Temperature Effects on the Shoot and Root Growth, Development, and Biomass Accumulation of Corn (Zea mays L.)
Abstract
1. Introduction
2. Materials and Methods
2.1. Experimental Facilities
2.2. Experimental Setup
2.3. Treatments
2.4. Data Collection
2.5. Statistical Analysis and Curve Fitting
2.5.1. Growth Trends and Analysis of Variance of Observed Data
2.5.2. Cardinal Temperature Estimation
2.5.3. Parameter Comparison
3. Results
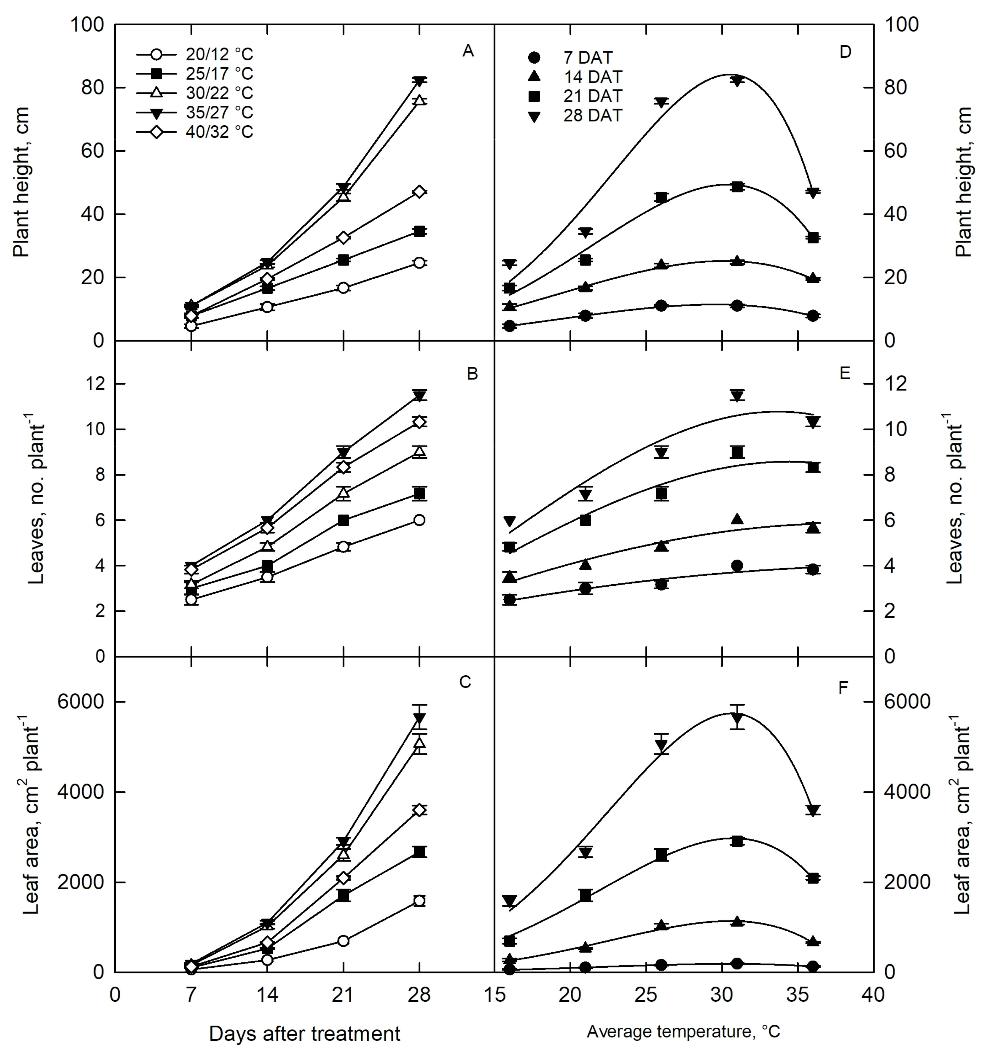
3.1. Shoot Growth and Development
3.2. Root Growth
3.3. Root Development
3.4. Biomass Accumulation
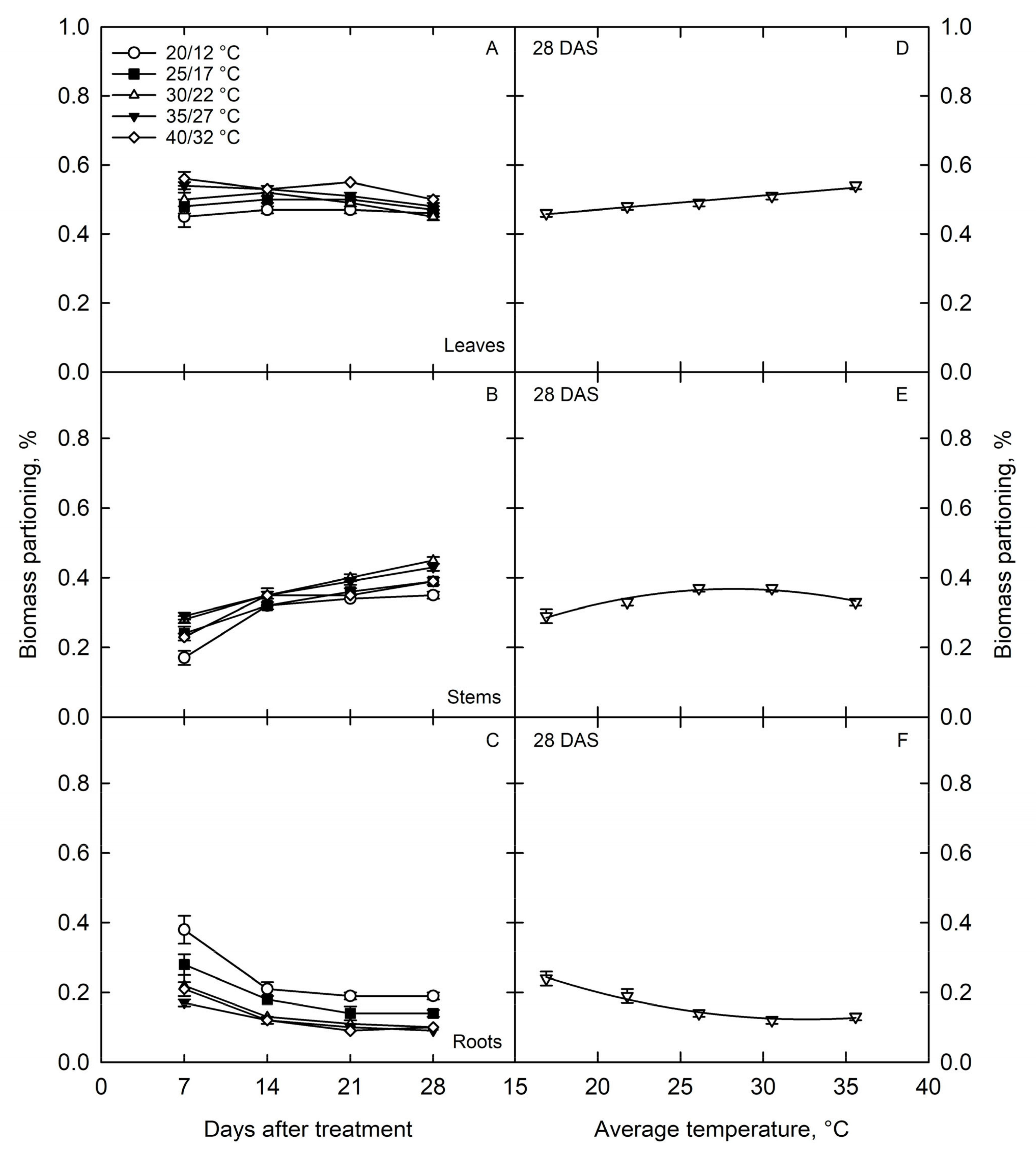
3.5. Biomass Partitioning
4. Discussion
Author Contributions
Funding
Institutional Review Board Statement
Informed Consent Statement
Data Availability Statement
Acknowledgments
Conflicts of Interest
Abbreviations
References
- Kim, S.H.; Gitz, D.C.; Sicher, R.C.; Baker, J.T.; Timlin, D.J.; Reddy, V.R. Temperature dependence of growth, development, and photosynthesis in maize under elevated CO2. Environ. Exp. Bot. 2007, 61, 224–236. [Google Scholar] [CrossRef]
- Coelho, D.T.; Dale, R.F. An energy-crop growth variable and temperature function for predicting corn growth and development: Planting to silking 1. Agron. J. 1980, 72, 503–510. [Google Scholar] [CrossRef]
- Bailey-Serres, J.; Lee, S.C.; Brinton, E. Waterproofing crops: Effective flooding survival strategies. Plant Physiol. 2012, 160, 1698–1709. [Google Scholar] [CrossRef] [PubMed]
- National Academies of Sciences and Medicine. Science Breakthroughs to Advance Food and Agricultural Research by 2030; The National Academies Press: Washington, DC, USA, 2019; ISBN 978-0-309-47392-7.
- Reddy, K.R.; Brand, D.; Wijewardana, C.; Gao, W. Temperature effects on cotton seedling emergence, growth, and development. Agron. J. 2017, 109, 1379–1387. [Google Scholar] [CrossRef]
- Sánchez, B.; Rasmussen, A.; Porter, J.R. Temperatures and the growth and development of maize and rice: A review. Glob. Chang. Biol. 2014, 20, 408–417. [Google Scholar] [CrossRef]
- Walne, C.H.; Gaudin, A.; Henry, W.B.; Reddy, K.R. In vitro seed germination response of corn hybrids to osmotic stress conditions. Agrosystems, Geosci. Environ. 2020, 3, e20087. [Google Scholar] [CrossRef]
- Wijewardana, C.; Hock, M.; Henry, B.; Reddy, K. Screening corn hybrids for cold tolerance using morphological traits for early-season seeding. Crop Sci. 2015, 55, 851–867. [Google Scholar] [CrossRef]
- Ali, O.N.; Whittenton, J.B.; Brien Henry, W. Sub-optimal temperature effects on hybrid corn seed and seedling performance. Seed Technol. 2018, 39, 129–142. [Google Scholar]
- Angel, J.R.; Widhalm, M.; Todey, D.; Massey, R.; Biehl, L. The U2U corn growing degree day tool: Tracking corn growth across the US Corn Belt. Clim. Risk Manag. 2017, 15, 73–81. [Google Scholar] [CrossRef]
- USDA FAS. Grain: World Markets and Trade. 2019. Available online: https://apps.fas.usda.gov/psdonline/circulars/grain.pdf (accessed on 17 January 2022).
- Dowswell, C.R.; Paliwal, R.L.; Cantrell, R.P. Maize in the Third World; Westview Press: Boulder, CO, USA, 1996; p. 268. [Google Scholar]
- Cutforth, H.W.; Shaykewich, C.F.; Cho, C.M. Effect of soil water and temperature on corn (Zea mays L.) root growth during emergence. Can. J. Soil Sci. 1986, 66, 51–58. [Google Scholar] [CrossRef]
- Tollenaar, M.; Bruulsema, T.W. Efficiency of maize dry matter production during periods of complete leaf area expansion. Agron. J. 1988, 80, 580–585. [Google Scholar] [CrossRef]
- Calleja-Cabrera, J.; Boter, M.; Oñate-Sánchez, L.; Pernas, M. Root growth adaptation to climate change in crops. Front. Plant Sci. 2020, 11, 544. [Google Scholar] [CrossRef]
- Yin, X.; Goudriaan, J.; Lantinga, E.A.; Vos, J.; Spiertz, H.J. A flexible sigmoid function of determinate growth. Ann. Bot. 2003, 91, 361–371. [Google Scholar] [CrossRef] [PubMed]
- Jeong, H.L.; Goudriaan, J.; Challa, H. Using the expolinear growth equation for modelling crop growth in year-round cut chrysanthemum. Ann. Bot. 2003, 92, 697–708. [Google Scholar] [CrossRef][Green Version]
- Yan, W.; Hunt, L.A. An Equation for modelling the temperature response of plants using only the cardinal temperatures. Ann. Bot. 1999, 607–614. [Google Scholar] [CrossRef]
- Cross, H.Z.; Zuber, M.S. Prediction of flowering dates in maize based on different methods of estimating thermal units. Agron. J. 1972, 64, 351–355. [Google Scholar] [CrossRef]
- Archontoulis, S.V.; Miguez, F.E. Nonlinear regression models and applications in agricultural research. Agron. J. 2015, 107, 786–798. [Google Scholar] [CrossRef]
- Yin, X.; Kropff, M.J.; McLaren, G.; Visperas, R.M. A nonlinear model for crop development as a function of temperature. Agric. For. Meteorol. 1995, 77, 1–16. [Google Scholar] [CrossRef]
- Reddy, K.R.; Hodges, H.F.; Read, J.J.; McKinion, J.M.; Baker, J.T.; Tarpley, L.; Reddy, V.R. Soil-plant-atmosphere-research (SPAR) facility: A tool for plant research and modeling. Biotronics 2001, 30, 27–50. [Google Scholar]
- Hewitt, E.J. Sand and Water Culture Methods Used in the Study of Plant Nutrition. Soil Sci. Soc. Am. J. 1953, 17, 301. [Google Scholar] [CrossRef]
- Gajanayake, B.; Reddy, K.R.; Shankle, M.W.; Arancibia, R.A.; Villordon, A.O. Quantifying storage root initiation, growth, and developmental responses of sweetpotato to early season temperature. Agron J. 2014, 106, 1795–1804. [Google Scholar] [CrossRef]
- Munyon, J.W.; Bheemanahalli, R.; Walne, C.H.; Reddy, K.R. Developing functional relationships between temperature and cover crop species vegetative growth and development. Agron. J. 2021, 113, 1333–1348. [Google Scholar] [CrossRef]
- Reddy, K.R.; Hodges, H.F.; Mckinion, J.M. Crop modeling and applications: A cotton example. Adv. Agron. 1997, 59, 225–290. [Google Scholar]
- Reddy, K.R.; Hodges, H.F.; McKinion, J.M. Modeling temperature effects on cotton internode and leaf growth. Crop Sci. 1997, 37, 503–509. [Google Scholar] [CrossRef]
- Bos, H.J.; Tijani-Eniola, H.; Struik, P.C. Morphological analysis of leaf growth of maize: Responses to temperature and light intensity. Neth. J. Agric. Sci. 2000, 48, 181–198. [Google Scholar] [CrossRef]
- Barlow, E.W.R.; Boersma, L.; Young, J.L. Photosynthesis, transpiration, and leaf elongation in corn seedlings at suboptimal soil temperatures 1. Agron. J. 1977, 69, 95–100. [Google Scholar] [CrossRef]
- Tollenaar, M.; Daynard, T.B.; Hunter, R.B. Effect of temperature on rate of leaf appearance and flowering date in Maize 1. Crop Sci. 1979, 19, 363–366. [Google Scholar] [CrossRef]
- Warrington, I.J.; Kanemasu, E.T. Corn growth response to temperature and photoperiod I. Seedling emergence, tassel initiation, and anthesis 1. Agron. J. 1983, 75, 749–754. [Google Scholar] [CrossRef]
- Hammer, G.L.; Dong, Z.; McLean, G.; Doherty, A.; Messina, C.; Schussler, J.; Zinselmeier, C.; Paszkiewicz, S.; Cooper, M. Can changes in canopy and/or root system architecture explain historical maize yield trends in the U.S. Corn Belt. Crop Sci. 2009, 49, 299–312. [Google Scholar] [CrossRef]
- Lal, R. Effects of constant and fluctuating soil temperature on growth, development and nutrient uptake of maize seedlings. Plant Soil 1974, 40, 589–606. [Google Scholar] [CrossRef]
- Dinneny, J.R. Developmental responses to water and salinity in root systems. Annu. Rev. Cell Dev. Biol. 2019, 35, 239–257. [Google Scholar] [CrossRef] [PubMed]
- Poorter, H.; Sack, L. Pitfalls and possibilities in the analysis of biomass allocation patterns in plants. Front. Plant Sci. 2012, 3, 259. [Google Scholar] [CrossRef] [PubMed]
- Jones, C.A.; Kiniry, J.R. CERES-Maize: A Simulation Model of Maize Growth and Development; Texas A & M University Press: College Station, TX, USA, 1986. [Google Scholar]
- Reddy, K.R.; Kakani, V.G.; Hodges, H.F. Exploring the use of the environmental productivity index concept for crop production and modeling. In Response of Crops to Limited Water: Understanding and Modeling Water Stress Effects on Plant Growth Processes; Wiley: Hoboken, NJ, USA, 2015; pp. 387–410. [Google Scholar]
- Alsajri, F.A.; Wijewardana, C.; Krutz, L.J.; Irby, J.T.; Golden, B.; Reddy, K.R. Quantifying and validating soybean seed emergence model as a function of temperature. Am. J. Plant Sci. 2019, 10, 111–124. [Google Scholar] [CrossRef][Green Version]
- Lizaso, J.I.; Batchelor, W.D.; Westgate, M.E. A leaf area model to simulate cultivar-specific expansion and senescence of maize leaves. F. Crop. Res. 2003, 80, 1–17. [Google Scholar] [CrossRef]
- Yang, Y.; Timlin, D.J.; Fleisher, D.H.; Kim, S.; Quebedeaux, B.; Reddy, V.R. Simulating leaf area of corn plants at contrasting water status. Agric. For. Meteorol. 2009, 149, 1161–1167. [Google Scholar] [CrossRef]
- Thorp, K.R.; Ale, S.; Bange, M.P.; Barnes, E.M.; Hoogenboom, G.; Lascano, R.J.; McCarthy, A.C.; Nair, S.; Paz, J.O.; Rajan, N.; et al. Development and application of process-based simulation models for cotton production: A review of past, present, and future directions. J. Cotton Sci. 2014, 18, 10–47. [Google Scholar]
- Jägermeyr, J.; Robock, A.; Elliott, J.; Müller, C.; Xia, L.; Khabarov, N.; Folberth, C.; Schmid, E.; Liu, W.; Zabel, F.; et al. A regional nuclear conflict would compromise global food security. Proc. Natl. Acad. Sci. USA 2020, 117, 7071–7081. [Google Scholar] [CrossRef]
- Reddy, K.R.; Singh, S.K.; Koti, S.; Kakani, V.G.; Zhao, D.; Gao, W.; Reddy, V.R. Quantifying the effects of corn growth and physiological responses to ultraviolet-B radiation for modeling. Agron. J. 2013, 105. [Google Scholar] [CrossRef]
- Walne, C.H.; Reddy, K.R. Developing functional relationships between soil waterlogging and corn shoot and root growth and development. Plants 2021, 10, 2095. [Google Scholar] [CrossRef]
- Zhao, D.; Reddy, K.R.; Kakani, V.G.; Reed, J.J.; Carter, G.A. Corn (Zea mays L.) growth, leaf pigment concentration, photosynthesis and leaf hyperspectral reflectance properties as affected by nitrogen supply. Plant Soil 2003, 257, 205–218. [Google Scholar] [CrossRef]
- Wijewardana, C.; Henry, B.W.; Reddy, K.R. Evaluation of drought tolerant maize germplasm to induced drought stress. J. Miss. Aca Sci. 2017, 62, 316–329. [Google Scholar]









| Set Temperature (°C) | Measured Temperature (°C) | CO2 (µmol mol−1) | VPD (kPa) | |||
|---|---|---|---|---|---|---|
| Day/Night | Day | Night | Day/Night | Day | Day | Night |
| 20/12 | 20.18 ± 0.03 | 12.66 ± 0.02 | 16.9 ± 0.02 | 441.19 ± 1.37 | 0.62 ± 0.01 | 0.60 ± 0.01 |
| 25/17 | 25.19 ± 0.03 | 17.42 ± 0.01 | 21.79 ± 0.03 | 458.61 ± 1.31 | 0.66 ± 0.01 | 0.64 ± 0.01 |
| 30/22 | 29.36 ± 0.03 | 21.95 ± 0.02 | 26.12 ± 0.03 | 424.97 ± 1.59 | 0.71 ± 0.02 | 0.68 ± 0.01 |
| 35/27 | 33.71 ± 0.03 | 26.39 ± 0.01 | 30.53 ± 0.03 | 439.39 ± 1.39 | 0.83 ± 0.04 | 0.76 ± 0.03 |
| 40/32 | 38.87 ± 0.02 | 31.35 ± 0.02 | 35.59 ± 0.01 | 456.43 ± 1.96 | 0.92 ± 0.06 | 0.83 ± 0.04 |
| Source | PH | LN | LA | LDW | StDW | RDW | TRL | RSA | RV | RT | RF | L% | S% | R% |
|---|---|---|---|---|---|---|---|---|---|---|---|---|---|---|
| Harvest Date (H) | *** | *** | *** | *** | *** | *** | *** | *** | *** | *** | *** | *** | *** | *** |
| Temperature (T) | *** | *** | *** | *** | *** | *** | *** | *** | *** | *** | *** | *** | *** | *** |
| H × T | *** | *** | *** | *** | *** | *** | *** | *** | *** | NS | *** | NS | ** | NS |
| Temperature + | ||||||||||||||
| 20/12 °C | e | e | e | e | d | d | e | d | c | c | d | d | c | a |
| 25/17 °C | d | d | d | d | c | b | c | b | b | b | c | c | b | b |
| 30/22 °C | b | c | b | b | a | a | b | a | a | ab | a | c | a | c |
| 35/27 °C | a | a | a | a | a | a | a | a | a | a | a | b | a | c |
| 40/32 °C | c | b | c | c | b | c | d | c | c | b | b | a | b | c |
| Parameters | Topt | Tmax | R2 | Est Tmin | R2 |
|---|---|---|---|---|---|
| PH | 30.21 | 38.85 | 0.8995 | 11.47 | 0.8995 |
| LN | 34.62 | 55.08 | 0.8992 | −0.38 | 0.8992 |
| LA | 30.65 | 38.27 | 0.97 | 11.93 | 0.97 |
| LDW | 30.81 | 38.1 | 0.9689 | 12.68 | 0.9503 |
| StDW | 30.57 | 37.43 | 0.9588 | 13.27 | 0.9269 |
| RDW | 28.66 | 39.1 | 0.8911 | 7.55 | 0.8837 |
| TRL | 28.93 | 40.35 | 0.9175 | 3.92 | 0.8858 |
| RSA | 28.28 | 40.14 | 0.8972 | 1.89 | 0.8764 |
| RV | 28.13 | 38.91 | 0.8847 | 4.11 | 0.8566 |
| RT | 30.47 | 41.71 | 0.8912 | 8.31 | 0.8243 |
| RF | 29.96 | 39.68 | 0.8421 | 9.33 | 0.821 |
| Parameters | Regression Parameters | Regression Coefficients | ||
|---|---|---|---|---|
| a | b | c | R2 | |
| Plant height, cm | - | 0.7255 | 0.0805 | 0.99 |
| Mainstem leaves, no. plant−1 | 0.8313 | 0.3625 | - | 0.98 |
| Leaf area, cm2 plant−1 | 88.51 | −51.483 | 9.0394 | 0.99 |
| Root tips, no. plant−1 | 0 | 2006.3 | - | 0.98 |
| Root forks, no. plant−1 | 0 | 33.31 | 1.0205 | 0.99 |
| Root length, cm plant−1 | 429.60 | 0.7432 | - | 0.99 |
| Root surface area, cm2 plant−1 | −293.25 | 95.39 | - | 0.97 |
| Root volume, cm3 plant−1 | 2.548 | −0.4813 | 0.0678 | 0.99 |
Publisher’s Note: MDPI stays neutral with regard to jurisdictional claims in published maps and institutional affiliations. |
© 2022 by the authors. Licensee MDPI, Basel, Switzerland. This article is an open access article distributed under the terms and conditions of the Creative Commons Attribution (CC BY) license (https://creativecommons.org/licenses/by/4.0/).
Share and Cite
Walne, C.H.; Reddy, K.R. Temperature Effects on the Shoot and Root Growth, Development, and Biomass Accumulation of Corn (Zea mays L.). Agriculture 2022, 12, 443. https://doi.org/10.3390/agriculture12040443
Walne CH, Reddy KR. Temperature Effects on the Shoot and Root Growth, Development, and Biomass Accumulation of Corn (Zea mays L.). Agriculture. 2022; 12(4):443. https://doi.org/10.3390/agriculture12040443
Chicago/Turabian StyleWalne, Charles Hunt, and Kambham Raja Reddy. 2022. "Temperature Effects on the Shoot and Root Growth, Development, and Biomass Accumulation of Corn (Zea mays L.)" Agriculture 12, no. 4: 443. https://doi.org/10.3390/agriculture12040443
APA StyleWalne, C. H., & Reddy, K. R. (2022). Temperature Effects on the Shoot and Root Growth, Development, and Biomass Accumulation of Corn (Zea mays L.). Agriculture, 12(4), 443. https://doi.org/10.3390/agriculture12040443

