Water-Salt Thresholds of Cotton (Gossypium hirsutum L.) under Film Drip Irrigation in Arid Saline-Alkali Area
Abstract
1. Introduction
2. Materials and Method
2.1. Experimental Description
2.2. Experimental Design
2.3. Agronomic Measures
2.4. Data Collection and Calculations
2.4.1. Meteorological Data
2.4.2. Soil Data
2.4.3. Crop Data
2.5. Model Calibration and Validation
2.6. Scenario Simulation and Analysis
3. Results and Discussion
3.1. Model Calibration
3.2. Model Validation
3.2.1. Canopy Cover
3.2.2. Soil Moisture Content
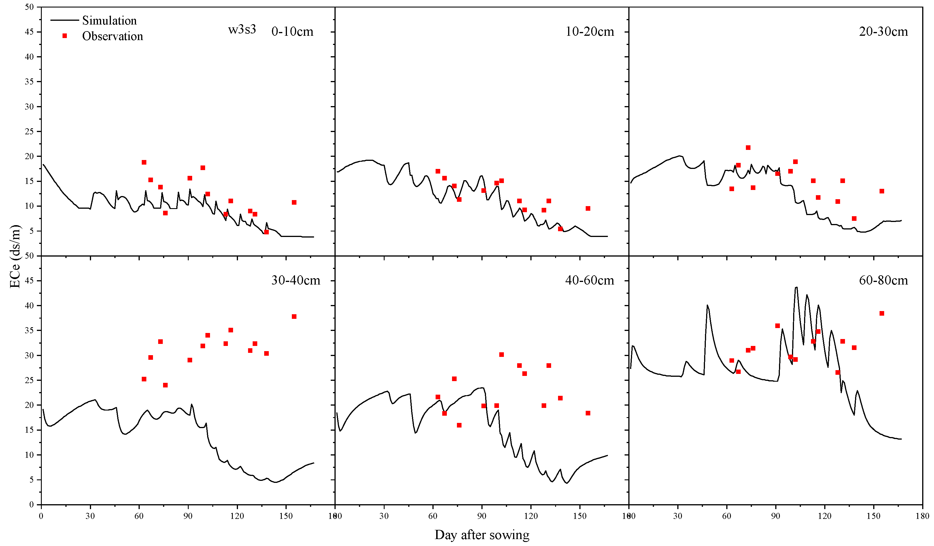
3.2.3. Soil Salinity
3.2.4. Aboveground Biomass and Yield
3.3. Scenario Analysis
3.3.1. Response of Aboveground Biomass to Soil Salinity
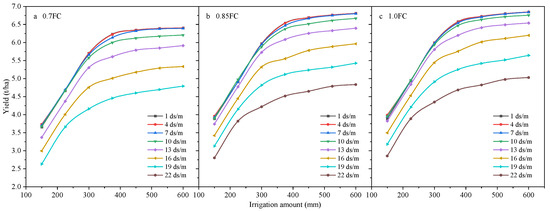
3.3.2. Cotton Yield Response to Irrigation
3.3.3. Appropriate Irrigation Amount
4. Conclusions
Author Contributions
Funding
Institutional Review Board Statement
Informed Consent Statement
Data Availability Statement
Conflicts of Interest
References
- Mao, W.; Zhu, Y.; Wu, J.; Ye, M.; Yang, J. Evaluation of Effects of Limited Irrigation on Regional-Scale Water Movement and Salt Accumulation in Arid Agricultural Areas. Agric. Water Manag. 2022, 262, 107398. [Google Scholar] [CrossRef]
- Devkota, K.P.; Devkota, M.; Rezaei, M.; Oosterbaan, R. Managing Salinity for Sustainable Agricultural Production in Salt-Affected Soils of Irrigated Drylands. Agric. Syst. 2022, 198, 103390. [Google Scholar] [CrossRef]
- Poustie, A.; Yang, Y.; Verburg, P.; Pagilla, K.; Hanigan, D. Reclaimed Wastewater as a Viable Water Source for Agricultural Irrigation: A Review of Food Crop Growth Inhibition and Promotion in the Context of Environmental Change. Sci. Total Environ. 2020, 739, 139756. [Google Scholar] [CrossRef]
- Yu, Q.; Kang, S.; Hu, S.; Zhang, L.; Zhang, X. Modeling Soil Water-Salt Dynamics and Crop Response under Severely Saline Condition Using WAVES: Searching for a Target Irrigation Volume for Saline Water Irrigation. Agric. Water Manag. 2021, 256, 107100. [Google Scholar] [CrossRef]
- Hussain Shah, S.H.; Wang, J.; Hao, X.; Thomas, B.W. Modelling Soil Salinity Effects on Salt Water Uptake and Crop Growth Using a Modified Denitrification-Decomposition Model: A Phytoremediation Approach. J. Environ. Manag. 2022, 301, 113820. [Google Scholar] [CrossRef]
- FAO. Mapping of Salt-Affected Soils—Technical Manual; FAO: Rome, Italy, 2020; ISBN 978-92-5-132687-9. [Google Scholar]
- Chen, X.; Qi, Z.; Gui, D.; Sima, M.W.; Zeng, F.; Li, L.; Li, X.; Gu, Z. Evaluation of a New Irrigation Decision Support System in Improving Cotton Yield and Water Productivity in an Arid Climate. Agric. Water Manag. 2020, 234, 106139. [Google Scholar] [CrossRef]
- Che, Z.; Wang, J.; Li, J. Effects of Water Quality, Irrigation Amount and Nitrogen Applied on Soil Salinity and Cotton Production under Mulched Drip Irrigation in Arid Northwest China. Agric. Water Manag. 2021, 247, 106738. [Google Scholar] [CrossRef]
- Hunsaker, D.J.; Bronson, K.F. FAO56 Crop and Water Stress Coefficients for Cotton Using Subsurface Drip Irrigation in an Arid US Climate. Agric. Water Manag. 2021, 252, 106881. [Google Scholar] [CrossRef]
- Hou, X.; Fan, J.; Zhang, F.; Hu, W.; Yan, F.; Xiao, C.; Li, Y.; Cheng, H. Determining Water Use and Crop Coefficients of Drip-Irrigated Cotton in South Xinjiang of China under Various Irrigation Amounts. Ind. Crops Prod. 2022, 176, 114376. [Google Scholar] [CrossRef]
- Tan, S.; Wang, Q.; Zhang, J.; Chen, Y.; Shan, Y.; Xu, D. Performance of AquaCrop Model for Cotton Growth Simulation under Film-Mulched Drip Irrigation in Southern Xinjiang, China. Agric. Water Manag. 2018, 196, 99–113. [Google Scholar] [CrossRef]
- Tsakmakis, I.D.; Kokkos, N.P.; Gikas, G.D.; Pisinaras, V.; Hatzigiannakis, E.; Arampatzis, G.; Sylaios, G.K. Evaluation of AquaCrop Model Simulations of Cotton Growth under Deficit Irrigation with an Emphasis on Root Growth and Water Extraction Patterns. Agric. Water Manag. 2019, 213, 419–432. [Google Scholar] [CrossRef]
- Zhang, J.; Li, K.; Gao, Y.; Feng, D.; Zheng, C.; Cao, C.; Sun, J.; Dang, H.; Hamani, A.K.M. Evaluation of Saline Water Irrigation on Cotton Growth and Yield Using the AquaCrop Crop Simulation Model. Agric. Water Manag. 2022, 261, 107355. [Google Scholar] [CrossRef]
- Hammer, G.; Cooper, M.; Tardieu, F.; Welch, S.; Walsh, B.; van Eeuwijk, F.; Chapman, S.; Podlich, D. Models for Navigating Biological Complexity in Breeding Improved Crop Plants. Trends Plant Sci. 2006, 11, 587–593. [Google Scholar] [CrossRef] [PubMed]
- van Diepen, C.A.; Wolf, J.; van Keulen, H.; Rappoldt, C. WOFOST: A Simulation Model of Crop Production. Soil Use Manag. 1989, 5, 16–24. [Google Scholar] [CrossRef]
- Williams, J.R. The Erosion-Productivity Impact Calculator (EPIC) Model: A Case History. Philos. Trans. Biol. Sci. 1990, 329, 421–428. [Google Scholar] [CrossRef]
- Cabelguenne, M.; Debaeke, P.; Bouniols, A. EPICphase, a Version of the EPIC Model Simulating the Effects of Water and Nitrogen Stress on Biomass and Yield, Taking Account of Developmental Stages: Validation on Maize, Sunflower, Sorghum, Soybean and Winter Wheat. Agric. Syst. 1999, 60, 175–196. [Google Scholar] [CrossRef]
- Stöckle, C.O.; Donatelli, M.; Nelson, R. CropSyst, a Cropping Systems Simulation Model. Eur. J. Agron. 2003, 18, 289–307. [Google Scholar] [CrossRef]
- Stockle, C.O.; Martin, S.A.; Campbell, G.S. CropSyst, a Cropping Systems Simulation Model: Water/Nitrogen Budgets and Crop Yield. Agric. Syst. 1994, 46, 335–359. [Google Scholar] [CrossRef]
- Jones, J.W.; Hoogenboom, G.; Porter, C.H.; Boote, K.J.; Batchelor, W.D.; Hunt, L.A.; Wilkens, P.W.; Singh, U.; Gijsman, A.J.; Ritchie, J.T. The DSSAT Cropping System Model. Eur. J. Agron. 2003, 18, 235–265. [Google Scholar] [CrossRef]
- Keating, B.A.; Carberry, P.S.; Hammer, G.L.; Probert, M.E.; Robertson, M.J.; Holzworth, D.; Huth, N.I.; Hargreaves, J.N.G.; Meinke, H.; Hochman, Z.; et al. An Overview of APSIM, a Model Designed for Farming Systems Simulation. Eur. J. Agron. 2003, 18, 267–288. [Google Scholar] [CrossRef]
- McCown, R.L.; Hammer, G.L.; Hargreaves, J.N.G.; Holzworth, D.P.; Freebairn, D.M. APSIM: A Novel Software System for Model Development, Model Testing and Simulation in Agricultural Systems Research. Agric. Syst. 1996, 50, 255–271. [Google Scholar] [CrossRef]
- Vanuytrecht, E.; Raes, D.; Steduto, P.; Hsiao, T.C.; Fereres, E.; Heng, L.K.; Garcia Vila, M.; Mejias Moreno, P. AquaCrop: FAO’s Crop Water Productivity and Yield Response Model. Environ. Model. Softw. 2014, 62, 351–360. [Google Scholar] [CrossRef]
- Foster, T.; Brozović, N.; Butler, A.P.; Neale, C.M.U.; Raes, D.; Steduto, P.; Fereres, E.; Hsiao, T.C. AquaCrop-OS: An Open Source Version of FAO’s Crop Water Productivity Model. Agric. Water Manag. 2017, 181, 18–22. [Google Scholar] [CrossRef]
- Raes, D.; Steduto, P.; Hsiao, C.T.; Fereres, E. Reference Manual, Annexes—AquaCrop, Version 6.0–6.1, May 2018; FAO: Rome, Italy, 2016. [Google Scholar]
- Raes, D.; Steduto, P.; Hsiao, C.T.; Fereres, E. Reference Manual, Chapter 1—AquaCrop, Version 6.0–6.1 May 2018; FAO: Rome, Italy, 2016. [Google Scholar]
- Kanzari, S.; Daghari, I.; Šimůnek, J.; Younes, A.; Ilahy, R.; Ben Mariem, S.; Rezig, M.; Ben Nouna, B.; Bahrouni, H.; Ben Abdallah, M.A. Simulation of Water and Salt Dynamics in the Soil Profile in the Semi-Arid Region of Tunisia—Evaluation of the Irrigation Method for a Tomato Crop. Water 2020, 12, 1594. [Google Scholar] [CrossRef]
- Maniruzzaman, M.; Talukder, M.S.U.; Khan, M.H.; Biswas, J.C.; Nemes, A. Validation of the AquaCrop Model for Irrigated Rice Production under Varied Water Regimes in Bangladesh. Agric. Water Manag. 2015, 159, 331–340. [Google Scholar] [CrossRef]
- Jalil, A.; Akhtar, F.; Awan, U.K. Evaluation of the AquaCrop Model for Winter Wheat under Different Irrigation Optimization Strategies at the Downstream Kabul River Basin of Afghanistan. Agric. Water Manag. 2020, 240, 106321. [Google Scholar] [CrossRef]
- Paredes, P.; de Melo-Abreu, J.P.; Alves, I.; Pereira, L.S. Assessing the Performance of the FAO AquaCrop Model to Estimate Maize Yields and Water Use under Full and Deficit Irrigation with Focus on Model Parameterization. Agric. Water Manag. 2014, 144, 81–97. [Google Scholar] [CrossRef]
- Stricevic, R.; Cosic, M.; Djurovic, N.; Pejic, B.; Maksimovic, L. Assessment of the FAO AquaCrop Model in the Simulation of Rainfed and Supplementally Irrigated Maize, Sugar Beet and Sunflower. Agric. Water Manag. 2011, 98, 1615–1621. [Google Scholar] [CrossRef]
- Abi Saab, M.T.; Todorovic, M.; Albrizio, R. Comparing AquaCrop and CropSyst Models in Simulating Barley Growth and Yield under Different Water and Nitrogen Regimes. Does Calibration Year Influence the Performance of Crop Growth Models? Agric. Water Manag. 2015, 147, 21–33. [Google Scholar] [CrossRef]
- Ran, H.; Kang, S.; Li, F.; Du, T.; Tong, L.; Li, S.; Ding, R.; Zhang, X. Parameterization of the AquaCrop Model for Full and Deficit Irrigated Maize for Seed Production in Arid Northwest China. Agric. Water Manag. 2018, 203, 438–450. [Google Scholar] [CrossRef]
- Che, Z.; Wang, J.; Li, J. Determination of Threshold Soil Salinity with Consideration of Salinity Stress Alleviation by Applying Nitrogen in the Arid Region. Irrig. Sci. 2022, 40, 283–296. [Google Scholar] [CrossRef]
- Zhou, B.; Yang, L.; Chen, X.; Ye, S.; Peng, Y.; Liang, C. Effect of Magnetic Water Irrigation on the Improvement of Salinized Soil and Cotton Growth in Xinjiang. Agric. Water Manag. 2021, 248, 106784. [Google Scholar] [CrossRef]
- Ma, K.; Wang, Z.; Li, H.; Wang, T.; Chen, R. Effects of Nitrogen Application and Brackish Water Irrigation on Yield and Quality of Cotton. Agric. Water Manag. 2022, 264, 107512. [Google Scholar] [CrossRef]
- Yang, G.; Li, F.; Tian, L.; He, X.; Gao, Y.; Wang, Z.; Ren, F. Soil Physicochemical Properties and Cotton (Gossypium Hirsutum L.) Yield under Brackish Water Mulched Drip Irrigation. Soil Tillage Res. 2020, 199, 104592. [Google Scholar] [CrossRef]
- Yao, B.; Li, G.; Ye, H.; Li, F. Characteristic of Spatial and Temporal Changes in Soil Salt Content in Cotton Fields under Mulched Drip Irrigation in Arid Oasis Regions. Trans. Chin. Soc. Agric. Mach. 2016, 47, 151–161. [Google Scholar] [CrossRef]
- Wang, K.; Ma, J.; Zhou, J.; Zheng, G.; He, S. The Impacts of Irrigation Frequency on Distribution Charac-teristics of Soil Water and Salt for Salinized Cotton Soil in Southern Xinjiang. J. Irrig. Drain. 2013, 32, 118–121. [Google Scholar] [CrossRef]
- Abedinpour, M.; Sarangi, A.; Rajput, T.B.S.; Singh, M.; Pathak, H.; Ahmad, T. Performance Evaluation of AquaCrop Model for Maize Crop in a Semi-Arid Environment. Agric. Water Manag. 2012, 110, 55–66. [Google Scholar] [CrossRef]
- Allen, R.; Pereira, L.; Raes, D.; Smith, M.; Allen, R.G.; Pereira, L.S.; Martin, S. Crop Evapotranspiration: Guidelines for Computing Crop Water Requirements, FAO Irrigation and Drainage Paper 56. FAO 1998, 56, e156. [Google Scholar]
- Sonmez, S.; Buyuktas, D.; Okturen, F.; Citak, S. Assessment of different soil to water ratios (1:1, 1:2.5, 1:5) in soil salinity studies. Geoderma Antarct. Soils Soil Form. Process. A Chang. Environ. 2008, 144, 361–369. [Google Scholar] [CrossRef]
- García-Vila, M.; Fereres, E.; Mateos, L.; Orgaz, F.; Steduto, P. Deficit Irrigation Optimization of Cotton with AquaCrop. Agron. J. 2009, 101, 477–487. [Google Scholar] [CrossRef]
- Ran, H.; Kang, S.; Li, F.; Tong, L.; Ding, R.; Du, T.; Li, S.; Zhang, X. Performance of AquaCrop and SIMDualKc Models in Evapotranspiration Partitioning on Full and Deficit Irrigated Maize for Seed Production under Plastic Film-Mulch in an Arid Region of China. Agric. Syst. 2017, 151, 20–32. [Google Scholar] [CrossRef]
- Li, M.; Du, Y.; Zhang, F.; Bai, Y.; Fan, J.; Zhang, J.; Chen, S. Simulation of Cotton Growth and Soil Water Content under Film-Mulched Drip Irrigation Using Modified CSM-CROPGRO-Cotton Model. Agric. Water Manag. 2019, 218, 124–138. [Google Scholar] [CrossRef]
- Doorenbos, J.; Kassam, A.H.; Bentvelsen, C.; Uittenbogaard, G. Yield Response to Water. In Irrigation and Agricultural Development; Johl, S.S., Ed.; Elsevier: Pergamon, Iraq, 1980; pp. 257–280. ISBN 978-0-08-025675-7. [Google Scholar] [CrossRef]
- Raes, D.; Steduto, P.; Hsiao, C.T.; Fereres, E. Reference Manual, Chapter 2—AquaCrop, Version 6.0–6.1 May 2018; FAO: Rome, Italy, 2016. [Google Scholar]
- Raes, D.; Steduto, P.; Hsiao, C.T.; Fereres, E. Reference Manual, Chapter 3—AquaCrop, Version 6.0–6.1 May 2018; FAO: Rome, Italy, 2016. [Google Scholar]
- Wang, X.; Jiang, F.; Wang, H.; Cao, H.; Yang, Y.; Gao, Y. Irrigation Scheduling Optimization of Drip-irrigated without Plastic Film Cotton in South Xinjiang Based on AquaCrop model. Trans. Chin. Soc. Agric. Mach. 2021, 52, 293–301+335. [Google Scholar]
- Ning, S.; Shi, J.; Zuo, Q.; Wang, S.; Ben-Gal, A. Generalization of the Root Length Density Distribution of Cotton under Film Mulched Drip Irrigation. Field Crops Res. 2015, 177, 125–136. [Google Scholar] [CrossRef]
- Hassanli, M.; Ebrahimian, H.; Mohammadi, E.; Rahimi, A.; Shokouhi, A. Simulating Maize Yields When Irrigating with Saline Water, Using the AquaCrop, SALTMED, and SWAP Models. Agric. Water Manag. 2016, 176, 91–99. [Google Scholar] [CrossRef]
- Hsiao, T.; Heng, L.; Steduto, P.; Rojas-Lara, B.; Fereres, E. AquaCrop—The FAO Crop Model to Simulate Yield Response to Water: III. Parameterization and Testing for Maize. Agron. J. 2009, 101, 448–459. [Google Scholar] [CrossRef]
- Sharif, I.; Aleem, S.; Farooq, J.; Rizwan, M.; Younas, A.; Sarwar, G.; Chohan, S.M. Salinity Stress in Cotton: Effects, Mechanism of Tolerance and Its Management Strategies. Physiol. Mol. Biol. Plants. 2019, 25, 807–820. [Google Scholar] [CrossRef]
- Khan, A.N.; Qureshi, R.H.; Ahmad, N. Performance of Cotton Cultivars in Saline Growth Media at Germination Stage. Sarhad J. Agric. 1995, 11, 643–646. [Google Scholar]
- Kent, L.M.; Läuchli, A. Germination and Seedling Growth of Cotton: Salinity-Calcium Interactions. Plant Cell Environ. 1985, 8, 155–159. [Google Scholar] [CrossRef]
- Zeng, W.; Xu, C.; Wu, J.; Huang, J. Sunflower Seed Yield Estimation under the Interaction of Soil Salinity and Nitrogen Application. Field Crops Res. 2016, 198, 1–15. [Google Scholar] [CrossRef]
- Ahmad, S.; Khan, N.; Iqbal, M.Z.; Hussain, A. Salt Tolerance of Cotton (Gossypium Hirsutum L.). Asian J. Plant Sci. 2002, 1, 78–86. [Google Scholar] [CrossRef]
- Wu, H.; Kang, S.; Li, X.; Guo, P.; Hu, S. Optimization-Based Water-Salt Dynamic Threshold Analysis of Cotton Root Zone in Arid Areas. Water 2020, 12, 2449. [Google Scholar] [CrossRef]
- Penna, J.C.V.; Verhalen, L.M.; Kirkham, M.B.; McNew, R.W. Screening Cotton Genotypes for Seedling Drought Tolerance. Genet. Mol. Biol. 1998, 21, 545–549. [Google Scholar] [CrossRef]
- Hu, M.; Tian, C.; Ma, Y. The Effect of Water and Fertilizer on Cotton Growth, Nutrition Absorption and Water Utilization. Agric. Res. Arid. Areas 2002, 20, 35–37. [Google Scholar] [CrossRef]
- Khorsandi, F.; Anagholi, A. Reproductive Compensation of Cotton after Salt Stress Relief at Different Growth Stages. Blackwell Publ. Ltd. 2009, 195, 278–283. [Google Scholar] [CrossRef]
- Dong, H. Genetic Improvement of Cotton Tolerance to Salinity Stress. Afr. J. Agric. Res. 2011, 6, 6798–6803. [Google Scholar] [CrossRef]
- Cai, H.; Shao, G.; Zhang, Z. Water Demand and Irrigation Scheduling of Drip Irrigation for Cotton under Plastic Mulch. J. Hydraul. Eng. 2002, 33, 119–123. [Google Scholar] [CrossRef]

















| Depth. (cm) | Soil Texture | Saturated Water Content (cm3/cm3) | Field Capacity (cm3/cm3) | Wilting Water Content (cm3/cm3) | Soil Bulk Density (g/cm3) |
|---|---|---|---|---|---|
| 0–20 | Sandy loam | 41 | 22 | 7 | 1.61 |
| 20–40 | Sandy loam | 41 | 22 | 7 | 1.60 |
| 40–60 | Sandy loam | 36 | 18 | 6 | 1.56 |
| 60–80 | Sandy loam | 36 | 18 | 6 | 1.56 |
| 80–100 | Sandy loam | 44 | 22 | 7 | 1.63 |
| Parameter | Description | Units | Value | Remarks |
|---|---|---|---|---|
| CCo | Initial canopy cover | % | 1.10 | Calibrated |
| CGC | Canopy-growth coefficient | %/day | 9.4 | Calibrated |
| CDC | Canopy-decline coefficient | %/GDD | 1.028 | Calibrated |
| CCx | Maximum canopy cover | % | 97 | Measured |
| Zm | Maximum effective rooting depth | m | 0.8 | Measured |
| Zn | Minimum effective rooting depth | m | 0.1 | Measured |
| KcTR,X | Crop transpiration coefficient when complete canopy cover (CC = 1) but prior to senescence | 1.10 | Recommended [11,25] | |
| WP* | Crop water productivity normalized for climate and CO2 | g/m2 | 20 | Calibrated |
| fyield | Reduction coefficient describing the effect of the products synthesized during yield formation on the normalized water productivity | % | 72 | Calibrated |
| HI0 | Reference harvest index | % | 40 | Calibrated |
| Pexp,upper | Soil water depletion threshold for canopy expansion—Upper threshold | 0.30 | Calibrated | |
| Pexp,lower | Soil water depletion threshold for canopy expansion—Lower threshold | 0.65 | Calibrated | |
| fexp,w | Shape factor for water-stress coefficient of canopy expansion | 1.5 | Recommended [11,25] | |
| Psto | Soil water depletion threshold for stomatal control—Upper threshold | 0.35 | Calibrated | |
| fshape,sto | Shape factor for water-stress coefficient of stomatal closure | 2.5 | Recommended [11,25] | |
| Psen | Soil water depletion threshold for canopy senescence—Upper threshold | 0.6 | Calibrated | |
| fshape,sen | Shape factor for water-stress coefficient of early canopy senescence | 2.5 | Recommended [11,25] | |
| ECen | ECe at which crop starts to be affected | dS/m | 8 | Calibrated |
| ECex | ECe at which crop can no longer grow | dS/m | 35 | Calibrated |
| Indicator | Treatment | n | R2 | RMSE | d |
|---|---|---|---|---|---|
| Soil water content | All data | 138 | 0.98 | 3.21% | 0.76 |
| Soil salinity | All data | 126 | 0.92 | 5.77 dS m−1 | 0.51 |
| Canopy cover | All data | 48 | 0.94 | 17.93% | 0.78 |
| Aboveground biomass | All data | 36 | 0.94 | 1.73 t ha−1 | 0.96 |
| Yield | All data | 6 | 0.99 | 0.44 t ha−1 | 0.70 |
| Indicator | Treatment | n | R2 | RMSE | d |
|---|---|---|---|---|---|
| Soil water content | All data | 130 | 0.97 | 2.88% | 0.88 |
| Soil salinity | All data | 130 | 0.92 | 3.39 dS m−1 | 0.91 |
| Canopy cover | All data | 60 | 0.96 | 17.95% | 0.81 |
| Aboveground biomass | All data | 60 | 0.96 | 2.30 t ha−1 | 0.94 |
| Yield | All data | 10 | 0.99 | 0.74 t ha−1 | 0.93 |
Publisher’s Note: MDPI stays neutral with regard to jurisdictional claims in published maps and institutional affiliations. |
© 2022 by the authors. Licensee MDPI, Basel, Switzerland. This article is an open access article distributed under the terms and conditions of the Creative Commons Attribution (CC BY) license (https://creativecommons.org/licenses/by/4.0/).
Share and Cite
Li, Y.; Feng, Q.; Li, D.; Li, M.; Ning, H.; Han, Q.; Hamani, A.K.M.; Gao, Y.; Sun, J. Water-Salt Thresholds of Cotton (Gossypium hirsutum L.) under Film Drip Irrigation in Arid Saline-Alkali Area. Agriculture 2022, 12, 1769. https://doi.org/10.3390/agriculture12111769
Li Y, Feng Q, Li D, Li M, Ning H, Han Q, Hamani AKM, Gao Y, Sun J. Water-Salt Thresholds of Cotton (Gossypium hirsutum L.) under Film Drip Irrigation in Arid Saline-Alkali Area. Agriculture. 2022; 12(11):1769. https://doi.org/10.3390/agriculture12111769
Chicago/Turabian StyleLi, Yunfeng, Quanqing Feng, Dongwei Li, Mingfa Li, Huifeng Ning, Qisheng Han, Abdoul Kader Mounkaila Hamani, Yang Gao, and Jingsheng Sun. 2022. "Water-Salt Thresholds of Cotton (Gossypium hirsutum L.) under Film Drip Irrigation in Arid Saline-Alkali Area" Agriculture 12, no. 11: 1769. https://doi.org/10.3390/agriculture12111769
APA StyleLi, Y., Feng, Q., Li, D., Li, M., Ning, H., Han, Q., Hamani, A. K. M., Gao, Y., & Sun, J. (2022). Water-Salt Thresholds of Cotton (Gossypium hirsutum L.) under Film Drip Irrigation in Arid Saline-Alkali Area. Agriculture, 12(11), 1769. https://doi.org/10.3390/agriculture12111769

