Soil Microbial Activity in Different Cropping Systems under Long-Term Crop Rotation
Abstract
:1. Introduction
2. Materials and Methods
2.1. Site Description
2.2. Experimental Design
2.3. Fertilizer and Crop Management
2.4. Chemical Analysis
2.5. Meteorological Data
2.6. Statistical Analysis
3. Results and Discussion
3.1. Changes in Soil Microbial Hydrolytic Activity during the Study Period
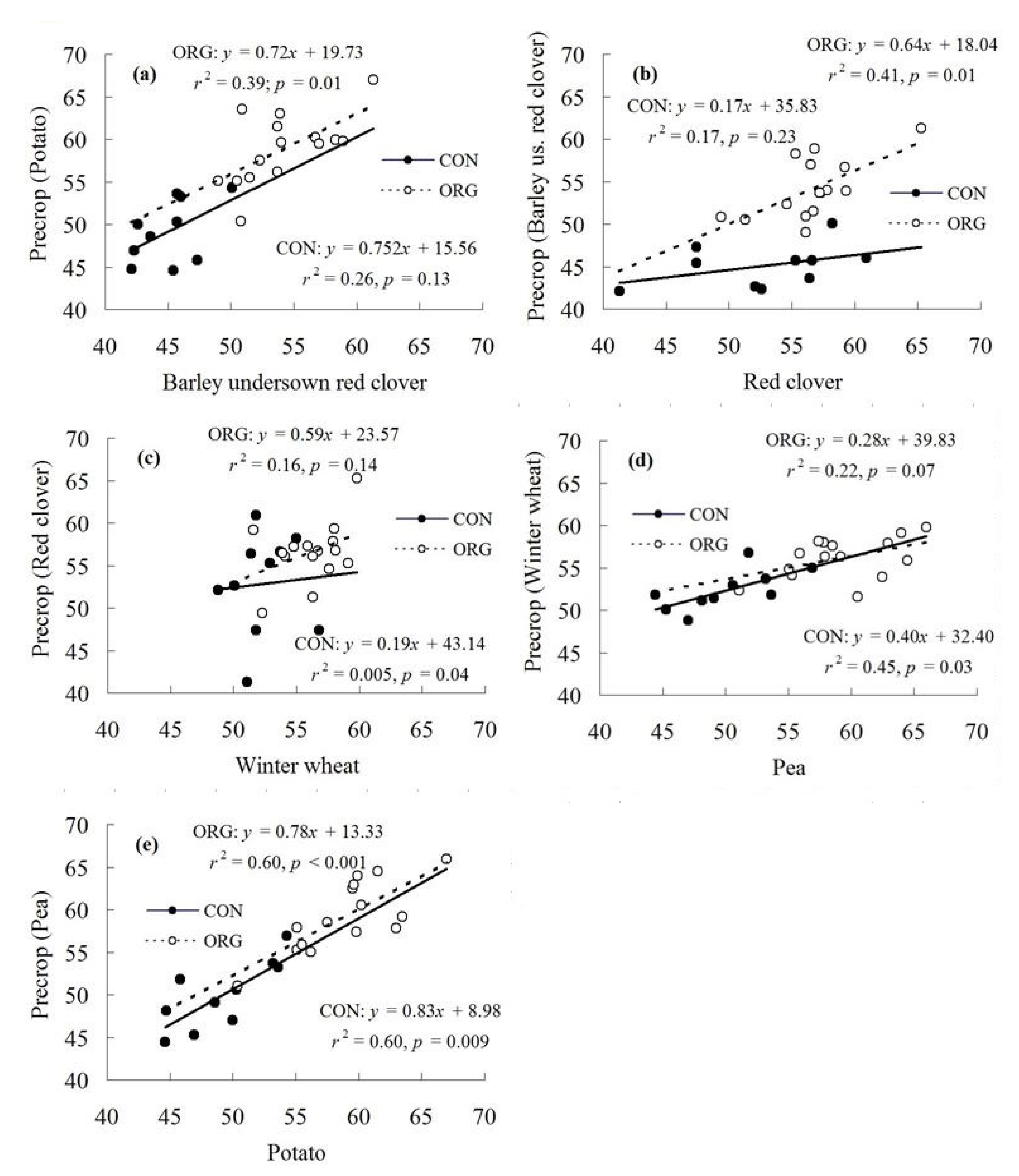
3.2. The Effect of Precrops on the SMA
4. Conclusions
Author Contributions
Funding
Institutional Review Board Statement
Informed Consent Statement
Data Availability Statement
Conflicts of Interest
References
- Costa, J.; Oliveira, R.S.; Tiago, I.; Ma, Y.; Galhano, C.; Freitas, H.; Castro, P. Soil microorganisms. In Advances in Plant Ecophysiology Techniques; Sánchez-Moreiras, A., Reigosa, M., Eds.; Springer: Cham, Switzerland, 2018; pp. 457–482. [Google Scholar]
- Degens, B.P.; Schipper, L.A.; Sparling, G.P.; Duncan, L.C. Is the microbial community in a soil with reduced catabolic diversityless resistant to stress or disturbance? Soil Biol. Biochem. 2000, 33, 1143–1153. [Google Scholar] [CrossRef]
- Kara, O.; Bolat, I. The effect of different land uses on soil microbial biomass carbon and nitrogen in Bartin Province. Turk. J. Agric. For. 2008, 32, 281–288. [Google Scholar]
- Kennedy, A.C.; Gewin, V.L. Soil microbial diversity: Present and future considerations. Soil Sci. 1997, 162, 607–617. [Google Scholar] [CrossRef]
- Power, J.F.; Prasad, R. Soil Fertility Management for Sustainable Agriculture; CRC Press LLC: Boca Raton, NY, USA, 1997; 384p. [Google Scholar]
- Stark, C.; Condron, L.M.; Stewart, A.; Di, H.J.; O’Callaghan, M. Influence of organic and mineral amendments on soil microbial properties and processes. Appl. Soil Ecol. 2007, 35, 79–93. [Google Scholar] [CrossRef] [Green Version]
- Arias, M.E.; Gonzalez-Perez, J.A.; Gonzalez-Vila, F.J.; Ball, A.S. Soil health-a new challenge for microbiologists and chemists. Int. Microbiol. 2005, 8, 13–21. [Google Scholar]
- Janvier, C.; Villeneuve, F.; Alabouvette, C.; Edel-Hermann, V.; Mateille, T.; Steinberg, C. Soil health through soil disease suppression: Which strategy from descriptors to indicators? Soil Biol. Biochem. 2007, 39, 1–23. [Google Scholar] [CrossRef]
- İnceoğlu, Ö.; van Overbeek, L.S.; Salles, J.F.; van Elsas, J.D. Normal Operating Range of Bacterial Communities in Soil Used forPotato Cropping. Appl. Environ. Microbiol. 2013, 79, 1160–1170. [Google Scholar] [CrossRef] [Green Version]
- Singh, B.K.; Bardgett, R.D.; Smith, P.; Reay, D.S. Microorganisms and climate change: Terrestrial feedbacks and mitigation options. Nat. Rev. Microbiol. 2010, 8, 779–790. [Google Scholar] [CrossRef]
- Bardgett, R.; van der Putten, W. Belowground biodiversity and ecosystem functioning. Nature 2014, 515, 505–511. [Google Scholar] [CrossRef]
- Costa, A.L.; Paixao, S.M.; Cacador, I.; Carolino, M. CLPP and EEA profiles of microbial communities in salt marsh sediments. J. Soils Sediments 2007, 7, 418–425. [Google Scholar] [CrossRef]
- Piton, G.; Legay, N.; Arnoldi, C.; Lavorel, S.; Clement, J.C.; Foulquier, A. Using proxies of microbial community-weighted means traits to explain the cascading effect of management intensity, soil and plant traits on ecosystem resilience in mountain grasslands. J. Ecol. 2020, 108, 876–893. [Google Scholar] [CrossRef]
- Zhang, Y.T.; Du, R.; Chen, H.L.; Du, P.R.; Zhang, S.J.; Ren, W.S. Different characteristics of microbial diversity and special functional microbes in rainwater and topsoil before and after 2019 new coronavirus epidemic in Inner Mongolia Grassland. Sci. Total Environ. 2022, 809, 151088. [Google Scholar] [CrossRef] [PubMed]
- Kuht, J.; Eremeev, V.; Talgre, L.; Alaru, M.; Loit, E.; Mäeorg, E.; Esmaeilzadeh-Salestani, K.; Luik, A. Changes in the soil microbial hydrolytic activity and the content of organic carbon and total nitrogen by growing spring barley undersown with red clover in different farming systems. Agriculture 2019, 9, 146. [Google Scholar] [CrossRef] [Green Version]
- Eremeev, V.; Talgre, L.; Kuht, J.; Mäeorg, E.; Esmaeilzadeh-Salestani, K.; Alaru, M.; Loit, E.; Runno-Paurson, E.; Luik, A. The soil microbial hydrolytic activity, content of nitrogen and organic carbon were enhanced by organic farming management using cover crops and composts in potato cultivation. Acta Agric. Scand. Sect. B Soil Plant Sci. 2020, 70, 87–94. [Google Scholar] [CrossRef]
- Gomez, E.; Ferreras, L.; Toresani, S. Soil bacterial functional diversity as influenced by organic amendment application. Bioresour. Technol. 2006, 97, 1484–1489. [Google Scholar] [CrossRef]
- Gomiero, T.; Pimentel, D.; Paoletti, M.G. Environmental impact of different agricultural management practices: Conventional versus organic agriculture. Crit. Rev. Plant Sci. 2011, 30, 95–124. [Google Scholar] [CrossRef]
- Bonilla, N.; Cazorla, F.M.; Martínez-Alonso, M.; Hermoso, J.M.; González-Fernández, J.; Gaju, N.; Landa, B.B.; de Vicente, A. Organic amendments and land management affect bacterial community composition, diversity, and biomass in avocado crop soils. Plant Soil. 2012, 357, 215–226. [Google Scholar] [CrossRef] [Green Version]
- Oldare, M.; Pell, M.; Svensson, K. Changes in soil chemical and microbiological properties, during 4 years of application of various organic residues. Waste Manag. 2008, 28, 1246–1253. [Google Scholar]
- Oldare, M.; Arthurson, V.; Pell, M.; Svensson, K.; Nehrenheim, E.; Abubaker, J. Land application of organic waste—Effects on the soil ecosystem. Appl. Energy 2011, 88, 2210–2218. [Google Scholar]
- Deckers, J.A.; Nachtergale, F.O.; Spaargarn, O.C. World Reference Base for Soil Resources: Introduction, 1st ed.; Acco: Leuven, Belgium, 1998; p. 165. [Google Scholar]
- Reintam, E.; Köster, T. The role of chemical indicators to correlate some Estonian soils with WRB and soil taxonomy criteria. Geoderma 2006, 136, 199–209. [Google Scholar] [CrossRef]
- Ministry of the Environment, Estonia’s Fifth National Report under the UN Framework Convention on Climate Change. 2009. Available online: https://unfccc.int/sites/default/files/resource/est_nc5.pdf (accessed on 15 April 2020).
- Madsen, H.; Talgre, L.; Eremeev, V.; Sànches De Cima, D.; Luik, A. The effect of farming system on soil microbial hydrolytical activity. Programe and Abstarcts Long-term Agroecosystem Sustainability: Links between Carbon Sequestration in Soils, Food Security and Climate Change. In Proceedings of the International Scientific Conference AgroEco2016, Kaunas, Lithuania, 6 October 2016; pp. 42–45. [Google Scholar]
- Schnürer, J.; Rosswall, T. Fluorescein Diacetate Hydrolysis as a Measure of Total Microbial Activity in Soil and Litter. Appl. Environ. Microbiol. 1982, 43, 1256–1261. [Google Scholar] [CrossRef] [PubMed] [Green Version]
- ISO 10381-6; Soil Quality–Sampling. Guidance on the Collection, Handling and Storage of Soil for the Assessment of Aerobic Microbial Processes in Laboratory. International Organization for Standardization: Geneva, Switzerland, 1993.
- Adam, G.; Duncan, H. Development of a sensitive and rapid method for the measurement of total microbial activity using fluorescein diacetate (FDA) in a range of soils. Soil Biol. Biochem. 2001, 33, 943–951. [Google Scholar] [CrossRef] [Green Version]
- Statsoft. Statistica, version 7.0; Copyright 1984–2005; StatSoft Inc.: Tulka, OK, USA, 2005; 716p. [Google Scholar]
- Keres, I.; Alaru, M.; Eremeev, V.; Talgre, L.; Luik, A.; Loit, E. Long-term effect of farming systems on the yield of crop rotation and soil nutrient content. Agric. Food Sci. 2020, 29, 210–221. [Google Scholar] [CrossRef]
- Esmaeilzadeh-Salestani, K.; Bahram, M.; Ghanbari, M.; Seraj, R.; Gohar, D.; Tohidfar, M.; Eremeev, V.; Talgre, L.; Khaleghdoust, B.; Mirmajlessi, S.M.; et al. Cropping systems with higher organic carbon promote soil microbial diversity. Agric. Ecosyst. Environ. 2021, 319, 107521. [Google Scholar] [CrossRef]
- Aosaar, J.; Varik, M.; Lõhmus, K.; Ostonen, I.; Becker, H.; Uri, V. Long-term study of above- and below-ground biomass production in relation to nitrogen and carbon accumulation dynamics in a grey alder (Alnus incana (L.) Moench) plantation on former agricultural land. Eur. J. For. Res. 2013, 132, 737–749. [Google Scholar] [CrossRef]
- Matt, D.; Eremeev, V.; Tein, B.; Roasto, M.; Pehme, S.; Luik, A. The metabolomic fingerprinting and microbiological quality of winter wheat (Triticum aestivum L.) in different organic growing systems. In Proceedings of the 4th ISOFAR Scientific Conference “Building Organic Bridges”: Organic World Congress 2014, Istanbul, Turkey, 13–15 October 2014; Rahmann, G., Aksoy, U., Eds.; ISOFAR: Istanbul, Turkey, 2014; pp. 227–229. [Google Scholar]
- Sánchez de Cima, D.; Tein, B.; Eremeev, V.; Luik, A.; Kauer, K.; Reintam, E.; Kahu, G. Winter cover crop effects on soil structural stability and microbiological activity in organic farming. Biol. Agric. Hort. 2016, 32, 170–181. [Google Scholar] [CrossRef]
- Kauer, K.; Pärnpuu, S.; Talgre, L.; Eremeev, V.; Luik, A. Soil Particulate and Mineral-Associated Organic Matter Increases in Organic Farming under Cover Cropping and Manure Addition. Agriculture 2021, 11, 903. [Google Scholar] [CrossRef]
- Kanazawa, S.; Asakawa, S.; Takai, Y. Effect of fertilizer and manure application on microbial numbers, biomass, and enzyme activities in volcanic ash soils. I. Microbial numbers and biomass carbon. Soil Sci. Plant Nutr. 1988, 34, 429–439. [Google Scholar] [CrossRef]
- Russell, E.W. Soil structure: Its maintenance and improvement. Eur. J. Soil Sci. 1971, 22, 137–150. [Google Scholar] [CrossRef]
- Christensen, B.T. Matching measurable soil organic matter fractions with conceptual pools in simulation models of carbon turnover: Revision of model structure. In Evaluation of Soil Organic Matter Models; Powlson, D.S., Smith, P., Smith, J.U., Eds.; Springer: Berlin/Heidelberg, Germany, 1996; pp. 143–159. [Google Scholar]
- Carter, M.R.; Kunelius, H.T. Effect of undersowing barley with annual ryegrasses or red clover on soil structure in a barley-soybean rotation. Agric. Ecosyst. Environ. 1993, 43, 245–254. [Google Scholar] [CrossRef]
- Skudiene, R.; Tomchuk, D. Root mass and root to shoot ratio of different perennial forage plants under western Lithuania climatic conditions. Rom. Agric. Res. 2015, 35, 209–219. [Google Scholar]
- Fenchel, T.; King, G.M.; Blackburn, H. Chapter 9—Symbiotic Systems. In Bacterial Biogeochemistry: The Ecophysiology of Mineral Cycling, 3rd ed.; Academic Press: Amsterdam, The Netherlands, 2012; pp. 163–181. [Google Scholar]
- Tisdale, S.L.; Nelson, W.L.; Beaton, J.D. Soil Fertility and Fertilizers, 5th ed.; Macmillan Publishing Company: New York, NY, USA, 1985; p. 634. [Google Scholar]
- Turk, A.; Mihelič, R. Wheat straw decomposition, N-mineralization and microbial biomass after 5 years of conservation tillage in Gleysol field. Acta Agric. Slov. 2013, 101, 69–75. [Google Scholar] [CrossRef]
- Qin, S.; Yeboah, S.; Cao, L.; Zhang, J.; Shi, S.; Liu, Y. Breaking continuous potato cropping with legumes improves soil microbial communities, enzyme activities and tuber yield. PLoS ONE 2017, 12, e0175934. [Google Scholar] [CrossRef] [PubMed]

| Crop Rotation | Organic Systems | Conventional Systems | |||
|---|---|---|---|---|---|
| ORG 0—control (Crop rotation) | ORG CC (Crop rotation + green manure as winter cover crops) | ORG CC + M (Crop rotation + green manure + composted cattle manure) | CON 0—control (Crop rotation + herbicides + fungicides + insecticides) | CON 1 (Crop rotation + herbicides + fungicides + insecticides + mineral fertilizers) | |
| Winter wheat | Winter oilseed turnip + winter rye | 10 t ha−1 | 25 kg ha−1 P * and 95 kg ha−1 K **; 150 kg ha−1 N *** | ||
| Pea | Winter oilseed turnip | 25 kg ha−1 P and 95 kg ha−1 K; 20 kg ha−1 N | |||
| Potato | Winter rye | 20 t ha−1 | 25 kg ha−1 P and 95 kg ha−1 K; 150 kg ha−1 N | ||
| Barley undersownwith red clover | 10 t ha−1 | 25 kg ha−1 P and 95 kg ha−1 K; 120 kg ha−1 N | |||
| Red clover | Red clover | ||||
| Month | Mean Temperature (°C) | |||||
|---|---|---|---|---|---|---|
| 2014 | 2015 | 2016 | 2017 | 2018 | 1964–2018 | |
| January | −7.9 | −1.8 | −9.4 | −3.5 | −2.4 | −5.7 |
| February | −0.2 | −0.9 | 0.3 | −2.9 | −8.3 | −5.7 |
| March | 2.2 | 2.7 | −0.1 | 1.4 | −3.5 | −1.5 |
| April | 6.5 | 5.4 | 6.1 | 3.4 | 7.2 | 4.8 |
| May | 11.9 | 10.3 | 14.0 | 10.3 | x | 11.4 |
| June | 13.4 | 14.2 | 15.9 | 14.0 | x | 15.4 |
| July | 19.3 | 15.7 | 17.8 | 15.9 | x | 17.4 |
| August | 16.8 | 17.0 | 16.1 | 16.8 | x | 16.1 |
| September | 12.1 | 12.6 | 12.3 | 12.2 | x | 11.1 |
| October | 5.3 | 4.6 | 4.1 | 5.4 | x | 5.7 |
| November | 1.4 | 3.6 | −1.0 | 2.4 | x | 0.5 |
| December | −1.5 | 2.5 | −0.4 | 0.2 | x | −3.1 |
| Average | 6.6 | 7.2 | 6.3 | 6.3 | −7.0 1 | 5.5 |
| Month | Sum of Precipitation (mm) | |||||
|---|---|---|---|---|---|---|
| 2014 | 2015 | 2016 | 2017 | 2018 | 1964–2018 | |
| January | 25.0 | 29.6 | 34.0 | 27.4 | 20.4 | 28.6 |
| February | 12.4 | 8.4 | 55.8 | 22.4 | 11.7 | 22.6 |
| March | 9.0 | 12.0 | 23.3 | 17.0 | 12.9 | 22.5 |
| April | 13.4 | 69.0 | 51.6 | 51.5 | 28.1 | 31.2 |
| May | 83.8 | 62.0 | 1.6 | 15.5 | x | 52.9 |
| June | 103.4 | 39.4 | 124.6 | 94.3 | x | 70.9 |
| July | 71.4 | 61.4 | 81.6 | 60.7 | x | 69.2 |
| August | 113.0 | 41.2 | 42.0 | 106.2 | x | 81.1 |
| September | 22.2 | 59.0 | 15.4 | 83.4 | x | 59.3 |
| October | 35.8 | 10.8 | 33.2 | 75.3 | x | 56.3 |
| November | 10.4 | 53.8 | 45.5 | 26.1 | x | 44.7 |
| December | 41.6 | 46.3 | 30.6 | 51.8 | x | 36.6 |
| Average | 541.4 | 492.9 | 539.2 | 631.5 | 73.1 1 | 575.7 |
| Source of Variation | df | SS | MS | F | p |
|---|---|---|---|---|---|
| Year (Y) | 4 | 916 | 229 | 10.25 | p < 0.001 |
| Farming system (FS) | 4 | 8669 | 2167 | 97.06 | p < 0.001 |
| Crop (C) | 4 | 1607 | 402 | 17.99 | p < 0.001 |
| Y × FS | 16 | 743 | 46 | 2.08 | p = 0.09 |
| Y × C | 16 | 874 | 55 | 2.45 | p = 0.02 |
| FS × C | 16 | 1049 | 66 | 2.94 | p < 0.001 |
| Y × FS × C | 64 | 1272 | 20 | 0.89 | p = 0.710 |
| Farming System | 2014 | 2015 | 2016 | 2017 | 2018 | F Stat and p Value |
|---|---|---|---|---|---|---|
| CON 0 | 48.1 A1ab2 | 46.7 Aab | 49.8 Ab | 47.4 Aab | 45.5 Aa | F4, 95 = 1.44; p = 0.23 |
| CON 1 | 52.6 Bab | 54.9 Bb | 53.1 ABab | 51.0 Ba | 49.8 Ba | F4, 95 =2.75; p = 0.032 |
| ORG 0 | 53.9 Bb | 54.2 Bb | 56.1 BCbc | 57.6 Cc | 50.8 Ba | F4, 95 = 7.57; p < 0.001 |
| ORG CC | 55.3 Ba | 58.6 Cb | 57.2 Cab | 57.9 Cab | 55.4 Cab | F4, 95 = 1.59; p = 0.18 |
| ORG CC+M | 58.4 Ca | 59.3 Ca | 63.9 Db | 58.5 Ca | 58.2 Ca | F4, 95 = 3.70; p = 0.008 |
| F stat and p value | F4, 95 = 12.77; p < 0.001 | F4, 95 = 20.638; p < 0.001 | F4, 95 = 13.398; p < 0.001 | F4, 95 = 19.266; p < 0.001 | F4, 95 = 20.70; p < 0.001 |
Publisher’s Note: MDPI stays neutral with regard to jurisdictional claims in published maps and institutional affiliations. |
© 2022 by the authors. Licensee MDPI, Basel, Switzerland. This article is an open access article distributed under the terms and conditions of the Creative Commons Attribution (CC BY) license (https://creativecommons.org/licenses/by/4.0/).
Share and Cite
Kuht, J.; Eremeev, V.; Talgre, L.; Loit, E.; Mäeorg, E.; Margus, K.; Runno-Paurson, E.; Madsen, H.; Luik, A. Soil Microbial Activity in Different Cropping Systems under Long-Term Crop Rotation. Agriculture 2022, 12, 532. https://doi.org/10.3390/agriculture12040532
Kuht J, Eremeev V, Talgre L, Loit E, Mäeorg E, Margus K, Runno-Paurson E, Madsen H, Luik A. Soil Microbial Activity in Different Cropping Systems under Long-Term Crop Rotation. Agriculture. 2022; 12(4):532. https://doi.org/10.3390/agriculture12040532
Chicago/Turabian StyleKuht, Jaan, Viacheslav Eremeev, Liina Talgre, Evelin Loit, Erkki Mäeorg, Kalle Margus, Eve Runno-Paurson, Helena Madsen, and Anne Luik. 2022. "Soil Microbial Activity in Different Cropping Systems under Long-Term Crop Rotation" Agriculture 12, no. 4: 532. https://doi.org/10.3390/agriculture12040532
APA StyleKuht, J., Eremeev, V., Talgre, L., Loit, E., Mäeorg, E., Margus, K., Runno-Paurson, E., Madsen, H., & Luik, A. (2022). Soil Microbial Activity in Different Cropping Systems under Long-Term Crop Rotation. Agriculture, 12(4), 532. https://doi.org/10.3390/agriculture12040532

