The Strategic Use of an Immunomodulatory Feed Additive in Supplements for Grazing Young Nellore Bulls Transported after Weaning: Performance, Physiological, and Stress Parameters
Abstract
1. Introduction
2. Materials and Methods
2.1. Local and Climate
2.2. Experimental Period
2.3. Experimental Area
2.4. Animals
2.5. Experimental Design and Treatments
2.6. Supplementation and Immunomodulatory Feed Additive
2.7. Road Transport
2.8. Grazing Method
2.9. Quantitative and Qualitative Evaluation of the Pasture
2.10. Animal Performance
2.11. Blood Samples and Analyzes
2.12. Statistical Analysis
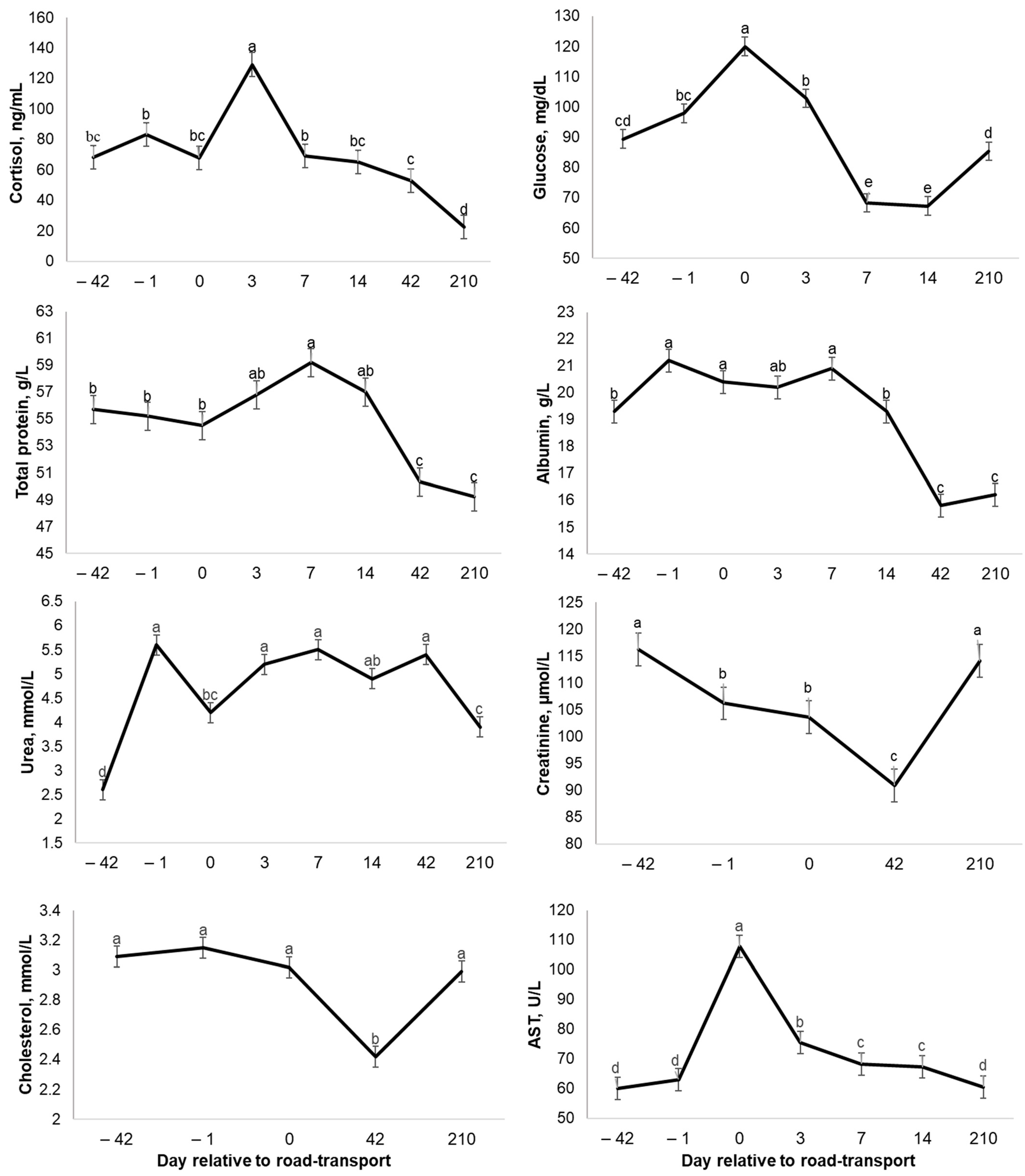
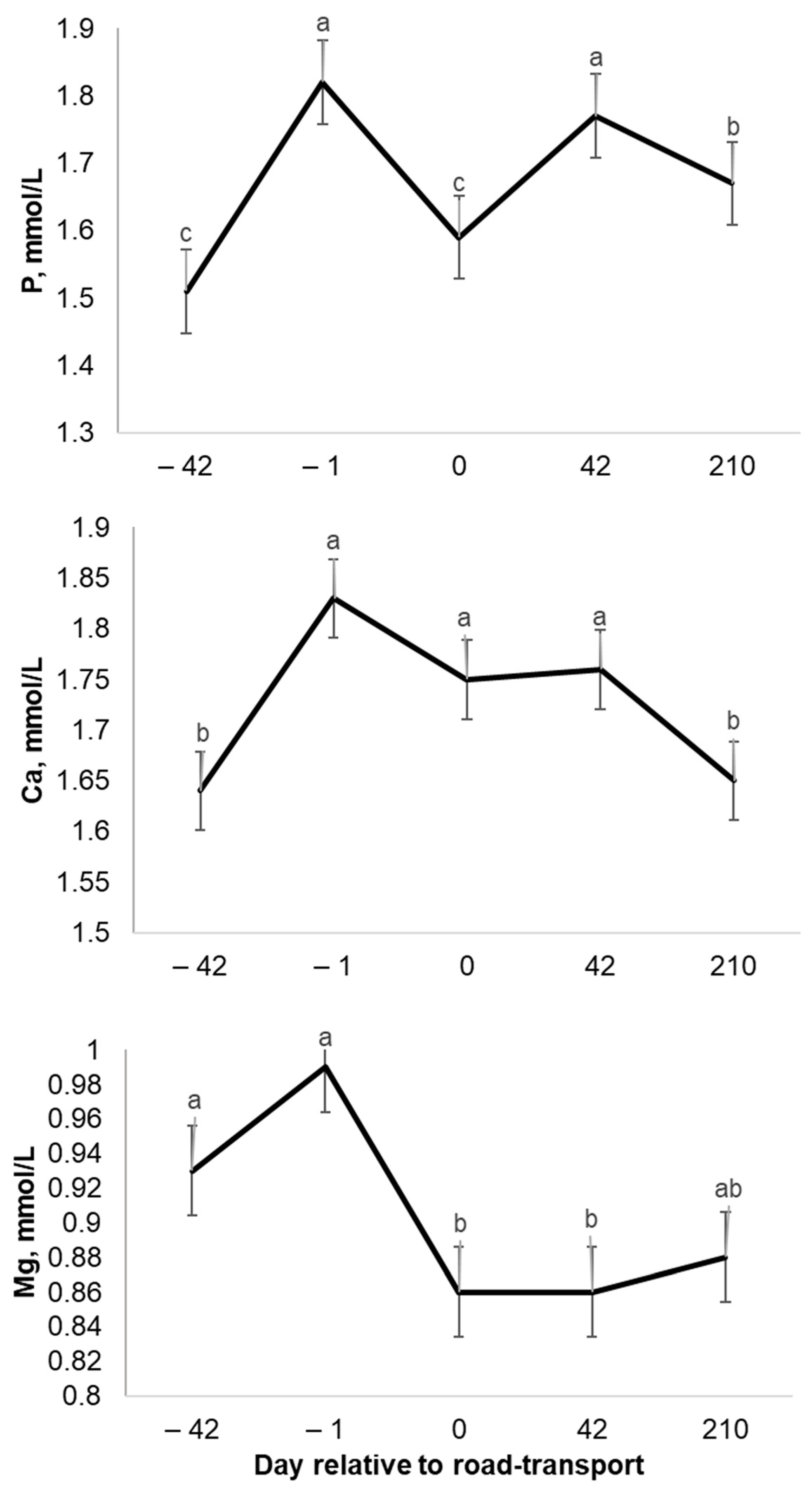
3. Results
4. Discussion
5. Conclusions
Author Contributions
Funding
Institutional Review Board Statement
Informed Consent Statement
Data Availability Statement
Conflicts of Interest
References
- Swanson, J.C.; Tesch, J.M. Cattle Transport: Historical, Research, and Future Perspectives. J. Anim. Sci. 2001, 79, E102–E109. [Google Scholar] [CrossRef]
- McManus, C.; Barcellos, J.O.J.; Formenton, B.K.; Hermuche, P.M.; De Carvalho, O.A.; Guimarães, R.; Gianezini, M.; Dias, E.A.; Do Nascimento Lampert, V.; Zago, D.; et al. Dynamics of Cattle Production in Brazil. PLoS ONE 2016, 11, e0147138. [Google Scholar] [CrossRef] [PubMed]
- Arthington, J.D.; Eicher, S.D.; Kunkle, W.E.; Martin, F.G. Effect of Transportation and Commingling on the Acute-Phase Protein Response, Growth, and Feed Intake of Newly Weaned Beef Calves. J. Anim. Sci. 2003, 81, 1120–1125. [Google Scholar] [CrossRef]
- Chen, Y.; Arsenault, R.; Napper, S.; Griebel, P. Models and Methods to Investigate Acute Stress Responses in Cattle. Animals 2015, 5, 1268–1295. [Google Scholar] [CrossRef]
- Moberg, G.P. Biological Response to Stress: Implications for Animal Welfare. In The Biology of Animal Stress Basic Principles and Implications for Animal Welfare; Moberg, G.P., Mench, J.A., Eds.; CABI Publishing: New York, NY, USA, 2000. [Google Scholar]
- Blecha, F. Immune System Response to Stress. In The Biology of Animal Stress Basic Principles and Implications for Animal Welfare; Moberg, G.P., Mench, J.A., Eds.; CABI Publishing: New York, NY, USA, 2000; pp. 111–122. [Google Scholar]
- Cooke, R.F. INVITED PAPER: Nutritional and Management Considerations for Beef Cattle Experiencing Stress-Induced Inflammation. Prof. Anim. Sci. 2017, 33, 1–11. [Google Scholar] [CrossRef]
- Wang, Y.; Puntenney, S.B.; Burton, J.L.; Forsberg, N.E. Ability of a Commercial Feed Additive to Modulate Expression of Innate Immunity in Sheep Immunosuppressed with Dexamethasone. Animal 2007, 1, 945–951. [Google Scholar] [CrossRef] [PubMed]
- Sanchez, N.; Buntyn, J.; Carroll, J.; Wistuba, T.; Dehaan, K.; Sieren, S.; Jones, S.; Schmidt, T. Enhancement of the Acute Phase Response to Lipopolysaccharide in Feedlot Steers Supplemented with OmniGen-AF. J. Anim. Sci. 2014, 92, 37–38. [Google Scholar]
- Brandão, A.P.; Cooke, R.F.; Corrá, F.N.; Piccolo, M.B.; Gennari, R.; Leiva, T.; Vasconcelos, J.L.M. Physiologic, Health, and Production Responses of Dairy Cows Supplemented with an Immunomodulatory Feed Ingredient during the Transition Period. J. Dairy Sci. 2016, 99, 5562–5572. [Google Scholar] [CrossRef]
- Lippolis, K.D.; Cooke, R.F.; Schumaher, T.; Brandão, A.P.; Silva, L.G.T.; Schubach, K.M.; Marques, R.S.; Bohnert, D.W. Physiologic, Health, and Performance Responses of Beef Steers Supplemented with an Immunomodulatory Feed Ingredient during Feedlot Receiving. J. Anim. Sci. 2017, 95, 4945–4957. [Google Scholar] [CrossRef]
- Gandra, J.R.; Takiya, C.S.; Valle, T.A.D.; Orbach, N.D.; Ferraz, I.R.; Oliveira, E.R.; Goes, R.H.T.B.; Gandra, E.R.S.; Pereira, T.L.; Batista, J.D.O.; et al. Influence of a Feed Additive Containing Vitamin B12 and Yeast Extract on Milk Production and Body Temperature of Grazing Dairy Cows under High Temperature-Humidity Index Environment. Livest. Sci. 2019, 221, 28–32. [Google Scholar] [CrossRef]
- Wu, Z.; Alugongo, G.M.; Xiao, J.; Li, J.; Yu, Y.; Li, Y.; Wang, Y.; Li, S.; Cao, Z. Effects of an Immunomodulatory Feed Additive on Body Weight, Production Parameters, Blood Metabolites, and Health in Multiparous Transition Holstein Cows. Anim. Sci. J. 2019, 90, 167–177. [Google Scholar] [CrossRef]
- Fabris, T.F.; Laporta, J.; Corra, F.N.; Torres, Y.M.; Kirk, D.J.; McLean, D.J.; Chapman, J.D.; Dahl, G.E. Effect of Nutritional Immunomodulation and Heat Stress during the Dry Period on Subsequent Performance of Cows. J. Dairy Sci. 2017, 100, 6733–6742. [Google Scholar] [CrossRef] [PubMed]
- Taylor, J.D.; Gilliam, J.N.; Mourer, G.; Stansberry, C. Comparison of Effects of Four Weaning Methods on Health and Performance of Beef Calves. Animal 2020, 14, 161–170. [Google Scholar] [CrossRef] [PubMed]
- Weary, D.M.; Jasper, J.; Hötzel, M.J. Understanding Weaning Distress. Appl. Anim. Behav. Sci. 2008, 110, 24–41. [Google Scholar] [CrossRef]
- Mezzetti, M.; Minuti, A.; Piccioli-cappelli, F.; Gabai, G.; Trevisi, E. Administration of an Immune Stimulant during the Transition Period Improved Lipid Metabolism and Rumination without Affecting Inflammatory Status. Animals 2019, 9, 619. [Google Scholar] [CrossRef]
- Mott, G.O.; Lucas, H.L. The Designs Conduct, and Interpretation of Grazing Trials on Cultivated and Improved Pastures. In Proceedings of the Sixth International Grassland Congress, State College, PA, USA, 17–23 August 1952; pp. 1380–1385. [Google Scholar]
- Barbero, R.P.; Malheiros, E.B.; Araújo, T.L.R.; Nave, R.L.G.; Mulliniks, J.T.; Berchielli, T.T.; Ruggieri, A.C.; Reis, R.A. Combining Marandu Grass Grazing Height and Supplementation Level to Optimize Growth and Productivity of Yearling Bulls. Anim. Feed Sci. Technol. 2015, 209, 110–118. [Google Scholar] [CrossRef]
- Roth, M.T.P.; Fernandes, R.M.; Custódio, L.; Moretti, M.H.; Oliveira, I.M.; Prados, L.F.; Siqueira, G.R.; Resende, F.D. De Effect of Supplementation Level on Performance of Growing Nellore and Its Influence on Pasture Characteristics in Different Seasons. Ital. J. Anim. Sci. 2019, 18, 215–225. [Google Scholar] [CrossRef]
- Sollenberger, L.; Cherney, D.J. Evaluating Forage Production and Quality. In Forages: The science of Grassland Agriculture; Iowa State University Digital Press: Ames, IA, USA, 1995; pp. 97–110. [Google Scholar]
- De Vries, M.F.W. Estimating Forage Intake and Quality in Grazing Cattle: A Reconsideration of the Hand-Plucking Method. J. Range Manag. 1995, 48, 370–375. [Google Scholar] [CrossRef]
- Van Soest, P.J.; Robertson, J.B.; Lewis, B.A. Methods for Dietary Fiber, Neutral Detergent Fiber, and Nonstarch Polysaccharides in Relation to Animal Nutrition. J. Dairy Sci. 1991, 74, 3583–3597. [Google Scholar] [CrossRef]
- van Soest, P.J.; Robertson, J.B. Analysis of Forages and Fibrous Foods, 2nd ed.; Cornell University Animal Science Department: Ithaca, NY, USA, 1985; p. 488. [Google Scholar]
- Arnott, G.; Ferris, C.P.; O’connell, N.E. Review: Welfare of Dairy Cows in Continuously Housed and Pasture-Based Production Systems. Animal 2017, 11, 261–273. [Google Scholar] [CrossRef]
- Qiu, X.; Arthington, J.D.; Riley, D.G.; Chase, C.C.; Phillips, W.A.; Coleman, S.W.; Olson, T.A. Genetic Effects on Acute Phase Protein Response to the Stresses of Weaning and Transportation in Beef Calves. J. Anim. Sci. 2007, 85, 2367–2374. [Google Scholar] [CrossRef] [PubMed]
- Brandão, A.P.; Cooke, R.F.; Schubach, K.M.; Marques, R.S. Physiologic and Innate Immunity Responses to Bacterial Lipopolysaccharide Administration in Beef Heifers Supplemented with OmniGen-AF. Animal 2019, 13, 153–160. [Google Scholar] [CrossRef]
- Ishizaki, H.; Kariya, Y. Road Transportation Stress Promptly Increases Bovine Peripheral Blood Absolute NK Cell Counts and Cortisol Levels. J. Vet. Med. Sci. 2010, 72, 747–753. [Google Scholar] [CrossRef]
- Ceciliani, F.; Ceron, J.J.; Eckersall, P.D.; Sauerwein, H. Acute Phase Proteins in Ruminants. J. Proteom. 2012, 75, 4207–4231. [Google Scholar] [CrossRef] [PubMed]
- Duff, G.C.; Galyean, M.L. Board-Invited Review: Recent Advances in Management of Highly Stressed, Newly Received Feedlot Cattle. J. Anim. Sci. 2007, 85, 823–840. [Google Scholar] [CrossRef] [PubMed]
- Nickerson, S.C.; Kautz, F.M.; Ely, L.O.; Rowson, A.D.; Hurley, D.J.; Chapman, J.D.; McLean, D.J. Effects of an Immunomodulatory Feed Additive on Intramammary Infection Prevalence and Somatic Cell Counts in a Dairy Herd Experiencing Major Health Issues. Res. Vet. Sci. 2019, 124, 186–190. [Google Scholar] [CrossRef]
- Fisher, A.D.; Niemeyer, D.O.; Lea, J.M.; Lee, C.; Paull, D.R.; Reed, M.T.; Ferguson, D.M. The Effects of 12, 30, or 48 Hours of Road Transport on the Physiological and Behavioral Responses of Sheep. J. Anim. Sci. 2010, 88, 2144–2152. [Google Scholar] [CrossRef] [PubMed]
- Kennedy, P.M. The Effects of Dietary Sucrose and the Concentration of Plasma Urea and Rumen Ammonia on the Degradation of Urea in the Gastrointestinal Tract of Cattle. Br. J. Nutr. 1980, 43, 125–140. [Google Scholar] [CrossRef]
- Takemoto, S.; Tomonaga, S.; Funaba, M.; Matsui, T. Effect of Long-Distance Transportation on Serum Metabolic Profiles of Steer Calves. Anim. Sci. J. 2017, 88, 1970–1978. [Google Scholar] [CrossRef]
- Knowles, T.G.; Warriss, P.D.; Brown, S.N.; Edwards, J.E. Ffects on Cattle of Transportation by Road for Upto 31 Hours. Vet. Rec. 1999, 145, 575–582. [Google Scholar] [CrossRef]




| Item | Protein-Energy Supplement 1 | |
|---|---|---|
| (d −42 to d 42) | (d 43 to d 210) | |
| Ingredients (g/kg) | ||
| Corn | 167 | 484 |
| Sorghum | 50.0 | 147 |
| Soybean meal | 429 | 125 |
| Corn gluten meal (21% CP) | 150 | - |
| Rice bran | 100 | 100 |
| Slow-release urea | 10.0 | 5.0 |
| Urea | 4.0 | 21.0 |
| Sodium chloride | 35.0 | 36.0 |
| Mineral mixture | 48.7 | 75.8 |
| Vmax2® 2 | 6.6 | 6.6 |
| Composition as feed (g/kg) | ||
| Dry matter | 89.0 | 89.6 |
| Crude protein (minimum) | 30.0 | 20.0 |
| Protein equivalent from NPN | 12.5 | 8.13 |
| Total digestible nutrients (minimum) | 65.0 | 65.0 |
| Item | Pre-Transport | Post-Transport | ||||||||
|---|---|---|---|---|---|---|---|---|---|---|
| Treatments 1 | SEM | Treatments 1 | SEM | |||||||
| CON | Pre | Post | Growth | CON | Pre | Post | Growth | |||
| Quantitative characteristics (n = 12) | ||||||||||
| Sward height (cm) | 21.3 | 21.4 | 16.4 | 18 | 2.74 | 25.2 | 24.7 | 22.7 | 23.1 | 1.85 |
| Forage mass (kg DM/ha) | 4888 | 4356 | 3509 | 3585 | 705 | 4030 | 3767 | 3526 | 3502 | 337 |
| Green leaf (% DM) | 8.66 | 11.5 | 7.53 | 13.1 | 3.2 | 42.1 | 45.3 | 48 | 48.8 | 3.88 |
| Green stem (% DM) | 9.85 | 8.33 | 5.95 | 6.56 | 1.49 | 22.4 | 21.2 | 21.2 | 23.9 | 1.21 |
| Dead leaf (% DM) | 33.5 | 28.3 | 33 | 28.1 | 2.33 | - | - | - | - | - |
| Dead stem (% DM) | 48 | 51.9 | 53.5 | 52.3 | 3.95 | - | - | - | - | - |
| Dead material (% DM) | - | - | - | - | - | 35.5 | 33.5 | 30.7 | 27.3 | 4.66 |
| Forage allowance (kg DM/kg BW) | 8.15 | 7.3 | 5.6 | 5.86 | 1.14 | 4.11 | 4.02 | 3.79 | 3.67 | 0.35 |
| Forage allowance kg (GLDM/kg BW) | 0.29 | 0.25 | 0.17 | 0.24 | 0.06 | 1.7 | 1.82 | 1.86 | 1.76 | 0.16 |
| Stocking rate (AU/ha) | 1.22 | 1.22 | 1.2 | 1.19 | 0.06 | 2.14 | 2.01 | 1.88 | 1.97 | 0.1 |
| Qualitative characteristics (g/kg) (n = 12) | ||||||||||
| Crude protein | 70.8 | 65.9 | 73.7 | 72.1 | 4.80 | 123 | 110 | 120 | 117 | 5.60 |
| NDF | 699 | 702 | 689 | 703 | 10.6 | 623 | 632 | 617 | 620 | 5.50 |
| ADF | 333 | 331 | 334 | 338 | 5.40 | 274 | 274 | 271 | 264 | 5.50 |
| Lignin | 42.3 | 41.9 | 42.7 | 44.9 | 1.90 | 30.7 | 30.6 | 28.7 | 29.2 | 1.00 |
| IVDMD | 676 | 677 | 684 | 670 | 9.70 | 807 | 804 | 812 | 816 | 5.60 |
| Item | Treatments 1 | SEM | p-Value | |||
|---|---|---|---|---|---|---|
| CON | Pre | Post | Growth | |||
| Initial BW (d −42) (kg) | 173 | 174 | 174 | 174 | 11.1 | 0.45 |
| Post-transport BW (d 0; kg) | 181 | 178 | 179 | 177 | 12.4 | 0.61 |
| BW shrink (%) | 6.98 | 7.32 | 6.54 | 7.04 | 0.61 | 0.81 |
| Final BW (d 210; kg) | 359 | 356 | 359 | 356 | 15.1 | 0.85 |
| Pre-transport ADG (kg/day) | 0.15 | 0.09 | 0.11 | 0.07 | 0.03 | 0.22 |
| Post-transport ADG (kg/day) | 0.87 | 0.87 | 0.88 | 0.87 | 0.03 | 0.96 |
| Total ADG (d −42–d 210; kg/day) | 0.75 | 0.74 | 0.76 | 0.74 | 0.02 | 0.93 |
| Item | Treatments 1 | SEM | p-Value 2 | |||||
|---|---|---|---|---|---|---|---|---|
| Con | Pre | Post | Growth | T | P | T × P | ||
| Cortisol (ng/mL) | 66.0 | 71.8 | 73.1 | 67.8 | 7.2 | 0.85 | <0.01 | 0.93 |
| Albumin (g/L) | 19.3 | 19.2 | 18.6 | 19.5 | 0.37 | 0.30 | <0.01 | 0.85 |
| Total proteins (g/L) | 54.4 | 54.1 | 54,1 | 56.4 | 1 | 0.36 | <0.01 | 0.62 |
| Urea (mmol/L) | 4.73 | 4.42 | 4.73 | 4.93 | 0.19 | 0.39 | <0.01 | 0.88 |
| Creatinine (µmol/L) | 102.5 | 108 | 111 | 103.2 | 2 | 0.14 | <0.01 | 0.17 |
| Glucose (mg/dL) | 86.5 | 93.5 | 90.2 | 90.4 | 3.5 | 0.51 | <0.01 | 0.81 |
| Cholesterol (mmol/L) | 3.01 | 2.86 | 2.95 | 2.92 | 0.06 | 0.52 | <0.01 | 0.79 |
| AST (U/L) | 68.1 | 73.5 | 70.3 | 75.4 | 3.9 | 0.32 | <0.01 | 0.5 |
| Calcium (mmol/L) | 1.74 | 1.73 | 1.67 | 1.76 | 0.03 | 0.26 | <0.01 | 0.9 |
| Phosphorus (mmol/L) | 1.7 | 1.65 | 1.62 | 1.72 | 0.05 | 0.23 | <0.01 | 0.78 |
| Magnesium (mmol/L) | 0.912 | 0.918 | 0.887 | 0.924 | 0.03 | 0.71 | <0.01 | 0.55 |
Disclaimer/Publisher’s Note: The statements, opinions and data contained in all publications are solely those of the individual author(s) and contributor(s) and not of MDPI and/or the editor(s). MDPI and/or the editor(s) disclaim responsibility for any injury to people or property resulting from any ideas, methods, instructions or products referred to in the content. |
© 2023 by the authors. Licensee MDPI, Basel, Switzerland. This article is an open access article distributed under the terms and conditions of the Creative Commons Attribution (CC BY) license (https://creativecommons.org/licenses/by/4.0/).
Share and Cite
Batista, L.H.C.; Oliveira, I.M.; Prados, L.F.; Araújo, L.C.; Ferreira, I.M.; Abreu, M.J.I.d.; Almeida, S.T.R.d.; Borges, C.A.d.A.; Siqueira, G.R.; Resende, F.D.d. The Strategic Use of an Immunomodulatory Feed Additive in Supplements for Grazing Young Nellore Bulls Transported after Weaning: Performance, Physiological, and Stress Parameters. Agriculture 2023, 13, 1027. https://doi.org/10.3390/agriculture13051027
Batista LHC, Oliveira IM, Prados LF, Araújo LC, Ferreira IM, Abreu MJId, Almeida STRd, Borges CAdA, Siqueira GR, Resende FDd. The Strategic Use of an Immunomodulatory Feed Additive in Supplements for Grazing Young Nellore Bulls Transported after Weaning: Performance, Physiological, and Stress Parameters. Agriculture. 2023; 13(5):1027. https://doi.org/10.3390/agriculture13051027
Chicago/Turabian StyleBatista, Luis Henrique Curcino, Ivanna Morais Oliveira, Laura Franco Prados, Laylles Costa Araújo, Igor Machado Ferreira, Mateus José Inácio de Abreu, Saulo Teixeira Rodrigues de Almeida, César Aparecido de Araújo Borges, Gustavo Rezende Siqueira, and Flávio Dutra de Resende. 2023. "The Strategic Use of an Immunomodulatory Feed Additive in Supplements for Grazing Young Nellore Bulls Transported after Weaning: Performance, Physiological, and Stress Parameters" Agriculture 13, no. 5: 1027. https://doi.org/10.3390/agriculture13051027
APA StyleBatista, L. H. C., Oliveira, I. M., Prados, L. F., Araújo, L. C., Ferreira, I. M., Abreu, M. J. I. d., Almeida, S. T. R. d., Borges, C. A. d. A., Siqueira, G. R., & Resende, F. D. d. (2023). The Strategic Use of an Immunomodulatory Feed Additive in Supplements for Grazing Young Nellore Bulls Transported after Weaning: Performance, Physiological, and Stress Parameters. Agriculture, 13(5), 1027. https://doi.org/10.3390/agriculture13051027

