Stomatal Regulation and Osmotic Adjustment in Sorghum in Response to Salinity
Abstract
1. Introduction
2. Materials and Methods
2.1. Experimental Design and Treatments
2.2. Osmotic Potential, Water Potential, Turgor Potential, and Osmotic Adjustment
2.3. Leaf Gas Exchange
2.4. Leaf Fresh Weight, Leaf Dry Weight, and Plant Height
2.5. Statistical Analyses
3. Results
3.1. Xylem Osmotic, Water, and Turgor Potentials, and Osmotic Adjustment Ability
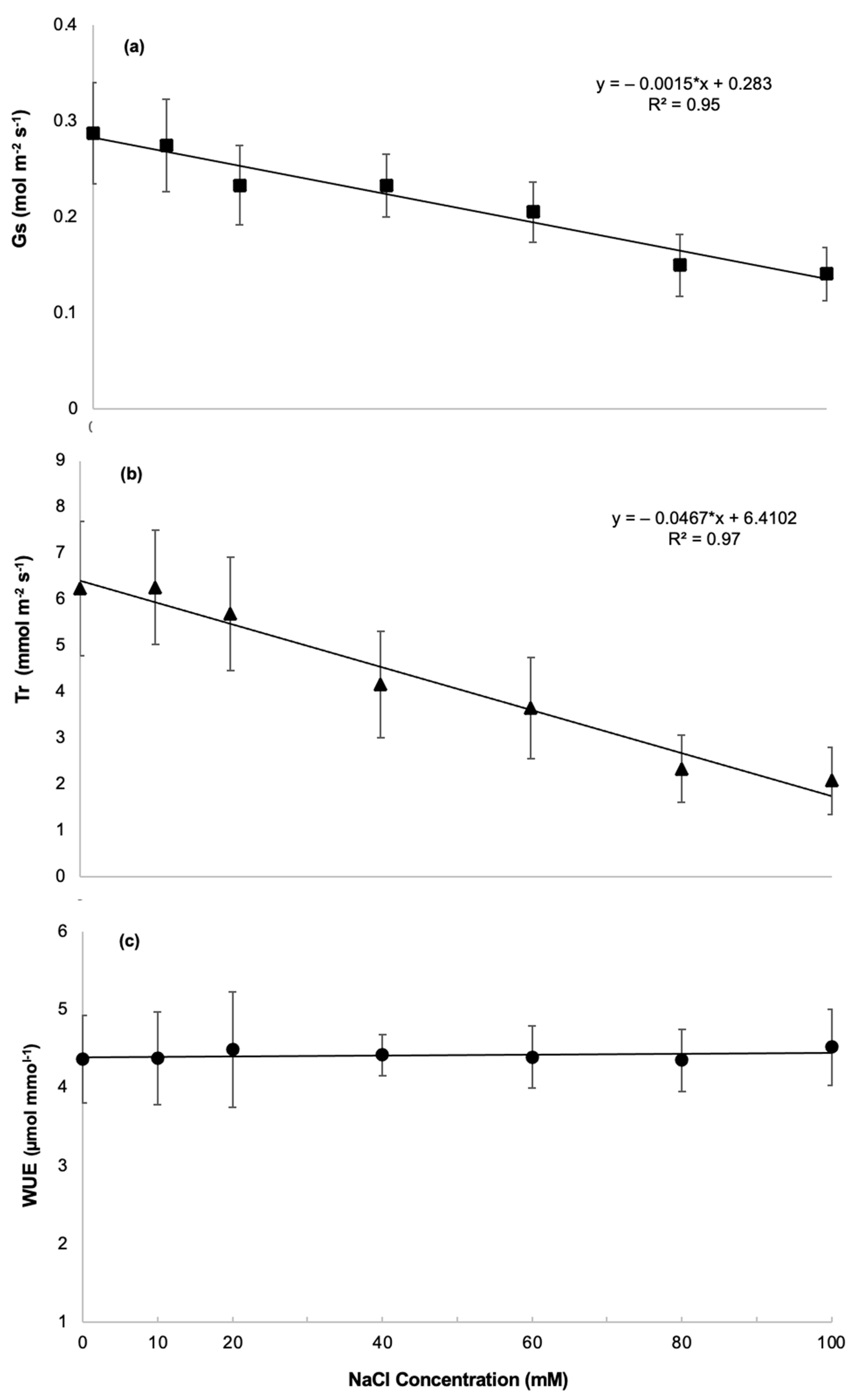
3.2. Leaf Gas Exchange
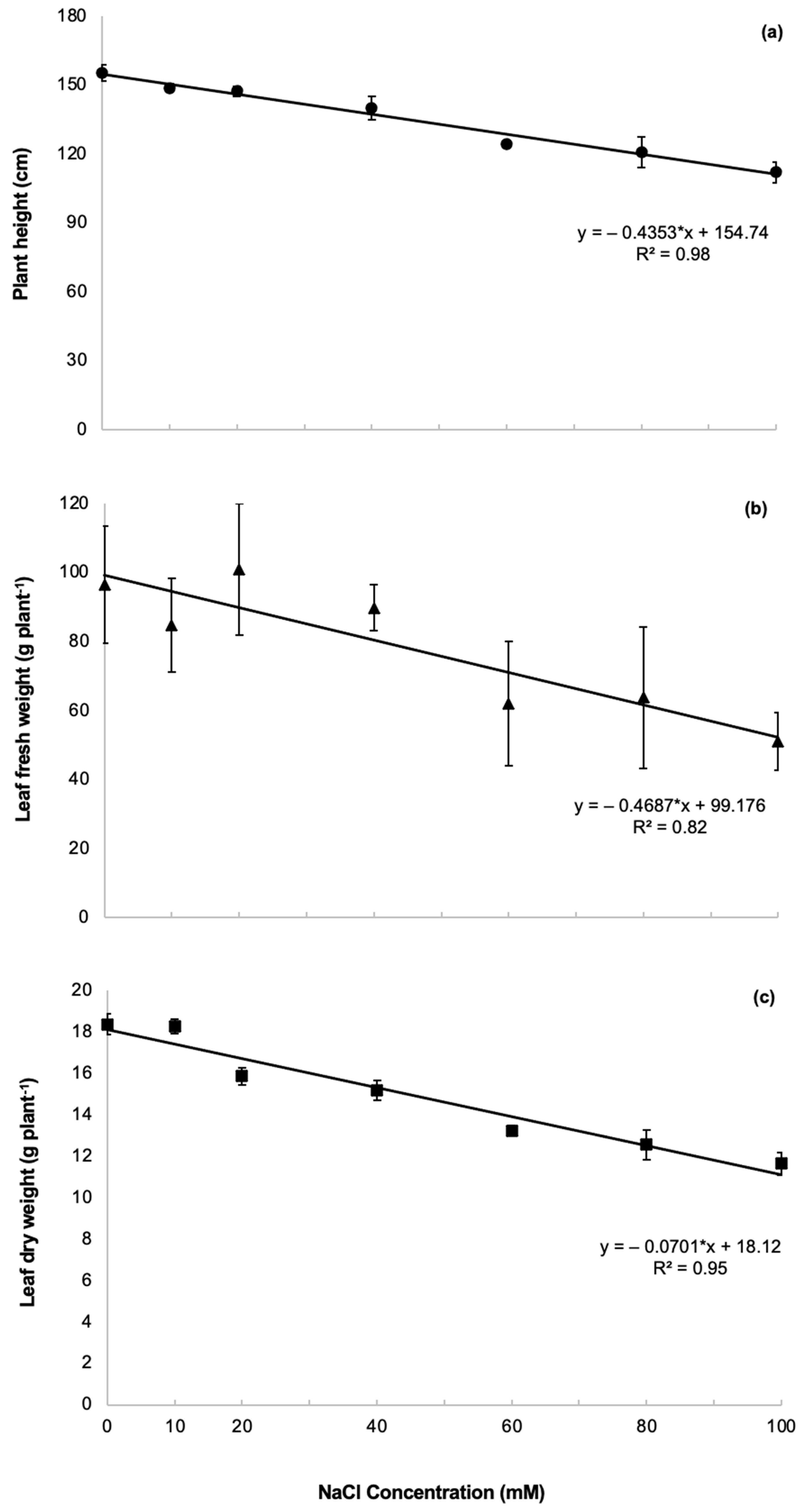
3.3. Leaf Fresh Weight, Leaf Dry Weight, and Plant Height
4. Discussion
5. Conclusions
Author Contributions
Funding
Institutional Review Board Statement
Informed Consent Statement
Data Availability Statement
Conflicts of Interest
References
- Nagaraju, M.; Reddy, P.S.; Kumar, S.A.; Kumar, A.; Rajasheker, G.; Rao, D.M.; Kishor, P.K. Genome-wide identification and transcriptional profiling of small heat shock protein gene family under diverse abiotic stress conditions in Sorghum bicolor (L.). Int. J. Biol. Macromol. 2020, 142, 822–834. [Google Scholar] [CrossRef] [PubMed]
- Sutka, M.R.; Manzur, M.E.; Vitali, V.A.; Micheletto, S.; Amodeo, G. Evidence for the involvement of hydraulic root or shoot adjustments as mechanisms underlying water deficit tolerance in two Sorghum bicolor genotypes. J. Plant Physiol. 2016, 192, 13–20. [Google Scholar] [CrossRef] [PubMed]
- Mccormick, R.F.; Truong, S.K.; Sreedasyam, A.; Jenkins, J.; Shu, S.; Sims, D.; Mullet, J.E. The Sorghum bicolor reference genome: Improved assembly, gene annotations, a transcriptome atlas, and signatures of genome organization. Plant J. 2018, 93, 338–354. [Google Scholar] [CrossRef] [PubMed]
- Devnarain, N.; Crampton, B.G.; Olivier, N.; Van der Westhuyzen, C.; Becker, J.V.; O’Kennedy, M.M. Transcriptomic analysis of a Sorghum bicolor landrace identifies a role for beta-alanine betaine biosynthesis in drought tolerance. S. Afr. J. Bot. 2019, 127, 244–255. [Google Scholar] [CrossRef]
- Guimarães, M.J.M.; Simões, W.L.; Tabosa, J.N.; Santos, J.E.; Willadino, L. Cultivation of forage sorghum varieties irrigated with saline effluent from fish-farming under semiarid conditions. Rev. Bras. Eng. Agríc. Ambien. 2016, 20, 461–465. [Google Scholar] [CrossRef][Green Version]
- Hostetler, A.N.; Govindarajulu, R.; Hawkins, J.S. QTL mapping in an interspecific sorghum population uncovers candidate regulators of salinity tolerance. Plant Stress 2021, 2, 100024. [Google Scholar] [CrossRef]
- Munns, R.; Tester, M. Mechanisms of salinity tolerance. Annu. Rev. Plant Biol. 2018, 59, 651–681. [Google Scholar] [CrossRef]
- Negrão, S.; Schmöckel, S.M.; Tester, M. Evaluating physiological responses of plants to salinity stress. Ann. Bot. 2017, 119, 1–11. [Google Scholar] [CrossRef]
- Morton, M.J.; Awlia, M.; Al-Tamimi, N.; Saade, S.; Pailles, Y.; Negrão, S.; Tester, M. Salt stress under the scalpel–dissecting the genetics of salt tolerance. Plant J. 2019, 97, 148–163. [Google Scholar] [CrossRef]
- Punia, H.; Tokas, J.; Malik, A.; Singh, S.; Phogat, D.S.; Bhuker, A.; Sheokand, R.N. Discerning morpho-physiological and quality traits contributing to salinity tolerance acquisition in sorghum [Sorghum bicolor (L.) Moench]. S. Afr. J. Bot. 2021, 140, 409–418. [Google Scholar] [CrossRef]
- Liu, P.; Yin, L.; Wang, S.; Zhang, M.; Deng, X.; Zhang, S.; Tanaka, K. Enhanced root hydraulic conductance by aquaporin regulation accounts for silicon alleviated salt-induced osmotic stress in Sorghum bicolor L. Environ. Exp. Bot. 2015, 111, 42–45. [Google Scholar] [CrossRef]
- Betzen, B.M.; Smart, C.M.; Maricle, K.L.; Maricle, B.R. Effects of increasing salinity on photosynthesis and plant water potential in Kansas salt marsh species. Trans. Kansas Acad. Sci. 2019, 122, 49–58. [Google Scholar] [CrossRef]
- Arif, Y.; Singh, P.; Siddiqui, H.; Bajguz, A.; Hayat, S. Salinity induced physiological and biochemical changes in plants: An omic approach towards salt stress tolerance. Plant Physiol. Biochem. 2020, 156, 64–77. [Google Scholar] [CrossRef]
- Methenni, K.; Abdallah, M.B.; Nouairi, I.; Smaoui, A.; Zarrouk, M.; Youssef, N.B. Salicylic acid and calcium pretreatments alleviate the toxic effect of salinity in the Oueslati olive variety. Sci. Hortic. 2018, 233, 349–358. [Google Scholar] [CrossRef]
- Mansour, M.M.F.; Emam, M.M.; Salama, K.H.A.; Morsy, A.A. Sorghum under saline conditions: Responses, tolerance mechanisms, and management strategies. Planta 2021, 254, 24. [Google Scholar] [CrossRef] [PubMed]
- Zhang, Q.; Dai, W. Plant response to salinity stress. In Stress Physiology of Woody Plants; CRC Press: Boca Raton, FL, USA, 2019; pp. 155–173. [Google Scholar]
- Yang, Y.; Guo, Y. Unraveling salt stress signaling in plants. J. Integr. Plant Biol. 2018, 60, 796–804. [Google Scholar] [CrossRef] [PubMed]
- Hussain, S.; Hussain, S.; Ali, B.; Ren, X.; Chen, X.; Li, Q.; Ahmad, N. Recent progress in understanding salinity tolerance in plants: Story of Na+/K+ balance and beyond. Plant Physiol. Biochem. 2021, 160, 239–256. [Google Scholar] [CrossRef] [PubMed]
- Zörb, C.; Geilfus, C.-M.; Dietz, K.-J. Salinity and crop yield. Plant Biol. 2019, 32 (Suppl. 1), 31–38. [Google Scholar] [CrossRef]
- Swami, A.K.; Alam, S.I.; Sengupta, N.; Sarin, R. Differential proteomic analysis of salt stress response in Sorghum bicolor leaves. Environ. Exp. Bot. 2011, 71, 321–328. [Google Scholar] [CrossRef]
- Reddy, P.S.; Jogeswar, G.; Rasineni, G.K.; Maheswari, M.; Reddy, A.R.; Varshney, R.K.; Kishor, P.K. Proline over-accumulation alleviates salt stress and protects photosynthetic and antioxidant enzymactivities in transgenic sorghum [Sorghum bicolor (L.) Moench]. Environ. Exp. Bot. 2015, 94, 104–113. [Google Scholar] [CrossRef]
- Soltabayeva, A.; Ongaltay, A.; Omondi, J.O.; Srivastava, S. Morphological, physiological and molecular markers for salt-stressed plants. Plants 2021, 10, 243. [Google Scholar] [CrossRef] [PubMed]
- Rasouli, F.; Kiani-Pouya, A.; Shabala, L.; Li, L.; Tahir, A.; Yu, M.; Hedrich, R.; Chen, Z.; Wilson, R.; Zhang, H.; et al. Salinity effects on guard cell Proteome in Chenopodium quinoa. Int. J. Mol. Sci. 2021, 22, 428. [Google Scholar] [CrossRef] [PubMed]
- Zhao, C.; Zhang, H.; Song, C.; Zhu, J.-K.; Shabala, S. Mechanisms of plant responses and adaptation to soil salinity. Innovation 2020, 1, 1. [Google Scholar] [CrossRef] [PubMed]
- Amombo, E.; Ashilenje, D.; Hirich, A.; Kouisni, L.; Oukarroum, A.; Ghoulam, C.; Gharous, M.E.; Nilahyane, A. Exploring the correlation between salt tolerance and yield: Research advances and perspectives for salt-tolerant forage sorghum selection and genetic improvement. Planta 2022, 255, 71. [Google Scholar] [CrossRef]
- Fan, Y.; Shabala, S.; Ma, Y.; Xu, R.; Zhou, M. Using QTL mapping to investigate the relationships between abiotic stress tolerance (drought and salinity) and agronomic and physiological traits. BMC Genom. 2015, 16, 43. [Google Scholar] [CrossRef]
- Ma, Y.; Dias, M.C.; Freitas, H. Drought and Salinity Stress Responses and Microbe-Induced Tolerance in Plants. Front. Plant Sci. 2020, 13. [Google Scholar] [CrossRef]
- Jones, H.G.; Tardieu, F. Modelling water relations of horticultural crops: A review. Sci. Hortic. 1998, 74, 21–46. [Google Scholar] [CrossRef]
- Silveira, J.A.G.; Araújo, S.A.M.; Lima, J.P.M.S.; Viegas, R.A. Roots and leaves display contrasting osmotic adjustment mechanisms in response to NaCl-salinity in Atriplex nummularia. Environ. Exp. Bot. 2009, 66, 1–8. [Google Scholar] [CrossRef]
- Lins, C.M.T.; Souza, E.R.; Melo, H.F.; Paulino, M.K.S.S.; Dourado, P.R.M.; Leal, L.Y.C.; Santos, H. R B. Pressure-volume (P-V) curves in Atriplex nummularia Lindl. for evaluation of osmotic adjustment and water status under saline conditions. Plant Physiol. Biochem. 2018, 124, 55–159. [Google Scholar] [CrossRef]
- R Core Team. R: A Language and Environment for Statistical Computing; R Foundation for Statistical Computing: Vienna, Austria, 2020; Available online: https://www.R-project.org/ (accessed on 20 June 2021).
- Monteiro, D.R.; Souza, E.R.; Dourado, P.R.M.; Melo, H.; Santos, H.; Dos Santos, M.A. Soil Water Potentials and Sweet Sorghum under Salinity. Commun. Soil Sci. Plant Anal. 2021, 52, 1149–1160. [Google Scholar] [CrossRef]
- Pan, Y.-Q.; Guo, H.; Wang, S.-M.; Zhao, B.; Zhang, J.-L.; Ma, Q.; Yin, H.-J.; Bao, A.-K. The photosynthesis, NaC/KC homeostasis and osmotic adjustment of Atriplex canescens in response to salinity. Front. Plant Sci. 2016, 7, 848. [Google Scholar] [CrossRef] [PubMed]
- Turner, N.C. Turgor maintenance by osmotic adjustment: 40 years of progress. J. Exp. Bot. 2018, 69, 3223–3233. [Google Scholar] [CrossRef] [PubMed]
- Bafeel, S.O. Physiological parameters of salt tolerance during germination and seedling growth of Sorghum bicolor cultivars of the same subtropical origin. Saudi J. Biol. Sci. 2014, 21, 300–304. [Google Scholar] [CrossRef] [PubMed]
- Lacerda, C.F.; Cambraia, J.; Oliva, M.A.O.; Ruiz, H.A. Osmotic adjustment in roots and leaves of two sorghum genotypes under NaCl stress. Braz. J. Plant Physiol. 2003, 15, 113–118. [Google Scholar] [CrossRef]
- Nabati, J.; Kafi, M.; Masoumi, A.; Zare, M. Effect of salinity and silicon application on photosynthetic characteristics of sorghum (Sorghum bicolor L.). Internat. J. Agric. Sci. 2013, 3, 483–492. [Google Scholar]
- Meng, Y.; Yin, C.; Zhou, Z.; Meng, F. Increased salinity triggers significant changes in the functional proteins of Anammox bacteria within a biofilm community. Chemosphere 2018, 207, 655–664. [Google Scholar] [CrossRef]
- Oliveira, W.J.; de Souza, E.R.; Cunha, J.C.; Silva, E.F.F.; Velos, V.L. Leaf gas exchange in cowpea and CO2 efflux in soil irrigated with saline water. Rev. Bras. Eng. Agric. Ambiental. 2017, 21, 32–37. [Google Scholar] [CrossRef]
- Ashraf, M.; Harris, P.J.C. Photosynthesis under stressful environments: An overview. Photosynthetica 2013, 51, 163–190. [Google Scholar] [CrossRef]
- Maswada, H.F.; Djanaguiraman, M.; Prasad, P.V.V. Seed treatment with nano-iron (III) oxide enhances germination, seeding growth and salinity tolerance of sorghum. J. Agron. Crop Sci. 2018, 204, 577–587. [Google Scholar] [CrossRef]
- Monteiro, D.R.; Melo, H.F.; de Lins, C.M.T.; Dourado, P.R.M.; Santos, H.R.B.; Souza, E.R. Chlorophyll a fluorescence in saccharine sorghum irrigated with saline water. Rev. Braz. Eng. Agríc. Ambient. 2018, 22, 673–678. [Google Scholar] [CrossRef]
- Wang, Y.; Penga, X.; Salvato, F.; Wang, Y.; Yan, X.; Zhou, Z.; Lin, J. Salt-adaptive strategies in oil seed crop Ricinus communis early seedlings (cotyledon vs. true leaf) revealed from proteomics analysis. Ecotoxicol. Environ. Saf. 2019, 171, 12–25. [Google Scholar] [CrossRef] [PubMed]
- Calone, R.; Sanoubar, R.; Lambertini, C.; Speranza, M.; Antisari, L.V.; Vianello, G.; Barbanti, L. Salt tolerance and Na allocation in Sorghum bicolor under variable soil and water salinity. Plants 2020, 9, 561. [Google Scholar] [CrossRef] [PubMed]






| Exchangeable Complex | Mean Value * | Soil Solution | Mean Value * |
|---|---|---|---|
| pH (1:2.5) | 6.75 | ECse (dS m−1) | 3.36 |
| Ca2+ (cmolc kg−1) | 4.35 | Ca2+ (mmol L−1) | 9.12 |
| Mg2+ (cmolc kg−1) | 3.14 | Mg2+ (mmol L−1) | 8.63 |
| Na+ (cmolc kg−1) | 1.65 | Na+ (mmol L−1) | 13.51 |
| K+ (cmolc kg−1) | 1.20 | K+ (mmol L−1) | 2.13 |
| H+ (cmolc kg−1) | 1.54 | Cl− (mmol L−1) | 25.47 |
| ESP (%) | 15.96 | SAR [(mmoles L−1) 0.5] | 4.54 |
Publisher’s Note: MDPI stays neutral with regard to jurisdictional claims in published maps and institutional affiliations. |
© 2022 by the authors. Licensee MDPI, Basel, Switzerland. This article is an open access article distributed under the terms and conditions of the Creative Commons Attribution (CC BY) license (https://creativecommons.org/licenses/by/4.0/).
Share and Cite
Dourado, P.R.M.; de Souza, E.R.; Santos, M.A.d.; Lins, C.M.T.; Monteiro, D.R.; Paulino, M.K.S.S.; Schaffer, B. Stomatal Regulation and Osmotic Adjustment in Sorghum in Response to Salinity. Agriculture 2022, 12, 658. https://doi.org/10.3390/agriculture12050658
Dourado PRM, de Souza ER, Santos MAd, Lins CMT, Monteiro DR, Paulino MKSS, Schaffer B. Stomatal Regulation and Osmotic Adjustment in Sorghum in Response to Salinity. Agriculture. 2022; 12(5):658. https://doi.org/10.3390/agriculture12050658
Chicago/Turabian StyleDourado, Pablo Rugero Magalhães, Edivan Rodrigues de Souza, Monaliza Alves dos Santos, Cintia Maria Teixeira Lins, Danilo Rodrigues Monteiro, Martha Katharinne Silva Souza Paulino, and Bruce Schaffer. 2022. "Stomatal Regulation and Osmotic Adjustment in Sorghum in Response to Salinity" Agriculture 12, no. 5: 658. https://doi.org/10.3390/agriculture12050658
APA StyleDourado, P. R. M., de Souza, E. R., Santos, M. A. d., Lins, C. M. T., Monteiro, D. R., Paulino, M. K. S. S., & Schaffer, B. (2022). Stomatal Regulation and Osmotic Adjustment in Sorghum in Response to Salinity. Agriculture, 12(5), 658. https://doi.org/10.3390/agriculture12050658

