Agricultural Wastewater Treatment Using Oil Palm Waste Activated Hydrochar for Reuse in Plant Irrigation: Synthesis, Characterization, and Process Optimization
Abstract
1. Introduction
2. Materials and Methods
2.1. Materials
2.2. OPAH Biosorbent Preparation
2.3. OPAH Characterization
2.4. BASR System Operation
2.5. BASR Optimization by RSM for BOD5 and COD Removal
2.6. Kinetic Study
2.6.1. The First-Order Kinetic Model
2.6.2. The Grau Second-Order Kinetic Model
2.6.3. The Modified Stover–Kincannon Model
2.7. Microbial Community Analysis
3. Results and Discussion
3.1. Characteristics of AW
3.2. Characterization of OPAH
3.3. BOD5 and COD Removal
3.4. BASR Optimization by RSM
3.4.1. RSM Fitting
3.4.2. Surface Plots
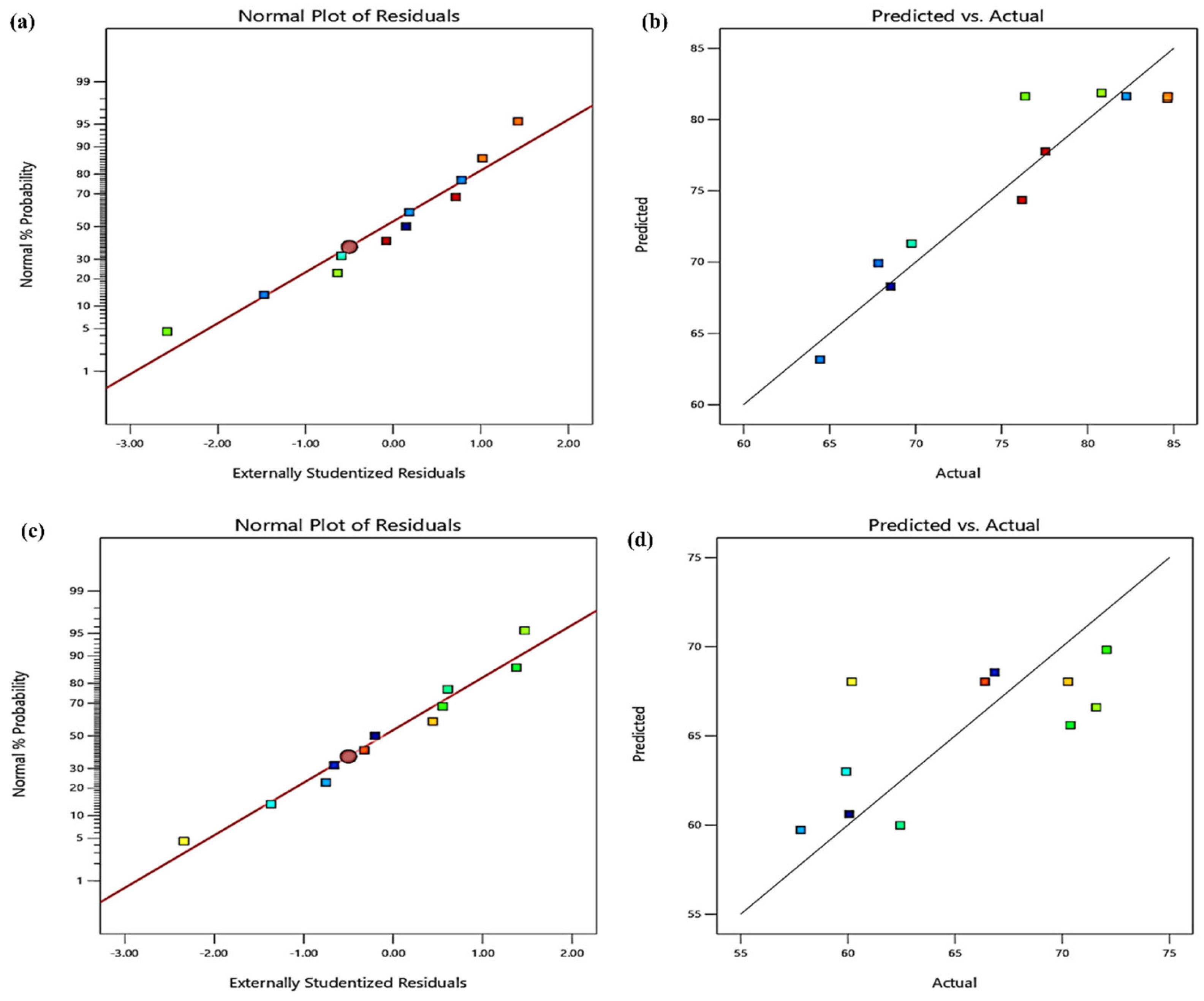
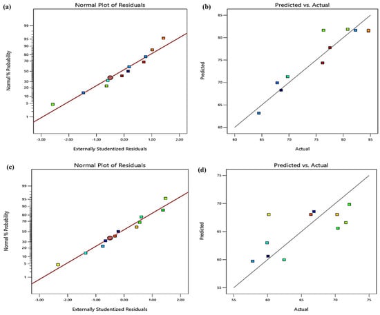
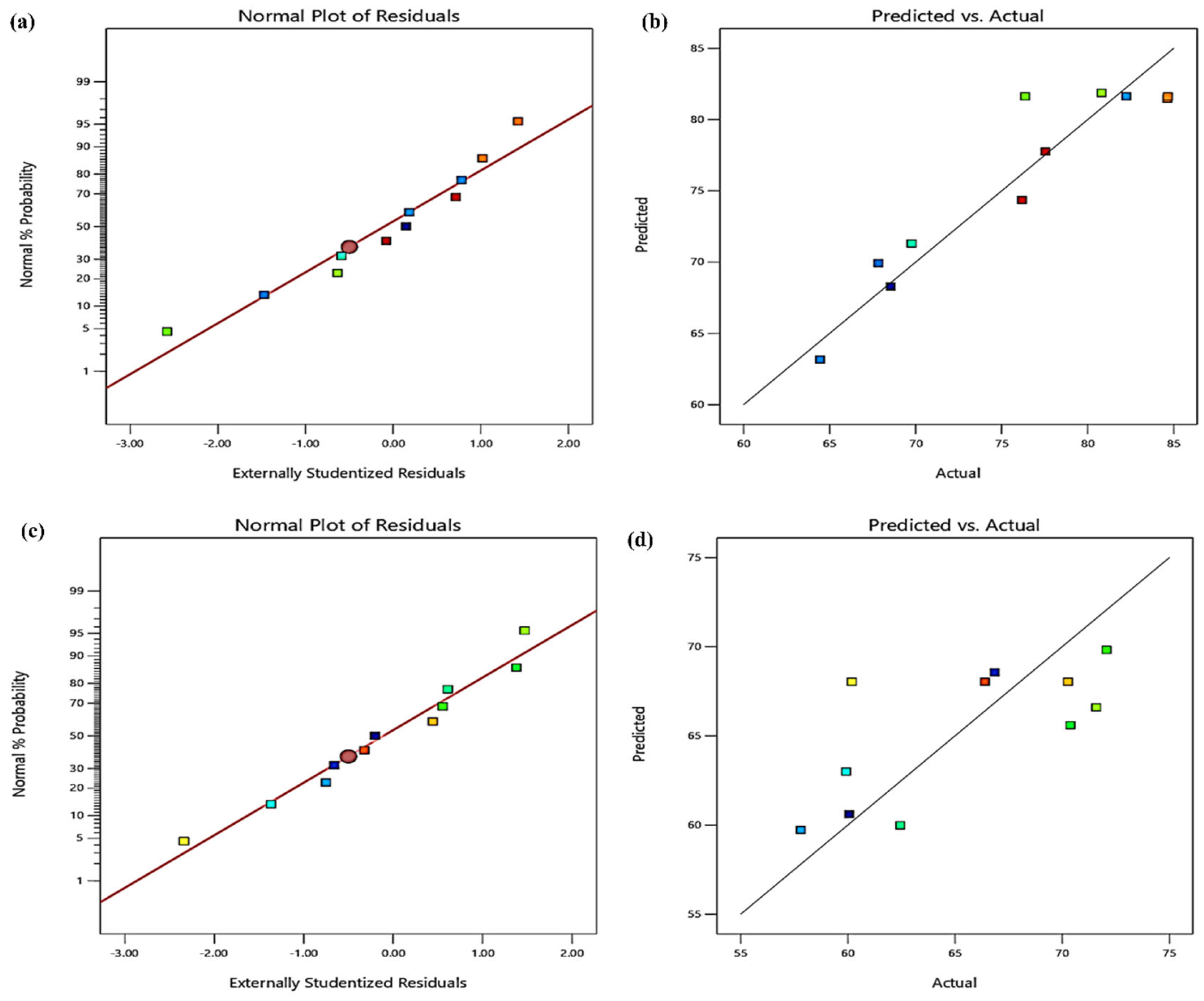
3.4.3. Normal Residuals and Predicted versus Actual Plots of BASR System
3.4.4. ANOVA
3.4.5. Comparison and Fit Statistics
3.4.6. Actual Factors and the Studentized Residuals
3.4.7. The Optimization Ramp and Desirability
3.5. Biokinetic Models
3.5.1. First-Order Model
3.5.2. The Grau Second-Order Model
3.5.3. The Modified Stover–Kincannon Kinetic Model
3.6. Microbial Observation
4. Conclusions
Supplementary Materials
Author Contributions
Funding
Institutional Review Board Statement
Data Availability Statement
Acknowledgments
Conflicts of Interest
References
- Hernández, D.; Riaño, B.; Coca, M.; García-González, M. Treatment of agro-industrial wastewater using microalgae–bacteria consortium combined with anaerobic digestion of the produced biomass. Bioresour. Technol. 2013, 135, 598–603. [Google Scholar] [CrossRef]
- Abdullahi, S.S.; Birniwa, A.H.; Mohammad, R.E.; Mamman, S.; Chadi, A.S. Impact of fibre reinforced polyester composites on tensile strength of baobab (Adansonia digitata) stem. CaJoST 2020, 2, 94–100. [Google Scholar]
- Martinez-Burgos, W.J.; Sydney, E.B.; Medeiros, A.B.P.; Magalhães, A.I.; de Carvalho, J.C.; Karp, S.G.; de Souza Vandenberghe, L.P.; Letti, L.A.J.; Soccol, V.T.; de Melo Pereira, G.V. Agro-industrial wastewater in a circular economy: Characteristics, impacts and applications for bioenergy and biochemicals. Bioresour. Technol. 2021, 341, 125795. [Google Scholar] [CrossRef]
- Baloo, L.; Isa, M.H.; Sapari, N.B.; Jagaba, A.H.; Wei, L.J.; Yavari, S.; Razali, R.; Vasu, R. Adsorptive removal of methylene blue and acid orange 10 dyes from aqueous solutions using oil palm wastes-derived activated carbons. Alex. Eng. J. 2021, 60, 5611–5629. [Google Scholar] [CrossRef]
- Birniwa, A.H.; Mahmud, H.N.M.E.; Abdullahi, S.S.A.; Habibu, S.; Jagaba, A.H.; Ibrahim, M.N.M.; Ahmad, A.; Alshammari, M.B.; Parveen, T.; Umar, K. Adsorption behavior of methylene blue cationic dye in aqueous solution using polypyrrole-polyethylenimine nano-adsorbent. Polymers 2022, 14, 3362. [Google Scholar] [CrossRef] [PubMed]
- Birniwa, A.H.; Abdullahi, S.S.A.; Ali, M.; Mohammad, R.E.A.; Jagaba, A.H.; Amran, M.; Avudaiappan, S.; Maureira-Carsalade, N.; Flores, E.I.S. Recent Trends in Treatment and Fabrication of Plant-Based Fiber-Reinforced Epoxy Composite: A Review. J. Compos. Sci. 2023, 7, 120. [Google Scholar] [CrossRef]
- Kumar, M.; Ambika, S.; Hassani, A.; Nidheesh, P. Waste to catalyst: Role of agricultural waste in water and wastewater treatment. Sci. Total Environ. 2023, 858, 159762. [Google Scholar] [CrossRef]
- Al-Sabaeei, A.M.; Al-Fakih, A.; Noura, S.; Yaghoubi, E.; Alaloul, W.; Al-Mansob, R.A.; Khan, M.I.; Yaro, N.S.A. Utilization of palm oil and its by-products in bio-asphalt and bio-concrete mixtures: A review. Constr. Build. Mater. 2022, 337, 127552. [Google Scholar] [CrossRef]
- Muhammad, S.; Yahya, E.B.; Abdul Khalil, H.; Marwan, M.; Albadn, Y.M. Recent Advances in Carbon and Activated Carbon Nanostructured Aerogels Prepared from Agricultural Wastes for Wastewater Treatment Applications. Agriculture 2023, 13, 208. [Google Scholar] [CrossRef]
- Usman, A.; Aris, A.; Labaran, B.; Darwish, M.; Jagaba, A. Effect of Calcination Temperature on the Morphology, Crystallinity, and Photocatalytic Activity of ZnO/TiO 2 in Selenite Photoreduction from Aqueous Phase. J. New Mater. Electrochem. Syst. 2022, 25, 251–258. [Google Scholar] [CrossRef]
- Umaru, I.; Alhaji, M.M.; Alhassan, M.; Adejumo, T.E.; Alkali, B.; Birniwa, A.H.; Jagaba, A.H. Development of Innovative Plate Load Testing Equipment for In-Situ Saturated Clays Soils. Geotechnics 2023, 3, 142–160. [Google Scholar] [CrossRef]
- Abdullahi, S.S.A.; Musa, H.; Habibu, S.; Birniwa, A.H.; Mohammad, R.E.A. Comparative study and dyeing performance of as-synthesized azo heterocyclic monomeric, polymeric, and commercial disperse dyes. Turk. J. Chem. 2022, 46, 1841–1852. [Google Scholar] [CrossRef]
- Nogueira, G.D.; Duarte, C.R.; Barrozo, M.A. Hydrothermal carbonization of acerola (Malphigia emarginata DC) wastes and its application as an adsorbent. Waste Manag. 2019, 95, 466–475. [Google Scholar] [CrossRef] [PubMed]
- Yaro, N.S.A.; Sutanto, M.H.; Habib, N.Z.; Usman, A.; Kaura, J.M.; Murana, A.A.; Birniwa, A.H.; Jagaba, A.H. A Comprehensive Review of Biochar Utilization for Low-Carbon Flexible Asphalt Pavements. Sustainability 2023, 15, 6729. [Google Scholar] [CrossRef]
- Soffian, M.S.; Halim, F.Z.A.; Aziz, F.; Rahman, M.A.; Amin, M.A.M.; Chee, D.N.A. Carbon-based material derived from biomass waste for wastewater treatment. Environ. Adv. 2022, 9, 100259. [Google Scholar] [CrossRef]
- Yaro, N.S.A.; Sutanto, M.H.; Habib, N.Z.; Napiah, M.; Usman, A.; Jagaba, A.H.; Al-Sabaeei, A.M. Modeling and optimization of asphalt content, waste palm oil clinker powder and waste rice straw ash for sustainable asphalt paving employing response surface methodology: A pilot study. Clean. Mater. 2023, 8, 100187. [Google Scholar] [CrossRef]
- Dehghani, M.H.; Yetilmezsoy, K.; Salari, M.; Heidarinejad, Z.; Yousefi, M.; Sillanpää, M. Adsorptive removal of cobalt (II) from aqueous solutions using multi-walled carbon nanotubes and γ-alumina as novel adsorbents: Modelling and optimization based on response surface methodology and artificial neural network. J. Mol. Liq. 2020, 299, 112154. [Google Scholar] [CrossRef]
- Kohzadi, S.; Marzban, N.; Libra, J.A.; Bundschuh, M.; Maleki, A. Removal of RhB from water by Fe-modified hydrochar and biochar–An experimental evaluation supported by genetic programming. J. Mol. Liq. 2023, 369, 120971. [Google Scholar] [CrossRef]
- Milkey, R. Potassium bromide method of infrared sampling. Anal. Chem. 1958, 30, 1931–1933. [Google Scholar] [CrossRef]
- ASTM E871-82; Standard Test Method for MOISTURE Analysis of Particulate Wood Fuels. American Society for Testing and Materials (ASTM): Philadelphia, PA, USA, 2006.
- ASTM E1755-01; Standard Test Method for Ash in Biomass—ASTM Bioenergy and Industrial Chemicals from Biomass. ASTM International: West Conshohocken, PA, USA, 2015.
- ASTM D3176-09; Standard Practice for Ultimate Analysis of Coal and Coke. ASTM International: West Conshohocken, PA, USA, 2009.
- ASTM D4809-00; Standard Test Method for Heat of Combustion of Liquid Hydrocarbon Fuels by Bomb Calorimeter (Precision Method). ASTM International: West Conshohocken, PA, USA, 2013.
- Yaro, N.S.A.; Napiah, M.B.; Sutanto, M.H.; Usman, A.; Saeed, S.M. Modeling and optimization of mixing parameters using response surface methodology and characterization of palm oil clinker fine modified bitumen. Constr. Build. Mater. 2021, 298, 123849. [Google Scholar] [CrossRef]
- Usman, A.; Sutanto, M.H.; Napiah, M.; Zoorob, S.E.; Yaro, N.S.A.; Khan, M.I. Comparison of performance properties and prediction of regular and gamma-irradiated granular waste polyethylene terephthalate modified asphalt mixtures. Polymers 2021, 13, 2610. [Google Scholar] [CrossRef] [PubMed]
- Tadda, M.A.; Gouda, M.; Shitu, A.; Yu, Q.; Zhao, X.; Ying, L.; Zhu, S.; Liu, D. Baobab fruit powder promotes denitrifiers’ abundance and improves poly (butylene succinate) biodegradation for a greener environment. J. Environ. Chem. Eng. 2023, 11, 109654. [Google Scholar] [CrossRef]
- Shitu, A.; Chen, W.; Tadda, M.A.; Zhang, Y.; Ye, Z.; Liu, D.; Zhu, S.; Zhao, J. Enhanced aquaculture wastewater treatment in a biofilm reactor filled with sponge/ferrous oxalate/biochar composite (Sponge-C2FeO4@ NBC) biocarriers: Performance and mechanism. Chemosphere 2023, 330, 138772. [Google Scholar] [CrossRef] [PubMed]
- Tadda, M.A.; Altaf, R.; Gouda, M.; Rout, P.R.; Shitu, A.; Ye, Z.; Zhu, S.; Liu, D. Impact of Saddle-Chips biocarrier on treating mariculture wastewater by moving bed biofilm reactor (MBBR): Mechanism and kinetic study. J. Environ. Chem. Eng. 2021, 9, 106710. [Google Scholar] [CrossRef]
- Kankia, M.U.; Baloo, L.; Danlami, N.; Mohammed, B.S.; Haruna, S.; Abubakar, M.; Jagaba, A.H.; Sayed, K.; Abdulkadir, I.; Salihi, I.U. Performance of Fly Ash-Based Inorganic Polymer Mortar with Petroleum Sludge Ash. Polymers 2021, 13, 4143. [Google Scholar] [CrossRef] [PubMed]
- Abdullahi, S.S.A.; Musa, H.; Habibu, S.; Birniwa, A.H.; Mohammad, R.E.A. Facile synthesis and dyeing performance of some disperse monomeric and polymeric dyes on nylon and polyester fabrics. Bull. Chem. Soc. Ethiop. 2021, 35, 485–497. [Google Scholar] [CrossRef]
- Birniwa, A.H.; Abdullahi, S.S.A.; Yakasai, M.Y.; Ismaila, A. Studies on physico-mechanical behaviour of kenaf/glass fiber reinforced epoxy hybrid composites. Bull. Chem. Soc. Ethiop. 2021, 35, 171–184. [Google Scholar] [CrossRef]
- Muhamad Ng, S.N.; Idrus, S.; Ahsan, A.; Tuan Mohd Marzuki, T.N.; Mahat, S.B. Treatment of wastewater from a food and beverage industry using conventional wastewater treatment integrated with membrane bioreactor system: A pilot-scale case study. Membranes 2021, 11, 456. [Google Scholar] [CrossRef]
- Birniwa, A.H.; Abubakar, A.S.; Huq, A.O.; Mahmud, H.N.M.E. Polypyrrole-polyethyleneimine (PPy-PEI) nanocomposite: An effective adsorbent for nickel ion adsorption from aqueous solution. J. Macromol. Sci. Part A 2021, 58, 206–217. [Google Scholar] [CrossRef]
- Satyawali, Y.; Balakrishnan, M. Wastewater treatment in molasses-based alcohol distilleries for COD and color removal: A review. J. Environ. Manag. 2008, 86, 481–497. [Google Scholar] [CrossRef]
- Leiviskä, T.; Nurmesniemi, H.; Pöykiö, R.; Rämö, J.; Kuokkanen, T.; Pellinen, J. Effect of biological wastewater treatment on the molecular weight distribution of soluble organic compounds and on the reduction of BOD, COD and P in pulp and paper mill effluent. Water Res. 2008, 42, 3952–3960. [Google Scholar] [CrossRef] [PubMed]
- Birniwa, A.H.; Mohammad, R.E.A.; Ali, M.; Rehman, M.F.; Abdullahi, S.S.A.; Eldin, S.M.; Mamman, S.; Sadiq, A.C.; Jagaba, A.H. Synthesis of Gum Arabic Magnetic Nanoparticles for Adsorptive Removal of Ciprofloxacin: Equilibrium, Kinetic, Thermodynamics Studies, and Optimization by Response Surface Methodology. Separations 2022, 9, 322. [Google Scholar] [CrossRef]
- Usman, S.; Yakasai, H.M.; Gimba, M.Y.; Shehu, D.; Jagaba, A.H. Anthracene degradation by Achromobacter xylosoxidans strain BUK_BTEG6 isolated from petrochemical contaminated soil. Case Stud. Chem. Environ. Eng. 2023, 8, 100418. [Google Scholar] [CrossRef]
- Lawal, I.; Ndagi, A.; Mohammed, A.; Saleh, Y.; Shuaibu, A.; Hassan, I.; Abubakar, S.; Soja, U.; Jagaba, A. Proximate analysis of waste-to-energy potential of municipal solid waste for sustainable renewable energy generation. Ain Shams Eng. J. 2023, 102357. [Google Scholar] [CrossRef]
- Lawal, I.M.; Bertram, D.; White, C.J.; Jagaba, A.H.; Hassan, I.; Shuaibu, A. Multi-criteria performance evaluation of gridded precipitation and temperature products in data-sparse regions. Atmosphere 2021, 12, 1597. [Google Scholar] [CrossRef]
- Saeed, A.A.H.; Harun, N.Y.; Sufian, S.; Bilad, M.R.; Zakaria, Z.Y.; Jagaba, A.H.; Ghaleb, A.A.S.; Mohammed, H.G. Pristine and magnetic kenaf fiber biochar for Cd2+ adsorption from aqueous solution. Int. J. Environ. Res. Public Health 2021, 18, 7949. [Google Scholar] [CrossRef]
- Abioye, K.J.; Harun, N.Y.; Sufian, S.; Yusuf, M.; Kamyab, H.; Hassan, M.A.; Jagaba, A.H.; Sikiru, S.; Ubaidullah, M.; Pandit, B. Regulation of ash slagging behavior of palm oil decanter cake by alum sludge addition. Chemosphere 2023, 330, 138452. [Google Scholar] [CrossRef]
- Birniwa, A.; Abdullahi, S. Study on physico-mechanical behaviour of acacia nilotica (gum tree) and glass fiber blend reinforced epoxy resin composite. ChemSearch J. 2019, 10, 46–53. [Google Scholar]
- Zahrim, A.; Nasimah, A.; Hilal, N. Coagulation/flocculation of lignin aqueous solution in single stage mixing tank system: Modeling and optimization by response surface methodology. J. Environ. Chem. Eng. 2015, 3, 2145–2154. [Google Scholar] [CrossRef]
- Kankia, M.U.; Baloo, L.; Danlami, N.; Samahani, W.N.; Mohammed, B.S.; Haruna, S.; Jagaba, A.H.; Abubakar, M.; Ishak, E.A.; Sayed, K. Optimization of Cement-Based Mortar Containing Oily Sludge Ash by Response Surface Methodology. Materials 2021, 14, 6308. [Google Scholar] [CrossRef]
- Asfaram, A.; Ghaedi, M.; Agarwal, S.; Tyagi, I.; Gupta, V.K. Removal of basic dye Auramine-O by ZnS: Cu nanoparticles loaded on activated carbon: Optimization of parameters using response surface methodology with central composite design. RSC Adv. 2015, 5, 18438–18450. [Google Scholar] [CrossRef]
- Saeed, A.A.H.; Harun, N.Y.; Sufian, S.; Bilad, M.R.; Nufida, B.A.; Ismail, N.M.; Zakaria, Z.Y.; Jagaba, A.H.; Ghaleb, A.A.S.; Al-Dhawi, B.N.S. Modeling and optimization of biochar based adsorbent derived from Kenaf using response surface methodology on adsorption of Cd2+. Water 2021, 13, 999. [Google Scholar] [CrossRef]
- Amin, M.M.; Khiadani, M.H.; Fatehizadeh, A.; Taheri, E. Validation of linear and non-linear kinetic modeling of saline wastewater treatment by sequencing batch reactor with adapted and non-adapted consortiums. Desalination 2014, 344, 228–235. [Google Scholar] [CrossRef]
- Basitere, M.; Njoya, M.; Rinquest, Z.; Ntwampe, S.K.O.; Sheldon, M. Performance evaluation and kinetic parameter analysis for static granular bed reactor (SGBR) for treating poultry slaughterhouse wastewater at mesophilic condition. Water Pract. Technol. 2019, 14, 259–268. [Google Scholar] [CrossRef]
- Khan, N.A.; Khan, S.U.; Islam, D.T.; Ahmed, S.; Farooqi, I.H.; Isa, M.H.; Hussain, A.; Changani, F.; Dhingra, A. Performance evaluation of column-SBR in paper and pulp wastewater treatment: Optimization and bio-kinetics. Desalin Water Treat. 2019, 156, 204–219. [Google Scholar] [CrossRef]
- Esteves, B.M.; Morales-Torres, S.; Maldonado-Hódar, F.J.; Madeira, L.M. Fitting biochars and activated carbons from residues of the olive oil industry as supports of Fe-catalysts for the heterogeneous Fenton-like treatment of simulated olive mill wastewater. Nanomaterials 2020, 10, 876. [Google Scholar] [CrossRef]
- Chan, Y.J.; Chong, M.F.; Law, C.L. Performance and kinetic evaluation of an integrated anaerobic–aerobic bioreactor in the treatment of palm oil mill effluent. Environ. Technol. 2017, 38, 1005–1021. [Google Scholar] [CrossRef]
- Zinatizadeh, A.; Ghaytooli, E. Simultaneous nitrogen and carbon removal from wastewater at different operating conditions in a moving bed biofilm reactor (MBBR): Process modeling and optimization. J. Taiwan Inst. Chem. Eng. 2015, 53, 98–111. [Google Scholar] [CrossRef]
- Tsang, Y.F.; Chua, H.; Sin, S.; Tam, C. A novel technology for bulking control in biological wastewater treatment plant for pulp and paper making industry. Biochem. Eng. J. 2006, 32, 127–134. [Google Scholar] [CrossRef]
- Santos, A.D.; Martins, R.C.; Quinta-Ferreira, R.M.; Castro, L.M. Moving bed biofilm reactor (MBBR) for dairy wastewater treatment. Energy Rep. 2020, 6, 340–344. [Google Scholar] [CrossRef]
- Faridnasr, M.; Ghanbari, B.; Sassani, A. Optimization of the moving-bed biofilm sequencing batch reactor (MBSBR) to control aeration time by kinetic computational modeling: Simulated sugar-industry wastewater treatment. Bioresour. Technol. 2016, 208, 149–160. [Google Scholar] [CrossRef] [PubMed]
- Fulazzaky, M.A.; Nuid, M.; Aris, A.; Muda, K. Kinetics and mass transfer studies on the biosorption of organic matter from palm oil mill effluent by aerobic granules before and after the addition of Serratia marcescens SA30 in a sequencing batch reactor. Process Saf. Environ. Prot. 2017, 107, 259–268. [Google Scholar] [CrossRef]
- Yaro, N.S.A.; Sutanto, M.H.; Baloo, L.; Habib, N.Z.; Usman, A.; Ahmad, A.; Yousafzai, A.K.; Birniwa, A.H.; Jagaba, A.H.; Noor, A. A Comprehensive Overview of the Utilization of Recycled Waste Materials and Technologies in Asphalt Pavements: Towards Environmental and Sustainable Low-Carbon Roads. Processes 2023, 11, 2095. [Google Scholar] [CrossRef]









| Independent Variables | Symbol | Ranges of Variables and Codes | ||
|---|---|---|---|---|
| w | −1 | 0 | +1 | |
| HYRT (days) | wx | 1 | 2 | 3 |
| MLSS (mg/L) | wy | 4000 | 5000 | 6000 |
| Parameters | Values | Standard A | Standard B |
|---|---|---|---|
| Temperature °C | 24.3 ± 0.71 | 40 | 40 |
| pH | 8.04 ± 0.65 | 6.0–9.0 | 5.5–9.0 |
| COD (mg/L) | 6649 ± 3.48 | 120 | 200 |
| BOD5 (mg/L) | 4486 ± 5.63 | 20 | 50 |
| NH4+-N (mg/L) | 89.32 ± 7.19 | 10 | 20 |
| TDS (mg/L) | 1047 ± 6.43 | 200 | 600 |
| Total phosphorus (mg/L) | 291 ± 4.05 | 10 | 30 |
| EC (μS cm−1) | 1044 ± 1.00 | - | - |
| Suspended Solids (mg/L) | 387 ± 1.96 | 50 | 100 |
| Turbidity (NTU) | 349 ± 5.14 | 1 | 5 |
| Color (PtCo.) | 1572 ± 3.80 | ≤100 | ≤200 |
| Parameter | pH | BET Surface Area (m2/g) | Total Pore Volume (cm3/g) | Average Pore Radius (Å) | Average Pore Size (nm) |
|---|---|---|---|---|---|
| Values | 7.16 | 774.08 | 0.489 | 89.26 | 1.192 |
| SiO2 | SO3 | CaO | P2O5 | Al2O3 | Fe2O3 | K2O | Rb2O | MnO | MgO | Cl | Na2O |
|---|---|---|---|---|---|---|---|---|---|---|---|
| 59.04 | 4.24 | 7.53 | 5.14 | 0.48 | 0.68 | 20.27 | 0.17 | 0.61 | 0.87 | 0.92 | 0.05 |
| Ultimate and Proximate | (wt.%) |
|---|---|
| Proximate | |
| Fixed Carbon (FC) | 9.84 |
| Volatile Matter (VM) | 29.40 |
| Ash | 60.76 |
| Ultimate | |
| C | 67.08 |
| H | 4.39 |
| N | 8.26 |
| S | 0.95 |
| O | 19.32 |
| Experimental high heating value (HHV) | 3.95 (MJ/kg) |
| Parameters | HRT (d) | ||||||||
|---|---|---|---|---|---|---|---|---|---|
| 3 | 3 | 3 | 2 | 2 | 2 | 1 | 1 | 1 | |
| Operational period (d) | 0–45 | 46–70 | 71–97 | 98–122 | 123–143 | 144–160 | 161–186 | 187–210 | 211–231 |
| Influent BOD5 (mg/L) | 4169 | 4293 | 4413 | 4029 | 4300 | 4365 | 4281 | 4220 | 4327 |
| Effluent BOD5 (mg/L) | 135 | 157 | 161 | 143 | 142 | 138 | 139 | 164 | 171 |
| Influent COD (mg/L) | 6025 | 6057 | 6084 | 6105 | 6067 | 6020 | 6023 | 6069 | 6103 |
| Effluent COD (mg/L) | 197 | 176 | 179 | 137 | 145 | 143 | 196 | 189 | 183 |
| MLVSS (mg/L) | 3139 | 3460 | 3231 | 2982 | 3405 | 3295 | 3358 | 3559 | 3735 |
| Factor | BOD5 | COD | ||||||||||
|---|---|---|---|---|---|---|---|---|---|---|---|---|
| Coefficient Estimate | df | Standard Error | 95% Cl Low | 95% Cl High | VIF | Coefficient Estimate | df | Standard Error | 95% Cl Low | 95% Cl High | VIF | |
| Intercept | 81.63 | 1 | 1.78 | 77.06 | 86.21 | 68.03 | 1 | 2.76 | 60.94 | 75.12 | ||
| A-HRT | 5.08 | 1 | 1.42 | 1.44 | 8.72 | 1.0000 | 2.80 | 1 | 2.19 | −2.84 | 8.45 | 1.0000 |
| B-MLSS | −1.70 | 1 | 1.42 | −5.34 | 1.94 | 1.0000 | −1.61 | 1 | 2.19 | −7.25 | 4.03 | 1.0000 |
| AB | −4.27 | 1 | 1.73 | −8.73 | 0.1889 | 1.0000 | −1.17 | 1 | 2.69 | −8.08 | 5.74 | 1.0000 |
| A2 | −5.24 | 1 | 2.18 | −10.84 | 0.3613 | 1.08 | −5.24 | 1 | 3.38 | −13.92 | 3.44 | 1.08 |
| B2 | −5.57 | 1 | 2.18 | −11.17 | 0.0313 | 1.08 | 0.1774 | 1 | 3.38 | −8.50 | 8.86 | 1.08 |
| BOD5 | COD | |||||||||||
|---|---|---|---|---|---|---|---|---|---|---|---|---|
| Sum of Squares | df | Mean Square | F-Value | p-Value | Sum of Squares | df | Mean Square | F-Value | p-Value | |||
| Model | 447.45 | 5 | 89.49 | 7.44 | 0.0230 | significant | 141.79 | 5 | 28.36 | 0.9817 | 0.0579 | significant |
| A-HRT | 155.04 | 1 | 155.04 | 12.88 | 0.0157 | 47.21 | 1 | 47.21 | 1.63 | 0.0272 | ||
| B-MLSS | 17.41 | 1 | 17.41 | 1.45 | 0.2829 | 15.55 | 1 | 15.55 | 0.5384 | 0.4960 | ||
| AB | 72.93 | 1 | 72.93 | 6.06 | 0.0571 | 5.48 | 1 | 5.48 | 0.1896 | 0.6814 | ||
| A² | 69.60 | 1 | 69.60 | 5.78 | 0.0613 | 69.50 | 1 | 69.50 | 2.41 | 0.1816 | ||
| B² | 78.64 | 1 | 78.64 | 6.53 | 0.0509 | 0.0797 | 1 | 0.0797 | 0.0028 | 0.9601 | ||
| Residual | 60.18 | 5 | 12.04 | 144.43 | 5 | 28.89 | ||||||
| Lack of Fit | 23.81 | 3 | 7.94 | 0.4364 | 0.7512 | not significant | 92.73 | 3 | 30.91 | 1.20 | 0.4855 | not significant |
| Pure Error | 36.37 | 2 | 18.18 | 51.70 | 2 | 25.85 | ||||||
| Cor Total | 507.63 | 10 | 286.22 | 10 | ||||||||
| Std. Dev. | Mean | C.V.% | R² | Adjusted R² | Predicted R² | Adeq Precision | |
|---|---|---|---|---|---|---|---|
| BOD5 | 5.37 | 65.27 | 8.23 | 0.4954 | 0.0092 | 0.6415 | 2.5426 |
| COD | 3.47 | 75.73 | 4.58 | 0.8815 | 0.7629 | 0.4023 | 7.3012 |
| PRESS | −2 Log Likelihood | BIC | AICc | |
|---|---|---|---|---|
| BOD5 | 294.81 | 42.64 | 59.32 | 82.91 |
| COD | 756.04 | 59.54 | 73.93 | 92.54 |
| BOD5 Removal | = | COD Removal | = |
|---|---|---|---|
| −122.97316 | +42.25474 | ||
| +47.39965 | HRT | +29.60553 | HRT |
| +0.062552 | MLSS | −0.001044 | MLSS |
| −0.004270 | HRT × MLSS | −0.001170 | HRT × MLSS |
| −5.24158 | HRT2 | −5.23763 | HRT2 |
| −19. 57158 | MLSS2 | −13.07368 | MLSS2 |
| BOD5 | |||||||||
|---|---|---|---|---|---|---|---|---|---|
| Wastewater | Reactor Type | Kinetic Model | Ref. | ||||||
| First-Order | Grau Second-Order | Modified Stover–Kincannon | |||||||
| B1 (1/d) | R2 | j | k | Sc (1/d) | Ct (g/L/d) | Fy (g/L/d) | |||
| Poultry industry effluent | Static Granular Bed Reactor (SGBR) | 0.425 | 0.9967 | 0.939 | 0.9619 | 76.4 | 8.05 | 5.19 | [48] |
| Fertilizer industry wastewater | Sequencing Batch Reactor (SBR) | 1.6 | 0.38 | 0.35 | 2.1 | 4.06 | 0.0627 | 0.0574 | [47] |
| Paper and pulp wastewater | Column-SBR | 1.334 | 0.802 | 1.214 | 0.945 | 0.0243 | 0.305 | 0.209 | [49] |
| Olive oil industry wastewater | SBR | 0.6148 | 0.9856 | 49.51 | 3.715 | 0.0872 | 0.0069 | 0.0871 | [50] |
| Palm oil mill effluent | Activated sludge bioreactor system (ASBS) | 0.077 | 0.6913 | 10.372 | 0.592 | 13.9 | 0.007 | 0.0628 | [51] |
| AW | Bench-scale activated sludge reactor (BASR) | 5.1438 | 0.5533 | 0.073 | 1.49 | 0.508 | 51.3 | 49.11 | This study |
| COD | |||||||||
| Winery industry wastewater | Integrated fixed activated sludge (IFAS) | 87.2 | 0.59 | 0.053 | 0.778 | 0.384 | 47.8 | 62.6 | [52] |
| Pulp and paper industry wastewater | Anerobic-MBBR | 1.7 | 0.66 | 1.1 | 1.6 | 1.57 | 0.0203 | 0.0192 | [53] |
| Dairy industry | Moving bed biofilm reactor (MBBR) | 0.948 | 0.973 | 0.506 | 0.841 | 2.513 | 427 | 446 | [54] |
| Sugar-industry effluent | MBBR | 56.31 | 0.9742 | 0.9852 | 0.048 | 0.9852 | 37.61 | 40.8 | [55] |
| POME | SBR | 81.7 | 0.69 | 0.0852 | 0.773 | 0.38 | 63.7 | 64.0 | [56] |
| AW | BASR | 4.3520 | 0.0931 | 0.058 | 1.32 | 0.691 | 56.5 | 50.81 | This study |
Disclaimer/Publisher’s Note: The statements, opinions and data contained in all publications are solely those of the individual author(s) and contributor(s) and not of MDPI and/or the editor(s). MDPI and/or the editor(s) disclaim responsibility for any injury to people or property resulting from any ideas, methods, instructions or products referred to in the content. |
© 2023 by the authors. Licensee MDPI, Basel, Switzerland. This article is an open access article distributed under the terms and conditions of the Creative Commons Attribution (CC BY) license (https://creativecommons.org/licenses/by/4.0/).
Share and Cite
Jagaba, A.H.; Bashir, F.M.; Lawal, I.M.; Usman, A.K.; Yaro, N.S.A.; Birniwa, A.H.; Hamdoun, H.Y.; Shannan, N.M. Agricultural Wastewater Treatment Using Oil Palm Waste Activated Hydrochar for Reuse in Plant Irrigation: Synthesis, Characterization, and Process Optimization. Agriculture 2023, 13, 1531. https://doi.org/10.3390/agriculture13081531
Jagaba AH, Bashir FM, Lawal IM, Usman AK, Yaro NSA, Birniwa AH, Hamdoun HY, Shannan NM. Agricultural Wastewater Treatment Using Oil Palm Waste Activated Hydrochar for Reuse in Plant Irrigation: Synthesis, Characterization, and Process Optimization. Agriculture. 2023; 13(8):1531. https://doi.org/10.3390/agriculture13081531
Chicago/Turabian StyleJagaba, Ahmad Hussaini, Faizah Mohammed Bashir, Ibrahim Mohammed Lawal, Abdullahi Kilaco Usman, Nura Shehu Aliyu Yaro, Abdullahi Haruna Birniwa, Haifa Youssef Hamdoun, and Nahla M. Shannan. 2023. "Agricultural Wastewater Treatment Using Oil Palm Waste Activated Hydrochar for Reuse in Plant Irrigation: Synthesis, Characterization, and Process Optimization" Agriculture 13, no. 8: 1531. https://doi.org/10.3390/agriculture13081531
APA StyleJagaba, A. H., Bashir, F. M., Lawal, I. M., Usman, A. K., Yaro, N. S. A., Birniwa, A. H., Hamdoun, H. Y., & Shannan, N. M. (2023). Agricultural Wastewater Treatment Using Oil Palm Waste Activated Hydrochar for Reuse in Plant Irrigation: Synthesis, Characterization, and Process Optimization. Agriculture, 13(8), 1531. https://doi.org/10.3390/agriculture13081531

