Motion Planning of the Citrus-Picking Manipulator Based on the TO-RRT Algorithm
Abstract
:1. Introduction
- On the basis of the biased-RRT, the potential field function and the adaptive probability threshold are introduced, so that the random tree has corresponding growth strategies in different potential fields. The above strategies improve the directional search ability of random trees in the repulsive potential field and enhance the escape ability of random trees in the repulsive potential field;
- To solve the problem of “falling into a trap” in the repulsive potential field of random trees, a node-first search strategy is proposed, which makes the selection of extended nodes of random trees more purposeful;
- Proper step size is crucial to improve search ability. Using an attractive step size is helpful to reduce the number of collision detections and computational complexities outside the repulsive potential field. “Step-size dichotomy” solves the problem of random trees colliding with obstacles many times due to too large of step size in the repulsive potential field;
- By introducing a regression superposition algorithm, the random tree can avoid over-searching space in the repulsive potential field and enhance the escape ability.
2. Materials and Methods
2.1. RRT Algorithm
| Algorithm 1. RRT Algorithm. |
| 1: |
| 2: for to do |
| 3: |
| 4: |
| 5: |
| 6: if then |
| 8: end if |
| then |
| 10: return |
| 11: end if |
| 12: end for |
2.2. Some Improvement Methods
| Algorithm 2. Biased-RRT Algorithm. |
| 1: |
| 2: for to do |
| 3: if then |
| 4: |
| 5: else |
| 6: |
| 7: end condition |
| 8: |
| 9: |
| 10: if then |
| 11: |
| 12: end if |
| 13: if then |
| 14: return |
| 15: end if |
| 16: end for |
2.3. TO-RRT Algorithm
2.3.1. Adaptive Probability Threshold
| Algorithm 3. Probability Threshold under the Control of Potential Field. |
| 1: if then |
| 2: |
| 3: else |
| 4: |
| 5: end if |
| 6: return |
2.3.2. Node-First Search Strategy
| Algorithm 4. Node-First Search Algorithm. |
| 1: if then |
| 2: if then |
| 3: |
| 4: else |
| 5: |
| 6: end if |
| 7: else |
| 8: |
| 9: end if |
| 10: return |
2.3.3. Attractive Step Size and Step-Size Dichotomy
| Algorithm 5. Step-size Dichotomy. |
| 1: if then |
| 2: while do |
| 3: |
| 4: end while |
| 5: else |
| 6: |
| 7: end if |
| 8: return |
2.3.4. Regression Superposition Algorithm
3. Results
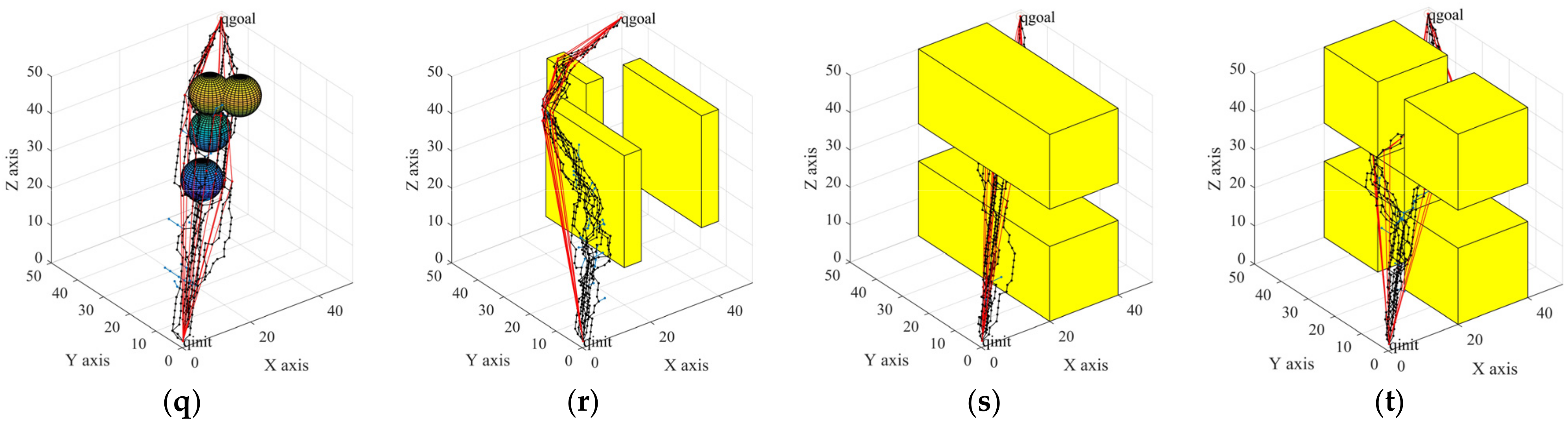
3.1. Comparative Experiment of Path Planning in a Complex Environment
3.2. Obstacle Avoidance Test Based on the Robotics Toolbox
3.3. Comparative Experiments in a Virtual Picking Environment
3.4. Contrastive Experiments in Real Environments
4. Discussion
4.1. Analysis
4.2. Future Work
5. Conclusions
Author Contributions
Funding
Institutional Review Board Statement
Informed Consent Statement
Data Availability Statement
Conflicts of Interest
References
- Khatib, O. Real-Time Obstacle Avoidance for Manipulators and Mobile Robots. In Proceedings of the 1985 IEEE International Conference on Robotics and Automation, St. Louis, MO, USA, 25–28 March 1985; pp. 396–404. [Google Scholar] [CrossRef]
- LaValle, S.M. Rapidly-Exploring Random Trees: A New Tool for Path Planning. 1998. Available online: http://citeseerx.ist.psu.edu/viewdoc/download?doi=10.1.1.35.1853&rep=rep1&type=pdf (accessed on 10 March 2022).
- LaValle, S.M.; Kuffner, J.J. Randomized Kinodynamic Planning. Int. J. Robot. Res. 2001, 20, 378–400. [Google Scholar] [CrossRef]
- Kuffner, J.J.; LaValle, S.M. RRT-connect: An efficient approach to single-query path planning. Proceedings 2000 ICRA. Millennium Conference. In Proceedings of the IEEE International Conference on Robotics and Automation. Symposia Proceedings (Cat. No.00CH37065), San Francisco, CA, USA, 24–28 April 2000; pp. 995–1001. [Google Scholar] [CrossRef] [Green Version]
- Karaman, S.; Frazzoli, E. Incremental sampling-based algorithms for optimal motion planning. In Proceedings of the Robotics Science and Systems 2010, Zaragoza, Spain, 27 June 2010; Volume 104. Available online: http://www.roboticsproceedings.org/rss06/p34.pdf (accessed on 15 March 2022). [CrossRef]
- Mohammed, H.; Romdhane, L.; Jaradat, M.A. RRT* N: An efficient approach to path planning in 3D for Static and Dynamic Environments. Adv. Robot. 2021, 35, 168–180. [Google Scholar] [CrossRef]
- Akgun, B.; Stilman, M. Sampling heuristics for optimal motion planning in high dimensions. In Proceedings of the 2011 IEEE/RSJ International Conference on Intelligent Robots and Systems, San Francisco, CA, USA, 25–30 September 2011; pp. 2640–2645. [Google Scholar] [CrossRef]
- Jeong, I.B.; Lee, S.J.; Kim, J.H. RRT*-quick: A motion planning algorithm with faster convergence rate. In Robot Intelligence Technology and Applications 3; Intelligent Systems and Computing: Cham, Switzerland, 2015; pp. 67–76. [Google Scholar] [CrossRef]
- Jeong, I.B.; Lee, S.J.; Kim, J.H. Quick-RRT*: Triangular inequality-based implementation of RRT* with improved initial solution and convergence rate. Expert Syst. Appl. 2019, 123, 82–90. [Google Scholar] [CrossRef]
- Adiyatov, O.; Varol, H.A. Rapidly-exploring random tree based memory efficient motion planning. In Proceedings of the 2013 IEEE International Conference on Mechatronics and Automation (ICMA), Takamatsu, Japan, 4–7 August 2013; pp. 354–359. [Google Scholar] [CrossRef]
- Cao, X.; Zou, X.; Jia, C.; Chen, M.; Zeng, Z. RRT-based path planning for an intelligent litchi-picking manipulator. Comput. Electron. Agric. 2019, 156, 105–118. [Google Scholar] [CrossRef]
- Wang, X.; Luo, X.; Han, B.; Chen, Y.; Liang, G.; Zheng, K. Collision-free path planning method for robots based on an improved rapidly-exploring random tree algorithm. Appl. Sci. 2020, 10, 1381. [Google Scholar] [CrossRef] [Green Version]
- Zhang, H.; Wang, Y.; Zheng, J.; Yu, J. Path planning of industrial robot based on improved RRT algorithm in complex environments. IEEE Access 2018, 6, 53296–53306. [Google Scholar] [CrossRef]
- Gong, H.; Yin, C.; Zhang, F.; Hou, Z.; Zhang, R. A path planning algorithm for unmanned vehicles based on target-oriented rapidly-exploring random tree. In Proceedings of the 2017 11th Asian Control Conference (ASCC), Gold Coast, QLD, Australia, 17–20 December 2017; pp. 760–765. [Google Scholar] [CrossRef]
- Li, B.; Chen, B. An Adaptive Rapidly-Exploring Random Tree. IEEE/CAA J. Autom. Sin. 2021, 9, 283–294. [Google Scholar] [CrossRef]
- Gao, X.; Wu, H.; Zhai, L.; Sun, H.; Jia, Q.; Wang, Y.; Wu, L. A rapidly exploring random tree optimization algorithm for space robotic manipulators guided by obstacle avoidance independent potential field. Int. J. Adv. Robot. Syst. 2018, 15, 1729881418782240. [Google Scholar] [CrossRef]
- Wang, J.; Li, X.; Meng, M.Q.H. An improved RRT algorithm incorporating obstacle boundary information. In Proceedings of the 2016 IEEE International Conference on Robotics and Biomimetics (ROBIO), Qingdao, China, 3–7 December 2016; pp. 625–630. [Google Scholar] [CrossRef]
- Veras, L.G.; Medeiros, F.; Guimaraes, L. Systematic literature review of sampling process in rapidly-exploring random trees. IEEE Access 2019, 7, 50933–50953. [Google Scholar] [CrossRef]
- Zu, W.; Fan, G.; Gao, Y.; Ma, H.; Zhang, H.; Zeng, H. Multi-UAVs Cooperative Path Planning Method based on Improved RRT Algorithm. In Proceedings of the 2018 IEEE International Conference on Mechatronics and Automation (ICMA), Changchun, China, 5–8 August 2018; pp. 1563–1567. [Google Scholar] [CrossRef]
- Li, H.; Liang, Y.; Wang, M.; Dan, T. Design and implementation of improved RRT algorithm for collision free motion planning of high-dimensional robot in complex environment. In Proceedings of the 2012 2nd International Conference on Computer Science and Network Technology, Changchun, China, 29–31 December 2012; pp. 1391–1397. [Google Scholar] [CrossRef]
- Kang, G.; Kim, Y.B.; You, W.S.; Lee, Y.H.; Oh, H.S.; Moon, H.; Choi, H.R. Sampling-based path planning with goal oriented sampling. In Proceedings of the 2016 IEEE International Conference on Advanced Intelligent Mechatronics (AIM), Banff, AB, Canada, 12–15 July 2016; pp. 1285–1290. [Google Scholar] [CrossRef]
- Ahmadyan, S.N.; Kumar, J.A.; Vasudevan, S. Goal-oriented stimulus generation for analog circuits. In Proceedings of the 49th Annual Design Automation Conference, New York, NY, USA, 3 June 2012; pp. 1018–1023. [Google Scholar] [CrossRef]
- Wang, J.; Wu, S.; Li, H.; Zou, J. Path planning combining improved rapidly-exploring random trees with dynamic window approach in ROS. In Proceedings of the 2018 13th IEEE Conference on Industrial Electronics and Applications (ICIEA), Wuhan, China, 31 May–2 June 2018; pp. 1296–1301. [Google Scholar] [CrossRef]
- Qi, J.; Yang, H.; Sun, H. MOD-RRT*: A sampling-based algorithm for robot path planning in dynamic environment. IEEE Trans. Ind. Electron. 2020, 68, 7244–7251. [Google Scholar] [CrossRef]
- Yuan, C.; Zhang, W.; Liu, G.; Pan, X.; Liu, X. A heuristic rapidly-exploring random trees method for manipulator motion planning. IEEE Access 2019, 8, 900–910. [Google Scholar] [CrossRef]
- Wen, N.; Zhang, R.; Liu, G.; Wu, J.; Qu, X. Online planning low-cost paths for unmanned surface vehicles based on the artificial vector field and environmental heuristics. Int. J. Adv. Robot. Syst. 2020, 17, 1729881420969076. [Google Scholar] [CrossRef]
- Qureshi, A.H.; Ayaz, Y. Potential functions based sampling heuristic for optimal path planning. Auton. Robot. 2016, 40, 1079–1093. [Google Scholar] [CrossRef] [Green Version]
- Zaid, T.; Qureshi, A.H.; Yasar, A.; Raheel, N. Potentially guided bidirectionalized rrt* for fast optimal path planning in cluttered environments. Robot. Auton. Syst. 2018, 108, 13–27. [Google Scholar] [CrossRef] [Green Version]
- Yang, Y.; Liu, J.; Zheng, Y.; Huang, Q. Obstacle Avoidance Path Planning of Manipulator of Forestry Felling & Cultivation Machine. Sci. Silvae Sin. 2021, 57, 179–192. [Google Scholar] [CrossRef]
- Liu, Y.; Zhao, H.; Liu, X.; Xu, Y. An Improved RRT Industrial Robot Path Avoidance Planning Algorithm. Inf. Control 2021, 50, 235–246. [Google Scholar] [CrossRef]
- Liu, C.; Han, J.; An, K. Dynamic Path Planning Based on an Improved RRT Algorithm for RoboCup Robot. Robot 2017, 39, 8–15. [Google Scholar] [CrossRef]
- Li, Y.; Xu, D. Cooperative Path Planning of Dual-arm Robot Based on Attractive Force Self-adaptive Step Size RRT. Robot 2020, 42, 606–616. [Google Scholar] [CrossRef]
- Ruan, X.; Zhou, J.; Zhang, J.; Zhu, X. Robot goal guide RRT path planning based on sub-target search. Control Decis. 2020, 35, 2543–2548. [Google Scholar] [CrossRef]
- Lin, N.; Zhang, Y. An adaptive RRT based on dynamic step for UAVs route planning. In Proceedings of the 2014 5th IEEE International Conference on Software Engineering and Service Science (ICSESS), Beijing, China, 27–29 June 2014; pp. 1111–1114. [Google Scholar] [CrossRef]
- Wang, C.; Meng, Q.H. Variant step size RRT: An efficient path planner for UAV in complex environments. In Proceedings of the 2016 IEEE International Conference on Real-Time Computing and Robotics (RCAR), Angkor Wat, Cambodia, 6–10 June 2016; pp. 555–560. [Google Scholar] [CrossRef]
- Li, Y.; Wang, S.; Jiang, L.; Meng, J.; Xie, Y. Motion Planning of Mobile Manipulator Based on RRT with Sparse Nodes. China Mech. Eng. 2020, 32, 9. [Google Scholar]
- Mellinger, D.; Kumar, V. Minimum snap trajectory generation and control for quadrotors. In Proceedings of the 2011 IEEE International Conference on Robotics and Automation, Shanghai, China, 9–13 May 2011; pp. 2520–2525. [Google Scholar] [CrossRef]
- Richter, C.A.; Bry, A.P.; Roy, N. Polynomial Trajectory Planning for Aggressive Quadrotor Flight in Dense Indoor Environments. In Robotics Research; Springer Tracts in Advanced Robotics; Springer: Cham, Switzerland, 23 April 2016; Volume 114, pp. 649–666. [Google Scholar] [CrossRef]
- Reddy, P.; Pham, Q.V.; Prabadevi, B.; Deepa, N.; Dev, K.; Gadekallu, T.; Ruby, R.; Liyanage, M. Industry 5.0: A survey on enabling technologies and potential applications. J. Ind. Inf. Integr. 2021, 26, 100257. [Google Scholar] [CrossRef]
- Gadekallu, T.R.; Rajput, D.S.; Reddy, M.P.K.; Lakshmanna, K.; Bhattacharya, S.; Singh, S.; Jolfaei, A.; Alazab, M. A novel PCA–whale optimization-based deep neural network model for classification of tomato plant diseases using GPU. J. Real-Time Image Process. 2021, 18, 1383–1396. [Google Scholar] [CrossRef]
- Li, T.; Feng, Q.; Qiu, Q.; Xie, F.; Zhao, C. Occluded Apple Fruit Detection and Localization with a Frustum-Based Point-Cloud Processing Approach for Robotic Harvesting. Remote Sensing. 2022, 14, 482. [Google Scholar] [CrossRef]
- Li, T.; Qiu, Q.; Zhao, C. Task planning of multi-arm harvesting robots for high-density dwarf orchards. Trans. Chin. Soc. Agric. Eng. (Trans. CSAE) 2021, 37, 1–10. [Google Scholar] [CrossRef]
- Wang, W.; Zuo, L.; Xu, X. A learning-based multi-RRT approach for robot path planning in narrow passages. J. Intell. Robot. Syst. 2018, 90, 81–100. [Google Scholar] [CrossRef]




















| RRT Type | Algorithm Name | Solutions |
|---|---|---|
| Biased-RRT | NC-RRT [12] | The random tree search is guided by gradually changing the sampling area, and it is expanded through the boundary nodes as much as possible through the node control mechanism. |
| Biased-RRT | RRT-BCR [13] | A regression mechanism is introduced to prevent excessive searching, and an adaptive expansion mechanism is introduced to avoid the repeated search of expansion nodes. |
| RRT* | MOD-RRT* [24] | An initial path planner and a path replanner are proposed. When encountering obstacles, the path replanner selects alternative paths to avoid collision. |
| P-RRT | PBG-RRT [25] | By giving weights to the goal and random points, the random tree deviates from obstacles. |
| RRT* | HSRRT* [26] | The random tree is guided to deviate from an obstacle through the APF, and the heuristic sampling scheme of Gaussian function is used to generate sampling points near the obstacle to improve the search efficiency. |
| Algorithm Type | Running Time (s) | Path Length (cm) | Tree Nodes (Number) | Path Nodes (Number) | Collision Detection (Number) | Failed Node Growth (Number) | Node Failure Growth Rate (%) | |
|---|---|---|---|---|---|---|---|---|
| Multi-sphere | RRT | 5.6342 | 124.6008 | 10,454.3 | 60.9 | 10,693.7 | 229.4 | 2.15 |
| Biased-RRT | 0.0617 | 100.1367 | 140.1 | 54 | 228 | 87.9 | 38.55 | |
| TO-RRT | 0.0147 | 100.9338 | 22.9 | 10.4 | 65.5 | 6.5 | 9.92 | |
| RRT-BCR | 0.0545 | 101.9241 | 113.4 | 54.3 | 123.2 | 9.8 | 7.95 | |
| NC-RRT | 0.0324 | 94.3765 | 50.6 | 50.2 | 183.7 | 133.1 | 78.46 | |
| Multi-rectangle | RRT | 7.8822 | 140.9832 | 14,213.5 | 68.7 | 17,358.3 | 3144.8 | 18.12 |
| Biased-RRT | 0.1860 | 125.8082 | 414.3 | 62.9 | 1033.9 | 619.6 | 59.93 | |
| TO-RRT | 0.0213 | 110.1866 | 32.7 | 13.2 | 135.5 | 17.3 | 12.77 | |
| RRT-BCR | 0.1121 | 121.8465 | 243.8 | 60.4 | 294.4 | 50.6 | 17.19 | |
| NC-RRT | 0.1709 | 107.2454 | 55.8 | 53.6 | 55,077 | 54,519 | 99.99 | |
| Single-channel | RRT | 12.4436 | 131.1145 | 8333.9 | 64.2 | 13,560.3 | 5226.4 | 38.54 |
| Biased-RRT | 0.1074 | 108.6431 | 242.2 | 55.5 | 607.3 | 365.1 | 60.12 | |
| TO-RRT | 0.0254 | 107.4978 | 32.8 | 12.7 | 130.7 | 20 | 15.30 | |
| RRT-BCR | 0.0707 | 109.4179 | 159.3 | 55.8 | 203.8 | 44.5 | 21.83 | |
| NC-RRT | 0.0406 | 96.7172 | 49.8 | 49.8 | 659 | 609.2 | 92.44 | |
| Multi-channel | RRT | 8.0047 | 134.4688 | 11,702.5 | 64.7 | 18,399.5 | 6697 | 36.40 |
| Biased-RRT | 0.1461 | 114.4721 | 322.9 | 56.9 | 861.9 | 539 | 62.54 | |
| TO-RRT | 0.0301 | 117.5516 | 51.8 | 16.1 | 222.5 | 35.2 | 15.82 | |
| RRT-BCR | 0.1276 | 120.4389 | 278.8 | 61.8 | 369.3 | 90.5 | 24.51 | |
| NC-RRT | 0.0821 | 102.7622 | 55.3 | 52.8 | 21,487 | 20,934 | 97.43 | |
| Average index | RRT | 8.4912 | 132.7918 | 11,176.05 | 64.625 | 15,002.95 | 3824.4 | 23.8025 |
| Biased-RRT | 0.1253 | 112.2650 | 279.875 | 57.325 | 682.775 | 402.9 | 55.285 | |
| TO-RRT | 0.0229 | 109.0425 | 35.05 | 13.1 | 138.55 | 19.75 | 13.4525 | |
| RRT-BCR | 0.0912 | 113.4070 | 198.825 | 58.075 | 247.675 | 48.85 | 17.87 | |
| NC-RRT | 0.0815 | 100.2753 | 52.875 | 51.6 | 19,351.675 | 19,061.48 | 92.08 |
| 1 | ||||
| 2 | ||||
| 3 | ||||
| 4 | ||||
| 5 | ||||
| 6 | ||||
| 7 |
| Number | Obstacle Coordinates (cm) | Obstacle Radius (cm) |
|---|---|---|
| 1 | (25,55,48) | 5 |
| 2 | (25,53,47) | 5 |
| 3 | (25,51,46) | 5 |
| 4 | (25,49,45) | 5 |
| Initial Pose | Pose of Citrus 1 | Pose of Citrus 2 | |
|---|---|---|---|
| Position | (0.3595, 0, 0.643499) | (0.106155, 0.227978, 0.744871) | (−0.234434, 0.360095, 0.737649) |
| Orientation | (−0.65328, −0.270598, 0.653283, 0.270599) | (−0.636052, 0.309414, 0.231336, 0.66797) | (−0.771505, 0.309187, 0.226895, 0.507644) |
| RRT | Biased-RRT | TO-RRT | RRT-BCR | NC-RRT | |
|---|---|---|---|---|---|
| Global planning time(s) | 243.322451 | 3.720342 | 0.074915 | 1.222014 | 0.181070 |
| Global waypoints(number) | 41 | 29 | 7 | 20 | 15 |
| Path length at obstacle avoidance(m) | 1.89919096 | 1.46801193 | 0.63548128 | 0.592291 | 0.53239712 |
| Number | Obstacle Coordinates (m) | Obstacle Radius (cm) |
|---|---|---|
| 1 | (0.369822, −0.153781, 1.04791) | 1 |
| 2 | (0.426765, −0.149826, 1.00189) | 1 |
| 3 | (0.45418, −0.186812, 0.947317) | 1 |
| 4 | (0.330284, −0.344084, 1.01095) | 1.5 |
| 5 | (0.384351, −0.371103, 0.94411) | 1.5 |
| 6 | (0.48388, −0.335959, 0.897789) | 1.5 |
| Coordinates (m) | |
|---|---|
| Base coordinates | (0,0,0) |
| Citrus 1 coordinates | (0.208763, −0.432806, 0.764728) |
| Citrus 2 coordinates | (0.423718, 0.0602042, 0.994) |
| Algorithm Type | Planning Time(s) | Movement Time(s) |
|---|---|---|
| RRT | 53.873985 | 84.3975 |
| Biased-RRT | 0.0883 | 18.0498 |
| TO-RRT | 0.0508 | 17.3703 |
| RRT-BCR | 0.0771 | 17.9238 |
| NC-RRT | 0.0649 | 17.7131 |
Publisher’s Note: MDPI stays neutral with regard to jurisdictional claims in published maps and institutional affiliations. |
© 2022 by the authors. Licensee MDPI, Basel, Switzerland. This article is an open access article distributed under the terms and conditions of the Creative Commons Attribution (CC BY) license (https://creativecommons.org/licenses/by/4.0/).
Share and Cite
Liu, C.; Feng, Q.; Tang, Z.; Wang, X.; Geng, J.; Xu, L. Motion Planning of the Citrus-Picking Manipulator Based on the TO-RRT Algorithm. Agriculture 2022, 12, 581. https://doi.org/10.3390/agriculture12050581
Liu C, Feng Q, Tang Z, Wang X, Geng J, Xu L. Motion Planning of the Citrus-Picking Manipulator Based on the TO-RRT Algorithm. Agriculture. 2022; 12(5):581. https://doi.org/10.3390/agriculture12050581
Chicago/Turabian StyleLiu, Cheng, Qingchun Feng, Zuoliang Tang, Xiangyu Wang, Jinping Geng, and Lijia Xu. 2022. "Motion Planning of the Citrus-Picking Manipulator Based on the TO-RRT Algorithm" Agriculture 12, no. 5: 581. https://doi.org/10.3390/agriculture12050581
APA StyleLiu, C., Feng, Q., Tang, Z., Wang, X., Geng, J., & Xu, L. (2022). Motion Planning of the Citrus-Picking Manipulator Based on the TO-RRT Algorithm. Agriculture, 12(5), 581. https://doi.org/10.3390/agriculture12050581

