emission from cropland in China. Nutr. Cycl. Agroecosyst. 1998, 52, 249–254. [Google Scholar] [CrossRef]
- Chen, Z.; Ding, W.; Luo, Y.; Yu, H.; Xu, Y.; Muller, C.; Xu, X.; Zhu, T. Nitrous oxide emissions from cultivated black soil: A case study in Northeast China and global estimates using empirical model. Glob. Biogeochem. Cycles 2014, 28, 1311–1326. [Google Scholar] [CrossRef]
- Ding, W.; Luo, J.; Li, J.; Yu, H.; Fan, H.J.; Liu, D. Effect of long-term compost and inorganic fertilizer application on background N2O and fertilizer induced N2O emissions from an intensively cultivated soil. Sci. Total Environ. 2013, 465, 115–124. [Google Scholar] [CrossRef] [PubMed]
- Zhou, M.; Zhu, B.; Brüggemann, N.; Bergmann, J.; Wang, Y.; Butterbach-Bahl, K. N2O and CH4 emissions, and NO3-leaching on a crop-yield basis from a subtropical rain-fed wheat-maize rotation in response to different types of nitrogen fertilizer. Ecosystems 2014, 17, 286–301. [Google Scholar] [CrossRef]
- Charles, A.; Rochette, P.; Whalen, J.K.; Angers, D.A.; Chantigny, M.H.; Bertrand, N. Global nitrous oxide emission factors from agricultural soils after addition of organic amendments: A meta-analysis. Agric. Ecosyst. Environ. 2017, 236, 88–98. [Google Scholar] [CrossRef]
- Fan, J.W. Effect of Management Practices on N2O Emissions and Soil Organic Carbon from the Typical Winter Wheat-Summer Maize Cropland in North China Plain. Master’s Thesis, Chinese Academy of Agricultural Sciences, Beijing, China, 2016. [Google Scholar]
- Huang, M.W. Emission Process of Greenhouse Gases and Its Mechanism from the Paddy-Wheat Rotation Agro-Ecosystem. Master’s Thesis, East China Normal University, Shanghai, China, 2007. [Google Scholar]
- Yao, Z.; Zhou, Z.; Zheng, X.; Xie, B.; Mei, B.; Wang, R.; Butterbach-Bahl, K.; Zhu, J. Effects of organic matter incorporation on nitrous oxide emissions from rice-wheat rotation ecosystems in China. Plant Soil 2010, 327, 315–330. [Google Scholar] [CrossRef]
- Lu, Y.; Huang, Y.; Zou, J.; Zheng, X. An inventory of N2O emissions from agriculture in China using precipitation-rectified emission factor and background emission. Chemosphere 2006, 65, 1915–1924. [Google Scholar] [CrossRef]
- Linn, D.M.; Doran, J.W. Effect of Water-Filled Pore Space on Carbon Dioxide and Nitrous Oxide Production in Tilled and Nontilled Soils. Soil Sci. Soc. Am. J. 1984, 48, 1267–1272. [Google Scholar] [CrossRef]
- Rochette, P.; Worth, D.E.; Lemke, R.L.; McConkey, B.G.; Pennock, D.J.; Wagner-Riddle, C.; Desjardins, R.L. Estimation of N2O emissions from agricultural soils in Canada. I. Development of a country-specific methodology. Can. J. Soil Sci. 2008, 88, 641–654. [Google Scholar] [CrossRef]
- Schimel, J. Rice, microbes and methane. Nature 2000, 403, 375–377. [Google Scholar] [CrossRef] [PubMed]
- Wan, X.; Xiao, L.; Vadeboncoeur, M.A.; Johnson, C.E.; Huang, Z. Response of mineral soil carbon storage to harvest residue retention depends on soil texture: A meta-analysis. For. Ecol. Manag. 2018, 408, 9–15. [Google Scholar] [CrossRef]
- Fujikawa, T.; Miyazaki, T. Effects of bulk density and soil type on the gas diffusion coefficient in repacked and undisturbed soils. Soil Sci. 2005, 170, 892–901. [Google Scholar] [CrossRef]
- Jacinthe, P.A.; Dick, W.A.; Lal, R.; Shrestha, R.K.; Bilen, S. Effects of no-till duration on the methane oxidation capacity of Alfisols. Biol. Fertil. Soils 2014, 50, 477–486. [Google Scholar] [CrossRef]
- Wanyama, I.; Pelster, D.E.; Butterbach-Bahl, K.; Verchot, L.V.; Martius, C.; Rufino, M.C. Soil carbon dioxide and methane fluxes from forests and other land use types in an African tropical montane region. Biogeochemistry 2019, 143, 171–190. [Google Scholar] [CrossRef]
- Muhammad, I.; Wang, J.; Sainju, U.M.; Zhang, S.; Zhao, F.; Khan, A. Cover cropping enhances soil microbial biomass and affects microbial community structure: A meta-analysis. Geoderma 2021, 381, 114696. [Google Scholar] [CrossRef]
- Peregrina, F. Surface Soil Properties Influence Carbon Oxide Pulses After Precipitation Events in a Semiarid Vineyard Under Conventional Tillage and Cover Crops. Pedosphere 2016, 26, 499–509. [Google Scholar] [CrossRef]
- Wang, X.D.; He, C.; Cheng, H.Y.; Liu, B.Y.; Li, S.S.; Wang, Q.; Liu, Y.; Zhao, X.; Zhang, H.L. Responses of greenhouse gas emissions to residue returning in China’s croplands and influential factors: A meta-analysis. J. Environ. Manag. 2021, 289, 112486. [Google Scholar] [CrossRef]
- Lee, J.H.; Lee, J.G.; Jeong, S.T.; Gwon, H.S.; Kim, P.J.; Kim, G.W. Straw recycling in rice paddy: Trade-off between greenhouse gas emission and soil carbon stock increase. Soil Tillage Res. 2020, 199, 104598. [Google Scholar] [CrossRef]
- Zheng, J.; RoyChowdhury, T.; Yang, Z.; Gu, B.; Wullschleger, S.D.; Graham, D.E. Impacts of temperature and soil characteristics on methane production and oxidation in Arctic tundra. Biogeosciences 2018, 15, 6621–6635. [Google Scholar] [CrossRef]
- Staley, B.F.; de los Reyes, F.L.; Barlaz, M.A. Effect of spatial differences in microbial activity, pH, and substrate levels on methanogenesis initiation in refuse. Appl. Environ. Microbiol. 2011, 77, 2381–2391. [Google Scholar] [CrossRef] [PubMed]







Disclaimer/Publisher’s Note: The statements, opinions and data contained in all publications are solely those of the individual author(s) and contributor(s) and not of MDPI and/or the editor(s). MDPI and/or the editor(s) disclaim responsibility for any injury to people or property resulting from any ideas, methods, instructions or products referred to in the content. |
© 2023 by the authors. Licensee MDPI, Basel, Switzerland. This article is an open access article distributed under the terms and conditions of the Creative Commons Attribution (CC BY) license (https://creativecommons.org/licenses/by/4.0/).
Share and Cite
Huang, M.; Gu, C.; Bai, Y. Effect of Fertilization on Methane and Nitrous Oxide Emissions and Global Warming Potential on Agricultural Land in China: A Meta-Analysis. Agriculture 2024, 14, 34. https://doi.org/10.3390/agriculture14010034
Huang M, Gu C, Bai Y. Effect of Fertilization on Methane and Nitrous Oxide Emissions and Global Warming Potential on Agricultural Land in China: A Meta-Analysis. Agriculture. 2024; 14(1):34. https://doi.org/10.3390/agriculture14010034
Chicago/Turabian StyleHuang, Muye, Chuanhui Gu, and Yanchao Bai. 2024. "Effect of Fertilization on Methane and Nitrous Oxide Emissions and Global Warming Potential on Agricultural Land in China: A Meta-Analysis" Agriculture 14, no. 1: 34. https://doi.org/10.3390/agriculture14010034
APA StyleHuang, M., Gu, C., & Bai, Y. (2024). Effect of Fertilization on Methane and Nitrous Oxide Emissions and Global Warming Potential on Agricultural Land in China: A Meta-Analysis. Agriculture, 14(1), 34. https://doi.org/10.3390/agriculture14010034

