Conservation Agriculture in Semi-Arid Zimbabwe: A Promising Practice to Improve Finger Millet (Eleusine coracana Gaertn.) Productivity and Soil Water Availability in the Short Term
Abstract
1. Introduction
2. Materials and Methods
2.1. Study Area
2.2. Selection of Treatments and Experimental Site
2.3. Experimental Design and Management
2.4. Sampling and Measurements
2.4.1. Determination of Soil Water Content and Evapotranspiration (ET)
2.4.2. Plant Measurements and Calculation of WUE
2.5. Statistical Analyses
3. Results
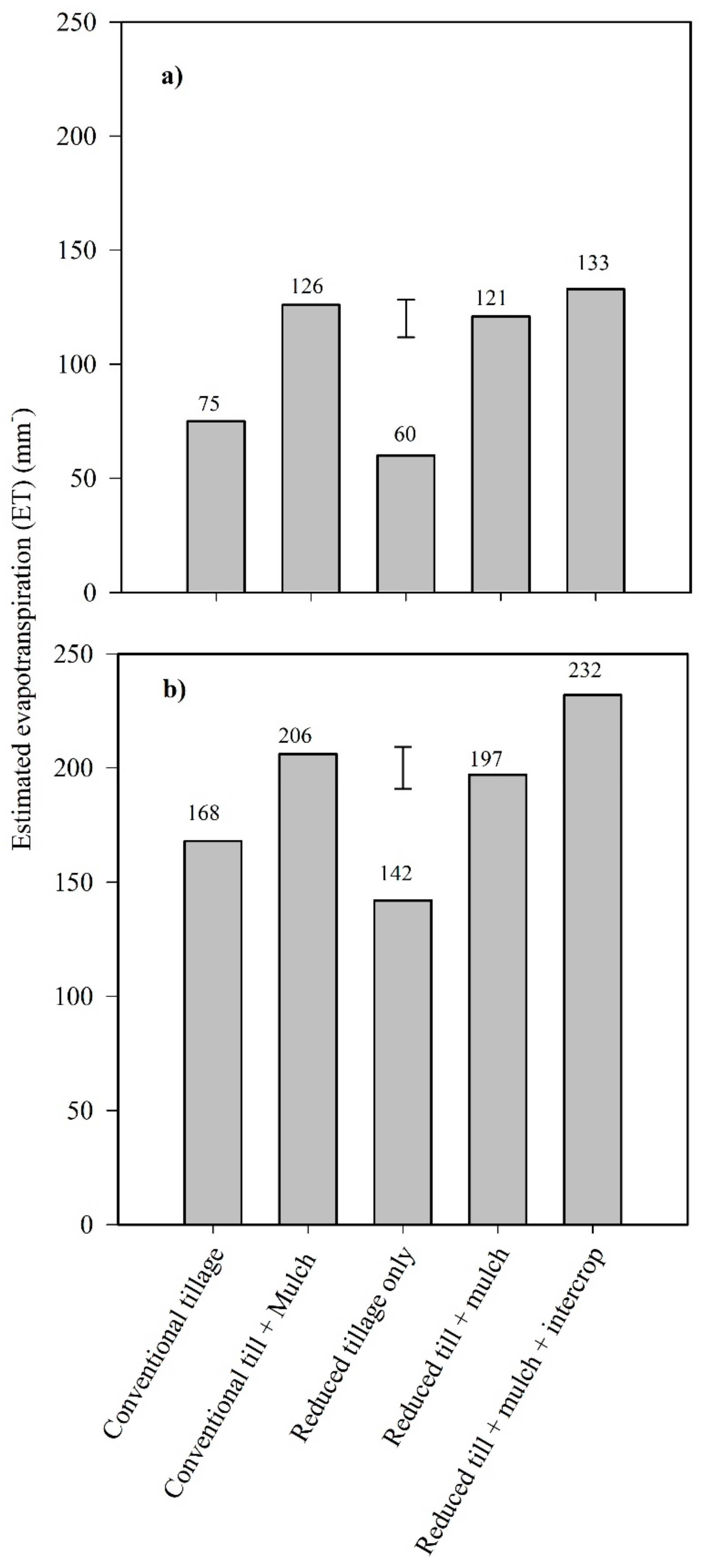
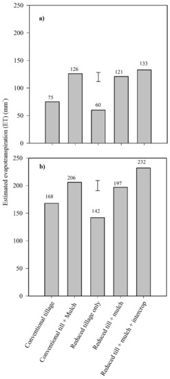
3.1. Soil Water Dynamics
3.2. Finger Millet Development
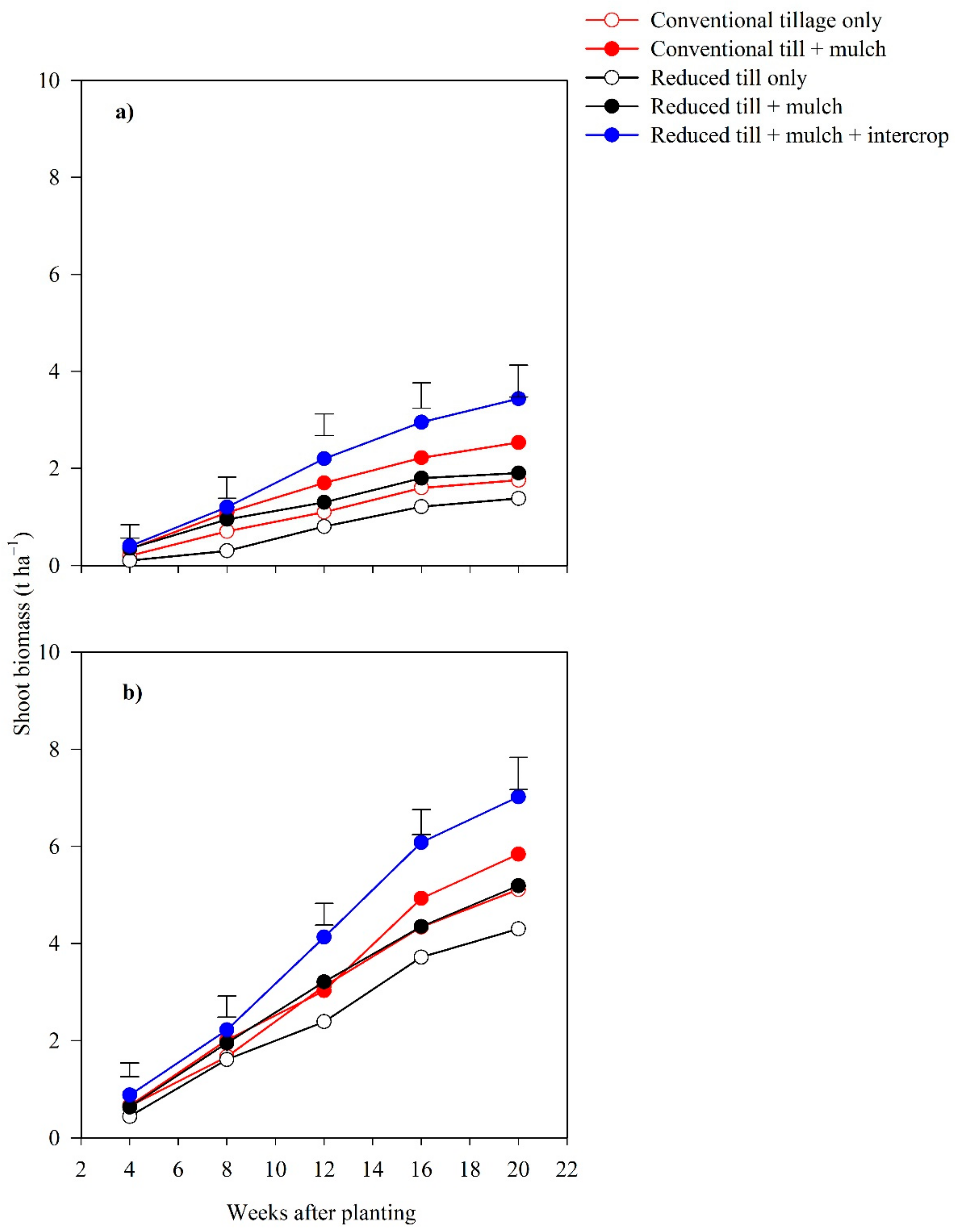
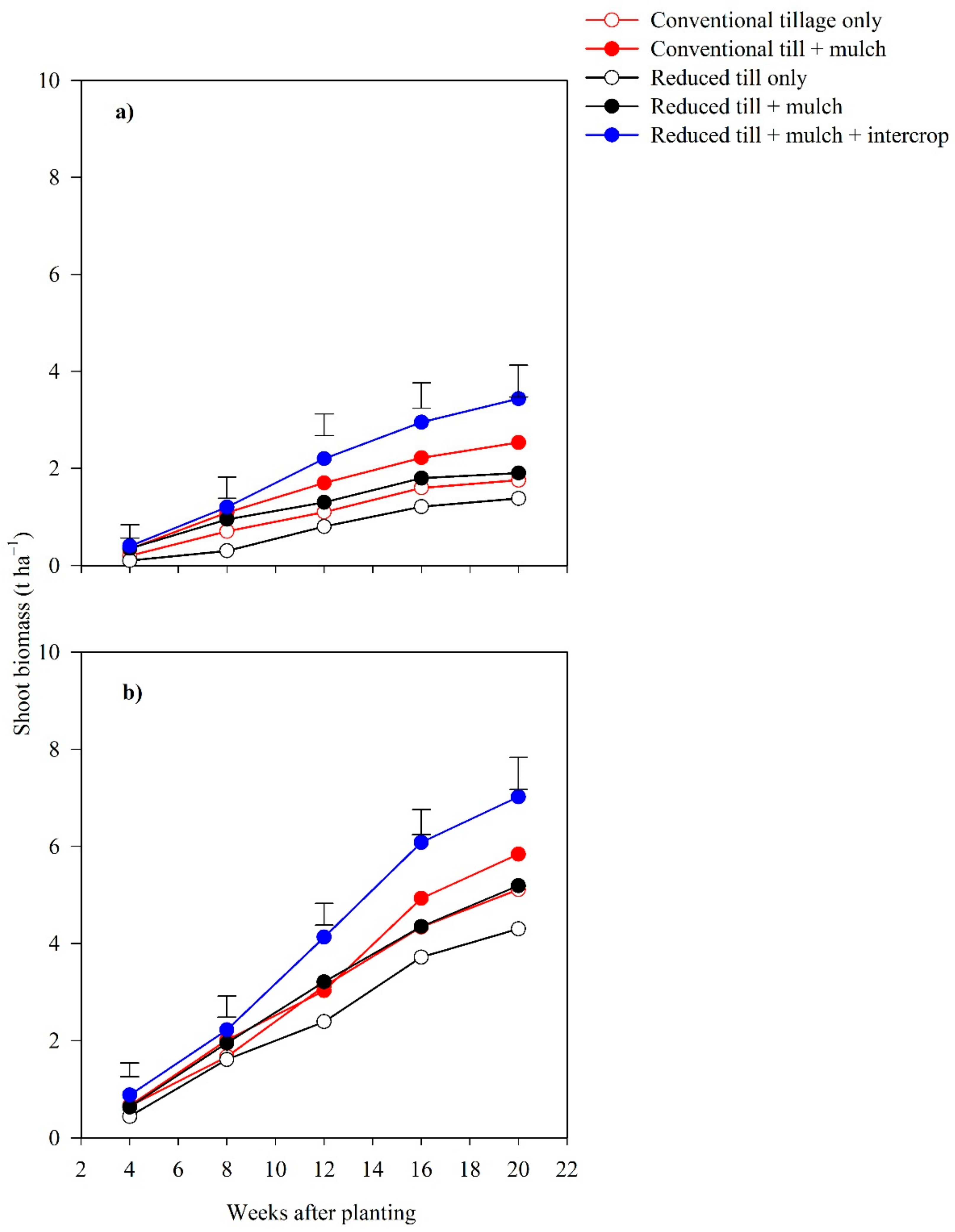
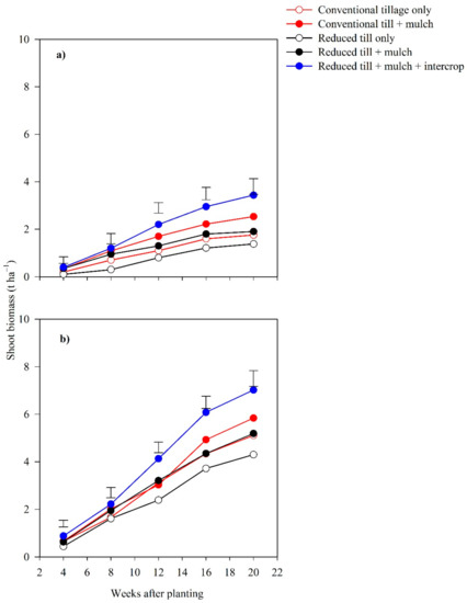
3.3. Finger Millet Shoot Biomass and Growth Rate
3.4. Finger Millet Grain Yield and Water Use Efficiency
4. Discussion
4.1. Full CA Improves Soil Water Content under Finger Millet
4.2. Improved Water Availability Enhances Finger Millet Productivity
5. Conclusions
Author Contributions
Funding
Institutional Review Board Statement
Informed Consent Statement
Data Availability Statement
Acknowledgments
Conflicts of Interest
References
- Bjornlund, V.; Bjornlund, H.; Van Rooyen, A.F. Why agricultural production in sub-Saharan Africa remains low compared to the rest of the world—A historical perspective. Int. J. Water Resour. Dev. 2020, 36 (Suppl. S1), S20–S53. [Google Scholar] [CrossRef]
- Breinl1, K.; Di Baldassarre, G.; Mazzoleni, M.; Lun, D.; Vico, G. Extreme dry and wet spells face changes in their duration and timing. Environ. Res. Lett. 2020, 15, 074040. [Google Scholar] [CrossRef]
- Mbanyele, V.; Mtambanengwe, F.; Nezomba, H.; Groot, J.C.J.; Mapfumo, P. Combinations of in-field moisture conservation and soil fertility management reduce effect of intra-seasonal dry spells on maize under semi-arid conditions. Field Crops Res. 2021, 270, 108218. [Google Scholar] [CrossRef]
- Pascale, S.; Lucarini, V.; Feng, X.; Porporato, A.; ul Hasson, S. Projected changes of rainfall seasonality and dry spells in a high greenhouse gas emissions scenario. Clim. Dyn. 2016, 46, 1331–1350. [Google Scholar] [CrossRef]
- Fróna, D.; Szenderák, J.; Harangi-Rákos, M. Economic effects of climate change on global agricultural production. Nat. Conserv. 2021, 44, 117–139. [Google Scholar] [CrossRef]
- Hassan, Z.M.; Sebola, N.A.; Mabelebele, M. The nutritional use of millet grain for food and feed: A review. Agric. Food Secur. 2021, 10, 16. [Google Scholar] [CrossRef]
- Stuch, B.; Alcamo, J.; Schaldach, R. Projected climate change impacts on mean and year-to-year variability of yield of key smallholder crops in Sub-Saharan Africa. Clim. Dev. 2021, 13, 268–282. [Google Scholar] [CrossRef]
- Moyo, M.; Maya, M.; van Rooyen, A.; Dube, T.; Parry, K.; Bjornlund, H. Increasing Irrigation Water Productivity in Mozambique, Tanzania and Zimbabwe through on-Farm Monitoring, Adaptive Management and Agricultural Innovation Platforms: End of Project Survey Report Zimbabwe (FSC-2013-006); Australian National University (ANU): Canberra, Australia, 2018. [Google Scholar]
- Kane-Potaka, J.; Kumar, P. Smart food—Food that is good for you, the planet and the farmer. In State of India’s Livelihoods Report 2019; Access Development Services: New Delhi, India; pp. 71–82. Available online: https://livelihoods-india.org/publications/all-page-soil-report.html#;www.smartfood.org/wp-content/uploads/2020/05/SOIL-Smart-Foods.pdf (accessed on 15 March 2022).
- Africa Union. The African Union Agenda 2063 The Africa We Want. Afr. Union 2019, 92, 2014. [Google Scholar]
- Government of Zimbabwe. National Development Strategy 1: January 2021–December 2025. 2020. Available online: https://www.dpcorp.co.zw/assets/national-development-strategy-1_2021---2025_goz.pdf (accessed on 10 March 2022).
- Taylor, J.R.N.; Duodu, K.G. Sorghum and Millets: Chemistry, Technology and Nutritional Attributes, 2nd ed.; Woodhead Publishing: Thorston, UK, 2018. [Google Scholar]
- Chandrashekar, A. Chapter 6—Finger Millet: Eleusine coracana. In Advances in Food and Nutrition Research; Taylor, S.L., Ed.; Academic Press: Cambridge, MA, USA, 2010; pp. 215–262. Available online: https://www.sciencedirect.com/science/article/pii/S1043452610590065 (accessed on 4 March 2022).
- Chidhuza, C. An Agronomic Evaluation of Ratooning and Plant Spacing in Sorghum, and Comparative Performance with Maize and Pearl Millet in the Northern Sebungwe, Zimbabwe. Ph.D. Thesis, University of Zimbabwe, Harare, Zimbabwe, 1993; p. 310. [Google Scholar]
- Rurinda, J.; Mapfumo, P.; van Wijk, M.T.; Mtambanengwe, F.; Rufino, M.C.; Chikowo, R.; Giller, K.E. Comparative assessment of maize, finger millet and sorghum for household food security in the face of increasing climatic risk. Eur. J. Agron. 2014, 55, 29–41. [Google Scholar] [CrossRef]
- Soropa, G.; Mbisva, O.M.; Nyamangara, J.; Nyakatawa, E.Z.; Nyapwere, N.; Lark, R.M. Spatial variability and mapping of soil fertility status in a high-potential smallholder farming area under sub-humid conditions in Zimbabwe. SN Appl. Sci. 2021, 3, 396. [Google Scholar] [CrossRef]
- Kassam, A.; Friedrich, T.; Shaxson, F.; Pretty, J. The spread of Conservation Agriculture: Justification, sustainability and uptake. Int. J. Agric. Sustain. 2009, 7, 292–320. [Google Scholar] [CrossRef]
- Steward, P.R.; Dougill, A.J.; Thierfelder, C.; Pittelkow, C.M.; Stringer, L.C.; Kudzala, M.; Shackelford, G.E. The adaptive capacity of maize-based conservation agriculture systems to climate stress in tropical and subtropical environments: A meta-regression of yields. Agric. Ecosyst. Environ. 2018, 251, 194–202. [Google Scholar] [CrossRef]
- Food and Agriculture Organization (FAO). Moving Forward on Food Loss and Waste Reduction. In The State of Food and Agriculture; Food and Agriculture Organization of the United Nations: Rome, Italy, 2019; p. 156. [Google Scholar]
- Olson, K.; Gauto, V.; Teufel, N.; Swain, B.; Tui, S.H.K.; Duncan, A.; Erenstein, O. Estimating farmers’ internal value of crop residues in smallholder crop-livestock systems: A South Asia case study. Outlook Agric. 2021, 50, 338–347. [Google Scholar] [CrossRef]
- Scott, R.L.; Biederman, J.A. Critical zone water balance over 13 years in a semiarid savanna. Water Resour. Res. 2019, 55, 574–588. [Google Scholar] [CrossRef]
- Abdallah, A.M.; Jat, H.S.; Choudhary, M.; Abdelaty, E.F.; Sharma, P.C.; Jat, M.L. Conservation Agriculture Effects on Soil Water Holding Capacity and Water-Saving Varied with Management Practices and Agroecological Conditions: A Review. Agronomy 2021, 11, 1681. [Google Scholar] [CrossRef]
- Giller, K.E.; Witter, E.; Corbeels, M.; Tittonell, P. Conservation agriculture and smallholder farming in Africa: The heretics’ view. Field Crops Res. 2009, 114, 23–34. [Google Scholar] [CrossRef]
- Mazvimavi, K.; Twomlow, S. Socioeconomic and institutional factors influencing adoption of conservation farming by vulnerable households in Zimbabwe. Agric. Syst. 2009, 101, 20–29. [Google Scholar] [CrossRef]
- Baillie, I.C. Review of Tropical Soil Biology and Fertility: A Handbook of Methods. J. Ecol. 1990, 78, 547–548. [Google Scholar] [CrossRef]
- Miriti, J.M.; Kironchi, G.; Esilaba, A.O.; Heng, L.K.; Gachene, C.K.K.; Mwangi, D.M. Yield and water use efficiencies of maize and cowpea as affected by tillage and cropping systems in semi-arid Eastern Kenya. Agric. Water Manag. 2012, 115, 148–155. [Google Scholar] [CrossRef]
- Sidar, S.; Thakur, A.K.; Kumar, M.; Chandrakar, T.; Mukherjee, S.C. An impact of the different tillage and conservation farming on plant growth and selected features of finger millet (Eleusine coracana L.) at Bastar Plateau Zone of Chhattisgarh, India. Int. J. Curr. Microbiol. Appl. Sci. 2017, 6, 1476–1488. [Google Scholar] [CrossRef][Green Version]
- Corbeels, M.; Naudin, K.; Whitbread, A.M.; Kühne, R.; Letourmy, P. Limits of conservation agriculture to overcome low crop yields in sub-Saharan Africa. Nat. Food 2020, 1, 447–454. [Google Scholar] [CrossRef]
- Kodzwa, J.J.; Gotosa, J.; Nyamangara, J. Mulching is the most important of the three conservation agriculture principles in increasing crop yield in the short term, under sub humid tropical conditions in Zimbabwe. Soil Tillage Res. 2020, 197, 104515. [Google Scholar] [CrossRef]
- Mutsamba, E.F.; Nyagumbo, I.; Mafongoya, P. Termite prevalence and crop lodging under conservation agriculture in sub-humid Zimbabwe. Crop Prot. 2016, 82, 60–64. [Google Scholar] [CrossRef]
- Mbanyele, V.; Mtambanengwe, F.; Nezomba, H.; Groot, J.C.J.; Mapfumo, P. Comparative short-term performance of soil water management options for increased productivity of maize-cowpea intercropping in semi-arid Zimbabwe. J. Agric. Food Res. 2021, 5, 100189. [Google Scholar] [CrossRef]
- Shackel, K.A.; Hall, A.E. Effect of intercropping on the water relations of sorghum and cowpea. Field Crop. Res. 1984, 8, 381–387. [Google Scholar] [CrossRef]
- Shumba, E.M.; Dhliwayo, H.H.; Mutoko, O.Z. The potential of maize-cowpea intercropping in low rainfall areas of Zimbabwe. Zimbabwe J. Agric. Res. 1990, 28, 33–38. [Google Scholar]
- Rusinamhodzi, L.; Corbeels, M.; Giller, K.E. Maize-grain legume intercropping is an attractive option for ecological intensification that reduces climatic risk for smallholder farmers in central Mozambique. Field Crop. Res. 2012, 136, 12–22. [Google Scholar] [CrossRef]
- Gebreyohannes, A.; Shimelis, H.; Laing, M.; Mathew, I.; Odeny, D.A.; Ojulong, H. Finger Millet Production in Ethiopia: Opportunities, Problem Diagnosis, Key Challenges and Recommendations for Breeding. Sustainability 2021, 13, 13463. [Google Scholar] [CrossRef]
- Maqsood, M. Effects of Drought on Growth, Development, Radiation Use Efficiency and Yield of Finger Millet (Eleucine coracana). 2007. Available online: https://www.semanticscholar.org/paper/EFFECTS-OF-DROUGHT-ON-GROWTH%2C-DEVELOMPENT%2C-USE-AND-Maqsood/be312ec39757c8f7e50657a7ed273dc8a8745a76 (accessed on 14 January 2022).
- Matsuura, A.; Tsuji, W.; An, P.; Inanaga, S.; Murata, K. Effect of Pre- and Post-heading Water Deficit on Growth and Grain Yield of Four Millets. Plant Prod. Sci. 2012, 15, 323–331. [Google Scholar] [CrossRef]
- Nagaz, K.; Masmoudi, M.; Mechila, N. Yield and water use-efficiency of pearl millet (Pennisetum glaucum (L.) R. Br.) under deficit irrigation with saline water in arid conditions of Southern Tunisia. Res. J. Agron. 2009, 3, 9–17. [Google Scholar]
- Radhouane, L. Evaluation of indices for identification of pearl millet ecotypes (Pennisetum glaucum) adapted to stress and no stress conditions. Sci. Int. 2013, 1, 64–69. [Google Scholar] [CrossRef]
- Eze, S.; Dougill, A.J.; Banwart, S.A.; Hermans, T.D.G.; Ligowe, I.S.; Thierfelder, C. Impacts of conservation agriculture on soil structure and hydraulic properties of Malawian agricultural systems. Soil Tillage Res. 2020, 201, 104639. [Google Scholar] [CrossRef] [PubMed]
- Baudron, F.; Tittonell, P.; Corbeels, M.; Letourmy, P.; Giller, K.E. Comparative performance of conservation agriculture and current smallholder farming practices in semi-arid Zimbabwe. Field Crops Res. 2012, 132, 117–128. [Google Scholar] [CrossRef]
- Zougmoré, R.; Jalloh, A.; Tioro, A. Climate-smart soil water and nutrient management options in semiarid West Africa: A review of evidence and analysis of stone bunds and zaï techniques. Agric. Food Secur. 2014, 3, 16. [Google Scholar] [CrossRef]
- Nyakudya, I.W.; Stroosnijder, L. Water management options based on rainfall analysis for rainfed maize (Zea mays L.) production in Rushinga district, Zimbabwe. Agric. Water Manag. 2011, 98, 1649–1659. [Google Scholar] [CrossRef]
- Farooq, M.; Hussain, M.; Ul-Allah, S.; Siddique, K.H.M. Physiological and agronomic approaches for improving water-use efficiency in crop plants. Agric. Water Manag. 2019, 219, 95–108. [Google Scholar] [CrossRef]
- Du, T.; Kang, S.; Sun, J.; Zhang, X.; Zhang, J. An improved water use efficiency of cereals under temporal and spatial deficit irrigation in north China. Agric. Water Manag. 2010, 97, 66–74. [Google Scholar] [CrossRef]
- Fang, Q.; Ma, L.; Yu, Q.; Ahuja, L.R.; Malone, R.W.; Hoogenboom, G. Irrigation strategies to improve the water use efficiency of wheat–maize double cropping systems in North China Plain. Agric. Water Manag. 2010, 97, 1165–1174. [Google Scholar] [CrossRef]









| Soil Parameter | Value |
|---|---|
| Physical | |
| Bulk density | 1.58 |
| Sand (%) | 75 |
| Clay (%) | 9 |
| Chemical | |
| pH (0.01 M CaCl2) | 4.66 |
| Total N (%) | 0.03 |
| Available P (mg kg−1) | 3.80 |
| K (cmol(c) kg−1) | 0.18 |
| SOC (%) | 0.47 |
| Treatment | Total Tiller | Productive Tillers | Average Finger No. | Finger Length (cm) | * “Fist-Like” Finger (%) |
|---|---|---|---|---|---|
| 2015/16 | |||||
| Control | 2.0 c | 1.3 d | 4.0 d | 4.6 d | 40 d |
| Partial CA1 | 3.1 b | 2.6 c | 4.2 c | 6.6 c | 56 c |
| Partial CA2 | 0.3 d | 0.0 e | 3.3 e | 3.0 e | 24 e |
| Partial CA3 | 7.7 a | 5.3 b | 5.4 b | 7.4 b | 64 b |
| Full CA | 8.3 a | 6.7 a | 6.7 a | 9.1 a | 77 a |
| 2016/17 | |||||
| Control | 4.1 | 3.3 b | 5.2 bc | 6.6 c | 55 d |
| Partial CA1 | 3.9 | 3.7 ab | 5.7 b | 7.3 b | 65 c |
| Partial CA2 | 3.7 | 3.3 b | 3.7 c | 5.4 d | 38 e |
| Partial CA3 | 4.3 | 4.1 a | 6.4 a | 9.7 a | 74 b |
| Full CA | 4.7 | 4.4 a | 6.6 a | 10.1 a | 89 a |
| Season | Total Number of Tillers | Productive Tiller Number | Average Finger Number | Average Finger Length | “Fist”-Like Finger % |
|---|---|---|---|---|---|
| 2015/16 | 0.73 | 0.83 | 0.91 | 0.89 | 0.88 |
| 2016/17 | 0.80 | 0.70 | 0.68 | 0.65 | 0.86 |
| Source of Variation | Degrees of Freedom | p Value for Grain Yield |
|---|---|---|
| Season | 1 | 0.015 |
| Treatment | 4 | <0.001 |
| Season × Treatment | 4 | 0.528 |
Publisher’s Note: MDPI stays neutral with regard to jurisdictional claims in published maps and institutional affiliations. |
© 2022 by the authors. Licensee MDPI, Basel, Switzerland. This article is an open access article distributed under the terms and conditions of the Creative Commons Attribution (CC BY) license (https://creativecommons.org/licenses/by/4.0/).
Share and Cite
Mbanyele, V.; Mtambanengwe, F.; Nezomba, H.; Rurinda, J.; Mapfumo, P. Conservation Agriculture in Semi-Arid Zimbabwe: A Promising Practice to Improve Finger Millet (Eleusine coracana Gaertn.) Productivity and Soil Water Availability in the Short Term. Agriculture 2022, 12, 622. https://doi.org/10.3390/agriculture12050622
Mbanyele V, Mtambanengwe F, Nezomba H, Rurinda J, Mapfumo P. Conservation Agriculture in Semi-Arid Zimbabwe: A Promising Practice to Improve Finger Millet (Eleusine coracana Gaertn.) Productivity and Soil Water Availability in the Short Term. Agriculture. 2022; 12(5):622. https://doi.org/10.3390/agriculture12050622
Chicago/Turabian StyleMbanyele, Vengai, Florence Mtambanengwe, Hatirarami Nezomba, Jairos Rurinda, and Paul Mapfumo. 2022. "Conservation Agriculture in Semi-Arid Zimbabwe: A Promising Practice to Improve Finger Millet (Eleusine coracana Gaertn.) Productivity and Soil Water Availability in the Short Term" Agriculture 12, no. 5: 622. https://doi.org/10.3390/agriculture12050622
APA StyleMbanyele, V., Mtambanengwe, F., Nezomba, H., Rurinda, J., & Mapfumo, P. (2022). Conservation Agriculture in Semi-Arid Zimbabwe: A Promising Practice to Improve Finger Millet (Eleusine coracana Gaertn.) Productivity and Soil Water Availability in the Short Term. Agriculture, 12(5), 622. https://doi.org/10.3390/agriculture12050622
