Comparative Analysis of Arbuscular Mycorrhizal Fungal Communities between Farmland and Woodland in the Black Soil Region of Northeast China
Abstract
:1. Introduction
2. Materials and Methods
2.1. Sites
2.2. Soil Property and Enzyme Activity Measurements
2.3. Glomalin-Related Soil Protein Measurements
2.4. DNA Extraction and MiSeq Sequencing
2.5. Data Analysis
3. Results
3.1. Overall Sequences Information
3.2. Edaphic Factors and GRSP
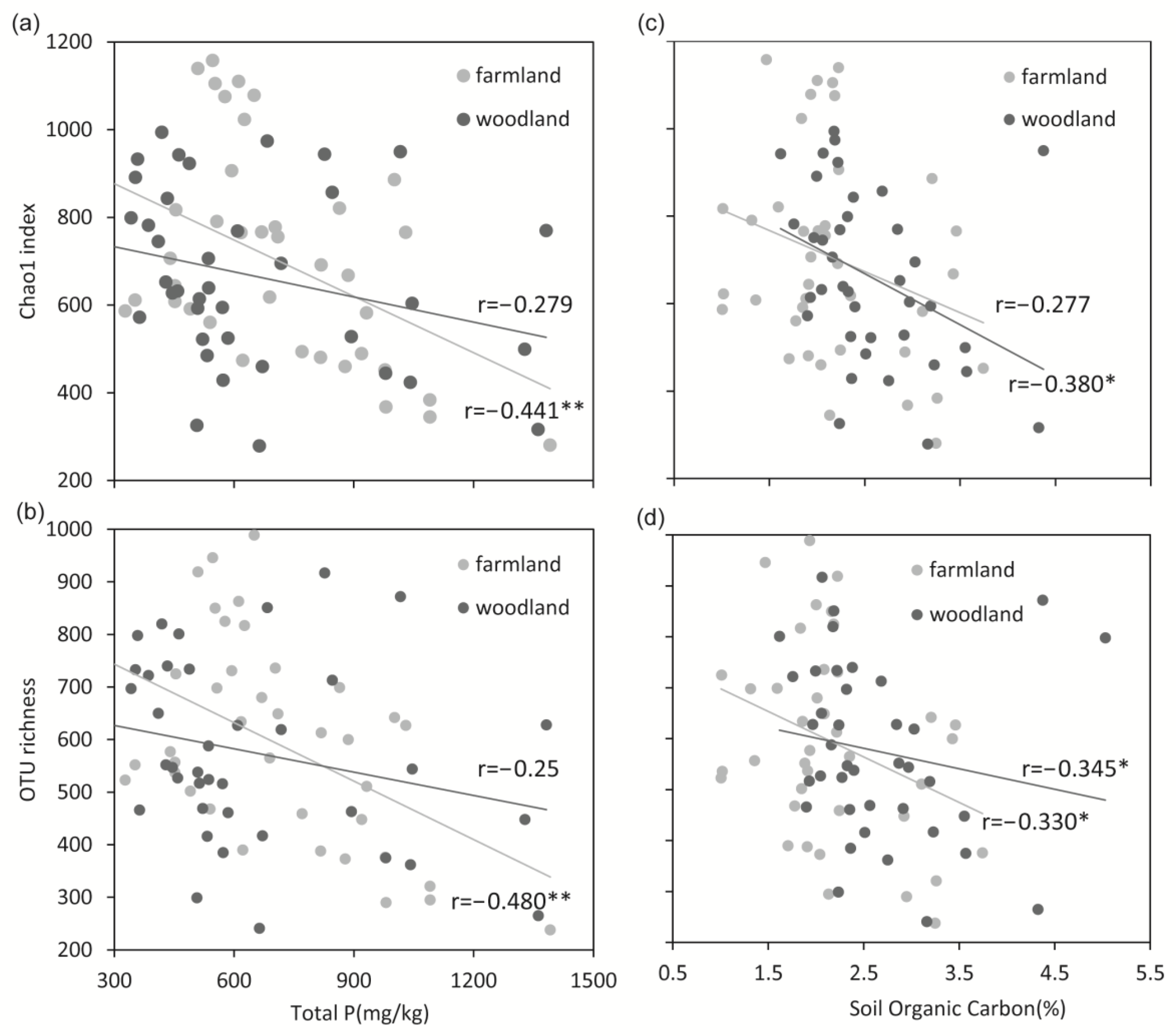
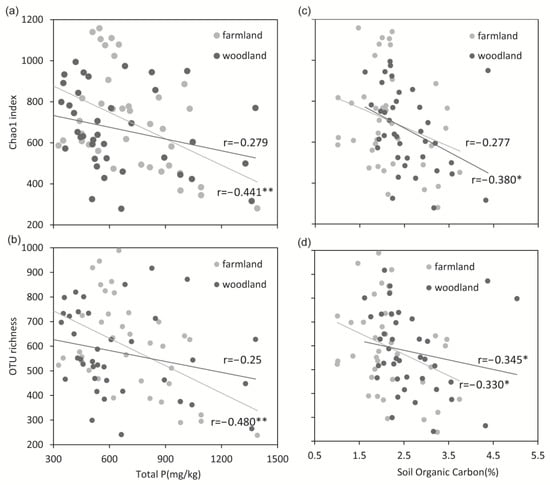
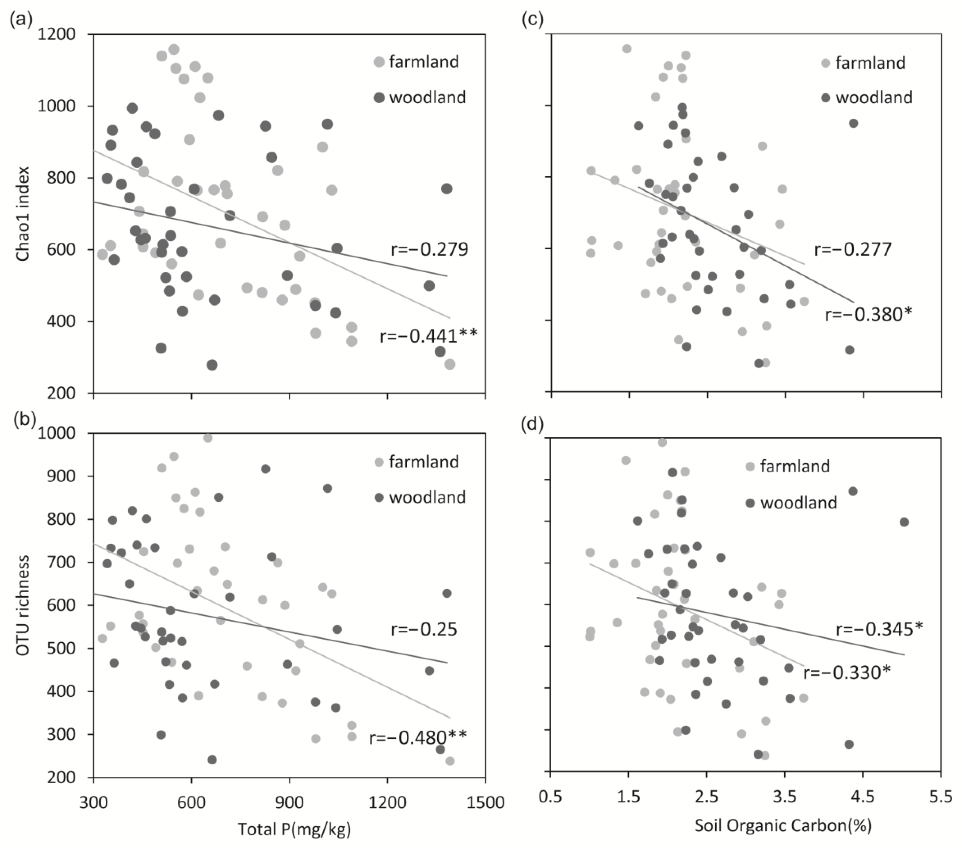
3.3. AMF Community Diversity
3.4. Relative Abundance of AMF Taxa
3.5. AMF Community Compositions
4. Discussion
5. Conclusions
Supplementary Materials
Author Contributions
Funding
Institutional Review Board Statement
Informed Consent Statement
Data Availability Statement
Conflicts of Interest
References
- Smith, S.; Read, D. Mycorrhizal Symbiosis, 3rd ed.; Academic Press: London, UK, 2008; ISBN 9780123705266. [Google Scholar]
- Smith, S.E.; Smith, F.A. Roles of Arbuscular Mycorrhizas in Plant Nutrition and Growth: New Paradigms from Cellular to Ecosystem Scales. Annu. Rev. Plant Biol. 2011, 62, 227–250. [Google Scholar] [CrossRef] [Green Version]
- Mathur, S.; Jajoo, A. Arbuscular mycorrhizal fungi protects maize plants from high temperature stress by regulating photosystem II heterogeneity. Ind. Crop. Prod. 2020, 143, 111934. [Google Scholar] [CrossRef]
- Zhang, X.; Zhang, H.; Zhang, Y.; Liu, Y.; Zhang, H.; Tang, M. Arbuscular mycorrhizal fungi alter carbohydrate distribution and amino acid accumulation in Medicago truncatula under lead stress. Environ. Exp. Bot. 2020, 171, 103950. [Google Scholar] [CrossRef]
- Zhu, X.; Yang, W.; Song, F.; Li, X. Diversity and composition of arbuscular mycorrhizal fungal communities in the cropland black soils of China. Glob. Ecol. Conserv. 2020, 22, e00964. [Google Scholar] [CrossRef]
- Liu, X.; Lee Burras, C.; Kravchenko, Y.S.; Duran, A.; Huffman, T.; Morras, H.; Studdert, G.; Zhang, X.; Cruse, R.M.; Yuan, X. Overview of Mollisols in the world: Distribution, land use and management. Can. J. Soil Sci. 2012, 92, 383–402. [Google Scholar] [CrossRef]
- Xu, X.Z.; Xu, Y.; Chen, S.C.; Xu, S.G.; Zhang, H.W. Soil loss and conservation in the black soil region of Northeast China: A retrospective study. Environ. Sci. Policy 2010, 13, 793–800. [Google Scholar] [CrossRef]
- Liu, X.B.; Zhang, X.Y.; Wang, Y.X.; Sui, Y.Y.; Zhang, S.L.; Herbert, S.J.; Ding, G. Soil degradation: A problem threatening the sustainable development of agriculture in Northeast China. Plant Soil Environ. 2010, 56, 87–97. [Google Scholar] [CrossRef] [Green Version]
- Xiang, D.; Verbruggen, E.; Hu, Y.; Veresoglou, S.D.; Rillig, M.C.; Zhou, W.; Xu, T.; Li, H.; Hao, Z.; Chen, Y.; et al. Land use influences arbuscular mycorrhizal fungal communities in the farming-pastoral ecotone of northern China. New Phytol. 2014, 204, 968–978. [Google Scholar] [CrossRef] [PubMed]
- Xu, M.; Li, X.; Cai, X.; Li, X.; Christie, P.; Zhang, J. Land use alters arbuscular mycorrhizal fungal communities and their potential role in carbon sequestration on the Tibetan Plateau. Sci. Rep. 2017, 7, 3067. [Google Scholar] [CrossRef]
- Bainard, L.D.; Chagnon, P.L.; Cade-Menun, B.J.; Lamb, E.G.; LaForge, K.; Schellenberg, M.; Hamel, C. Plant communities and soil properties mediate agricultural land use impacts on arbuscular mycorrhizal fungi in the Mixed Prairie ecoregion of the North American Great Plains. Agric. Ecosyst. Environ. 2017, 249, 187–195. [Google Scholar] [CrossRef]
- Vályi, K.; Rillig, M.C.; Hempel, S. Land-use intensity and host plant identity interactively shape communities of arbuscular mycorrhizal fungi in roots of grassland plants. New Phytol. 2015, 205, 1577–1586. [Google Scholar] [CrossRef] [PubMed]
- Marinho, F.; Oehl, F.; da Silva, I.R.; Coyne, D.; da Nobrega Veras, J.S.; Maia, L.C. High diversity of arbuscular mycorrhizal fungi in natural and anthropized sites of a Brazilian tropical dry forest (Caatinga). Fungal Ecol. 2019, 40, 82–91. [Google Scholar] [CrossRef]
- Zhu, X.; Yang, W.; Sun, L.; Song, F.; Li, X. Anthropogenic land use changes diversity and structure of arbuscular mycorrhizal fungal communities at 100-m scale in northeast China. Arch. Agron. Soil Sci. 2020, 67, 778–792. [Google Scholar] [CrossRef]
- Bao, S.D. Soil Agro-Chemistry Analyses; Chinese Agriculture Press: Beijing, China, 2005. (In Chinese) [Google Scholar]
- Guan, S.Y. Soil Enzymes and Research Methods; Chinese Agriculture Press: Beijing, China, 1996. (In Chinese) [Google Scholar]
- Wu, Q.S.; Cao, M.Q.; Zou, Y.N.; He, X.H. Direct and indirect effects of glomalin, mycorrhizal hyphae, and roots on aggregate stability in rhizosphere of trifoliate orange. Sci. Rep. 2014, 4, 5823. [Google Scholar] [CrossRef]
- Bradford, M.M. A rapid and sensitive method for the quantitation of microgram quantities of protein utilizing the principle of protein-dye binding. Anal. Biochem. 1976, 72, 248–252. [Google Scholar] [CrossRef]
- Van Geel, M.; Busschaert, P.; Honnay, O.; Lievens, B. Evaluation of six primer pairs targeting the nuclear rRNA operon for characterization of arbuscular mycorrhizal fungal (AMF) communities using 454 pyrosequencing. J. Microbiol. Methods 2014, 106, 93–100. [Google Scholar] [CrossRef] [PubMed]
- Caporaso, J.G.; Kuczynski, J.; Stombaugh, J.; Bittinger, K.; Bushman, F.D.; Costello, E.K.; Fierer, N.; Pẽa, A.G.; Goodrich, J.K.; Gordon, J.I.; et al. QIIME allows analysis of high-throughput community sequencing data. Nat. Methods 2010, 7, 335–336. [Google Scholar] [CrossRef] [PubMed] [Green Version]
- Edgar, R.C. Search and clustering orders of magnitude faster than BLAST. Bioinformatics 2010, 26, 2460–2461. [Google Scholar] [CrossRef] [PubMed] [Green Version]
- Parvin, S.; Van Geel, M.; Yeasmin, T.; Lievens, B.; Honnay, O. Variation in arbuscular mycorrhizal fungal communities associated with lowland rice (Oryza sativa) along a gradient of soil salinity and arsenic contamination in Bangladesh. Sci. Total Environ. 2019, 686, 546–554. [Google Scholar] [CrossRef] [PubMed]
- Redecker, D.; Schüßler, A.; Stockinger, H.; Stürmer, S.L.; Morton, J.B.; Walker, C. An evidence-based consensus for the classification of arbuscular mycorrhizal fungi (Glomeromycota). Mycorrhiza 2013, 23, 515–531. [Google Scholar] [CrossRef]
- Öpik, M.; Moora, M.; Liira, J.; Zobel, M. Composition of root-colonizing arbuscular mycorrhizal fungal communities in different ecosystems around the globe. J. Ecol. 2006, 94, 778–790. [Google Scholar] [CrossRef]
- Higo, M.; Tatewaki, Y.; Gunji, K.; Kaseda, A.; Isobe, K. Cover cropping can be a stronger determinant than host crop identity for arbuscular mycorrhizal fungal communities colonizing maize and soybean. PeerJ 2019, 7, e6403. [Google Scholar] [CrossRef] [PubMed]
- Řezáčová, V.; Slavíková, R.; Konvalinková, T.; Zemková, L.; Řezáč, M.; Gryndler, M.; Šmilauer, P.; Gryndlerová, H.; Hršelová, H.; Bukovská, P.; et al. Geography and habitat predominate over climate influences on arbuscular mycorrhizal fungal communities of mid-European meadows. Mycorrhiza 2019, 29, 567–579. [Google Scholar] [CrossRef] [PubMed]
- Huang, Z.; Zhao, F.; Wang, M.; Qi, K.; Wu, J.; Zhang, S. Soil chemical properties and geographical distance exerted effects on arbuscular mycorrhizal fungal community composition in pear orchards in Jiangsu Province, China. Appl. Soil Ecol. 2019, 142, 18–24. [Google Scholar] [CrossRef]
- Hu, Y.; Rillig, M.C.; Xiang, D.; Hao, Z.; Chen, B. Changes of AM Fungal Abundance along Environmental Gradients in the Arid and Semi-Arid Grasslands of Northern China. PLoS ONE 2013, 8, e57593. [Google Scholar] [CrossRef] [PubMed] [Green Version]
- Xu, J.; Liu, S.; Song, S.; Guo, H.; Tang, J.; Yong, J.W.H.; Ma, Y.; Chen, X. Arbuscular mycorrhizal fungi influence decomposition and the associated soil microbial community under different soil phosphorus availability. Soil Biol. Biochem. 2018, 120, 181–190. [Google Scholar] [CrossRef]
- Boeraeve, M.; Honnay, O.; Jacquemyn, H. Local abiotic conditions are more important than landscape context for structuring arbuscular mycorrhizal fungal communities in the roots of a forest herb. Oecologia 2019, 190, 149–157. [Google Scholar] [CrossRef] [PubMed]
- Da Silva, G.A.; Trufem, S.F.B.; Saggin, O.J.; Maia, L.C. Arbuscular mycorrhizal fungi in a semiarid copper mining area in Brazil. Mycorrhiza 2005, 15, 47–53. [Google Scholar] [CrossRef] [PubMed]
- Coughlan, A.P.; Dalpé, Y.; Lapointe, L.; Piché, Y. Soil pH-induced changes in root colonization, diversity, and reproduction of symbiotic arbuscular mycorrhizal fungi from healthy and declining maple forests. Can. J. For. Res. 2000, 30, 1543–1554. [Google Scholar] [CrossRef]
- Liu, X.; Feng, Z.; Zhao, Z.; Zhu, H.; Yao, Q. Acidic soil inhibits the functionality of arbuscular mycorrhizal fungi by reducing arbuscule formation in tomato roots. Soil Sci. Plant Nutr. 2020, 66, 275–284. [Google Scholar] [CrossRef]
- Sun, Y.; Zhang, X.; Wu, Z.; Hu, Y.; Wu, S.; Chen, B. The molecular diversity of arbuscular mycorrhizal fungi in the arsenic mining impacted sites in Hunan Province of China. J. Environ. Sci. (China) 2016, 39, 110–118. [Google Scholar] [CrossRef] [PubMed]
- Gosling, P.; Mead, A.; Proctor, M.; Hammond, J.P.; Bending, G.D. Contrasting arbuscular mycorrhizal communities colonizing different host plants show a similar response to a soil phosphorus concentration gradient. New Phytol. 2013, 198, 546–556. [Google Scholar] [CrossRef] [PubMed]
- Olsson, P.A.; Bååth, E.; Jakobsen, I. Phosphorus effects on the mycelium and storage structures of an arbuscular mycorrhizal fungus as studied in the soil and roots by analysis of fatty acid signatures. Appl. Environ. Microbiol. 1997, 63, 3531–3538. [Google Scholar] [CrossRef] [PubMed] [Green Version]
- Liu, J.; Sui, Y.; Yu, Z.; Shi, Y.; Chu, H.; Jin, J.; Liu, X.; Wang, G. Soil carbon content drives the biogeographical distribution of fungal communities in the black soil zone of northeast China. Soil Biol. Biochem. 2015, 83, 29–39. [Google Scholar] [CrossRef]
- Luo, X.; He, X.; Luo, X.; Liu, Y.; Wang, J.; Dong, J. Soil organic carbon shapes AMF communities in soils and roots of Cynodon dactylon under anti-seasonal drying-wetting cycles. Diversity 2019, 11, 197. [Google Scholar] [CrossRef] [Green Version]
- Stürmer, S.L.; Kemmelmeier, K.; Moreira, B.C.; Kasuya, M.C.M.; Pereira, G.M.D.; da Silva, K. Arbuscular mycorrhizal fungi (Glomeromycota) communities in tropical savannas of Roraima, Brazil. Mycol. Prog. 2018, 17, 1149–1159. [Google Scholar] [CrossRef]
- Yang, H.; Yuan, Y.; Zhang, Q.; Tang, J.; Liu, Y.; Chen, X. Changes in soil organic carbon, total nitrogen, and abundance of arbuscular mycorrhizal fungi along a large-scale aridity gradient. Catena 2011, 87, 70–77. [Google Scholar] [CrossRef]
- Cusack, D.F.; Silver, W.L.; Torn, M.S.; Burton, S.D.; Firestone, M.K. Changes in microbial community characteristics and soil organic matter with nitrogen additions in two tropical forests. Ecology 2011, 92, 621–632. [Google Scholar] [CrossRef] [Green Version]
- Qiu, L.; Bi, Y.; Jiang, B.; Wang, Z.; Zhang, Y.; Zhakypbek, Y. Arbuscular mycorrhizal fungi ameliorate the chemical properties and enzyme activities of rhizosphere soil in reclaimed mining subsidence in northwestern China. J. Arid Land 2019, 11, 135–147. [Google Scholar] [CrossRef] [Green Version]
- Zhang, Y.L.; Chen, L.J.; Chen, X.H.; Tan, M.L.; Duan, Z.H.; Wu, Z.J.; Li, X.J.; Fan, X.H. Response of soil enzyme activity to long-term restoration of desertified land. Catena 2015, 133, 64–70. [Google Scholar] [CrossRef]
- Wright, S.F.; Upadhyaya, A. Extraction of an abundant and unusual protein from soil and comparison with hyphal protein of arbuscular mycorrhizal fungi. Soil Sci. 1996, 161, 575–586. [Google Scholar] [CrossRef]
- Singh, A.K.; Rai, A.; Pandey, V.; Singh, N. Contribution of glomalin to dissolve organic carbon under different land uses and seasonality in dry tropics. J. Environ. Manag. 2017, 192, 142–149. [Google Scholar] [CrossRef] [PubMed]
- Schindler, F.V.; Mercer, E.J.; Rice, J.A. Chemical characteristics of glomalin-related soil protein (GRSP) extracted from soils of varying organic matter content. Soil Biol. Biochem. 2007, 39, 320–329. [Google Scholar] [CrossRef]
- Ma, M.; Ongena, M.; Wang, Q.; Guan, D.; Cao, F.; Jiang, X.; Li, J. Chronic fertilization of 37 years alters the phylogenetic structure of soil arbuscular mycorrhizal fungi in Chinese Mollisols. AMB Express 2018, 8, 57. [Google Scholar] [CrossRef] [PubMed] [Green Version]
- Lu, X.; Lu, X.; Liao, Y. Effect of tillage treatment on the diversity of soil arbuscular mycorrhizal fungal and soil aggregate-associated carbon content. Front. Microbiol. 2018, 9, 2986. [Google Scholar] [CrossRef] [Green Version]






| Sample | Location | Longitude | Latitude | pH | TN (mg kg−1) | TP (mg kg−1) | SOC (%) | Urease (mg g−1) | Invertase (mg g−1) | GRSP (mg g−1) | |||||||
|---|---|---|---|---|---|---|---|---|---|---|---|---|---|---|---|---|---|
| F | W | F | W | F | W | F | W | F | W | F | W | F | W | ||||
| WDLC | Wudalianchi | 126.32° E | 48.68° N | 7.02 ± 0.04 abcA | 6.80 ± 0.06 abB | 2330.55 ± 147.15 aB | 3212.93 ± 156.06 aA | 1154.14 ± 122.92 aA | 1235.52 ± 109.95 aA | 3.15 ± 0.10 abB | 4.08 ± 0.27 aA | 19.90 ± 4.28 abA | 18.66 ± 1.14 abA | 0.66 ± 0.02 abB | 1.61 ± 0.15 abA | 0.97 ± 0.17 aA | 1.00 ± 0.01 aA |
| BA | Beian | 126.50° E | 48.21° N | 6.63 ± 0.07 abcB | 7.98 ± 0.22 aA | 1997.70 ± 226.42 aA | 2369.54 ± 90.59 abA | 839.54 ± 56.29 abA | 990.23 ± 35.58 aA | 2.65 ± 0.22 abA | 3.05 ± 0.18 aA | 14.88 ± 1.85 abA | 17.85 ± 2.07 abA | 0.74 ± 0.11 abB | 1.28 ± 0.10 abA | 0.64 ± 0.04 abB | 0.84 ± 0.02 abA |
| HL | Hailun | 126.97° E | 47.24° N | 6.50 ± 0.05 bcB | 7.32 ± 0.07 abA | 2323.54 ± 77.62 aA | 2117.63 ± 127.83 abcA | 973.85 ± 31.22 aA | 655.56 ± 30.76 abB | 3.46 ± 0.11 aA | 3.15 ± 0.04 aB | 16.42 ± 1.24 abA | 11.24 ± 0.73 abB | 1.03 ± 0.06 abB | 1.47 ± 0.14 abA | 0.90 ± 0.02 aA | 0.97 ± 0.04 aA |
| SH | Suihua | 126.98° E | 46.56° N | 5.92 ± 0.02 cB | 6.83 ± 0.18 abA | 1462.97 ± 76.00 abA | 1637.84 ± 102.79 abcA | 862.11 ± 83.80 abA | 575.24 ± 15.21 abA | 2.13 ± 0.04 abcA | 2.28 ± 0.05 abA | 16.31 ± 0.76 abA | 10.19 ± 0.11 abB | 0.47 ± 0.03 bB | 1.51 ± 0.05 abA | 0.92 ± 0.09 aA | 0.84 ± 0.04 abA |
| HRB | Harbin | 126.47° E | 45.88° N | 7.16 ± 0.08 abB | 7.96 ± 0.03 aA | 1626.83 ± 145.80 abA | 1679.80 ± 107.80 abcA | 558.03 ± 18.40 abA | 517.20 ± 5.99 abB | 2.20 ± 0.02 abcB | 2.43 ± 0.07 abA | 22.89 ± 0.97 aA | 14.64 ± 1.22 abB | 1.05 ± 0.05 abB | 2.00 ± 0.27 aA | 0.61 ± 0.02 abA | 0.66 ± 0.03 bA |
| FY | Fuyu | 126.18° E | 45.06° N | 7.79 ± 0.07 aA | 7.82 ± 0.15 aA | 1220.32 ± 156.30 abA | 1666.38 ± 190.15 abcA | 658.30 ± 19.14 abB | 934.37 ± 153.57 abA | 2.01 ± 0.03 abcB | 2.44 ± 0.19 abA | 16.12 ± 1.93 abA | 24.73 ± 1.72 aB | 1.69 ± 0.13 aA | 2.05 ± 0.18 aA | 0.64 ± 0.03 abA | 0.76 ± 0.06 abA |
| DH | Dehui | 125.91° E | 44.68° N | 6.75 ± 0.15 abcA | 6.63 ± 0.05 bA | 1294.66 ± 69.96 abA | 1875.15 ± 146.77 abcB | 445.70 ± 38.40 bcA | 425.74 ± 7.59 abB | 1.88 ± 0.03 abcB | 2.36 ± 0.18 abA | 13.10 ± 1.40 abA | 13.02 ± 1.31 abA | 0.97 ± 0.05 abB | 2.07 ± 0.12 aA | 0.85 ± 0.03 abA | 0.77 ± 0.01 abB |
| CC | Changchun | 125.40° E | 44.00° N | 6.95 ± 0.07 abcB | 7.11 ± 0.02 abA | 1596.88 ± 117.69 abA | 1245.72 ± 160.00 bcA | 637.42 ± 67.27 abA | 390.60 ± 24.58 bA | 1.87 ± 0.02 abcA | 1.82 ± 0.08 bA | 15.24 ± 1.15 abA | 8.91 ± 0.56 bB | 1.51 ± 0.06 aA | 1.85 ± 0.16 abA | 0.56 ± 0.03 bB | 0.70 ± 0.03 abA |
| GZL | Gongzhuling | 124.86° E | 43.48° N | 6.89 ± 0.03 abcB | 7.79 ± 0.10 abA | 1110.90 ± 26.91 abB | 1616.70 ± 40.90 bcA | 647.04 ± 74.23 abA | 430.95 ± 47.93 abB | 1.52 ± 0.09 bcB | 2.27 ± 0.09 abA | 11.81 ± 1.62 bA | 8.25 ± 0.95 bA | 0.92 ± 0.18 abA | 1.42 ± 0.14 abA | 0.70 ± 0.04 abA | 0.68 ± 0.01 abA |
| CT | Changtu | 124.33° E | 43.08° N | 6.51 ± 0.15 abcB | 7.35 ± 0.12 abA | 775.17 ± 37.28 bB | 1121.36 ± 47.99 cdA | 373.51 ± 47.66 bcB | 424.04 ± 47.01 abA | 1.10 ± 0.09 cB | 2.08 ± 0.10 abA | 12.20 ± 1.33 bA | 8.80 ± 0.87 bA | 0.57 ± 0.10 bA | 0.71 ± 0.11 bA | 0.62 ± 0.03 abA | 0.69 ± 0.03 abA |
| df | Sums of Squares | Mean Squares | F Model | R2 | p | |
|---|---|---|---|---|---|---|
| Types | 1 | 2.225 | 2.225 | 5.758 | 0.070 | <0.001 |
| Residuals | 76 | 29.372 | 0.386 | 0.930 | ||
| Total | 77 | 31.597 | 1 |
Publisher’s Note: MDPI stays neutral with regard to jurisdictional claims in published maps and institutional affiliations. |
© 2021 by the authors. Licensee MDPI, Basel, Switzerland. This article is an open access article distributed under the terms and conditions of the Creative Commons Attribution (CC BY) license (https://creativecommons.org/licenses/by/4.0/).
Share and Cite
Yang, W.; Zhang, M.; Song, F.; Liu, S.; Li, X.; Zhu, X. Comparative Analysis of Arbuscular Mycorrhizal Fungal Communities between Farmland and Woodland in the Black Soil Region of Northeast China. Agriculture 2021, 11, 866. https://doi.org/10.3390/agriculture11090866
Yang W, Zhang M, Song F, Liu S, Li X, Zhu X. Comparative Analysis of Arbuscular Mycorrhizal Fungal Communities between Farmland and Woodland in the Black Soil Region of Northeast China. Agriculture. 2021; 11(9):866. https://doi.org/10.3390/agriculture11090866
Chicago/Turabian StyleYang, Wenying, Mengjie Zhang, Fengbin Song, Shengqun Liu, Xiangnan Li, and Xiancan Zhu. 2021. "Comparative Analysis of Arbuscular Mycorrhizal Fungal Communities between Farmland and Woodland in the Black Soil Region of Northeast China" Agriculture 11, no. 9: 866. https://doi.org/10.3390/agriculture11090866
APA StyleYang, W., Zhang, M., Song, F., Liu, S., Li, X., & Zhu, X. (2021). Comparative Analysis of Arbuscular Mycorrhizal Fungal Communities between Farmland and Woodland in the Black Soil Region of Northeast China. Agriculture, 11(9), 866. https://doi.org/10.3390/agriculture11090866

