Abstract
Halophytes such as ice plants are concurrently subjected to salt and drought stresses in their natural habitats, but our knowledge about the effects of combined stress on plants is limited. In this study, the individual and combined effects of salinity and irrigation intervals on the plant growth, mineral content, and proximate and phytochemical composition of M. crystallinum were evaluated. Treatments consisted of four irrigation treatments ((1) 100 mL once a day; (2) 100 mL once every 2 days; (3) 100 mL once every 4 days; (4) 100 mL once every 8 days) with four salt concentrations (0, 200, 400, and 800 ppm) applied in each treatment. Salt concentrations were set up by adding increasing concentrations of NaCl to the nutrient solution, while the control treatment was irrigated daily without NaCl. The results revealed a significant increase in the leaf number and fresh and dry weights of plants irrigated with 800 ppm salinity every four days. However, the highest chlorophyll content was consistently recorded in the control treatment (0 ppm, 4-day irrigation interval), although no significant variability in chlorophyll content was observed at week 6. The highest yields of N, Mg, and Cu were consistently recorded in plants without saline treatment, while P, K, Ca, Na, Zn, and Fe were consistently recorded in plants subjected to a combination of salinity and irrigation intervals. The combination of salinity and irrigation intervals was significant for Fe and Ca, whereas, for other elements, no significant differences occurred. The salt concentration did not influence the high yields of acid detergent fibre (ADF), crude fat, protein, or neutral detergent fibre (NDF), as they were recorded in high amounts in plants subjected to irrigation intervals only, whereas a combination of salinity and irrigation intervals resulted in the highest ash and moisture contents. Invariably, the 8-day irrigation interval without salinity optimized the yields of assayed polyphenols, flavonols, Ferric Reducing/Antioxidant Power (FRAP), and 2,2-diphenyl-1-picrylhydrazyl (DPPH), suggesting that salt stress does not influence the quantities of phytochemicals and antioxidants of M. crystallinum. These findings suggest that M. crystallinum can minimize the impact of salt stress on the accumulated minerals, phytochemicals, and proximate and antioxidant substances. Therefore, it is a suitable vegetable for regions affected by both salinity and water stress, as it can provide additional minerals, phytochemicals, antioxidants, and proximate nutrients when cultivated in saline soils.
1. Introduction
As the world’s population grows, so will global food production, putting additional pressure on already-scarce resources such as clean irrigation water and arable land [1,2]. In addition, increasing soil salinity and dry conditions caused by climate change are regarded as the most critical and adverse environmental factors for plants, leading to enormous losses in plant production worldwide [3]. Thus, it is of primary importance to study plant responses to salinity and drought so that the optimal conditions for plant production can be well understood.
Plants in their natural habitat are concurrently exposed to various environmental conditions, such as salinity, drought, and extreme temperatures, during their growing stages [4,5]. However, numerous studies conducted have focused on the individual effects of drought and salinity, whereas their interaction has not been taken into much consideration [6,7]. According to several studies on commercial crops, water deficit worsens the adverse effects of salinity by interfering with photosynthesis and nutrient uptake, which further inhibits growth [8,9]. Conversely, research on halophytic grass (Panicum antidotale) showed that the negative effects of drought alone on plant growth and photosynthesis could be mitigated by the combination of low salinity and drought [10]. Likewise, Alam et al. [11] reported that the combined effect of drought and salinity did not show any significant effects on the shoot length of Salsola imbricata (Fetid Saltwort). This then suggests that edible halophytes could be a suitable solution in saline areas with low rainfall. Moreover, agricultural land lost due to salinity would be regained to produce staple food.
Mesembryanthemum crystallinum L., also known as glacier lettuce or ice plant, is an edible annual succulent belonging to the Aizoaceae family [12]. It is native to the southern coastal regions of Africa and is widely distributed along the coastal areas of Europe, the USA, Mexico, Chile, the Caribbean, and western Australia [13,14,15]. The species is already consumed as a leafy vegetable in several countries, such as New Zealand, India, Germany, and the Netherlands [13]. The medicinal value of the leaf extract of the species has been reported in Tunisian folkloric medical treatments for ocular infections and as a remedy for throat and mouth infections [14,16]. The juice from the leaves is also used to relieve lung irritation, water retention, painful urination, and inflammation of the respiratory system. Thus, the species was classified as a highly functional food [17].
Moreover, the ice plant is regarded as a salt- and drought-tolerant species, and numerous laboratory experiments elucidating the physiological and molecular mechanisms behind the individual effects of salinity and drought have been published [13,18,19,20]. Yet, the combined effect of these stress factors on M. crystallinum remains unknown, as it has not been subject to much research, especially on the relative yields of minerals, phytochemicals, antioxidants, and proximate substances under different salinity levels and irrigation intervals. In addition, there is a dearth of information on the nutritional benefits of the ice plant and its potential use as a suitable vegetable for marginal areas. Thus, there is a need to study the combined effect of these stresses to support its cultivation in water-scarce regions that are affected by salinity. Therefore, this study assessed the combined effect of salinity and irrigation-interval-induced water stress on the plant growth, minerals, and proximate and phytochemical contents of M. crystallinum. The findings are expected to be useful in the domestication of this species in southern Africa, where water scarcity and salinity are prevalent.
2. Materials and Methods
2.1. Experimental Location
The experiment was carried out in the research greenhouse of the Horticultural Science Department of the Cape Peninsula University of Technology (CPUT) in Cape Town, South Africa. The greenhouse temperature was set to range between 21 and 26 °C during the day and between 12 and 18 °C at night, with a relative humidity of 60%. The daily photosynthetic photon flux density (PPFD) was 420 µmol/m2/s on average, with a maximum of 1020 µmol/m2/s.
2.2. Plant Preparation, Irrigation, and Treatments
Seeds of Mesembryanthemum crystallinum were obtained from a commercial garden centre, Renu-Karoo Nursery & Veld Restoration at Prince Albert, Western Cape, South Africa. The seeds were sown in two small seed trays containing a mixture of silica sand, coco coir, and vermiculite (1:1:1), as described by Loconsole et al. [17]. A layer of course bark was laid in the seed tray before the medium was added to prevent leaching. Approximately 2 kg of the medium was added to each tray. Thereafter, the seeds were evenly broadcasted on the trays, followed by the application of a thin layer of vermiculite on top of the seeds. The trays were then watered with Captab (4 g/L) manufactured by Universal Crop Protection (Pty) Ltd., Kempton Park, South Africa, to prevent the development of fungal diseases and were placed on a heating bed under mist irrigation sprayers for germination. After the emergence of the first set of true leaves, one hundred and ninety-two (192) germinated seedlings were washed using tap water to remove soil and other debris. They were then potted up in 12.5 cm black plastic pots containing river sand and, thereafter, were hardened off for a week in the greenhouse before they were moved to the experimental site. During this period, seedlings were irrigated daily with a nutritive solution formed by adding NUTRIFEED™ (manufactured by STARKE AYRES Pty. Ltd., Gauteng, South Africa) to municipal water at 10 g per 5 L. The nutrient solution contained the following ingredients: N (65 mg/kg), P (27 mg/kg), K (130 mg/kg), Ca (70 mg/kg), Cu (20 mg/kg), Fe (1500 mg/kg), Mo (10 mg/kg), Mg (22 mg/kg), Mn (240 mg/kg), S (75 mg/kg), B (240 mg/kg), and Zn (240 mg/kg). After acclimatisation, plants were watered with distilled water for 5 days to wash off any salt residue and, thereafter, were organized into four irrigation treatments ((1) 100 mL once a day; (2) 100 mL once every 2 days; (3) 100 mL once every 4 days; (4) 100 mL once every 8 days) with four salt concentrations (0, 200, 400, and 800 ppm) applied in each treatment. Salt concentrations were set up by adding increasing concentrations of NaCl to the nutrient solution and a handheld EC meter (Martini EC 59, manufactured by Milwaukee®, Milwaukee, MI, USA) was used to measure the salt concentration in the nutrient solution. A completely randomized design was used to accommodate the two-way factorial experiment. Forty-eight (48) replicates per factorial combination were used, totalling to 192 plants for the entire experiment.
2.3. Determination of Plant Growth
2.3.1. Leaf Length and Number of Leaves
To determine new growth, the length and quantity of leaves were employed as variables. Every two weeks, the leaf length was measured using a 30 cm ruler from the substrate level to the tip of the tallest shoot, and leaf counting was performed manually.
2.3.2. Plant Weight
Shoots and roots were divided at the post-harvest stage, and the fresh weights of various samples were determined using a typical laboratory scale (RADWAG® Model PS 750.R2). The plant material was subsequently dried to a consistent weight in an oven at 55 °C using a LABTECHTM model LDO 150F (Daihan Labtech India Pty. Ltd., 3269 Ranjit Nagar, New Delhi, India). The difference between the fresh and dry weights was compared with the amount of water held within plants’ tissues.
2.4. Chlorophyll Content
The leaf SPAD readings (Chl SPAD) were obtained from two fully formed leaves of each plant using a chlorophyll meter (SPAD-502, Konica Minolta, Japan). The readings/figures were averaged out by the SPAD-502 m to produce a final number.
2.5. Nutritional Analysis
2.5.1. Sample Preparation
Dried leaves of each set of replicates were pulverized with an electric motor blender and transferred into airtight containers, which were kept in a refrigerator at 4 °C for nutritional analyses.
2.5.2. Mineral Analysis
The elemental analysis was performed using the Inductively Coupled Plasma–Optical Emission Spectrometer in the analytical laboratory of the Department of Agriculture and Rural Development, KwaZulu Natal Province, South Africa, as described by Bulawa et al. [21], to determine the mineral composition of each set of replicates in the experiment.
2.5.3. Proximate Analysis
Moisture Content
The procedure given by Jimoh et al. [22] with slight modifications was used to determine the moisture content. Empty porcelain vessels were dried in an oven at 105 °C for one hour, allowed to cool in a desiccator, and weighed W1. One gram of pulverised samples of M. crystallinum (W2) was placed in a vessel and oven-dried to a constant weight at 105 °C. The vessel and its contents were cooled in a desiccator before being reweighed (W3). The calculation below was used to determine the percentage of moisture content.
Crude Fat Content
Following the recommendations and guidelines from the Association of Official Analytical Chemists (AOAC) [23], the crude fat was determined. A pulverized sample of about 1 g was extracted in 100 mL of diethyl ether and shaken on an orbital shaker for 24 h. The mixture was then filtered, and the filtrate was collected in previously weighed clean beakers. The ether extract was then equilibrated with 100 mL of diethyl ether and shaken for another 24 h on an orbital shaker, and the filtrate was collected in a beaker (W1). The ether filtrate was concentrated to dryness in a steam bath and oven-dried at 55 °C before being reweighed in the beaker (W2). The proportion of crude fat was calculated using the formula below.
Ash Content
To calculate the percentage ash content of plant samples, the AOAC [23] technique was utilized. After being marked with sample codes using a heat-resistant marker, porcelain crucibles were oven-dried at 105 °C for one hour. The crucibles were weighed after cooling in a desiccator (W1). Thereafter, 1 g of ground samples was added to porcelain crucibles that had already been weighed (W2). The crucibles with the contents were placed in a muffle furnace set to 250 °C for 1 h and then 550 °C for 5 h to completely ash the samples. After desiccator cooling, the samples were weighed (W3). The samples’ ash content was calculated as
Crude Protein
Crude protein was determined by boiling 2 g of ground samples in a Kjeldahl flask with concentrated H2SO4 (20 mL) until a clear mixture was obtained, with a digestion tablet acting as a catalyst. The digested extracts were distilled after being filtered and dissolved in 250 mL. An aliquot containing 50 mL of 45% NaOH was distilled further in a 500 mL round-bottomed flask, and 150 mL of the distillate was transferred into a flask containing 100 mL of 0.1 M HCl. This was then titrated with methyl orange against 2.0 mol/L NaOH. The endpoint of titration was indicated by a yellow colour change, and the percentage nitrogen content was calculated as shown in the equation below.
where N = normality, and the percentage crude protein was obtained by multiplying the nitrogen value by a constant factor of 6.25 (USDA, 2018).
Neutral Detergent Fibre (NDF)
The NDF composition of the samples was determined using the equation below, as described by [22].
2.6. Phytochemical and Antioxidant Assays
2.6.1. Sample Preparation
Harvested leaves of M. crystallinum were immediately dried in a fan-drying laboratory oven at 40 °C for 7 days. The dried material was ground into a fine powder using a Junkel and Kunkel model A 10 mill. The samples were extracted by mixing 100 mg of the dried powdered material with 25 mL of 80% (v/v) ethanol (Merck, South Africa) for 1 h. Thereafter, they were centrifuged at 4000 rpm for 5 min, and the supernatants were used for all analyses.
2.6.2. Total Polyphenols
The total polyphenol content of the extracts was performed using the Folin–Ciocalteu method as reported by [24] with slight modifications. About 25 μL of the sample was mixed with 125 μL of Folin–Ciocalteu reagent (Merck, Johannesburg, South Africa) that was diluted 10 times with distilled water in 96-well microplates. Thereafter, a 7.5% sodium carbonate solution was prepared and added to a 96-well microplate with extracts. The plate was incubated for 2 h at room temperature, and the absorbance was then measured at 765 nm in a Multiskan spectrum plate reader (Thermo Electron Corporation, Waltham, MA, USA). The standard curve was prepared using 0, 20, 50, 100, 250, and 500 mg/L gallic acid (Sigma, South Africa) in 10% EtOH, from which the polyphenolic content was extrapolated, and the results were expressed as mg gallic acid equivalent per g dry weight (mg GAE/g DW).
2.6.3. Estimation of Flavonol Content
The flavonol content of the extracts was determined using standard quercetin at 0, 5, 10, 20, 40, and 80 mg/L in 95% ethanol (Sigma-Aldrich, Johannesburg, South Africa) [25]. A volume of 12.5 μL of the crude sample extracts was mixed with 12.5 μL 0.1% HCl (Merck, South Africa) in 95% ethanol and 225 μL of 2% HCl. The extracts were then incubated for 30 min at room temperature. The absorbance was read at 360 nm at a temperature of 25 °C. The results were expressed as milligram quercetin equivalent per gram dry weight (mg QE/g DW).
2.6.4. DPPH Free Radical Scavenging Activity
The DPPH radical was generated from a solution of 0.135 mM DPPH prepared in a dark bottle, as stated by Ohikhena et al. [26]. A volume of 300 μL of DPPH solution was reacted with graded concentrations (0 and 500 μM) of Trolox standard (6-Hydrox-2,5,7,8-tetramethylchroman-2-20 carboxylic acid) solution and 25 μL of crude extract. The mixtures were incubated for 30 min, after which absorbance was taken at 517 nM. The results were expressed as μM/Trolox equivalent per g dry weight (μM TE/g DW).
2.6.5. Ferric Reducing/Antioxidant Power (FRAP) Assay
The FRAP assay was performed using the method of [27,28]. FRAP reagent was prepared by mixing 30 mL of Acetate buffer (0.3 M, pH 3.6) (Merck, South Africa) with 3 mL of 2,4,6-tripyridyl-s-triazine (10 mM in 0.1 M hydrochloric acid) (Sigma, South Africa), 3 mL of iron (III) chloride hexahydrate (FeCl3·6H2O) (Sigma, South Africa), and 6 mL of distilled water. In a 96-well plate, 10 μL of the crude sample extract was mixed with 300 μL of the FRAP reagent and incubated for 30 min at room temperature. The absorbance was then measured at 593 nm in a Multiskan spectrum plate reader (Thermo Electron Corporation, USA). The samples’ FRAP values were calculated using an L-ascorbic acid (Sigma-Aldrich, South Africa) standard curve with concentrations varying between 0 and 1000 μM. The results were expressed as μM ascorbic acid equivalents (AAE) per g dry weight (μM AAE/g DW).
2.7. Statistical Analysis
Three samples from each treatment were examined for the mineral and proximate analyses, and all assays were performed in triplicate. The data are presented as mean values and standard errors (SE) and were analysed using two-way analysis of variance (ANOVA) followed by Tukey’s least significant test at the p ≤ 0.05 significance level. The STATISTICA application, version 13.5.0.17, was used to conduct the analysis.
3. Results
3.1. Effect of Salinity and Irrigation Interval on Plant Growth Parameters
3.1.1. Leaf Length and Number of Leaves
The results obtained from this study showed that the M. crystallinum growth response to salinity and irrigation intervals was variable (Table 1). The interactive effect of salinity and irrigation intervals on leaf length was not statistically significant (p ≤ 0.05). However, this was not the case with the leaf number, where plants irrigated with 800 ppm salinity every four days had significantly higher leaf numbers than most treatments, including the control, but did not differ significantly from plants irrigated with 400 ppm salinity every four days.
Table 1.
Effect of salinity and irrigation intervals on leaf length and number of leaves of M. crystallinum.
3.1.2. Total Fresh Weight and Dry Weight
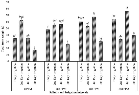
Salinity and irrigation intervals had a significant (p ≤ 0.05) effect on the total fresh weight and dry weight of M. crystallinum. The highest total fresh weight was obtained in plants irrigated with 800 ppm salinity every four days. This was significantly higher than the control and other treatments. The same trend was also observed in total dry weight: plants irrigated with 800 ppm salinity every four days had a higher dry weight than all treatments, including the control (Figure 1 and Figure 2).
Figure 1.
Effect of salinity and irrigation intervals on total fresh weight of M. crystallinum. Means (bars) that share the same letter do not vary significantly according to Tukey’s test (p ≤ 0.05).
Figure 2.
Effect of salinity and irrigation intervals on total dry weight of M. crystallinum. Means (bars) that share the same letter do not vary significantly according to Tukey’s test (p ≤ 0.05).
3.2. Effect of Salinity and Irrigation Intervals on Leaf Chlorophyll Content
The results revealed that salinity and irrigation intervals had a significant effect on the chlorophyll content of M. crystallinum leaves as the plant aged. At week 6, equivalent chlorophyll contents were recorded in all treatments, although at weeks 2, 4, and 8, the chlorophyll contents were variable, and the highest mean value of chlorophyll content was recorded in plants irrigated every four days without salinity treatment (Table 2). However, these values were comparable to those obtained in many treatments during the growing weeks, with the exception of week 8. In this last week, plants irrigated every four days without salinity had a higher chlorophyll content that was only comparable to that of plants irrigated every eight days without salinity.
Table 2.
Effect of salinity and irrigation intervals on chlorophyll content of M. crystallinum leaves.
3.3. Effect of Salinity and Irrigation Intervals on the Mineral Content of Dried Leaves of M. crystallinum
3.3.1. Macronutrients
Salinity and irrigation intervals had a significant effect (p < 0.05) on the accumulation of macronutrients in the leaves of M. crystallinum. The highest yield of nitrogen (2440 mg/100 g) was recorded in plants irrigated every eight days without salinity treatment (Table 3). This was significantly higher than in other treatments but was comparable to that of plants irrigated with 200 ppm salinity every eight days. On the contrary, the phosphorus composition of the samples was comparable among most treatments. The highest yield of 335 mg/100 g was recorded in plants irrigated every four days with 400 ppm salinity. Likewise, the highest yield of potassium (9855 mg/100 g) was also comparable to that in most treatments, including the control. Moreover, the highest yield of calcium was recorded in plants irrigated with 400 ppm salinity every four days, but this was comparable to that in most treatments, including the control. As for magnesium, the highest yield was recorded in plants irrigated every eight days without saline treatment. This was significantly higher than that in other treatments but was comparable to that in plants irrigated with 200 ppm every eight days.
Table 3.
Effect of salinity and irrigation intervals on macronutrients of M. crystallinum leaves.
3.3.2. Micronutrients
Table 4 shows the amounts of accumulated heavy metals, such as zinc (Zn), manganese (Mn), copper (Cu), and iron (Fe), in the examined samples. This study revealed a significant increase in the accumulation of manganese in plants irrigated every eight days with or without saline treatment. The highest yield of manganese was recorded in plants irrigated every eight days without salinity. This was significantly higher than in the control and plants irrigated daily with 200, 400, and 800 ppm but was comparable to that in most treatments. This was not the case for iron, where the highest yield was recorded in plants irrigated every eight days with 200 ppm salinity. This was significantly higher than the control and other treatments. When assessing the accumulation of zinc, the highest yield was recorded in plants irrigated every eight days with 400 ppm salinity. This was comparable to that of plants irrigated every second, fourth, and eighth day without salinity and plants irrigated with 200 ppm every second and eighth day and 800 ppm every eight days. As for copper, the highest yield was recorded in control plants, but this was comparable to that of plants irrigated every two days without salinity and plants irrigated with 200 ppm salinity every two days. The highest sodium accumulation was recorded in plants irrigated with 800 ppm every four days but was comparable to that in most treatments.
Table 4.
Effect of salinity and irrigation intervals on micronutrients of M. crystallinum leaves.
3.4. Effect of Salinity and Irrigation Intervals on Proximate Composition of Dried Leaves of M. crystallinum
This study discovered significant variations in the nutritional contents of M. crystallinum leaves under different salinity levels, irrigation intervals, and their interaction in terms of acid detergent fibre (ADF), ash, crude fat, moisture, neutral detergent fibre (NDF), and crude protein (Table 5). The highest acid detergent fibre was recorded in plants irrigated every two days without saline treatment, but this was comparable to that in plants irrigated daily, every four, and every eight days without salinity. Conversely, the treatments did not cause a significant variation in the ash, moisture, NDF, or protein contents of M. crystallinum leaves, as equivalent proximate nutrients were recorded for the treatments. When assessing crude fat within leaf samples, plants exposed to irrigation intervals only had higher crude fat values than those exposed to both salinity and irrigation intervals. The highest crude fat was recorded in control plants, but this was comparable to that in plants irrigated every two, four, and eight days without salinity and plants irrigated with 200 and 400 ppm salinity every eight days.
Table 5.
Effect of salinity and irrigation intervals on proximate composition of M. crystallinum leaves.
3.5. Effect of Salinity and Irrigation Intervals on Phytochemicals and Antioxidant Activity of Dried Leaves of M. crystallinum
3.5.1. Total Polyphenols
Drought stress and its interactions with salinity had a significant impact on the accumulation of polyphenols in the leaves of M. crystallinum (Table 6). Plants exposed to drought stress only had a significantly higher yield of polyphenols when compared to plants exposed to both drought and salinity stress. The highest polyphenol content (20.06 mg GAE/L) was recorded in plants irrigated every eight days without saline treatment. This was significantly higher than in other treatments at p < 0.05 but was comparable to that of plants irrigated daily without salinity (Figure 3).
Table 6.
Two-way ANOVA F-Statistic for the effect of salinity and irrigation intervals on total fresh weight, total dry weight, total polyphenols, total flavonols, FRAP, and DPPH antioxidant capacity of M. crystallinum.
Figure 3.
Effect of salinity and irrigation intervals on total polyphenols of M. crystallinum. Means (bars) that share the same letter do not vary significantly according to Tukey’s test (p ≤ 0.05).
3.5.2. Total Flavonols
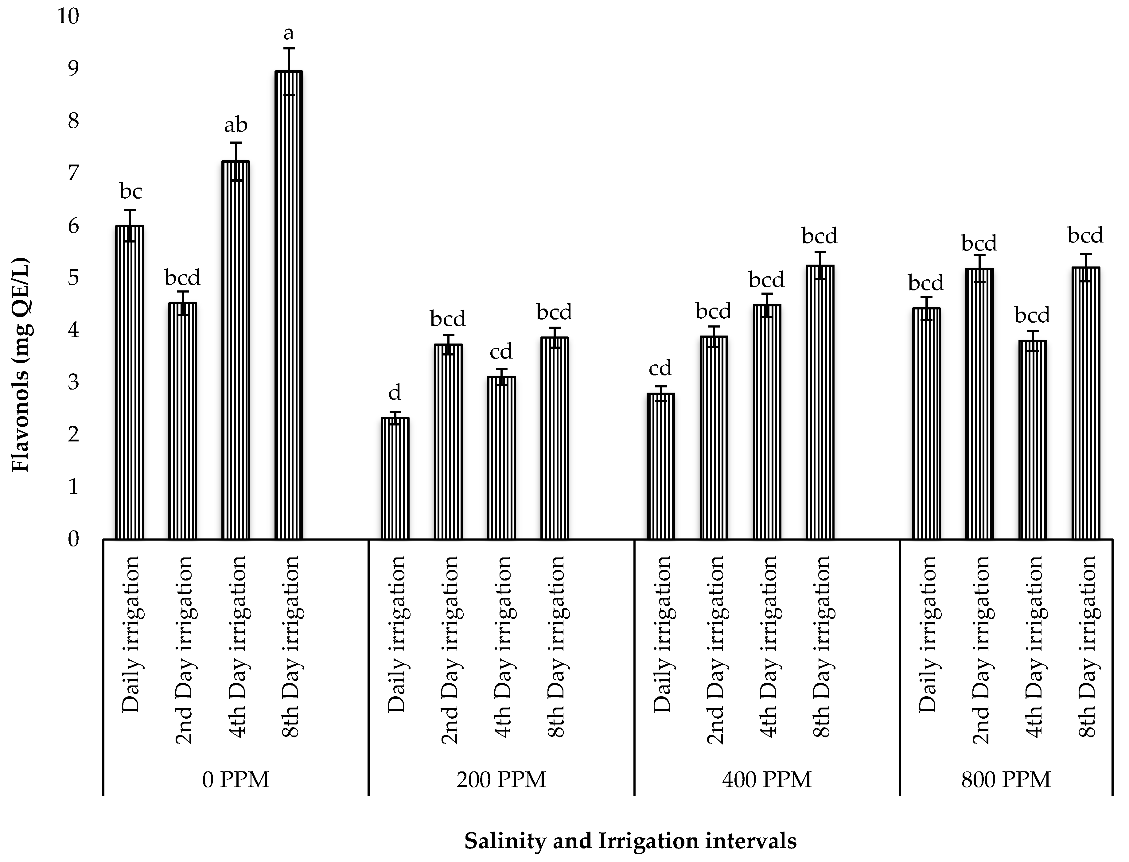
The same trend observed in total phenols was also observed in total flavonols within samples, where the highest yield was recorded in plants subjected to drought stress only. Plants irrigated every eight days without saline treatment had a significantly higher yield of flavonols when compared to plants subjected to both salinity and drought stress. Even though plants irrigated every eight days had a higher yield of flavonols, it was comparable to that in plants irrigated every four days without saline treatment (Figure 4, Table 6).
Figure 4.
Effect of salinity and irrigation intervals on total flavonols of M. crystallinum. Means (bars) that share the same letter do not vary significantly according to Tukey’s test (p ≤ 0.05).
3.5.3. FRAP Capacity
The total FRAP content in the leaves of M. crystallinum was significantly influenced by drought, salinity and their interaction at p ≤ 0.05 (Table 6). The highest FRAP capacity was recorded in plants irrigated every eight days without saline treatment. This was significantly higher than in most treatments but was comparable to that of the control, plants irrigated every eight days with 200 ppm, plants irrigated every eight days with 400 ppm and plants irrigated every eight days with 800 ppm salinity (Figure 5).
Figure 5.
Effect of salinity and irrigation intervals on FRAP capacity of M. crystallinum. Means (bars) that share the same letter do not vary significantly according to Tukey’s test (p ≤ 0.05).
3.5.4. DPPH Capacity
The DPPH capacity in the leaves of M. crystallinum varied significantly at p ≤ 0.05 under varying salinity and drought stress compared with the control (Table 6). The highest DPPH capacity was recorded in plants irrigated every eight days without salinity compared to all treatments, including the control. This was significantly different from the control and most treatments but was comparable to the DPPH capacity of plants irrigated every eight days with 200 ppm salinity (Figure 6).
Figure 6.
Effect of salinity and irrigation intervals on DPPH capacity of M. crystallinum. Means (bars) that share the same letter do not vary significantly according to Tukey’s test (p ≤ 0.05).
4. Discussion
Drought and salinity are known to be the most common coexisting factors affecting crop yield and productivity [29]. Earlier reports have stated that the combined effects of drought and salinity are more detrimental than the individual effects of each stress on plant growth and yield [30,31]. Although the patterns of different plants’ responses to salinity and drought are similar, their thresholds to stress vary from one species to another. In M. crystallinum, the individual effects of drought and salinity have been extensively studied, and the results have shown that the plant is drought- and salt-tolerant [17,32]. However, their combined effects have not yet been subject to much research. In this study, the individual and combined effects of salt and drought stress were evaluated on common ice plants. Results have shown that plants irrigated every two days without salinity had a longer leaf length. However, this was comparable to that of plants subjected to salinity and drought, suggesting that the combined effects on leaf length were not significant. These findings concur with the results reported by Alam et al. [11] on Salsola imbricata (Fetid Saltwort), where the combined effect of salt and water stress on shoot length was not significant. However, these results contradict the findings of Calone et al. [33] on Limonium angustebracteatum, where the individual effect of salt stress did not have a negative effect on leaf length but was remarkably affected by both factors. This suggests that the combined tolerance to drought and salinity could be species-specific among halophytes. When assessing the number of leaves among treatments, plants irrigated every four days with 800 ppm salinity had the highest number of leaves. This increase also resulted in higher total fresh and dry weights. These results support the findings of Sogoni et al. [24], who observed a significant increase in the leaf/branch number and total fresh and dry weights in Tetragonia decumbens subjected to salinity and drought. This behaviour can be explained by the availability of epidermal bladder cells in the leaves of many halophytes, including the common ice plant [17]. These bladder cells are known to have water and NaCl storage functions for osmotic adjustments in the vacuole, which enables these species to dilute excessive salt and enhance plant growth [17].
Drought and salt stress have been reported as major factors responsible for senescence mechanisms in plants, which cause a reduction in the chlorophyll content of many plant species [34]. Nevertheless, the effect of these abiotic factors on chlorophyll reduction varies from species to species [35]. In the present study, leaf chlorophyll contents among tested treatments were comparable to that of the control during the growing weeks and were only reduced in the last week before harvest. This reduction in chlorophyll content did not have any negative effects on plant growth. These findings were also observed by Atzori et al. [2] in a field experiment, where the common ice plant was not negatively affected by the reduction in the photosynthetic apparatus as the plant aged under increased seawater irrigation. These findings confirm that the species can tolerate both salt and drought stress under cultivation.
The nutritional quality of commercial crops around the world has been heavily affected by salinity and drought conditions, with a more pronounced effect in arid regions [36]. This has triggered an increasing global interest in the investigation of the nutritional and nutraceutical value of halophytes to tackle malnutrition and increase food security in countries affected by drought and salinity [37]. Halophytes have been proven to possess important healthy minerals with several phytochemical compounds essential for human consumption [38,39]. In the present study, high yields of minerals present in the leaves of the common ice plant under salinity and drought were found to be comparable to those in other edible halophytes, such as Aster tripolium, Sarcocornia perennis, Salicornia ramosissima, and Arthrocnemum macrostachyum, which are already consumed and sold in restaurants and supermarkets in other parts of the world [34,38,40]. The variation observed in the results shows that drought and salinity modulate mineral composition, since most minerals tested were higher than the recommended dietary intake allowance (RDA). For instance, 2000 mg of potassium is required for an adult, a limit that was obtained in all tested treatments, including the control. When compared to the previous literature on other leafy vegetables subjected to salinity and drought, such as New Zealand spinach, water spinach, Salicornia, and Sarcocornia, the common ice plant was shown to have a high content of potassium [1,41,42]. This mineral is the most prevalent intracellular cation and plays a crucial role in excitable tissues such as the heart, neurons, and skeletal muscles, as it is essential for action potentials and electrical excitability [43]. Therefore, the daily consumption of the leaves of the common ice plant would be a good source of dietary potassium.
The composition of magnesium in the analysed leaves of all treatments ranged from 340 to 1135 mg/100 g, and these values are higher than the RDA of 55 mg/100 g, proving that this species is a rich source of magnesium. The values attained in this study are comparable to those recorded by Patricia et al. [44] and Mih et al. [45] on wild vegetables consumed by the people of Lebialem Highlands, Southwestern Cameroon, and Northern Cote D’Ivoire. Magnesium is well known for preventing a number of illnesses, such as cardiovascular disorders, and its deficiency is also linked to the aetiology of diabetes mellitus [46,47]. Additionally, it is needed in the human body as an intracellular electrolyte and as a co-factor for the creation of numerous enzymes, proteins, and nucleic acids [48]. Thus, the consumption of this species will help in mitigating several illnesses.
When assessing the composition of calcium within the tested samples, most treatments meet the RDA of 1000 mg in respect of drought and salinity exposure. These results substantiate those obtained by Davis et al. [49] on Sambucus nigra exposed to varying environmental stresses, where the leaves and flowers had calcium that ranged from 500 to 1228 mg/100 g. The common ice plant has proven to be a good source of calcium, which has the ability to retain extracellular fluids, build bones and teeth, and transmit nerve impulses, blood clotting, and muscle contraction [50,51]. However, when examining the phosphorus composition within samples, all treatments fell short of the RDA of 700 mg. These results are in agreement with the findings of Jimoh et al. [22] on Amaranthus caudatus, where the examined samples had lower phosphorus than the RDA of 700 mg.
The accumulation of sodium (Na) in the leaves and roots of many halophytes in bio-saline agriculture has been reported to cause a decline in cations such as K+, Ca2+, and Mg2+ [42]. In this study, none of these cations declined, supporting the existence of a clear-cut nutrient absorption system that allows large NaCl compartmentation. This then enables the species to accumulate high Na content that is beyond the RDA of 200–500 mg proposed for healthy living organisms and might cause health problems. Caparrota et al. [52] recommended the boiling technique, as it reduced the Na composition of spinach leaves cultivated under seawater irrigation. Thus, it will be vital to cook or boil ice plant leaves before consumption when cultivated under saline conditions.
A variety of micronutrients, including iron, zinc, aluminium, copper, and manganese, are crucial for human nutrition [53]. However, their daily consumption is required in small quantities of not less than 20 mg, which accounts for less than 0.01% of body weight [54]. The micronutrients accumulated in the leaves of the ice plant were below the recommended daily allowance of 20 mg, except iron, which was above the RDA of 20 mg in all treatments, including the control. Iron has been reported to be the most commonly deficient micronutrient in school children, and its deficiency has been implicated in anaemia, fatigue, and blood-related diseases [55,56]. Most people receive iron by eating vegetables, particularly spinach [39]. Using spinach as a comparison, it is clear that ice plant leaves are a richer source of iron, displaying levels 5–10 times higher than those found in spinach.
When assessing the proximate composition of the leaves of the ice plant, variation among treatments were observed. Salinity and drought are known to impair plant nutrition; however, in this study, the ash content of the samples increased with increasing salinity and drought conditions. Ash has been used to measure the nutritional value of food and is believed to be an indicator of the mineral contents that have been conserved in food items. The ash content of the tested samples ranged from 35 to 52%, which is higher than the 5% reported for other wild vegetables and corresponds to the composition found in processed foods [57]. These results concur with Ntuli’s [53] research on two species of water spinach (Ipomea plebeian R.Br. and Ipomea wightii (Wall.) Choisy), where the ash level was reported to range from 20 to 38%. The plant’s high ash value suggests that it is an abundant source of dietary fibre.
Most wild vegetables, including halophytes, have been reported to have low levels of unsaturated fats that range from 2 to 4% [21]. The amount of crude fat in the analysed samples concurs with this finding of [21] since it was lower than 3% in all tested treatments, including the control. Excessive fat in food can lead to increased cholesterol, which is a major cause of cardiovascular disorders. Thus, the consumption of this leafy vegetable will be suitable for the management of weight loss and diseases caused by excess fat content. When assessing the protein content within samples, it ranged from 9 to 15%. This is similar to what was reported by Ajayi et al. [58] on Amaranthus cruentus (11.32%) and Solanum nigrum (15.06%). This implies that the ice plant can be a good natural source of protein and could reduce protein malnutrition in children, especially in developing nations.
Dietary fibre is essential for controlling bowel movements, preventing cardiovascular disease, and slowing the absorption of cholesterol. The neutral detergent fibre (NDF) present in the tested samples ranged from 20 to 29% and was higher than the values reported in other wild vegetables, such as Amaranthus cruentus (8.45%), Celosia argentea (23%), and Solanum nigrum (9.56%) [55,58]. The NDF concentration found in ice plant leaves is a sign that the species may assist in regulating intestinal transit, increasing dietary bulk, and lowering the risk of various metabolic illnesses such as colon cancer, obesity, and diabetes that are brought on by the insufficient intake of crude fibre. Moreover, the tested samples possessed a lower moisture content that ranged from 7 to 10%, suggesting that the leaves of this species might have lower microbial contamination and chemical degradation, which are normally associated with high moisture content [59]. These lower values imply that the leaves of the ice plant may have a lengthy storage life, benefiting producers and sellers.
Abiotic factors such as salinity and drought stress are known to increase the production of reactive oxygen species (ROS), triggering oxidative stress and the activation of antioxidant mechanisms in plants [60]. During this process, many plant species alter their growth and produce metabolites, such as phenolic compounds, which act as reducing agents, hydrogen donors, and singlet oxygen quenchers [61]. These phenolic compounds are of great intrinsic importance in human nutrition since they scavenge free radicals and suppress lipid peroxidation in human tissues, which prevents potential issues brought on by the excessive consumption of synthetic additives. In the present study, the individual effect of drought stress optimized the yield of polyphenols and flavonols, while its interaction with salinity reduced these compounds. These findings contradict those of Alam et al. [11] on Salsola imbricata (Fetid Saltwort) subjected to both salinity and drought, where an increase in proline accumulation acted as an antioxidative defence system to maintain a balance between ROS over-accumulation and their elimination to keep ROS at the signalling level required for plant growth [62]. The positive effect of salinity in drought-stressed halophytes has also been reported in Atriplex halimus L., where the accumulation of antioxidants was reduced in samples subjected to the combined effect of salinity and drought [63]. This improved drought tolerance under salinity may be due to osmotic adjustment through higher Na+ and proline accumulation and antioxidative enzymes [64]. Nevertheless, the leaves of ice plants subjected to both salinity and water stress possessed more polyphenols and flavonols than other promising edible halophytes in South Africa, such as Chenopodium album, Trachyandra divaricata, Trachyandra ciliata [21,65,66,67], and Tetragonia decumbens [24,68]. This suggests that the leaves of this plant may be a good source of nutritional antioxidants.
In summary, increased salt concentrations did not influence the high yields of acid detergent fibre (ADF), crude fat, protein, neutral detergent fibre (NDF), and phytochemicals and antioxidants in M. crystallinum, as these phytonutrients were recorded in high amounts in plants subjected to irrigation intervals only, although a combination of salinity and irrigation intervals resulted in the highest ash and moisture contents. These findings validate earlier reports that M. crystallinum can excrete salt through its foliar epidermal bladder, thereby normalizing salt-induced stress, which could trigger the increased accumulation of phytochemicals, antioxidants, and proximate nutrients in the species.
5. Conclusions
The results of this study show that salinity and irrigation intervals influence the production of phytochemicals, as well as vegetative development and nutritional value, in M. crystallinum leaves. Plants supplemented with 800 ppm salinity every four days revealed a significant increase in growth parameters, while the nutritional composition was comparable among treatments. The accumulated yields of phytochemicals, antioxidants, and nutritional components in the leaves of M. crystallinum are within the recommended daily allowances for consumption and reflect a nutrient-supplying vegetable crop. The plant’s high fibre, ash, and protein contents attest to its value as an immune booster, a significant nutraceutical, and a possible functional food for humans. Additionally, the lower moisture level suggests that the leaves of this species may have a lengthy shelf life, benefiting producers and sellers. These findings suggest that M. crystallinum could provide an additional source of nutrients in regions affected by both salinity and irrigation intervals. Thus, its domestication in South Africa, a water-scarce nation, is highly recommended.
Author Contributions
Conceptualisation, M.O.J. and C.P.L.; methodology, M.O.J. and C.P.L.; software, M.O.J., O.M. and C.M.W.; validation, C.P.L. and M.O.J.; formal analysis, M.O.J. and A.S.; investigation, O.M., M.O.J., F.R. and C.P.L.; resources, C.P.L.; data curation, M.O.J. and A.S.; writing-original draft preparation, O.M.; writing, review and editing, A.S., M.O.J., C.M.W. and C.P.L.; supervision, M.O.J. and C.P.L.; project administration, C.P.L.; funding acquisition, C.P.L. All authors have read and agreed to the published version of the manuscript.
Funding
This research was funded by the Cape Peninsula University of Technology through the University Research Fund. Funding number (219334374).
Institutional Review Board Statement
Not applicable.
Data Availability Statement
All data are included in the manuscript.
Acknowledgments
The authors would like to thank the technicians (Phumlani Roto and Terence Mabela) in the Department of Horticultural Sciences for the acquisition of all necessary equipment and reagents for the experiment.
Conflicts of Interest
The authors declare no conflict of interest.
References
- Atzori, G.; Nissim, W.; Macchiavelli, T.; Vita, F.; Azzarello, E.; Pandolfi, C.; Masi, E.; Mancuso, S. Tetragonia tetragonioides (Pallas) Kuntz. as Promising Salt-Tolerant Crop in a Saline Agricultural Context. Agric. Water Manag. 2020, 240, 106261. [Google Scholar] [CrossRef]
- Atzori, G.; de Vos, A.C.; van Rijsselberghe, M.; Vignolini, P.; Rozema, J.; Mancuso, S.; van Bodegom, P.M. Effects of Increased Seawater Salinity Irrigation on Growth and Quality of the Edible Halophyte Mesembryanthemum crystallinum L. under Field Conditions. Agric. Water Manag. 2017, 187, 37–46. [Google Scholar] [CrossRef]
- Raza, A.; Razzaq, A.; Mehmood, S.S.; Zou, X.; Zhang, X.; Lv, Y.; Xu, J. Impact of Climate Change on Crops Adaptation and Strategies to Tackle Its Outcome: A Review. Plants 2019, 8, 34. [Google Scholar] [CrossRef] [PubMed]
- Maaloul, S.; Abdellaoui, R.; Mahmoudi, M.; Bouhamda, T.; Bakhshandeh, E.; Boughalleb, F. Seasonal Environmental Changes Affect Differently the Physiological and Biochemical Responses of Two Limonium Species in Sabkha Biotope. Physiol. Plant 2021, 172, 2112–2128. [Google Scholar] [CrossRef] [PubMed]
- Pandey, P.; Irulappan, V.; Bagavathiannan, M.V.; Senthil-Kumar, M. Impact of Combined Abiotic and Biotic Stresses on Plant Growth and Avenues for Crop Improvement by Exploiting Physio-Morphological Traits. Front. Plant Sci. 2017, 8, 537. [Google Scholar] [CrossRef]
- Stavridou, E.; Webster, R.J.; Robson, P.R.H. Novel Miscanthus Genotypes Selected for Different Drought Tolerance Phenotypes Show Enhanced Tolerance across Combinations of Salinity and Drought Treatments. Ann. Bot. 2019, 124, 653–674. [Google Scholar] [CrossRef]
- Lu, Y.; Zhang, B.; Li, L.; Zeng, F.; Li, X. Negative Effects of Long-Term Exposure to Salinity, Drought, and Combined Stresses on Halophyte Halogeton Glomeratus. Physiol. Plant 2021, 173, 2307–2322. [Google Scholar] [CrossRef]
- Álvarez, S.; Sánchez-Blanco, M.J. Comparison of Individual and Combined Effects of Salinity and Deficit Irrigation on Physiological, Nutritional and Ornamental Aspects of Tolerance in Callistemon Laevis Plants. J. Plant Physiol. 2015, 185, 65–74. [Google Scholar] [CrossRef]
- Alam, H.; Khattak, J.Z.K.; Ksiksi, T.S.; Saleem, M.H.; Fahad, S.; Sohail, H.; Ali, Q.; Zamin, M.; El-Esawi, M.A.; Saud, S.; et al. Negative Impact of Long-Term Exposure of Salinity and Drought Stress on Native Tetraena mandavillei L. Physiol. Plant 2021, 172, 1336–1351. [Google Scholar] [CrossRef]
- Hussain, T.; Koyro, H.W.; Zhang, W.; Liu, X.; Gul, B.; Liu, X. Low Salinity Improves Photosynthetic Performance in Panicum Antidotale Under Drought Stress. Front. Plant Sci. 2020, 11, 481. [Google Scholar] [CrossRef]
- Alam, H.; Zamin, M.; Adnan, M.; Shah, A.N.; Alharby, H.F.; Bamagoos, A.A.; Alabdallah, N.M.; Alzahrani, S.S.; Alharbi, B.M.; Saud, S.; et al. Exploring Suitability of Salsola imbricata (Fetid Saltwort) for Salinity and Drought Conditions: A Step Toward Sustainable Landscaping Under Changing Climate. Front. Plant Sci. 2022, 13, 900210. [Google Scholar] [CrossRef] [PubMed]
- Xia, J.; Mattson, N. Response of Common Ice Plant (Mesembryanthemum crystallinum L.) to Photoperiod/Daily Light Integral in Vertical Hydroponic Production. Horticulturae 2022, 8, 653. [Google Scholar] [CrossRef]
- Rodríguez-Hernández, M.D.C.; Garmendia, I. Optimum Growth and Quality of the Edible Ice Plant under Saline Conditions. J. Sci. Food Agric. 2022, 102, 2686–2692. [Google Scholar] [CrossRef] [PubMed]
- Calvo, M.M.; Martín-diana, A.B.; Rico, D.; López-caballero, M.E.; Martínez-álvarez, O. Antioxidant, Antihypertensive, Hypoglycaemic and Nootropic Activity of a Polyphenolic Extract from the Halophyte Ice Plant (Mesembryanthemum crystallinum). Foods 2022, 11, 1581. [Google Scholar] [CrossRef] [PubMed]
- Śliwa-Cebula, M.; Koniarz, T.; Szara-Bąk, M.; Baran, A.; Miszalski, Z.; Kaszycki, P. Phytoremediation of Metal-Contaminated Bottom Sediments by the Common Ice Plant (Mesembryanthemum crystallinum L.) in Poland. J. Soils Sediments 2022, 23, 1065–1082. [Google Scholar] [CrossRef]
- Xia, J.; Mattson, N.; Stelick, A.; Dando, R. Sensory Evaluation of Common Ice Plant (Mesembryanthemum crystallinum L.) in Response to Sodium Chloride Concentration in Hydroponic Nutrient Solution. Foods 2022, 11, 2790. [Google Scholar] [CrossRef]
- Loconsole, D.; Murillo-Amador, B.; Cristiano, G.; de Lucia, B. Halophyte Common Ice Plants: A Future Solution to Arable Land Salinization. Sustainability 2019, 11, 6076. [Google Scholar] [CrossRef]
- Oh, D.H.; Barkla, B.J.; Vera-Estrella, R.; Pantoja, O.; Lee, S.Y.; Bohnert, H.J.; Dassanayake, M. Cell Type-Specific Responses to Salinity—The Epidermal Bladder Cell Transcriptome of Mesembryanthemum crystallinum. New Phytol. 2015, 207, 627–644. [Google Scholar] [CrossRef]
- Cosentino, C.; Fischer-Schliebs, E.; Bertl, A.; Thiel, G.; Homann, U. Na+/H+ Antiporters Are Differentially Regulated in Response to NaCl Stress in Leaves and Roots of Mesembryanthemum crystallinum. New Phytol. 2010, 186, 669–680. [Google Scholar] [CrossRef]
- Agarie, S.; Shimoda, T.; Shimizu, Y.; Baumann, K.; Sunagawa, H.; Kondo, A.; Ueno, O.; Nakahara, T.; Nose, A.; Cushman, J.C. Salt Tolerance, Salt Accumulation, and Ionic Homeostasis in an Epidermal Bladder-Cell-Less Mutant of the Common Ice Plant Mesembryanthemum crystallinum. J. Exp. Bot. 2007, 58, 1957–1967. [Google Scholar] [CrossRef]
- Bulawa, B.; Sogoni, A.; Jimoh, M.O.; Laubscher, C.P. Potassium Application Enhanced Plant Growth, Mineral Composition, Proximate and Phytochemical Content in Trachyandra divaricata Kunth (Sandkool). Plants 2022, 11, 3183. [Google Scholar] [CrossRef] [PubMed]
- Jimoh, M.O.; Afolayan, A.J.; Lewu, F.B. Nutrients and Antinutrient Constituents of Amaranthus caudatus L. Cultivated on Different Soils. Saudi J. Biol. Sci. 2020, 27, 3570–3580. [Google Scholar] [CrossRef] [PubMed]
- AOAC, (Association of Official Analytical Chemist). Official Methods of Analysis; Latimer, G.W., Jr., Ed.; AOAC International: Washinton, DC, USA, 2016; ISBN 0935584870. [Google Scholar]
- Sogoni, A.; Jimoh, M.; Kambizi, L.; Laubscher, C. The Impact of Salt Stress on Plant Growth, Mineral Composition, and Antioxidant Activity in Tetragonia Decumbens Mill.: An Underutilized Edible Halophyte in South Africa. Horticulturae 2021, 7, 140. [Google Scholar] [CrossRef]
- Lim, S.H.; Kim, D.H.; Jung, J.A.; Hyung, N.I.; Youn, Y.; Lee, J.Y. Silencing of Dihydroflavonol 4-Reductase in Chrysanthemum Ray Florets Enhances Flavonoid Biosynthesis and Antioxidant Capacity. Plants 2022, 11, 1681. [Google Scholar] [CrossRef] [PubMed]
- Ohikhena, F.U.; Wintola, O.A.; Afolayan, A.J. Evaluation of the Antibacterial and Antifungal Properties of Phragmanthera capitata (Sprengel) Balle (Loranthaceae), a Mistletoe Growing on Rubber Tree, Using the Dilution Techniques. Sci. World J. 2017, 2017, 9658598. [Google Scholar] [CrossRef] [PubMed]
- Benzie, I.F.F.; Strain, J.J. [2] Ferric Reducing/Antioxidant Power Assay: Direct Measure of Total Antioxidant Activity of Biological Fluids and Modified Version for Simultaneous Measurement of Total Antioxidant Power and Ascorbic Acid Concentration. Methods Enzym. 1999, 299, 15–27. [Google Scholar] [CrossRef]
- Jimoh, M.A.; Idris, O.A.; Jimoh, M.O. Cytotoxicity, Phytochemical, Antiparasitic Screening, and Antioxidant Activities of Mucuna pruriens (Fabaceae). Plants 2020, 9, 1249. [Google Scholar] [CrossRef]
- Ors, S.; Ekinci, M.; Yildirim, E.; Sahin, U.; Turan, M.; Dursun, A. Interactive Effects of Salinity and Drought Stress on Photosynthetic Characteristics and Physiology of Tomato (Lycopersicon esculentum L.) Seedlings. South Afr. J. Bot. 2021, 137, 335–339. [Google Scholar] [CrossRef]
- Ors, S.; Suarez, D.L. Spinach Biomass Yield and Physiological Response to Interactive Salinity and Water Stress. Agric. Water Manag. 2017, 190, 31–41. [Google Scholar] [CrossRef]
- Sahin, U.; Ekinci, M.; Ors, S.; Turan, M.; Yildiz, S.; Yildirim, E. Effects of Individual and Combined Effects of Salinity and Drought on Physiological, Nutritional and Biochemical Properties of Cabbage (Brassica Oleracea var. Capitata). Sci. Hortic. 2018, 240, 196–204. [Google Scholar] [CrossRef]
- Agarie, S.; Tada, M.; Kimura, M.; Suzuki, H.; Morokuma, M.; Toyota, M.; Nakamura, I. Growth and Salt Accumulation Capacity of the Common Ice Plant in the Tsunami-Affected Soil. Plant Prod. Sci. 2022, 25, 384–393. [Google Scholar] [CrossRef]
- Calone, R.; Mircea, D.-M.; González-Orenga, S.; Boscaiu, M.; Zuzunaga-Rosas, J.; Barbanti, L.; Vicente, O. Effect of Recurrent Salt and Drought Stress Treatments on the Endangered Halophyte Limonium angustebracteatum Erben. Plants 2023, 12, 191. [Google Scholar] [CrossRef] [PubMed]
- Petretto, G.L.; Urgeghe, P.P.; Massa, D.; Melito, S. Effect of Salinity (NaCl) on Plant Growth, Nutrient Content, and Glucosinolate Hydrolysis Products Trends in Rocket Genotypes. Plant Physiol. Biochem. 2019, 141, 30–39. [Google Scholar] [CrossRef] [PubMed]
- Zilaie, M.N.; Arani, A.M.; Etessami, H.; Dinarvand, M.; Dolati, A. Halotolerant Plant Growth-Promoting Rhizobacteria-Mediated Alleviation of Salinity and Dust Stress and Improvement of Forage Yield in the Desert Halophyte Seidlitzia rosmarinus. Environ. Exp. Bot. 2022, 201, 104952. [Google Scholar] [CrossRef]
- Ali, M.; Parveen, A.; Malik, Z.; Kamran, M.; Saleem, M.H.; Abbasi, G.H.; Ahmad, I.; Ahmad, S.; Sathish, M.; Okla, M.K.; et al. Zn Alleviated Salt Toxicity in Solanum lycopersicum L. Seedlings by Reducing Na+ Transfer, Improving Gas Exchange, Defense System and Zn Contents. Plant Physiol. Biochem. 2022, 186, 52–63. [Google Scholar] [CrossRef]
- Alexopoulos, A.A.; Assimakopoulou, A.; Panagopoulos, P.; Bakea, M.; Vidalis, N.; Karapanos, I.C.; Rouphael, Y.; Petropoulos, S.A. Hedypnois cretica, L. and Urospermum picroides, L. Plant Growth, Nutrient Status and Quality Characteristics under Salinity Stress. Horticulturae 2023, 9, 65. [Google Scholar] [CrossRef]
- Barreira, L.; Resek, E.; Rodrigues, M.J.; Rocha, M.I.; Pereira, H.; Bandarra, N.; da Silva, M.M.; Varela, J.; Custódio, L. Halophytes: Gourmet Food with Nutritional Health Benefits? J. Food Compos. Anal. 2017, 59, 35–42. [Google Scholar] [CrossRef]
- Duarte, B.; Feijão, E.; Pinto, M.V.; Matos, A.R.; Silva, A.; Figueiredo, A.; Fonseca, V.F.; Reis-Santos, P.; Caçador, I. Nutritional Valuation and Food Safety of Endemic Mediterranean Halophytes Species Cultivated in Abandoned Salt Pans under a Natural Irrigation Scheme. Estuar. Coast Shelf Sci. 2022, 265, 107733. [Google Scholar] [CrossRef]
- Ventura, Y.; Eshel, A.; Pasternak, D.; Sagi, M. The Development of Halophyte-Based Agriculture: Past and Present. Ann. Bot. 2015, 115, 529–540. [Google Scholar] [CrossRef]
- Ventura, Y.; Wuddineh, W.A.; Myrzabayeva, M.; Alikulov, Z.; Khozin-Goldberg, I.; Shpigel, M.; Samocha, T.M.; Sagi, M. Effect of Seawater Concentration on the Productivity and Nutritional Value of Annual Salicornia and Perennial Sarcocornia Halophytes as Leafy Vegetable Crops. Sci. Hortic. 2011, 128, 189–196. [Google Scholar] [CrossRef]
- Bekmirzaev, G.; Ouddane, B.; Beltrao, J.; Fujii, Y. The Impact of Salt Concentration on the Mineral Nutrition of Tetragonia tetragonioides. Agriculture 2020, 10, 238. [Google Scholar] [CrossRef]
- Wrzecí, E.; Kowalczyk, M.; Araujo, A.; Zbieta Gałęska, E.; Wrzecí Nska, M.; Kowalczyk, A.; Araujo, J.P. Reproductive Consequences of Electrolyte Disturbances in Domestic Animals. Biology 2022, 11, 1006. [Google Scholar] [CrossRef]
- Patricia, O.; Zoue, L.; Megnanou, R.-M.; Doue, R.; Niamke, S. Proximate composition and nutritive value of leafy vegetables consumed in northern côte d’ivoire. Eur. Sci. J. 2014, 10, 1857–7881. [Google Scholar]
- Mih, A.M.; Ngone, A.M.; Ndam, L.M.; Mih, A.M.; Ngone, A.M.; Ndam, L.M. Assessment of Nutritional Composition of Wild Vegetables Consumed by the People of Lebialem Highlands, South Western Cameroon. Food Nutr. Sci. 2017, 8, 647–657. [Google Scholar] [CrossRef]
- Gröber, U.; Schmidt, J.; Kisters, K. Magnesium in Prevention and Therapy. Nutrients 2015, 7, 8199–8226. [Google Scholar] [CrossRef]
- Arshad, M.S.; Khan, U.; Sadiq, A.; Khalid, W.; Hussain, M.; Yasmeen, A.; Asghar, Z.; Rehana, H. Coronavirus Disease (COVID-19) and Immunity Booster Green Foods: A Mini Review. Food Sci. Nutr. 2020, 8, 3971–3976. [Google Scholar] [CrossRef]
- Kaur, M.; Kaur, R.; Gill, B.S. Mineral and Amino Acid Contents of Different Flaxseed Cultivars in Relation to Its Selected Functional Properties. J. Food Meas. Charact. 2017, 11, 500–511. [Google Scholar] [CrossRef]
- Diviš, P.; Pořízka, J.; Vespalcov, M.; Matějíček, A.; Kaplan, J. Elemental Composition of Fruits from Different Black Elder (Sambucus nigra L.) Cultivars Grown in the Czech Republic. J. Elem. 2015, 20, 549–557. [Google Scholar] [CrossRef]
- Kumari, A.; Parida, A.K.; Rangani, J.; Panda, A. Antioxidant Activities, Metabolic Profiling, Proximate Analysis, Mineral Nutrient Composition of Salvadora Persica Fruit Unravel a Potential Functional Food and a Natural Source of Pharmaceuticals. Front. Pharm. 2017, 8, 61. [Google Scholar] [CrossRef]
- Afuape, A.O.; Afolayan, A.J.; Buwa-Komoreng, L.V. Proximate, Vitamins, Minerals and Anti-Nutritive Constituents of the Leaf and Stem of Helichrysum odoratissimum (L.) Sweet: A Folk Medicinal Plant in South Africa. Int. J. Plant Biol. 2022, 13, 463–472. [Google Scholar] [CrossRef]
- Caparrotta, S.; Masi, E.; Atzori, G.; Diamanti, I.; Azzarello, E.; Mancuso, S.; Pandolfi, C. Growing Spinach (Spinacia oleracea) with Different Seawater Concentrations: Effects on Fresh, Boiled and Steamed Leaves. Sci. Hortic. 2019, 256, 108540. [Google Scholar] [CrossRef]
- Ntuli, N.R. Nutrient Content of Scarcely Known Wild Leafy Vegetables from Northern KwaZulu-Natal, South Africa. S. Afr. J. Bot. 2019, 127, 19–24. [Google Scholar] [CrossRef]
- Ogundola, A.F.; Bvenura, C.; Afolayan, A.J. Nutrient and Antinutrient Compositions and Heavy Metal Uptake and Accumulation in S. Nigrum Cultivated on Different Soil Types. Sci. World J. 2018, 2018, 57. [Google Scholar] [CrossRef] [PubMed]
- Adegbaju, O.D.; Otunola, G.A.; Afolayan, A.J. Proximate, Mineral, Vitamin and Anti-Nutrient Content of Celosia Argentea at Three Stages of Maturity. S. Afr. J. Bot. 2019, 124, 372–379. [Google Scholar] [CrossRef]
- Gharibzahedi, S.M.T.; Jafari, S.M. The Importance of Minerals in Human Nutrition: Bioavailability, Food Fortification, Processing Effects and Nanoencapsulation. Trends Food Sci. Technol. 2017, 62, 119–132. [Google Scholar] [CrossRef]
- Liu, S.X.; Chen, D.; Xu, J. Physiochemical Properties of Jet-Cooked Amaranth and Improved Rheological Properties by Processed Oat Bran. Future Foods 2022, 5, 100107. [Google Scholar] [CrossRef]
- Ajayi, O.; Bamidele, T.; Malachi, O.; Oladejo, A. Comparative Proximate, Minerals and Antinutrient Analysis of Selected Nigerian Leafy Vegetables. J. Appl. Life Sci. Int. 2018, 16, 1–8. [Google Scholar] [CrossRef]
- Ooi, D.J.; Iqbal, S.; Ismail, M. Proximate Composition, Nutritional Attributes and Mineral Composition of Peperomia pellucida L. (Ketumpangan Air) Grown in Malaysia. Molecules 2012, 17, 11139–11145. [Google Scholar] [CrossRef]
- González-Orenga, S.; Grigore, M.-N.; Boscaiu, M.; Vicente, O. Constitutive and Induced Salt Tolerance Mechanisms and Potential Uses of Limonium Mill. Species. Agronomy 2021, 11, 413. [Google Scholar] [CrossRef]
- Zhang, J.; Phan, A.D.T.; Srivarathan, S.; Akter, S.; Sultanbawa, Y.; Cozzolino, D. Proximate Composition, Functional and Antimicrobial Properties of Wild Harvest Terminalia Carpentariae Fruit. J. Food Meas. Charact. 2022, 16, 582–589. [Google Scholar] [CrossRef]
- Jamshidi Goharrizi, K.; Amirmahani, F.; Salehi, F. Assessment of Changes in Physiological and Biochemical Traits in Four Pistachio Rootstocks under Drought, Salinity and Drought + Salinity Stresses. Physiol. Plant 2020, 168, 973–989. [Google Scholar] [CrossRef] [PubMed]
- Alla, M.M.N.; Khedr, A.H.A.; Serag, M.M.; Abu-Alnaga, A.Z.; Nada, R.M. Regulation of Metabolomics in Atriplex Halimus Growth under Salt and Drought Stress. Plant Growth Regul. 2012, 67, 281–304. [Google Scholar] [CrossRef]
- Wu, G.Q.; Feng, R.J.; Liang, N.; Yuan, H.J.; Sun, W. bin Sodium Chloride Stimulates Growth and Alleviates Sorbitol-Induced Osmotic Stress in Sugar Beet Seedlings. Plant Growth Regul. 2015, 75, 307–316. [Google Scholar] [CrossRef]
- Chamkhi, I.; Charfi, S.; el Hachlafi, N.; Mechchate, H.; Guaouguaou, F.E.; el Omari, N.; Bakrim, S.; Balahbib, A.; Zengin, G.; Bouyahya, A. Genetic Diversity, Antimicrobial, Nutritional, and Phytochemical Properties of Chenopodium Album: A Comprehensive Review. Food Res. Int. 2022, 154, 110979. [Google Scholar] [CrossRef] [PubMed]
- Tshayingwe, A.; Jimoh, M.O.; Sogoni, A.; Wilmot, C.M.; Laubscher, C.P. Light Intensity and Growth Media Influence Growth, Nutrition, and Phytochemical Content in Trachyandra divaricata Kunth. Agronomy 2023, 13, 247. [Google Scholar] [CrossRef]
- Ngxabi, S.; Jimoh, M.O.; Kambizi, L.; Laubscher, C.P. Growth Characteristics, Phytochemical Contents, and Antioxidant Capacity of Trachyandra ciliata (L.f) Kunth Grown in Hydroponics under Varying Degrees of Salinity. Horticulturae 2021, 7, 244. [Google Scholar] [CrossRef]
- Nkcukankcuka, M.; Jimoh, M.O.; Griesel, G.; Laubscher, C.P. Growth Characteristics, Chlorophyll Content and Nutrients Uptake in Tetragonia Decumbens Mill. Cultivated under Different Fertigation Regimes in Hydroponics. Crop Pasture Sci. 2022, 73, 67–76. [Google Scholar] [CrossRef]
Disclaimer/Publisher’s Note: The statements, opinions and data contained in all publications are solely those of the individual author(s) and contributor(s) and not of MDPI and/or the editor(s). MDPI and/or the editor(s) disclaim responsibility for any injury to people or property resulting from any ideas, methods, instructions or products referred to in the content. |
© 2023 by the authors. Licensee MDPI, Basel, Switzerland. This article is an open access article distributed under the terms and conditions of the Creative Commons Attribution (CC BY) license (https://creativecommons.org/licenses/by/4.0/).





