Effects of Seed Priming on Vitality and Preservation of Pepper Seeds
Abstract
:1. Introduction
2. Materials and Methods
2.1. Test Materials
2.2. Treatment Methods
2.2.1. Treatment
2.2.2. Storage after Priming
2.2.3. Accelerated Aging Test
2.3. Data Analysis
3. Results
3.1. Effects of Different Priming Treatments on Pepper Seed Vigor
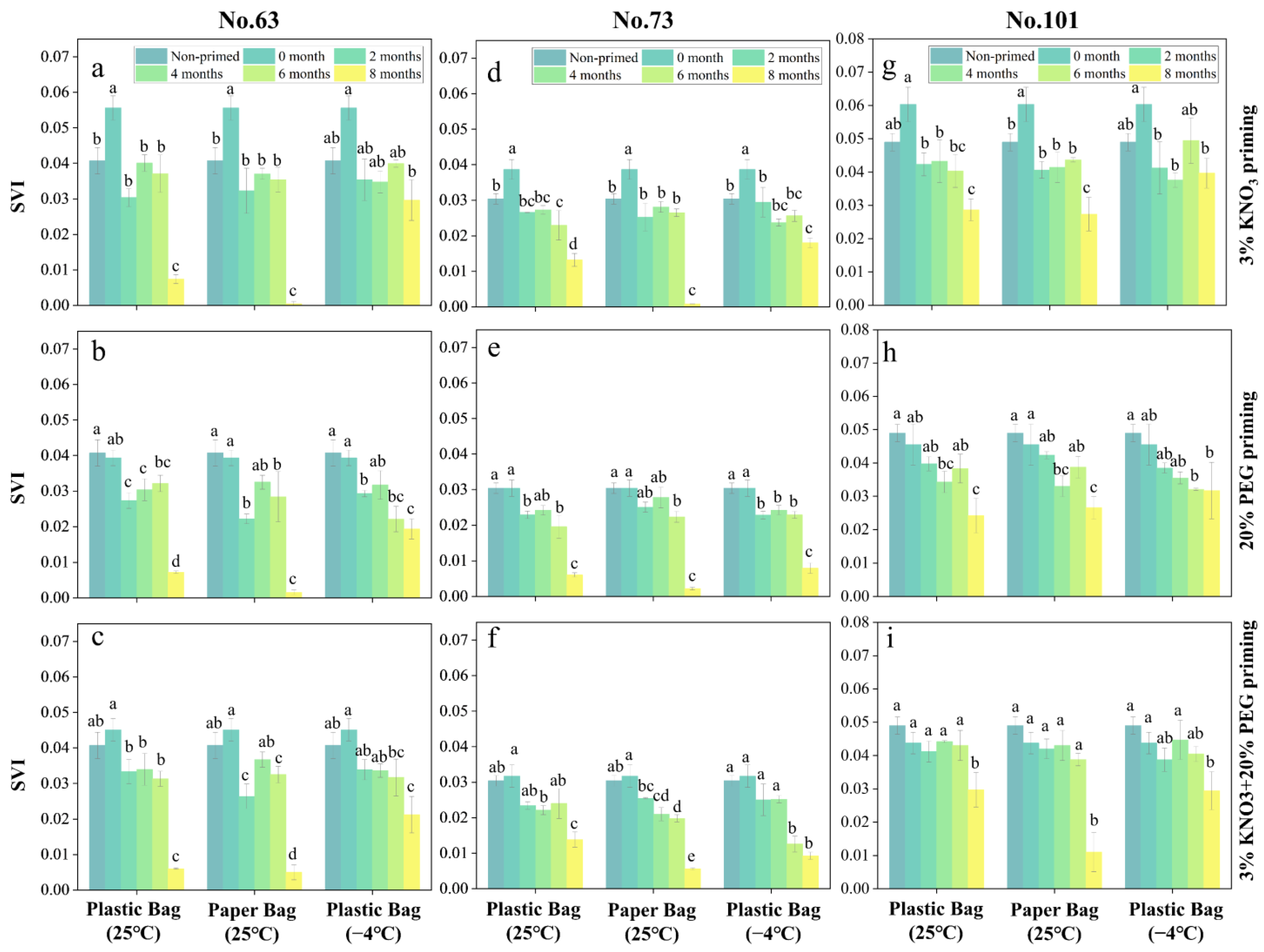
3.2. Influence of Different Storage Conditions on Germination and Early Seedling Growth of Primed Pepper Seeds
3.3. Comparison of Self-Aging Resistance of Three Varieties of Pepper Seeds
4. Discussion
5. Conclusions
- Treatment with PEG, KNO3, and a mixed solution of both was able to improve the germinability of pepper seeds, where germination was rapid and emergence was neat, but there were no significant effects on the final germination percentage. KNO3 solution had the best priming effects, as the seed germination percentage was significantly improved when primed by 3% KNO3 for 48 h, and the seedlings were also stronger.
- Pepper variety with lower initial vigor (non-primed seeds germinated slowly) gained the most from priming repair processes, manifested in more significantly increased germination rate and seedling growth.
- The priming effect on pepper seeds can be maintained for about 6 months, for all three varieties, and primed seeds can be preserved in sealed plastic bags at a low temperature (−4 °C) for maintenance of the best priming effects and viability.
- After 8 months of storage, the primed pepper seeds deteriorated and lost longevity faster than that of non-primed seeds, which was also related to the different aging resistance of different varieties. The viability of primed seeds for the variety with strong aging resistance dropped more lightly.
- The specific storage time should be determined based on the aging resistance of test seeds, priming treatment, and preservation conditions, and not as a fixed value.
Supplementary Materials
Author Contributions
Funding
Institutional Review Board Statement
Informed Consent Statement
Data Availability Statement
Conflicts of Interest
References
- Miranda-Molina, F.D.; Valle-Guadarrama, S.; Guerra-Ramírez, D.; Arévalo-Galarza, M.D.L.; Pérez-Grajales, M.; Artés-Hernández, F. Quality Attributes and Antioxidant Properties of Serrano Chili Peppers (Capsicum annuum L.) Affected by Thermal Conditions Postharvest. Int. Food Res. J. 2019, 26, 1889–1898. [Google Scholar]
- Qiu, Q.; Li, M.; Yao, D.; Lei, C.; Zhu, Y. Effects of Priming Treatment with Vermiculite on the Seed Germination and Seedlings’ Antioxidant Characteristics of Hot Pepper under NaCl Stress. Acta Agric. Shanghai 2009, 25, 47–50. (In Chinese) [Google Scholar]
- Qiu, Q. Study on Effect of Priming with Vermiculite on Pepper Seed’s Germination and Physiological Indexes. Master’s Thesis, Nanjing Agricultural University, Nanjing, China, 2009. [Google Scholar]
- Bray, C.M. Biochemical Processes during the Osmopriming of Seeds. In Seed Development and Germination; Taylor & Francis Group: Abingdon, UK, 2017. [Google Scholar]
- Hu, J. Seed priming and its effects. Seed 1998, 2, 33–35. (In Chinese) [Google Scholar]
- McDonald, M.B. Seed priming. In Seed Technology and Its Biological Basis; Black, M., Bewley, J.D., Eds.; Sheffield Academic Press: Sheffield, UK, 2000; pp. 287–325. [Google Scholar]
- Wei, S.; Zhu, Z. Test of optimization of pepper seed priming. Chin. Agric. Sci. Bull. 2011, 4, 169–172. (In Chinese) [Google Scholar]
- Qian, Z.; Chen, H.; Wu, Z.; Cui, Y. Effect of priming on Solamum torvum seed physiological changes. China Veg. 2011, 8, 28–34. (In Chinese) [Google Scholar]
- Fang, P.; Geng, M.; Li, X.; Chen, J. Studies on solid matrix priming enhancing seed vigor of cucumber. China Veg. 2013, 18, 61–66. (In Chinese) [Google Scholar]
- Michalska-Klimczak, B.; Wyszyński, Z.; Pačuta, V.; Rašovský, M.; Różańska, A. The Effect of Seed Priming on Field Emergence and Root Yield of Sugar Beet. Plant Soil Environ. 2018, 64, 227–232. [Google Scholar]
- Peraza-Villarreal, H.; Sánchez-Coronado, M.E.; Lindig-Cisneros, R.; Tinoco-Ojanguren, C.; Velázquez-Rosas, N.; Cámara-Cabrales, L.; Orozco-Segovia, A. Seed Priming Effects on Germination and Seedling Establishment of Useful Tropical Trees for Ecological Restoration. Trop. Conserv. Sci. 2018, 11, 1940082918817886. [Google Scholar] [CrossRef]
- Imran, M.; Mahmood, A.; Neumann, G.; Boelt, B. Zinc Seed Priming Improves Spinach Germination at Low Temperature. Agriculture 2021, 11, 271. [Google Scholar] [CrossRef]
- Rhaman, M.S.; Imran, S.; Rauf, F.; Khatun, M.; Baskin, C.C.; Murata, Y.; Hasanuzzaman, M. Seed Priming with Phytohormones: An Effective Approach for the Mitigation of Abiotic Stress. Plants 2021, 10, 37. [Google Scholar] [CrossRef] [PubMed]
- Weerasekara, I.; Sinniah, U.R.; Namasivayam, P.; Nazli, M.H.; Abdurahman, S.A.; Ghazali, M.N. Priming with Humic Acid to Reverse Ageing Damage in Soybean [Glycine max (L.) Merrill.] Seeds. Agriculture 2021, 11, 966. [Google Scholar] [CrossRef]
- Pill, W.G. Low Water Potential and Pre-Sowing Germination Treatments to Improve Seed Quality; Basra, A.S., Ed.; Food Products Press: New York, NY, USA, 1995; pp. 319–359. [Google Scholar]
- Li, X.; Zou, X.; Liu, Z.; Tan, X. Studies on raising the vigor of aged hot pepper seeds. J. China Capsicum 2005, 36–39. (In Chinese) [Google Scholar]
- Zhang, J.; Zhang, Y.; Kang, Y.; Zhang, X. Effects of KNO3 treatment on germination of pepper seeds of different storage time. Seed 2005, 4, 28–30. (In Chinese) [Google Scholar]
- Demir, I.; Mavi, K. The Effect of Priming on Seedling Emergence of Differentially Matured Watermelon (Citrullus lanatus (Thunb.) Matsum and Nakai) Seeds. Sci. Hortic. 2004, 102, 467–473. [Google Scholar] [CrossRef]
- Chen, L.; Zhu, Y.; Li, M.; Yao, D.; Liu, Z. Effects of osmotic priming with KNO3 on germination characteristics and antioxidant properties of eggplant seedlings under Ca (NO3)2 Stress. Acta Bot. Boreali-Occident. Sin. 2008, 7, 1410–1414. (In Chinese) [Google Scholar]
- Bradford, K.J.; Steiner, J.J.; Trawatha, S.E. Seed Priming Influence on Germination and Emergence of Pepper Seed Lots. Crop Sci. 1990, 30, 718–721. [Google Scholar] [CrossRef]
- Wu, P.; Song, S.H.; Li, L.; Xing, B.; Ding, H. Effects of Priming Treatment on Storage and Longevity of Tomato Seed. China Veg. 2015, 4, 36–40. (In Chinese) [Google Scholar]
- Argerich, C.A.; Bradford, K.J.; Tarquis, A.M. The Effects of Priming and Ageing on Resistance to Deterioration of Tomato Seeds. J. Exp. Bot. 1989, 40, 593–598. [Google Scholar] [CrossRef]
- Chiu, K.Y.; Chen, C.L.; Sung, J.M. Effect of Priming Temperature on Storability of Primed Sh-2 Sweet Corn Seed. Crop Sci. 2002, 42, 1996–2003. [Google Scholar] [CrossRef]
- Schwember, A.R.; Bradford, K.J. Drying Rates Following Priming Affect Temperature Sensitivity of Germination and Longevity of Lettuce Seeds. HortScience 2005, 40, 778–781. [Google Scholar] [CrossRef] [Green Version]
- Hill, H.J.; Cunningham, J.D.; Bradford, K.J.; Taylor, A.G. Primed Lettuce Seeds Exhibit Increased Sensitivity to Moisture Content during Controlled Deterioration. HortScience 2007, 42, 1436–1439. [Google Scholar] [CrossRef] [Green Version]
- Hacisalihoglu, G.; Taylor, A.G.; Paine, D.H.; Hilderbrand, M.B.; Khan, A.A. Embryo Elongation and Germination Rates as Sensitive Indicators of Lettuce Seed Quality: Priming and Aging Studies. HortScience 1999, 34, 1240–1243. [Google Scholar] [CrossRef] [Green Version]
- Amjad, M.; Ziaf, K.; Iqbal, Q.; Ahmad, I.; Atif, M.; Saqib, Z.A. Effect of Seed Priming on Seed Vigour and Salt Tolerance in Hot Pepper. Pak. J. Agric. Res. 2007, 44, 408–416. [Google Scholar]
- Barboza da Silva, C.; Marcos-Filho, J. Storage Performance of Primed Bell Pepper Seeds with 24-Epibrassinolide. Agron. J. 2020, 112, 948–960. [Google Scholar] [CrossRef]
- Rajjou, L.; Debeaujon, I. Seed Longevity: Survival and Maintenance of High Germination Ability of Dry Seeds. C. R. Biol. 2008, 331, 796–805. [Google Scholar] [CrossRef]
- Joao Abba, E.; Lovato, A. Effect of Seed Storage Temperature and Relative Humidity on Maize (Zea mays L.) Seed Viability and Vigour. Seed Sci. Technol. 1999, 27, 101–114. [Google Scholar]
- Zhu, S.; Hong, D. Priming effect of PVA + KNO3 on artificially aged F1 seed in Indica rice (Oryza sativa L.). Southwest China J. Agric. Sci. 2007, 3, 383–387. (In Chinese) [Google Scholar]
- Akbari, G.A.; Heshmati, S.; Soltani, E.; Amini Dehaghi, M. Influence of Seed Priming on Seed Yield, Oil Content and Fatty Acid Composition of Safflower (Carthamus tinctorius L.) Grown Under Water Deficit. Int. J. Plant Prod. 2020, 14, 145–258. [Google Scholar] [CrossRef]
- Da Silva, J.E.S.B.; De Paiva, E.P.; Leite, M.D.S.; Torres, S.B.; de Souza Neta, M.L.; Guirra, K.S. Salicylic Acid in the Physiological Priming of Onion Seeds Subjected to Water and Salt Stresses. Rev. Bras. Eng. Agric. Ambient. 2019, 23, 919–924. [Google Scholar] [CrossRef]
- Michalska-Klimczak, B.; Wyszyński, Z.; Pačuta, V.; Rašovský, M.; Leśniewska, J. Impact of Sugar Beet Seed Priming on Molasses Components, Sugar Content and Technological White Sugar Yield. Plant Soil Environ. 2019, 65, 41–45. [Google Scholar] [CrossRef] [Green Version]
- Rahman, I.-U.U.; Ali, N.; Rab, A.; Shah, Z. Role of Pre Storage Seed Priming in Controlling Seed Deterioration during Storage. Sarhad J. Agric. 2013, 29, 379–386. [Google Scholar]
- Alvarado, A.; Bradford, K. Priming and Storage of Tomato (Lycopersicon lycopersicum) Seeds. I: Effects of Storage Temperature on Germination Rate and Viability. Seed Sci. Technol. 1988, 16, 601–612. [Google Scholar]
- Demir, I.; Okcu, G. Aerated Hydration Treatment for Improved Germination and Seedling Growth in Aubergine (Solanum melongena) and Pepper (Capsicum annuum). Ann. Appl. Biol. 2004, 144, 121–123. [Google Scholar] [CrossRef]
- Hussain, S.; Zheng, M.; Khan, F.; Khaliq, A.; Fahad, S.; Peng, S.; Huang, J.; Cui, K.; Nie, L. Benefits of Rice Seed Priming Are Offset Permanently by Prolonged Storage and the Storage Conditions. Sci. Rep. 2015, 5, 8101. [Google Scholar] [CrossRef] [PubMed]








| Germination Indexes | Source | SS | df | MS | F | p-Value |
|---|---|---|---|---|---|---|
| 7th day GP | Varieties | 0.2690 | 2 | 0.1345 | 19.84 ** | 8.21 × 10−6 |
| Treatments | 0.2285 | 3 | 0.0762 | 11.24 ** | 8.46 × 10−5 | |
| Varieties × Treatments | 0.2612 | 6 | 0.0435 | 6.42 ** | 3.88 × 10−4 | |
| Error | 0.1627 | 24 | 0.0068 | |||
| GP | Varieties | 0.2145 | 2 | 0.1072 | 84.67 ** | 1.34 × 10−11 |
| Treatments | 0.0031 | 3 | 0.0010 | 0.8070 | 0.50 | |
| Varieties × Treatments | 0.0112 | 6 | 0.0019 | 1.4737 | 0.23 | |
| Error | 0.0304 | 24 | 0.0013 | |||
| FW | Varieties | 0.0050 | 2 | 0.0025 | 153.47 ** | 2.12 × 10−14 |
| Treatments | 0.0019 | 3 | 0.0006 | 38.98 ** | 2.20 × 10−9 | |
| Varieties × Treatments | 0.0004 | 6 | 0.0001 | 4.32 ** | 4.29 × 10−3 | |
| Error | 0.0004 | 24 | 0.0000 | |||
| SVI | Varieties | 0.0018 | 2 | 0.0009 | 51.35 ** | 2.13 × 10−9 |
| Treatments | 0.0010 | 3 | 0.0003 | 18.44 ** | 2.02 × 10−6 | |
| Varieties × Treatments | 0.0001 | 6 | 0.0000 | 1.32 | 0.29 | |
| Error | 0.0004 | 24 | 0.0000 | |||
| SL | Varieties | 5.6674 | 2 | 2.8337 | 219.05 ** | 2.45 × 10−31 |
| Treatments | 0.2927 | 3 | 0.0976 | 7.54 ** | 1.86 × 10−4 | |
| Varieties × Treatments | 0.5983 | 6 | 0.0997 | 7.71 ** | 2.05 × 10−6 | |
| Error | 0.9314 | 72 | 0.0129 | |||
| RL | Varieties | 24.6907 | 2 | 12.3454 | 25.08 ** | 5.44 × 10−9 |
| Treatments | 23.2404 | 3 | 7.7468 | 15.74 ** | 5.75 × 10−8 | |
| Varieties × Treatments | 56.5064 | 6 | 9.4177 | 19.13 ** | 3.43 × 10−13 | |
| Error | 35.4457 | 72 | 0.4923 |
| Factors | Levels | 7th Day GP (%) | GP (%) | FW (g) | SVI | SL (cm) | RL (cm) |
|---|---|---|---|---|---|---|---|
| Varieties | No.63 | 70.5 a | 84.7 a | 0.0531 b | 0.0452 b | 0.97 c | 4.21 b |
| No.73 | 50.3 b | 70.0 b | 0.0468 c | 0.0328 c | 1.07 b | 4.51 b | |
| No.101 | 54.8 b | 67.0 b | 0.0743 a | 0.0496 a | 1.56 a | 5.48 a | |
| Treatments | Non-primed | 52.9 b | 73.3 a | 0.0555 b | 0.0400 b | 1.14 b | 4.75 b |
| KNO3 | 67.6 a | 74.0 a | 0.0703 a | 0.0515 a | 1.27 a | 5.52 a | |
| PEG | 48.7 b | 75.3 a | 0.0511 b | 0.0384 b | 1.15 b | 4.60 bc | |
| KNO3 + PEG | 65.1 a | 72.9 a | 0.0555 b | 0.0402 b | 1.25 a | 4.05 c |
| Varieties | Treatments | 7th Day GP (%) | GP (%) | FW (g) | SVI | SL (cm) | RL (cm) |
|---|---|---|---|---|---|---|---|
| No.63 | Non-primed | 77.3 a | 84.0 a | 0.0484 b | 0.0407 b | 0.97 b | 4.34 a |
| KNO3 | 81.3 a | 86.0 a | 0.0639 a | 0.0556 a | 0.91 bc | 3.70 b | |
| PEG | 28.0 b | 84.0 a | 0.0468 b | 0.0394 b | 0.87 c | 4.51 a | |
| KNO3 + PEG | 82.0 a | 84.7 a | 0.0534 b | 0.0451 b | 1.13 a | 4.27 ab | |
| No.73 | Non-primed | 37.3 c | 70.7 a | 0.0430 b | 0.0304 b | 1.03 bc | 5.60 a |
| KNO3 | 58.0 a | 70.7 a | 0.0547 a | 0.0387 a | 1.21 a | 5.00 ab | |
| PEG | 48.0 b | 69.3 a | 0.0440 b | 0.0304 b | 0.93 c | 4.00 bc | |
| KNO3 + PEG | 58.0 a | 69.3 a | 0.0457 b | 0.0317 b | 1.10 b | 3.44 c | |
| No.101 | Non-primed | 44.0 b | 65.3 a | 0.0750 b | 0.0490 ab | 1.41 b | 4.31 c |
| KNO3 | 63.3 a | 65.3 a | 0.0932 a | 0.0603 a | 1.69 a | 7.87 a | |
| PEG | 56.7 ab | 72.7 a | 0.0624 c | 0.0455 b | 1.64 a | 5.29 b | |
| KNO3 + PEG | 55.3 ab | 64.7 a | 0.0676 bc | 0.0438 b | 1.51 ab | 4.44 c |
Publisher’s Note: MDPI stays neutral with regard to jurisdictional claims in published maps and institutional affiliations. |
© 2022 by the authors. Licensee MDPI, Basel, Switzerland. This article is an open access article distributed under the terms and conditions of the Creative Commons Attribution (CC BY) license (https://creativecommons.org/licenses/by/4.0/).
Share and Cite
Tu, K.; Cheng, Y.; Pan, T.; Wang, J.; Sun, Q. Effects of Seed Priming on Vitality and Preservation of Pepper Seeds. Agriculture 2022, 12, 603. https://doi.org/10.3390/agriculture12050603
Tu K, Cheng Y, Pan T, Wang J, Sun Q. Effects of Seed Priming on Vitality and Preservation of Pepper Seeds. Agriculture. 2022; 12(5):603. https://doi.org/10.3390/agriculture12050603
Chicago/Turabian StyleTu, Keling, Ying Cheng, Tong Pan, Jianhua Wang, and Qun Sun. 2022. "Effects of Seed Priming on Vitality and Preservation of Pepper Seeds" Agriculture 12, no. 5: 603. https://doi.org/10.3390/agriculture12050603
APA StyleTu, K., Cheng, Y., Pan, T., Wang, J., & Sun, Q. (2022). Effects of Seed Priming on Vitality and Preservation of Pepper Seeds. Agriculture, 12(5), 603. https://doi.org/10.3390/agriculture12050603
